Abstract
Skin aging is a complex process influenced by several factors, including UV exposure, environmental stressors, and lifestyle choices. The demand for effective, natural skincare products has driven research into plant-based oils rich in bioactive compounds. Rosehip oil has garnered attention for its high content of carotenoids, phenolics, and antioxidants, which are known for their anti-aging, photoprotective, and skin-rejuvenating properties. Despite the growing interest in rosehip oil, limited studies have investigated its efficacy on human skin using advanced imaging technologies. This study aims to fill this gap by evaluating the efficacy of cold-pressed Rosa canina seed oil on facial skin characteristics, specifically wrinkles, ultraviolet (UV) spot reduction, and erythema mitigation, using imaging technologies (the VISIA analysis system). Seed oil pressed from R. canina collected from the Băișoara area of Cluj County has been selected for this study due to its high carotenoid, phenolic, and antioxidant contents. The oil has also been analyzed for the content of individual carotenoids (i.e., lutein, lycopene, β Carotene, and zeaxanthin) using HPLC-DAD (High-Performance Liquid Chromatography—Diode Array Detector), along with lutein and zeaxanthin esters and diesters. After the preliminary screening of multiple Rosa species for carotenoid, phenolic, and antioxidant contents, the R. canina sample with the highest therapeutic potential was selected. A cohort of 27 volunteers (aged 30–65) underwent a five-week treatment protocol, wherein three drops of the selected rosehip oil were topically applied to the face daily. The VISIA imaging was conducted before and after the treatment to evaluate changes in skin parameters, including the wrinkle depth, UV-induced spots, porphyrins, and texture. Regarding the bioactivities, rosehip oil showed a significant total carotenoids content (28.398 μg/mL), with the highest levels in the case of the β-carotene (4.49 μg/mL), lutein (4.33 μg/mL), and zexanthin (10.88 μg/mL) contents. Results indicated a significant reduction in mean wrinkle scores across several age groups, with notable improvements in individuals with deeper baseline wrinkles. UV spots also showed visible declines, suggesting ideal photoprotective and anti-pigmentary effects attributable to the oil’s high vitamin A and carotenoid content. Porphyrin levels, often correlated with bacterial activity, decreased in most subjects, hinting at an additional antimicrobial or microbiome-modulatory property. However, skin responses varied, possibly due to individual differences in skin sensitivity, environmental factors, or compliance with sun protection. Overall, the topical application of R. canina oil appeared to improve the facial skin quality, reduce the appearance of age-related markers, and support skin health. These findings reinforce the potential use of rosehip oil in anti-aging skincare formulations. Further long-term, large-scale studies are warranted to refine dosing regimens, investigate mechanisms of action, and explore synergistic effects with other bioactive compounds.
1. Introduction
In recent years, the field of aging research has evolved significantly, bringing to the forefront advanced technologies that allow a detailed and accurate assessment of skin quality [1]. The VISIA system’s analysis of the skin provides insights into various parameters such as texture, wrinkles, blemishes, and pores, thus contributing to the understanding of the mechanisms of aging and the effectiveness of treatments. The VISIA analysis system, developed by Canfield Scientific Inc., provides assessments of skin conditions through multi-spectral and 3D imaging and allows the efficacy of applied treatments to be evaluated.
Bioactive compounds present in Rosa canina oil are widely recognized for their role in skin protection and regeneration, mitigating oxidative damage and preventing premature aging [2,3,4]. Rosa canina L., commonly known as rosehip, is a widespread species in Europe and Asia, recognized for its nutrient-rich pseudofruits. The oil extracted from rosehip seeds has gained significant cosmetic and therapeutic attention due to its high concentration of bioactive compounds. These compounds include vitamin A, carotenoids, polyphenols, and polyunsaturated fatty acids, known for their remarkable antioxidant properties [2,3]. R. canina oil’s most notable characteristic is its extremely high vitamin A content. Studies have shown that rosehip (fruits) contain vitamin C concentrations of up to 1252.3 mg/100 g fresh weight, thus surpassing other vitamin C-rich fruits, such as sea buckthorn (Hippophae rhamnoides) and black elder (Sambucus nigra) [5,6]. Subsequently, the abundance in vitamin A contributes significantly to the antioxidant capacity of the oil, protecting the skin from free radicals and oxidative damage caused by UV exposure [4]. In addition to vitamin C, Rosa canina is a natural source of phenolic compounds and carotenoids. Phenolic compounds, including quercetin and its derivatives, provide antioxidant and anti-inflammatory benefits, contributing to skin health and protections against premature aging [7]. Carotenoids, a prominent class of plant pigments, are responsible for the characteristic colors of various fruits and vegetables and have been extensively documented to exhibit antioxidant activity [8]. The antioxidant properties of rosehip oils are a crucial factor in determining their stability and suitability for medical applications. Studies have reported varying total carotenoid contents ranging from 36.4 to 107.7 mg/kg in oil samples from Poland [9] and 86.3 mg.kg in samples from Turkey [10]. Notably, the extraction technique employed has been shown to significantly influence the carotenoid content of rosehip oils [11], highlighting the importance of optimized extraction methods in preserving the bioactive compounds. A comprehensive study by Fromm et al. (2012) reported a total carotenoid content of 39.15 mg/kg, with β-carotene being the predominant carotenoid (9.28 mg/kg), accounting for approximately 24% of the total carotenoid content [12]. Notably, the study also detected appreciable amounts of all-trans isomers of lutein, zeaxanthin, rubixanthin, and lycopene [12]. In terms of a dermatological assessment, carotenoids, including lycopene and β-carotene, not only protect against oxidative stress, but are also involved in collagen synthesis, which is essential for maintaining skin elasticity and firmness [13].
The present study evaluated the topical application of rosehip oil for its beneficial effects on skin conditions, specifically in terms of wrinkle reduction, the management of UV spots, and the elimination of porphyrins. Each of these outcomes can be explained through plausible mechanistic pathways linked to the bioactive components of rosehip oil, which include enhancing collagen synthesis, inhibiting melanin formation, and exhibiting antibacterial effects [3,14,15]. One of the primary mechanisms by which rosehip oil reduces wrinkles is through the promotion of collagen synthesis. Collagen is an essential protein in the skin that maintains its structure and elasticity. The rich composition of rosehip oil, particularly its high concentration of polyunsaturated fatty acids (PUFAs) like linoleic and alpha-linolenic acids, supports the dermal structure and promotes fibroblast activity, which is crucial for collagen production [16,17]. Rosehip oil can activate type III collagen and accelerate collagen synthesis, leading to improved wound contraction and repair. This process is likely facilitated by the antioxidant properties of rosehip oil, attributed to its vitamin A content and phenolic compounds, which help protect skin cells from oxidative stress that can damage collagen fibers, supporting overall skin integrity and elasticity. Furthermore, studies have shown that rosehip oil has demonstrated wound-healing properties due to its richness in fatty acids, particularly linoleic, linolenic, and oleic acids [18]. However, the absorption of these compounds may be limited due to their relatively high molecular weight (>500 Da). An FTIR analysis of skin treated with R. rubiginosa oil did not detect vibration transitions characteristic of the oil, suggesting that it remains on the skin surface, which is consistent with the proposition that high molecular weight molecules may not readily penetrate the skin. Nevertheless, the topical application of R. rubiginosa fixed oil may still provide benefits through an occlusive effect, creating a protective barrier on the skin surface that prevents moisture loss and reduces transepidermal water loss [19,20]. In this regard, the study conducted by der Walt (2017) involved the formulation and preparation of two oil-in-water emulsions (o/w) [15]. The results revealed significant physical and chemical changes in both formulations, exceeding the 5% threshold in key parameters, such as active ingredients, viscosity, and conductivity. Clinical studies showed that both formulations (20% and 100% rosehip seed oil) effectively improved skin hydration levels. Additionally, both products demonstrated beneficial effects for reducing wrinkles and enhancing skin viscoelasticity [15]. In a different study, the use of chitosan films with rosehip oil-loaded nanocapsules as a future prospective application in skincare regimes has been evaluated. It was revealed that nanoencapsulation protects the oil from UV-induced oxidation, and the nanocapsules incorporated into a chitosan gel and film show promise for topical applications in dermatology and cosmetics [19].
