A Novel Adaptive Battery-Aware Algorithm for Data Transmission in IoT-Based Healthcare Applications
Abstract
1. Introduction
- First, to propose a self-adaptive battery-aware algorithm based on the battery recovery effect principle in IoMT. The proposed ABA consumes less energy and enhances the battery lifetime up to 50 s.
- Second, to propose a novel framework for IoMT based pervasive healthcare.
- Third, to test and deploy the proposed ABA and framework over hardware platform for energy efficient and longer battery lifetime in IoMT.
2. Related Works
3. Proposed Data Transmission Framework in IoMT Devices
Hardware Setup
4. Proposed Adaptive Battery-Aware Algorithm
4.1. Analytical Battery Model
4.2. Mealy Machines Based State Mechanism
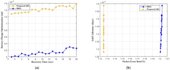
5. Results and Discussion
Simulation Parameters
6. Conclusions and Future Work
Author Contributions
Funding
Conflicts of Interest
References
- Muzammal, M.; Talat, R.; Pirbhulal, S. A Multi-sensor data fusion enabled ensemble approach for medical data from body sensor networks. Inf. Fusion 2020, 53, 155–164. [Google Scholar] [CrossRef]
- Sodhro, A.H.; Pirbhulal, S.; Sanagiah, A.K. An energy-efficient algorithm for wearable electrocardiogram signal processing in ubiquitous 3 healthcare applications. Sensors 2018, 8, 923. [Google Scholar] [CrossRef] [PubMed]
- Magsi, H.; Sodhro, A.H.; Chachar, F.A.; Khan Abro, S.A.; Sodhro, G.H.; Pirbhulal, S. Evolution of 5G in Internet of medical things. In Proceedings of the 2018 International Conference on Computing, Mathematics and Engineering Technologies (iCoMET), Sukkur, Pakistan, 3–4 March 2018. [Google Scholar]
- Rosewater, D.; Ferreira, S.; Schoenwald, D.; Hawkins, J.; Santoso, S. Battery Energy Storage State-of-Charge Forecasting: Models, Optimization, and Accuracy. In IEEE Transactions on Smart Grid; IEEE: Piscatavai, NJ, USA, 2018; pp. 2453–2462. [Google Scholar]
- Hume, R.; Looney, J. Telemedicine and facility design. Health Facil. Manag. 2016, 29, 30. [Google Scholar]
- Motaqi, A.; Mosavi, M.R. Blind and task-ware multi-cell battery management system. Eng. Sci. Technol. Int. J. 2019, 23, 544–554. [Google Scholar] [CrossRef]
- Lin, C.W.; Pan, C.J.; Paranjape, K.; Yu, C.; Feng, P. Taipei Citizen Telecare Service System for Hypertension Management in Elders. In Proceedings of the 2014 Annual SRII Global Conference, Washington, DC, USA, 23 April 2014. [Google Scholar]
- Sodhro, A.H.; Obaidat, M.S. Quality of service optimization in IOT driven intelligent transportation system. IEEE Wirel. Commun. Mag. 2019, 26, 10–17. [Google Scholar] [CrossRef]
- Jongerden, M.R.; Haverkort, B.R. Battery Modeling. 2008. Available online: https://www.researchgate.net/publication/239851603_Battery_Modeling (accessed on 3 February 2021).