The effectiveness of rosehip oil in managing UV spots is primarily linked to its ability to inhibit melanin formation. Melanin is produced by melanocytes in response to UV radiation, and an excess can result in pigmentation irregularities, including spots. Studies have demonstrated that rosehip oil can reduce the activity of key enzymes involved in melanin synthesis, such as tyrosinase, thereby decreasing melanin production [17,20]. This effect is further enhanced by the oil’s antioxidant properties, which counteract oxidative stress-induced melanin production, providing a dual mechanism in addressing UV-induced pigmentation [21]. Additionally, its anti-inflammatory properties may help alleviate conditions, such as post-inflammatory hyperpigmentation, that arise from UV damage [22].
The presence of porphyrins, often related to acne and other dermal issues, has been shown to be effectively managed with rosehip oil due to its antibacterial properties. The oil contains various phytochemicals that have demonstrated antimicrobial efficacy, including the ability to inhibit bacterial growth, which is critical in reducing skin lesions associated with porphyrins [23]. The antimicrobial action helps clear bacteria that might otherwise exacerbate inflammatory responses or contribute to acne development, promoting healthier skin overall. By controlling bacterial populations on the skin surface, rosehip oil may also indirectly support the prevention of porphyrin accumulation, leading to clearer skin and reduced lesion formation [24].
Therefore, the topical application of rosehip oil proves to be associated with multiple mechanistic pathways that support skin health. Its ability to enhance collagen synthesis contributes to anti-wrinkle effects, while its capacity to inhibit melanin formation addresses UV spots. Finally, its antibacterial properties play a significant role in managing porphyrins. The integration of these actions makes rosehip oil a versatile therapeutic option for various skin conditions.
The present pilot study focuses on the analysis using the VISIA system to assess the outcome of using rosehip oil as topical treatment to alleviate several skin characteristics, including color-related (i.e., red areas, spots, brown, and UV spots) and perception-related characteristics (i.e., texture, wrinkles, pores, and porphyrins). Furthermore, this study aims to assess the potential of the studied Rosa canina oil to improve the appearance and health of the skin, supporting its use in skin care products and anti-aging treatments. To the best of our knowledge, this is the first study to comprehensively investigate the effects of a topical R. canina seed oil treatment on various skin characteristics. By utilizing a systematic and quantitative approach, this pilot study aims to provide novel insights into the benefits of rosehip oil for skin health, shedding light on its potential as a natural and effective skincare solution. The findings contribute to the growing body of evidence supporting the use of natural products in dermatology and esthetics and pave the way for future research into the therapeutic applications of rosehip oil.
2. Materials and Methods
2.1. Seed Material
The fruits of Rosa canina (Municipality Baisoara, Cluj county, Romania) were carefully harvested to avoid damage. After harvest, the seeds were extracted, washed, and air-dried to ensure complete removal of impurities, an essential step in order to obtain an oil free from contaminants that could affect its properties. The seeds were subjected to a controlled drying process to reduce internal moisture, an important step for efficient oil pressing. Drying was carried out in an oven at temperature below 40 °C, to prevent degradation of heat-sensitive bioactive components, according to [25,26]. Under-drying the seeds can lead to the growth of molds and bacteria, while over-drying can lead to the loss of valuable nutrients. After complete drying, the seeds were ground to a fine powder using a grinding mill (Grindomix®, GM 200—Retsch Gmbh, Haan, Germany). The particle size obtained by grinding increases the contact surface area of the plant material, thus facilitating complete oil extraction during pressing. The powder obtained must be uniform to ensure efficient pressing and maximum oil yield.
2.2. Cold Seed Pressing and Oil Filtration
The seed powder was placed in a cold press where mechanical pressure was applied to extract the oil. The cold-pressing process was carried out at temperatures between 24 and 28 °C to reduce as much as possible the loss of bioactive components, such as essential fatty acids and antioxidants. Cold-pressing prevents the denaturation of these heat-sensitive compounds, ensuring high quality oil with therapeutic properties. The crude oil, extracted by pressing, underwent a filtration process to remove remaining solids and impurities. Filtration was carried out using nylon filters which do not react with the oil, ensuring its clarity and purity. This step is essential to obtain a high-quality end product suitable for therapeutic and cosmetic uses [27]. The filtered oil was stored in opaque brown glass containers to prevent oxidation caused by exposure to light. The containers were kept in a cool and dark place at temperatures between 18 and 22 °C and away from humidity.
2.3. Determination of Total Phenolic Compounds (TPC) Content
To determine the content of phenolic compounds in rosehip oil, a multi-step structured extraction protocol was followed. Initially, 3 mL of oil was mixed with 3 mL of hexane and vortexed to ensure uniform dispersion of the substances. Next, 5 mL of methanol/water solution was added in a 3:2 ratio to facilitate solubilization of the phenolic compounds. The resulting mixture was subjected to treatment in an ultrasonic bath for 15 min, followed by centrifugation at 25 °C for 10 min to separate the phases [28]. The sonication and centrifugation process was repeated 23 times, each time adding 3 mL of fresh hexane to maximize the extraction of the compounds. Finally, the oil samples were subjected to an evaporation step to remove residual solvents and concentrate the phenolic compounds. The concentrated residue was dissolved in 1 mL of methanol and filtered through a nylon filter with a porosity of 0.45 μm to obtain a clear extract, optimal for further analysis.
Total phenolic content (TPC) was assessed using the Folin–Ciocalteu method [29]. For this purpose, 25 µL of the sample was taken and mixed with 1.515 mL of distilled water in a 24-well microplate. Each extract was mixed with 120 μL of Folin–Ciocalteu reagent (0.2 N) and left at room temperature for 5 min. Subsequently, 340 μL of 7.5% (w/v) Na2CO3 solution was added to create primary conditions (pH~10) for the redox reaction between the phenolic compounds and Folin–Ciocalteu reagent. The resulting solution was incubated in the dark at 25 °C for 30 min. Methanol was used as a control, and absorbances were measured at 750 nm using a microplate reader (BioTek Instruments, Winooski, VT, USA). Gallic acid (0.013–1.00 mg/mL) was used to create the standard curve, and TPC in the samples was expressed as gallic acid equivalents (GAEs) in mg/100 g of plant material. The analysis was performed in triplicate.
2.4. Antioxidant Activity
The antioxidant activity of the samples was determined using the DPPH (1,1-diphenyl-2-picrylhydrazyl) free radical neutralizing capacity technique developed by [30]. To determine the antioxidant response of the samples studied, 35 μL of oil samples previously extracted in methanol was prepared in triplicates, mixed with 250 μL methanolic DPPH solution. The reaction solution was incubated for 30 min at room temperature in the dark before measuring the absorbance at 515 nm using a multi-mode plate reader (BioTek, Winuschi, Winuschi, VT, USA). The results were presented as Trolox equivalents, (μmol TE)/100 g sample.
2.5. Determination of Individual Carotenoids via HPLC-DAD Analysis
In order to determine the individual carotenoids, the standard chromatogram was first performed. For this purpose, the oil sample was dissolved in hexane in 1/1 (v/v) ratio, filtered through a Chromafil Xtra nylon 0.45 μm and 20 μL Chromafil Xtra nylon 0.45 μm filter, then injected into the HPLC system (High-Performance Liquid Chromatography). Agilent 1200 series HPLC system was equipped with degasser for solvents, quaternary pumps, DAD (Diode Array Detector). and automatic injector (Agilent Technologies, Santa Clara, CA, USA). Separation was performed on EC 250/4.6 Nucleodur 300-5 C-18 ec. column (250 × 4.6 mm, 5 μm) at a temperature of 25 °C (Macherey-Nagel, Düren, Germany). Mobile phases of acetonitrile/app/triethylamine 90/10/10/0.25 (A) and ethyl acetate/triethylamine 100/0.25 (B) were used in the following gradient: at min. 0, 90% A; at min. 10, 50% A; at min. 20, 10% A, and at min. 26 returns to 90% A. The flow rate was 1 mL/min, and chromatograms were recorded at the wavelength λ = 450 nm. Data recording and interpretation of results was achieved using Agilent ChemStation software, version Rev. B.02.01-SR2. Acetonitrile and ethyl acetate (HPLC purity) were purchased from Merck (Darmstadt, Germany) and triethylamine (99.5% purity) from Fluka (Buchs, Switzerland). Ultrapure water was purified with the Direct-Q UV system from Millipore Corporation (Burlington, VT, USA). For the identification and quantification of carotenoids in the samples, lutein, lycopene and β-carotene standards from Sigma, Virginia Beach, VA, USA, were used. For the quantification of carotenoids, calibration curves were performed by injecting five different concentrations of lutein, lycopene, and β-carotene dissolved in ethyl acetate.
2.6. Assay and Assessment of Therapeutic Effects on Human Skin Conditions
VISIA® facial scanning (Canfield Scientific Inc., BV Proostwetering, Utrecht, The Netherlands) used 3D images to identify and quantify all aspects of skin esthetics, even before there are visible signs of deterioration or aging. The system integrates imaging technologies to support clinical trials in evaluating skin health and the efficacy of various treatments (software version 8.5). The 3D imaging allows multi-angle images of the face, facilitating a complete examination of skin topography, whereas RBX enhances visualization of subcutaneous conditions, such as pigmentation and vascular problems, providing information beyond the superficial layer of skin. The TruSkin age simulates the effect of aging and predicts skin health, particularly for long-term studies. The system quantifies the depth and distribution of wrinkles and accurately identifies and measures hyperpigmented spots and pore size, helping to assess skin texture and clarity. Furthermore, the system detects sun damage not visible to the naked eye, which is important for photoprotection and skin repair studies.
2.7. Subjects and Selection Criteria
The open-label, non-blinded study was conducted on a cohort of 86 volunteers, from which 27 participants (23 females and 4 males) were selected based on skin type (i.e., normal) and stringent inclusion and exclusion criteria as part of the PhD thesis study protocol. The exclusion of 59 volunteers was due to the presence of skin conditions that could potentially confound the study outcomes or compromise the comprehensiveness of the results. This study commenced on 14 October 2024 and concluded on 23 November 2024, allowing sufficient time for the assessment of therapeutic effects. The sample size was determined based on the minimum customary criterion for pilot studies, aiming to involve at least 20 individuals with baseline and 5-week scores (ranging from 0 to 100). The study protocol was approved by an Ethics Committee with the reference ID 194/3 October 2024. Participation was contingent upon volunteers providing informed consent, ensuring their conscious and voluntary involvement. This study adopted an inclusive approach, with no gender restrictions, and enrolled volunteers aged 25–65 years, encompassing a broad adult demographic. Participants were stratified into four age groups: AG1 (25–35 years, n = 8), AG2 (36–45 years, n = 8), AG3 (46–55 years, n = 5), and AG4 (56–65 years, n = 6). Further details on participant characteristics are provided in Supplementary Table S1.
2.8. Study Design
To assess the therapeutic effects of cold-pressed R. canina seed oil on the complexion, each volunteer applied three drops of oil daily using a pipette. Application was carried out over the entire face, avoiding the eye area. This protocol was followed consistently throughout the study to ensure uniformity of treatment. Skincare routines were standardized (e.g., participants refrained from new or potentially confounding cosmetic treatments). The individuals refrained from using anything other than rosehip oil in their skincare routine. They were allowed to use regular make-up during the day and to cleanse in the evening with micellar water. Furthermore, clear instructions were given to participants regarding sunscreen use, sun exposure, or other daily skincare products. Given that the study took place in late fall, in a country where the average temperature is around 10 °C, the participants did not use SPF in their skincare routine, so as to not influence the results’ outcome on the evaluated skin characteristics, particularly UV spots and redness.
With this method of application and evaluation, the aim was to determine the improvements brought about by rosehip oil on the skin.
2.9. The Allocation of Volunteers According to the Treated Area and the Selection of the Skin Assessment Parameter Set
To be eligible for the study, volunteers had to meet certain inclusion criteria. Thus, men and women without pre-existing skin or other health conditions that could affect the integrity of the results were included. They also had not undergone any minimally invasive or invasive skin resurfacing procedures, such as fractional laser treatments, ablative laser, chemical peels, or microneedling, in the previous 12 months.
On the other hand, exclusion criteria were clearly defined to ensure the integrity and safety of the assay. Volunteers with keloid scars or a history of eczema in the treatment area, psoriasis, or other chronic skin conditions considered by the investigator as disqualifying were not considered eligible. Those with a history of actinic (solar) keratoses in the treatment area, hemophilia, or diabetes were also excluded. Volunteers with raised moles or warts on the treatment area were also excluded. Furthermore, other exclusion criteria included conditions such as scleroderma, collagen vascular disease, or cardiac abnormalities, blood clotting problems, active bacterial or fungal infections, facial melanosis, malignant tumors, or immunosuppressant. Also, the use of anticoagulants or prednisone, pregnant or breastfeeding women, corticosteroid administration in the last two weeks before the procedure, chronic liver disease, porphyria, or other skin diseases were reasons for exclusion.
2.10. Statistical Analysis
The statistical analyses were assessed using SPSS software (version 19). As a pilot study, the primary focus of the statistical analyses was descriptive statistics reflecting acceptability and outcome scores of the topical treatment. Dermatology parameters measures were tested for normality using the Shapiro–Wilk test. Mann–Whitney pairwise comparison with Bonferroni corrected p values was used for comparing groups with normal distributions (Supplementary File). Cohen’s d was employed to assess effect sizes; values in the range between 0.20 and 0.49 represent minor effect sizes, between 0.50 and 0.79 denote medium effect sizes, values between 0.80 and 1.19 indicate high effect sizes, and values exceeding 1.20 reveal very large impact sizes [31]. Statistical power and sample size using goal seek have been generated to provide insights into the implications and necessary sample size, which can be used in future investigations (Supplementary Table S5).
The data are represented as means ± standard deviation. Box plots were generated using the ggplot2 package. Principal component analysis (PCA) was employed to visualize trends associated with the age groups and evaluated skin parameters according to each side of facial characteristics. Pearson’s correlation coefficients were constructed to evaluate the associations before and after 5 weeks of topical treatment with rosehip with the assessed skin parameters. Heatmaps and hierarchical cluster analysis (HCA) were created, employing the Euclidean distance to point out the resemblances and distinctions in the improvements or detrimental effects imposed by the topical application of rosehip oil. The packages used included cluster R, dendextend, and ggplot from the R database (version 2024.12.1).
3. Results
3.1. R. canina Oil TPC and Antioxidant Activity
Prior to the initiation of the clinical study, a detailed laboratory analysis was conducted to determine the chemical composition and therapeutic potential of R. canina oil. The results revealed a high total carotenoid content, reaching values of up to 32.687 µg/mL in samples collected from the Băișoara region, indicating a significant concentration of natural antioxidants. Furthermore, the assessment of phenolic compounds showed a total content of 2.637 mg gallic acid equivalents (GAEs)/100 g, and the antioxidant potential measured by the DPPH assay was of 5.572 μmol Trolox/100 g. These findings suggest that R. canina oil not only exhibits a high antioxidant capacity but also possesses skin-protective and regenerative properties, thereby justifying its inclusion in the proposed clinical study to investigate its therapeutic effects on human skin.
3.2. Determination of Carotenoids by HPLC-DAD Method
Carotenoids (lutein, lycopene, and β-carotene) were identified by comparing retention times and UV-VIS absorption spectra with those of standard substances (Supplementary Table S2), and lutein and zeaxanthin esters and diesters were assessed by a comparison with literature data [13].