- Rakhmatov, D.; Vrudhula, S.; Wallach, D.A. A model for battery lifetime analysis for organizing applications on a pocket computer. IEEE Trans. Very Large Scale Integr. VLSI Syst. 2003, 11, 1019–1030. [Google Scholar] [CrossRef]
- Rao, R.; Vrudhula, S. Battery optimization vs energy optimization: Which to choose and when? In Proceedings of the 2005 IEEE/ACM International conference on Computer-Aided Design, San Jose, CA, USA, 6–10 November 2005. [Google Scholar]
- Sodhro, A.H.; Li, Y.; Shah, M.A. Green and friendly media transmission algorithms for wireless body sensor networks. Multimed. Tools Appl. 2017, 76, 20001–20025. [Google Scholar] [CrossRef]
- Sodhro, A.H.; Li, Y.; Shah, M.A. Energy-efficient adaptive transmission power control for wireless body area networks. IET Commun. 2016, 10, 81–90. [Google Scholar] [CrossRef]
- Bao, Y.; Luo, Y.; Zhang, W.; Huang, M.; Wang, L.Y.; Jiang, J. A bi-level optimization approach to charging load regulation of electric vehicle fast charging stations based on a battery energy storage system. Energies 2018, 11, 229. [Google Scholar] [CrossRef]
- Kaur, H. An Energy efficient wireless body area network using Genetic algorithm. Int. J. Adv. Res. Comput. Sci. 2017, 8, 98–106. [Google Scholar] [CrossRef]
- Chiasserini, C.-F.; Ramesh, R.R. Energy efficient battery management. IEEE J. Sel. Areas Commun. 2001, 19, 1235–1245. [Google Scholar] [CrossRef]
- Sufian, H.; Khan, F.I.; Hameed, B. Understanding security requirements and challenges in internet of things (IoT): A review. J. Comput. Netw. Commun. 2019, 2019. [Google Scholar] [CrossRef]
- Nuggehalli, P.; Vikram, S.; Ramesh, R.R. Energy efficient transmission scheduling for delay constrained wireless networks. IEEE Trans. Wirel. Commun. 2006, 5, 531–539. [Google Scholar] [CrossRef]
- Yi, C.; Wang, L.; Li, Y. Energy efficient transmission approach for WBAN based on threshold distance. IEEE Sens. J. 2015, 15, 5133–5141. [Google Scholar] [CrossRef]
- Sodhro, A.H.; Mohsen, G.; Boukerche, A. AI-enabled reliable channel modelling architecture for fog computing vehicular networks. IEEE Wirel. Commun. Mag. 2020, 27, 14–21. [Google Scholar] [CrossRef]
- Dai, Y.; Wang, G.; Muhammad, K.; Liu, S. A closed-loop healthcare processing approach based on deep reinforcement learning. Multimed. Tools Appl. 2020, 1–23. [Google Scholar]
- Fourati, L.C. Wireless Body Area Network and Healthcare Monitoring System. In Proceedings of the 2014 IEEE International Conference on Healthcare Informatics, Verona, Italy, 15–17 September 2014. [Google Scholar]
- Ramli, S.N.; Rabiah, A. Surveying the wireless body area network in the realm of wireless communication. In Proceedings of the 7th International Conference on Information Assurance and Security (IAS), Melaka, Malaysia, 5–8 December 2011. [Google Scholar]
- Kamal, E.; Adouane, L. Hierarchical energy optimization strategy and its integrated reliable battery fault management for hybrid hydraulic-electric vehicle. IEEE Trans. Veh. Technol. 2018, 67, 3740–3754. [Google Scholar] [CrossRef]
- Sodhro, A.H.; Pirbhulal, S. Artificial intelligence driven mechanism for edge computing based industrial applications. IEEE Trans. Ind. Inform. 2019, 15, 4235–4243. [Google Scholar] [CrossRef]
- Tahir, S.; Bakhsh, S.T.; Abulkhair, M.; Alassafi, M.O. An energy-efficient fog-to-cloud internet of medical things architecture. Int. J. Distrib. Sens. Netw. 2019, 15. [Google Scholar] [CrossRef]
- Liu, X.; Lin, C.C.; Muhammad, K.; Al-Turjman, F.; Yuan, S. Joint data hiding and compression scheme based on modified BTC and image inpainting. IEEE Access 2019, 7, 116027–116037. [Google Scholar] [CrossRef]
- Darwish, A.; Hassanien, A.E.; Elhoseny, M.; Sangaiah, A.K.; Muhammad, K. The impact of the hybrid platform of internet of things and cloud computing on healthcare systems: Opportunities, challenges, and open problems. J. Ambient Intell. Humaniz. Comput. 2019, 10, 4151–4166. [Google Scholar] [CrossRef]
- Tianle, Z.; Sodhro, A.H.; Luo, Y. A joint deep learning and internet of medical things driven framework for elderly patients. IEEE Access 2020, 8, 75822–75832. [Google Scholar]
- Shabir, A.P.; Javaid, A.S. Secure data transmission framework for confidentiality in IoTs. Ad Hoc Netw. 2019, 95, 101989. [Google Scholar]
- Mahima, V.; Chitra, A. Battery recovery based lifetime enhancement (BRLE) algorithm for wireless sensor network. Wirel. Pers. Commun. 2017, 97, 6541–6557. [Google Scholar] [CrossRef]










| Parameter | Value |
|---|---|
| Battery used | Li-ion battery |