The chromatogram for the oil extracted from R. canina seeds from the Băișoara area, recorded at a wavelength of 450 nm, is displayed in Supplementary Figure S1. The chromatogram was obtained using HPLC, an advanced method for the separation and identification of chemical compounds, with a specific detection for carotenoids and other compounds absorbing in the 450 nm spectral region. The major peaks at Rt = 12.306 and Rt = 19.542 are mostly representative for lutein, β-carotene, and other carotenoids present in R. canina oil, which are essential for antioxidant properties and various human health benefits. A detailed overview of the chemical composition of the R. canina oil observed by the diversity of peaks indicates chemical complexity, which may contribute to its therapeutic and antioxidant potential. The dominant peak at Rt = 19.542 is presumably associated with β-carotene, known for its beneficial effects as a potent antioxidant. This implies that R. canina oil from the Băișoara area is rich in bioactive compounds, which is relevant for therapeutic and cosmetic applications. The chromatogram confirms the therapeutic and antioxidant value of the oil, demonstrating the importance of optimizing extraction methods to maximize the yield of bioactive compounds. Table 1 shows the content of free and esterified carotenoids detected in the Rosa canina oil from the Băișoara area. The rosehip oil showed a significant total carotenoids content (28.398 μg/mL), with the highest levels in the case of β-carotene (4.49 μg/mL), lutein (4.33 μg/mL), and zexanthin (10.88 μg/mL) contents.
Table 1.
Individual carotenoids identified in R. canina oil.
3.3. Overall Skin Improvement Results Evaluated with VISIA System on Different Parameters
The VISIA system provided an overview of various parameters, including texture, wrinkles, blemishes, and pores, according to the subject’s skin type, age, and gender.
Several skin parameters were evaluated, including color-related (i.e., red areas, spots, brown, and UV spots) and perception-related characteristics (i.e., texture, wrinkles, pores, and porphyrins). Regarding color-related parameters, the red areas score registered an overall slight increase after the topical application of rosehip oil from 12.79 to 13.37, which might denote different skin types and sensitivities. The score of spots was revealed to have a comparable tendency before (31.17) and after (31.42) the end of the treatment, as also noticed in the case of UV spots, which registered a trivial intensification from 16.53 to 18.85. Surprisingly, the score in brown spots diminished post-treatment, with a score from 18.22 to 17.47, highlighting the effectiveness of rosehip oil in reducing skin pigmentation and signs of aging and promoting skin brightness. Subsequently, the texture score presented a reduction from 6.90 to 5.03, highlighting the efficiency of the treatment in reducing roughness and promoting glossiness. The porphyrins registered a decrease in score from 11.13 to a final score of 10.37 post-treatment. The porphyrin content is known to be highly related to proinflammatory outcomes owing to the presence of bacterial activity, which may also promote the formation of acne predominantly in individuals with an oily type skin. A diminished score in facial pores has also been recorded from 12.51 to 11.23. A positive outcome has been observed in the case of wrinkle visibility with values from 17.20 to 15.75, which underlines the effectiveness of rosehip oil in promoting skin elasticity.
3.3.1. True Skin Age
The true skin age parameter evaluated the changes and improvement in the skin complexion and can be visualized in Figure 1. Significant differences have been observed before and after the topical treatment, particularly in AG1 on the right side of the face before (33.5 ± 4.87) and after (29.625 ± 6.07); however, there was a small effect size before and after treatment (95% conf. interval = −4.9679, 8.8938; Cohen’s d = 0.1547). Insignificant differences have been recorded in the other age groups with similar values before and after the treatment. The same outcome has been recorded on the left facial side (95% conf. interval = −6.294, 7.9237; Cohen’s d = 0.0626), with an improvement in skin complexion in AG1 as observed before (32.571 ± 5.782) and after (30 ± 6.141) 5 weeks. The following age groups recorded a slight improvement in their complexion, such as in AG2 from 37.714 ± 4.627 to 36.625 ± 5.423, followed by AG3 with similar positive effects from 54.75 ± 8.62 to 52 ± 7.906. Lastly, individuals in AG4 presented a trivial enhancement with values starting from 60.40 ± 5.762 to 59.01 ± 6.633.
Figure 1.
The assessment of the TruSkin age evaluated with the VISIA analysis system for the right and left side of the face, before (left chart) and after (right chart) 5 weeks of the rosehip oil treatment; AG—age group; L—left side of the face; R—right side of the face; 1–4, individuals divided by age, starting from younger to older. Significant differences are represented by asterisks and p values, where * represents a significance level less than 0.05, ** represents a significance level less than 0.01, and *** represents a significance level less than 0.001.
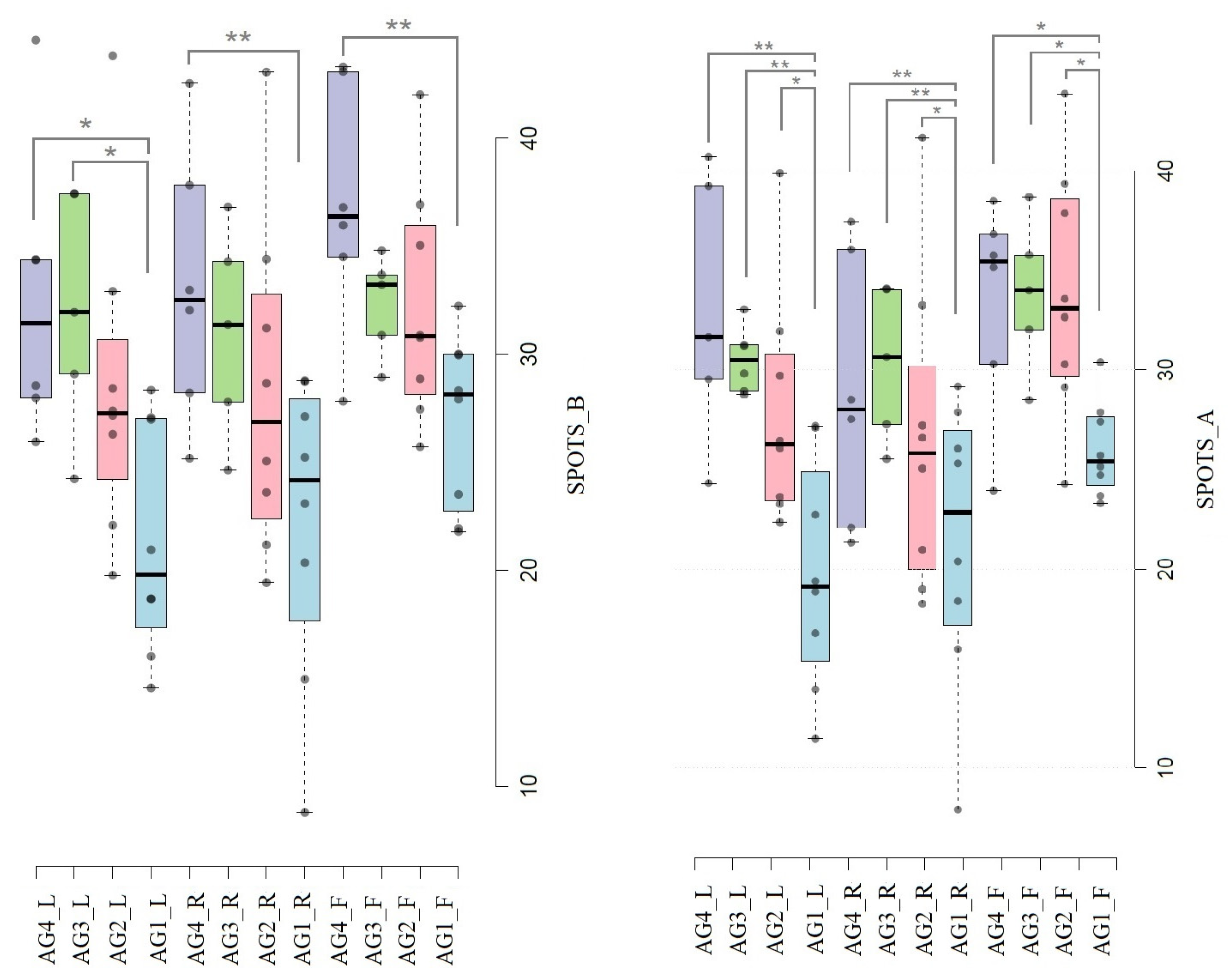
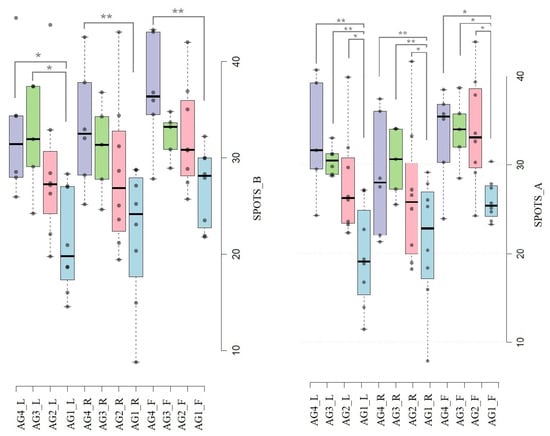
3.3.2. Assessment of Spots
The evaluated score of spots highlighted the effectiveness of the treatment in terms of alleviating their appearance based on the age group and the scanned side of the face (Figure 2). Consequently, the differences between the age groups proved to be significant, mainly regarding AG1 and the others (p < 0.01). Regarding the front side of the face, the score of spots presented a slight reduction before (26.963 ± 4.014) and after (26.026 ± 2.385) the treatment in AG1 (Table 2).
Figure 2.
Assessment of spots evaluated with VISIA analysis system before (left chart) and after (right chart) 5 weeks of rosehip oil treatment. Significant differences are represented by asterisks and p values, where * represents a significance level less than 0.05, ** represents a significance level less than 0.01.
Table 2.
Differential characteristics of the evaluated front side of the face, the correlation between age groups, and the evaluation with the VISIA analysis before (B) and after (A) the topical treatment with rosehip oil.
The most notable change has been recorded in RC01, with a spots score of 32.234 before and a score of 23.681 after 5 weeks. Nonetheless, a higher effectiveness of the treatment has been observed in the following group, in which the VISIA system recorded a substantial decrease in their score as evidenced before (32.209 ± 5.427) and after 5 weeks (33.871 ± 6.264). In the following age group, the spots score presented similar values before (32.303 ± 2.361) and after the treatment (33.792 ± 3.843), which might be due to the skin type (i.e., oily due to lack of moisture). Lastly, in AG4 a considerable diminished score has been visualized with the VISIA system, as seen with the values before (36.915 ± 5.799) and after the end of the treatment period (33.403 ± 5.389). Overall, significant differences between the age groups have been observed mainly after the topical oil application (p < 0.01); however, there was a small effect size (95% conf. interval = −2.8396, 3.4191; Cohen’s d = 0.05057).
An improvement in the spots’ appearance and visibility has been regarded on the right side of the face, with significant differences in all age groups (Table 3) but an overall small effect size (95% conf. interval = −3.0946, 5.0082; Cohen’s d = 0.129). The score in spots recorded a slight decrease in AG1 after 5 weeks (21.388 ± 7.173), with similarities also observed in the front side of the face. Positive alterations in the spot appearance have been recorded in RC16, with a reduction from 20.354 to 18.39, followed by RC21 with comparable outcomes from 23.086 to 20.393 at the end of the treatment. Although insignificant, equivalent positive responses have been attained in both AG2 and AG3. Interestingly, in AG4 the spots score presented a moderate improvement using the rosehip oil, with a starting score of 33.129 ± 6.313 and a final score of 28.823 ± 6.777. Relatively dissimilar changes occurred on the left side of the face compared to the right side (Table 4). The most notable changes in terms of spots occurred in AG1, which recorded a score of 22.388 ± 5.378 compared with the final score of 19.685 ± 5.725, suggesting patients’ tendency of sleeping on the right side of the face. Similar outcomes have been observed in AG2 and AG3 at the end of the treatment with a score beginning from 28.67 ± 7.36 and 32.76 ± 5.653 to a slightly lower score of 27.912 ± 5.844 and 30.498 ± 1.64. The final age group presented insignificant changes. In general, significant differences in the right and left sides of the face have been recorded between AG1 and AG2 (p < 0.05) and between AG1 and both AG3 and AG4 (p < 0.01). The results suggest that topical oil applications may have a more pronounced effect on the spot appearance and visibility in younger age groups, indicating that age may play a role in the efficacy of this treatment method for improving skin spots.
Table 3.
Differential characteristics of the evaluated right side of the face, the correlation between age groups, and the evaluation with the VISIA analysis before and after the topical treatment with rosehip oil.
Table 4.
Differential characteristics of the evaluated left side of thfe face, the correlation between age groups, and the evaluation with the VISIA analysis before and after the topical treatment with rosehip oil.
3.3.3. Assessment of Red Areas
A damaged skin barrier may augment the susceptibility to several external factors which eventually intensify inflammatory reactions, including burning sensations, itchiness, and a feeling of tightness. The topical treatment on the front side of the face revealed insignificant differences between the age groups at the beginning of the treatment, except AG1 and AG4 (p < 0.01) which is to be expected to be due to the age gap (Figure 3; Table 2), with a small effect size (95% CI = −1.7885, 2.9576; Cohen’s d = 0.1345). Conversely, significant differences between AG4 and the other assemblages (AG1-AG3) have been regarded at the end of the treatment period. Thus, individuals in AG1 perceived discrepancies in the treatment (from 10.401 ± 1.672 to 10.459 ± 1.332), with several cases of diminished inflammatory sensations and redness visibility (e.g., RC02, and RC27); whereas others experienced a slight itchiness and an increased inflammatory response (e.g., RC01, RC 5, and RC 11). Improved outcomes were perceived from the second group, particularly in RC04, RC08, RC13, and RC20, with lessened unpleasant experiences and a visible improvement in red areas, as observed at the beginning (12.603 ± 3.94) and at the end (12.264 ± 2.291) of the treatment. Interestingly, the score in red areas presented similar values after 5 weeks in AG3, with no inflammatory responses reported by the individuals. Lastly, the majority in AG4 experienced a slight inflammatory response to the treatment and an increased visibility in redness with values from 16.568 ± 2.895 to 19.582 ± 7.308.
Figure 3.
The assessment of redness or inflammatory responses evaluated with the VISIA analysis system before (left chart) and after (right chart) 5 weeks of the rosehip oil treatment. Significant differences are represented by asterisks and p values, where * represents a significance level less than 0.05, ** represents a significance level less than 0.01.
The changes before and after the 5 weeks of treatment proved to have a more significant effect on the right side of the face compared with the front (Table 3), although the effect size proved to be relatively small (95% CI = −3.2462, 5.2802; Cohen’s d = 0.1303). Therefore, in AG1, a slight reduction in the appearance of redness has been observed in several individuals, including RC02 who experienced a positive outcome of the treatment with scores from 12.952 to 9.306; an effect was also observed in RC16 with scores from 13.44 to 12.672. Conversely, several individuals experienced a slight increase in the score of red areas, which may be due to the skin’s inflammatory–sensitive type or a reaction to some existing components of the rosehip oil. The effect is observed in the overall appearance of redness in all evaluated patients, with a score of 10.648 ± 2.466 at the beginning of the treatment and finalizing with a value of 10.957 ± 2.183 at the end of the session. Significant differences in terms of red spots have been revealed between AG1 and AG4 (p < 0.01), which is to be expected due to the differential age category and changes in skin conditions and characteristics with aging (i.e., pronounced redness, inflammatory responses, and sensitivity). In AG2, responses to the treatment differed between the evaluated individuals, with an overall positive outcome with a decrease in the redness score from 14.975 ± 7.291 to 14.354 ± 5.305. The most notable change was shown in RC04 with a positive response and a diminished score from 18.204 to 9.368, followed by RC13 with a reduction in redness from 30.278 to 25.974. This group’s results proved to have significant differences compared with AG4 (p < 0.05). Subsequently, AG3 individuals experienced a slight inflammatory response to the topical application, with an enhanced score from 13.353 ± 3.932 to 14.232 ± 4.319. Lastly, the individuals in AG4 experienced a positive outcome; however, a single patient (i.e., RC24) experienced a relatively high inflammatory response as evidenced from the change in the redness area from 26.938 to 53.691 (Table 4). These results suggest that AG3 and AG4 individuals had varying reactions to the topical application, with some experiencing improvements and others showing increased inflammation.