| Diffusion parameter (β) | 0.31 |
| Time when load is on | 0 |
| Time when load is off | 3 h |
| Battery end voltage | 4.2 V |
| Current drawn from battery | 0.52 A |
| Distance between electrode (D) | 18 mm |
| Width of the battery (W) | 65.2 mm |
| Capacity of the battery | 2500 mAH |
| Data | 32 bytes |
| Packet Length | 150 bytes |
| S. No | Battery Lifetime in (Seconds) | Starting Voltage for Recovery (Volts) | Voltage after Recovery (Volts) |
|---|---|---|---|
| 1. | Continuous | 4.169327 | - |
| 2. | 5 | 4.169327 | 4.169350 |
| 3. | 10 | 4.169327 | 4.169418 |
| 4. | 15 | 4.169327 | 4.169532 |
| 5. | 20 | 4.169327 | 4. 169532 |
| Algorithms | Charge Dissipation (mA.mint) | Energy Dissipation (J) |
|---|---|---|
| Proposed ABA | 16,657.140903577998 | 89.7 |
| BRLE | 18,742.6591179819989 | 95.68 |
| References | Existing and Proposed Algorithms | Strengths | Weaknesses |
|---|---|---|---|
| [15] | A Bi-Level Optimization Approach to Charging Load Regulation of Electric Vehicle Fast Charging Stations Based on a Battery Energy Storage System | Battery energy storage system (BESS) for charging load control, which is a more user-friendly and robust approach to perturbations | Does not focus on battery charge recovery, lifetime extension and reliability in healthcare |
| [25] | Hierarchical Energy Optimization Strategy and its Integrated Reliable Battery Fault Management for Hybrid Hydraulic-Electric Vehicle | Suboptimal control strategy based on fuzzy logic and neural network for minimizing total energy consumption while ensuring a better battery life | Emergency healthcare, and reliability with hardware platform are not discussed. |
| [31] | Battery Recovery Based Lifetime Enhancement (BRLE) Algorithm for Wireless Sensor Network | Transceiver module based on the battery terminal voltage, recovery factor and distance between the nodes, the lifetime of the network is enhancing | Does not consider discharge time and recovery time of the battery in a real-time environment. |
| [16] | An energy efficient wireless body area network using genetic algorithm. | Genetic algorithm used to optimize the energy consumption in WBAN | Battery charge recovery, and hardware setup are not considered. |
| [27] | An energy-efficient fog-to-cloud Internet of Medical Things architecture | Bluetooth technology-based energy efficient sleep and wake-up modes | Does not focus on battery charge recovery, reliability and hardware setup |
| [1,21] | A Multi-sensor Data Fusion Enabled Ensemble Approach for Medical Data from Body Sensor Networks | QoS optimization in terms of mobility, reliability, and packet loss ratio for BSNs | Does not consider the battery recovery and discharging time, and hardware test-bed |
| Our Proposed ABA | A Novel Adaptive Battery-Aware Algorithm for Data Transmission in IoT-based Healthcare Applications | The proposed ABA implements and adopts the recovery effect for enhancing energy efficiency, battery lifetime, reliability, throughput and reduces the unplanned outages and hotspot | Slightly more complexity in hardware setup and more processing time |
Publisher’s Note: MDPI stays neutral with regard to jurisdictional claims in published maps and institutional affiliations. |
© 2021 by the authors. Licensee MDPI, Basel, Switzerland. This article is an open access article distributed under the terms and conditions of the Creative Commons Attribution (CC BY) license (http://creativecommons.org/licenses/by/4.0/).
Share and Cite
Magsi, H.; Sodhro, A.H.; Al-Rakhami, M.S.; Zahid, N.; Pirbhulal, S.; Wang, L. A Novel Adaptive Battery-Aware Algorithm for Data Transmission in IoT-Based Healthcare Applications. Electronics 2021, 10, 367. https://doi.org/10.3390/electronics10040367
Magsi H, Sodhro AH, Al-Rakhami MS, Zahid N, Pirbhulal S, Wang L. A Novel Adaptive Battery-Aware Algorithm for Data Transmission in IoT-Based Healthcare Applications. Electronics. 2021; 10(4):367. https://doi.org/10.3390/electronics10040367
Chicago/Turabian StyleMagsi, Hina, Ali Hassan Sodhro, Mabrook S. Al-Rakhami, Noman Zahid, Sandeep Pirbhulal, and Lei Wang. 2021. "A Novel Adaptive Battery-Aware Algorithm for Data Transmission in IoT-Based Healthcare Applications" Electronics 10, no. 4: 367. https://doi.org/10.3390/electronics10040367
APA StyleMagsi, H., Sodhro, A. H., Al-Rakhami, M. S., Zahid, N., Pirbhulal, S., & Wang, L. (2021). A Novel Adaptive Battery-Aware Algorithm for Data Transmission in IoT-Based Healthcare Applications. Electronics, 10(4), 367. https://doi.org/10.3390/electronics10040367