3.3.4. Wrinkle Assessment
Wrinkles are lines and folds that form on the skin, often as a result of natural aging, exposure to ultraviolet (UV) radiation, repetitive facial expressions, and the loss of skin elasticity. They are most commonly seen in areas frequently exposed to the sun, such as the face, neck, hands, and arms. A wrinkle assessment is essential in dermatologic and anti-aging studies to determine the effectiveness of treatments. The system allowed an accurate and objective analysis of the wrinkle depth and distribution, providing data for improving anti-aging products and procedures, as shown in Figure 4. Detailed pre- and post-treatment scans help monitor the progress and quantify the benefits of different therapies.
Figure 4.
The assessment of wrinkles evaluated with the VISIA analysis system before and after 5 weeks of the rosehip oil treatment. The highlighted areas on the face represent the depth of the wrinkles.
Figure 4 displays a comparison of facial scans performed with the VISIA® system, before (14 October 2024) and after 5 weeks of treatment (23 November 2024). Overall, the scans revealed a visible reduction in the number and depth of wrinkles, confirming the effectiveness of the treatment applied.
The reduction or increase in wrinkles has been confirmed by the relative fluctuations in their score based on the age group (AG), particularly between AG1 and AG4 (p < 0.01). Regarding the front side of the face from the AG1 group (25–35 years old), discrepancies in terms of wrinkle scores before (5.199 ± 4.089) and after the treatment (5.634 ± 5.781) have been observed among individuals, although a small effect size has been recorded (95% CI = −8.8424 11.742; Cohen’s d = 0.07692). Interestingly, RC05 presented an intensification in the wrinkle score from 1.33 to 19.09. The same effect has been observed in RC11, which recorded an intensification in the wrinkle score from 1.95 to 4.56. These unpleasant outcomes may be due to some individuals’ skin type and sensitivity to vitamin A and their living habits (i.e., environmental conditions, including region, temperature, humidity, etc.). Nonetheless, a significant diminution in wrinkle scores has been regarded in other individuals, such as in RC01, from 2.71 to 0.52, and in RC02, from 5.36 to 1.89. Additionally, in AG2 (36–42 years old) a similar pattern as observed in AG1 has been observed in the evaluated individuals, however, with significant results before (8.77 ± 6.15) and after treatment (11.69 ± 11.456). The highest variation in the wrinkle score has been recorded in RC07, from 17.58 to 36.13, with comparable outcomes in RC04, from 6.24 to 14.91. Conversely, a reduction in the wrinkle score has been regarded in RC10, from 10.80 to 4.82, and in RC20, from 8.56 to 5.51. Regarding AG3 (43–52 years old), in several individuals the wrinkle score was significantly reduced, particularly in RC25 from 75.34 to 54.24 and in RC17 from 37.71 to 16.79, demonstrating a major improvement of the skin in the periocular area. Overall, the wrinkle score recorded a considerable decrease from 26.102 ± 30.801 to 21.17 ± 18.811. Regarding the AG4 group (53–60 years old), discrepancies and noteworthy alterations have been recorded, particularly in RC23 in whom the wrinkle score decreased from 73.63 to 34.60, followed by RC24 with a gradual decrease in wrinkles from 51.34 to 37.38. In general, the wrinkle score recorded a substantial decrease from 37.059 ± 28.041 to 30.176 ± 13.872, showing a noticeable overall improvement in the skin condition. Therefore, the present results suggest the effectiveness of rosehip oil in improving the signs of aging and increasing skin quality in participants across different age groups. The specific improvements distinguished in specific sets of individuals indicate targeted benefits of topical applications of rosehip oil. Differential characteristics of the different sides of the face and the correlation between age groups and the evaluation with the VISIA analysis can be visualized in Table 1, Table 2, Table 3 and Table 4. Concerning the right and left sides of the face, no significant variations in terms of wrinkle visibility have been recorded in each individually evaluated age groups, as also observed by the low effect size recorded in both the left (95% CI = −6.4869 8.1555; Cohen’s d = 0.06224) and right side (95% CI = −7.4878 8.4385; Cohen’s d = 0.0326).
3.3.5. Assessment of Spots Caused by UV Radiation
UV spots are skin manifestations resulting from the excessive exposure to the sun’s ultraviolet (UV) radiation. These spots are often invisible to the naked eye and may appear on the face, hands, or other exposed parts of the body. They indicate cell damage caused by UV radiation, which can accelerate skin aging and contribute to dermatological conditions, including skin cancer. In Figure 5 a detailed assessment of skin health and the effectiveness of rosehip oil and anti-aging treatments can be visualized.
Figure 5.
The assessment of wrinkles evaluated with the VISIA analysis system before and after 5 weeks of the rosehip oil treatment.
The VISIA system also identified and quantified UV spots, which indicate damage caused by ultraviolet (UV) radiation. The score of UV spots on the front side of the face recorded a slight increase in AG1 from 11.735 ± 7.664 to 15.56 ± 6.575 after 5 weeks of treatment, which may denote the skin’s sensitivity to rosehip (Table 2). Furthermore, the AG2 group presented little to no modification in the UV spot visibility from 20.749 ± 5.165 to 20.277 ± 5.795. Nonetheless, although insignificant, a visible decrease in the UV spots score has been confirmed in several patients of this group, namely RC18 (from 23.50 to 21.06), RC10 (from 22.22 to 21.95), and RC22 (from 21.76 to 19.14). A similar pattern regarding the UV spots’ visibility has also been observed in AG3 before, with a score of 17.803 ± 8.088, and after the end of the treatment, with a score of 22.728 ± 5.914. Lastly, the AG4 group also presented a slightly higher rate of UV spots from 23.048 ± 8.353 to 24.419 ± 6.843. Overall, while there were individual variations in UV spot scores among patients, the general trend showed a slight increase in the UV spot visibility post-treatment (Table 3 and Table 4), as also denoted by the small effect size in the front (95% CI = −1.6947, 6.3331; Cohen’s d = 0.3156), right (95% CI = −2.8422, 4.6293; Cohen’s d = 0.1306), and left sides (95% CI = −6.4869, 8.1555; Cohen’s d = 0.06224) of the face. This suggests that rosehip oil may not have been as effective in reducing UV spots for all participants, due to factors including skin types and the sensitivity to the oil components (i.e., vitamin A content).
3.3.6. Assessment of Brown Spots
Risk indicators for oily or sensitive skin types relate to elevated melanin contents and a high proportion of perioral lines. These features may indicate that the skin is inadequately shielded from UV rays, which can result in more noticeable pigmentation and aging symptoms. Since augmented melanocyte activity may affect the skin’s defense towards external stimuli, these implications are linked to a degradation of the skin barrier’s normal functioning. According to scientific investigations, UV rays can impair the function of the skin’s barrier, cause inflammatory reactions in the skin, and trigger photoaging symptoms. Insignificant differences in terms of hyperpigmentation have been recorded in the front part of the face at the beginning and at the end of the treatment period, with a small effect size before and after the treatment (95% CI = −2.2581 3.7515; Cohen’s d = 0.1357) (Figure 6; Table 2). Conversely, improved skin complexion has been observed on the right side of the face with significant differences between close-related age groups 1 and 2 (Table 3), although a small effect size has been recorded (95% CI = −2.8422 4.6293; Cohen’s d = 0.1306).
Figure 6.
The assessment of brown spots evaluated with the VISIA analysis system before (left chart) and after (right chart) 5 weeks of the rosehip oil treatment. Significant differences are represented by asterisks and p values, where * represents a significance level less than 0.05.
With age, individuals with fair complexions are prone to freckle formation, particularly after a prolonged sun exposure. As highlighted in the previous sub-section, the use of rosehip oil may produce an inflammatory response or sensitivity due to several factors, including age and melanogenesis initiated by UV radiation exposure. Elevated scores in brown spots have been observed on the right side of the face irrespective of age groups. In AG1, the score started from a value of 14.14 ± 8.28 to a final value of 17.105 ± 6.413. Although insignificant, a similar tendency has been recorded in AG2, with a score of 24.996 ± 6.696 to a final score of 25.344 ± 6.111. A higher inflammatory response has been recorded in AG3 after the topical treatment, with a relatively lower score of 17.803 ± 8.088 which gradually increased to 22.728 ± 5.914 3 after 5 weeks. In the last group, the rosehip did not have a detrimental effect, the score having a minimum change from 23.048 ± 8.353 to 24.419 ± 6.843. Relating to the left side, a similar tendency for elevated pigmentation scores on the right side has been recorded (Table 4), with a very small effect size (95% CI = −3.0548, 4.1229; Cohen’s d = 0.08127). It is important to note that individuals with fair complexions should take extra precautions when exposed to the sun to prevent freckle formation. Additionally, proper skin care routines and the regular use of sunscreen can help minimize the effects of UV radiation on melanogenesis, which is not the case taking into account the implementation period of the present study (i.e., late fall).
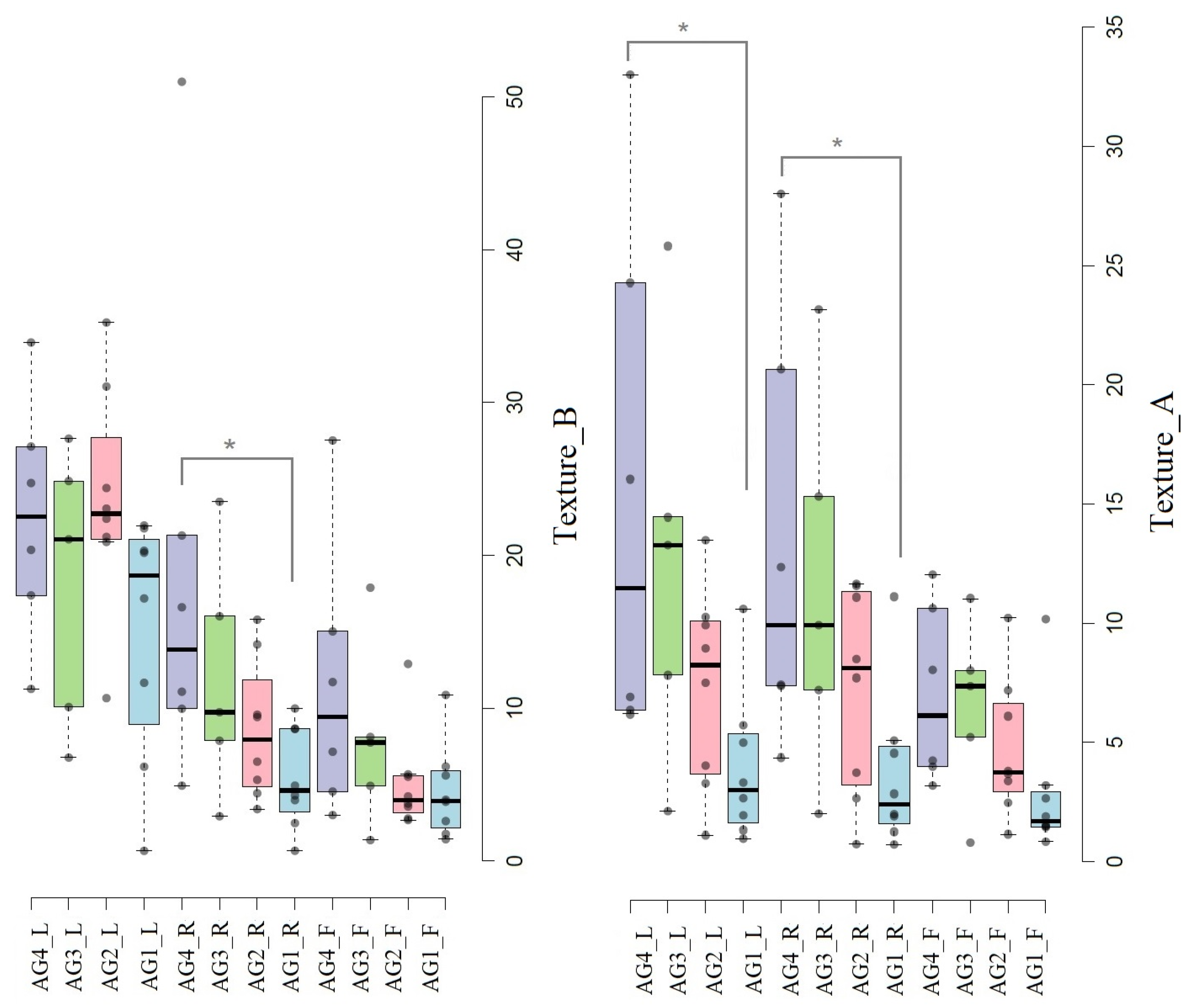
3.3.7. Texture Level Assessment
Dermatologists demonstrate a particular emphasis for evaluating the surface skin texture, as these measurements are intended for skin diagnostics and evaluating cosmetic efficiency or therapeutic treatments, as shown in Figure 7. The front facial side presents a general improvement in skin texture, which has been positively perceived by most of the volunteers, particularly females who stated that the rosehip oil gave a similar “glass skin” effect as other cosmeceutical products (Table 1). Thus, AG1 recorded a decreased score in texture from 4.542 ± 3.062 to 2.906 ± 3.031. An equivalent achievement has been detected in the following AG2 group, with a starting value of 5.138 ± 3.325 and a final value of 4.758 ± 2.92. In AG3, the skin complexion improved as observed by the decrease in scores from 8.008 ± 6.149 to 6.496 ± 3.797. Lastly, a visible and considerable effect has been attained in AG4 with a score from 11.492 ± 9.038 to 7.029 ± 3.764. Regarding the right side of the face, a similar positive tendency for texture enhancements has been regarded particularly in AG1 and AG4 (p < 0.05), with a small effect size (95% CI = −2.3804, 6.9803; Cohen’s d = 0.2684) (Table 2).
Figure 7.
The assessment of texture evaluated with the VISIA analysis system before (left chart) and after (right chart) 5 weeks of the rosehip oil treatment. Significant differences are represented by asterisks and p values, where * represents a significance level less than 0.05.
Individuals in AG1 recorded a development from 5.455 ± 3.304 to 3.657 ± 3.383, whereas volunteers in AG4 presented a noteworthy improvement from 19.144 ± 16.592 to 13.451 ± 9.32. Regarding the left side of the face, discrepancies with the right side have occurred which may be due to patients’ sleeping habits, as observed by the very small effect size (95% CI = −2.8772 5.5836; Cohen’s d = 0.1747) (Table 3). Thus, the texture score in AG1 presented comparable results with the other facial side before (6.504 ± 3.09) and after (3.952 ± 3.17) the treatment. Insignificant changes occurred in the following groups; namely AG2 and AG3, which recorded a texture score of 8.917 ± 4.324 and 15.341 ± 8.585 at the beginning of the treatment with a final score of 7.325 ± 4.168 and 12.698 ± 8.816. The last group recorded a general positive effect with a score of 15.341 ± 8.585 before the topical oil application and a final score of 12.698 ± 8.816, emphasizing the optimistic use of rosehip oil for complexion improvements based on both skin types (a younger and fair complexion and/or mature skin). It is important to note that a further investigation may be needed to determine the specific factors contributing to these differences in the texture enhancement between the right and left sides of the face. Additionally, considering individual lifestyle factors, such as sleep quality, could provide valuable insights into optimizing treatment outcomes for patients in future studies.
3.3.8. Assessment of Pores and Porphyrins
Porphyrins are organic compounds that play an essential role in cell biology, being structural components of vital molecules such as hemoglobin and chlorophyll. In the context of dermatology and skin health, porphyrins are produced by bacteria living on the surface of the skin, including Propionibacterium acnes, which contribute to acne formation. The analysis of porphyrins on the skin can provide valuable information about the state of the skin microbiome and help identify problems such as acne and other bacterial infections. Porphyrins provide a detailed assessment of skin health and the effectiveness of dermatologic treatments, as can be seen in Figure 8.
Figure 8.
The assessment of porphyrins evaluated with the VISIA analysis system before and after 5 weeks of the rosehip oil treatment.
The number of porphyrins on the front side of the face recorded a decrease from 1989 to 1894 after 5 weeks of treatment, demonstrating a reduction in bacterial activity and an improvement in the overall skin condition (Table 2), even though a small effect size has been observed (95% CI = −4.4836, 5.2776; Cohen’s d = 0.04442). Regarding AG1, the porphyrin score decreased from 14.372 ± 9.908 to 12.924 ± 7.661, signifying a general enhancement in skin health compared to the reference group. The following age groups recorded similar outcomes after the topical treatment with rosehip oil: from 12.101 ± 10.241 to 12.148 ± 12.42 in AG2 and from 11.761 ± 11.974 to 11.036 ± 9.098 in AG3. Conversely, in AG4 a slight increase in the porphyrin score has been observed (from 9.785 ± 5.474 to 10.471 ± 4.199). Regarding the right side of the face, a positive outcome has been observed by the diminution in the porphyrins score in most of the evaluated individuals, mostly in AG1 and AG2 (Table 3), although a very small effect size has been recorded (95% CI = −4.3131, 4.6733; Cohen’s d = 0.02189). In AG2 the porphyrins score slightly decreased after 5 weeks of the topical treatment from 12.903 ± 10.138 to 11.851 ± 11.701. Overall, the results suggest that rosehip oil may have a beneficial effect in reducing the porphyrins score in acne-affected or oily skin individuals. Regarding the score of pores, insignificant differences have been recorded both between age groups and the evaluated period (Supplementary Figure S2), which is supported by the very small effect sizes recorded on all sides of the face.
4. Discussion
The present study demonstrated the significant potential of Rosa canina oil in improving facial skin characteristics, particularly in reducing wrinkles, UV-induced spots, and porphyrin levels. These findings align with the previous research highlighting rosehip oil’s antioxidant, anti-inflammatory, and skin-regenerative properties [2,3]. Several studies support the therapeutic potential of R. canina oil, attributing its bioactivity to its rich antioxidant composition. For instance, a study conducted by Roman et al. (2013) highlighted the variability of phenolic compounds and antioxidant activity in wild R. canina populations from Transylvania, reporting similar values for the polyphenol content and antioxidant potential [32]. Similarly, Koczka et al. (2018) confirmed the significant antioxidant activity of rosehip oil, emphasizing its protective effects against oxidative skin damage [33]. Moreover, studies reported total carotenoid contents ranging between 8.00 and 49.00 mg/100 g, which are consistent with the values obtained in the present study for cold-pressed oil [34]. In the study conducted by Szentmihályi et al. (2002) [11], it was reported that R. canina seed oil contains about 170 µg/g of total carotenoids, which is equivalent to 17 µg/mL. This result, although lower, is comparable to the value recorded for the rosehip oil under study [11]. Similarly, in the study conducted by Demir et al. (2014), carotenoid contents in the range of 25–35 µg/mL were reported, which demonstrates the methodological consistency and quality of the studied samples [35]. In comparison with other studies, the total carotenoid content in R. canina seed oil ranges from 20 to 86 µg/g, depending on the extraction method used [10]. The results obtained for the rosehip originated from Băișoara (32.687 µg/mL) fall within this range, being comparable with the values obtained by cold-pressing in the mentioned study. Furthermore, Barros et al. (2011) indicated a total carotenoid content of approximately 15–30 µg/mL in R. canina oil, values similar to those obtained in the present study for the rosehip from Băișoara [36]. Interestingly, ascorbic acid proves to be present in high amounts in seeds [36]; however, it proves to be absent in seed oil. Similarly, Koczka et al. (2018) confirmed the significant antioxidant activity of rosehip oil, emphasizing its protective effects against oxidative skin damage [33]. Recent studies have elucidated a diverse profile of individual carotenoids in rosehip seed oil. An analysis performed by Medveckienė et al. identified five carotenoids in the seed of Rosa spp., namely α-carotene, lutein, zeaxanthin, cis-lycopene, and trans-lycopene, underscoring the distinct carotenoid pattern compared to the flesh of the fruit [34,37]. Complementarily, rosehip seed oil also contains other major carotenoids, particularly lycopene, β-carotene, and rubixanthin, which substantially contribute to its bioactive potential [38]. In further support of this diversified carotenoid profile, it has been observed that while lycopene and β-carotene are predominant, only traces of lutein, zeaxanthin, and rubixanthin are present, emphasizing the complexity of the carotenoid distribution within different parts or extracts of rosehips [39].
Moreover, a comprehensive review expanded the known carotenoid spectrum in rosehip seed oil by detecting additional minor carotenoids, such as violaxanthin, γ-carotene, and neochrome, alongside rubixanthin and lycopene [40]. These findings are in agreement with reports that quantify the total carotenoid content in rosehip oil; for instance, the oil may contain carotene pigments at concentrations up to 107.7 mg/kg, further highlighting its richness in these bioactive compounds. The identification of both provitamin A carotenoids (e.g., α-carotene and β-carotene) and non-provitamin A carotenoids (such as lutein and zeaxanthin) suggests significant therapeutic implications, including antioxidant and photoprotective benefits [41]. Collectively, these studies provide robust evidence that rosehip seed oil possesses a complex and varied carotenoid composition. The presence of both major and minor carotenoids not only contributes to its color and potential health benefits, but also positions rosehip seed oil as a valuable source of natural bioactive compounds with applications in pharmaceutical and cosmetic fields. These findings, along with the laboratory analyses performed on the R. canina oil used in this study, reinforce the scientific foundation for its application in clinical research [22,42,43].
The application of topical rosehip oil has garnered interest in esthetic dermatology due to its potential benefits for skin rejuvenation and improvement. The VISIA skin analysis has been validated in several studies for its effectiveness in objectively quantifying changes in skin conditions, including the pore size, skin texture, wrinkles, and pigment spots [44,45,46,47]. Specific features, like the TruSkin Age score, help clinicians and researchers understand a patient’s skin health relative to their chronological age, underlining skin conditions such as UV damage and discoloration [48]. This makes it an invaluable asset for both clinical studies and cosmetic practices involving topical treatments like rosehip oil. The research indicates that rosehip oil contains essential fatty acids and antioxidants, which may aid in hydrating and rejuvenating the skin [49,50]. Studies suggested that rosehip oil can improve the appearance of skin by reducing fine lines and enhancing overall texture [51,52]. Studies that monitor skin improvements using VISIA after topical applications demonstrate that it can measure enhancements in skin parameters, thus providing a quantitative basis for evaluating the efficacy of rosehip oil in skincare. The insights from the VISIA analysis not only quantify improvements but also assist practitioners in tailoring personalized skincare regimens based on individual skin responses. Given the clinical evidence supporting rosehip oil’s efficacy in skin rejuvenation, its combined assessment with the VISIA system could help solidify its place in therapeutic and cosmetic dermatology. Thus the integration of topical treatments and this system is critical in advancing the field of esthetic medicine, where objective measurements can help inform strategies and evaluate outcomes more effectively [53,54]. Nonetheless, the VISIA system has several limitations, including a limited depth penetration, primarily assessing the skin surface and superficial features. Its accuracy may be affected by diverse skin types and tones, potentially leading to inconsistent results. Its operator-dependent variability and limited dynamic range may also impact results. Furthermore, the system primarily evaluates visual skin features, not functional aspects like the skin barrier function or hydration, highlighting the need for the careful interpretation of results and the consideration of potential biases.
The VISIA system may support the broader adoption of treatments that promote skin rejuvenation through naturally derived products like rosehip oil. These findings, along with the laboratory analyses performed on the R. canina oil used in this study, reinforce the scientific foundation for its application in clinical research [22,42,43]. This section discusses the results in the context of similar studies, emphasizing the consistency and discrepancies observed across different investigations.
4.1. Skin Improvements Evaluated with the VISIA System on the Front Side of the Face
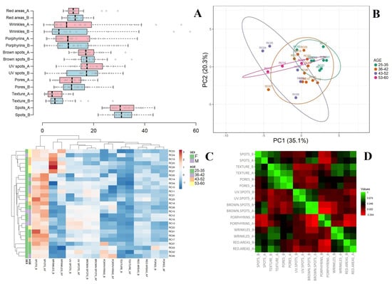
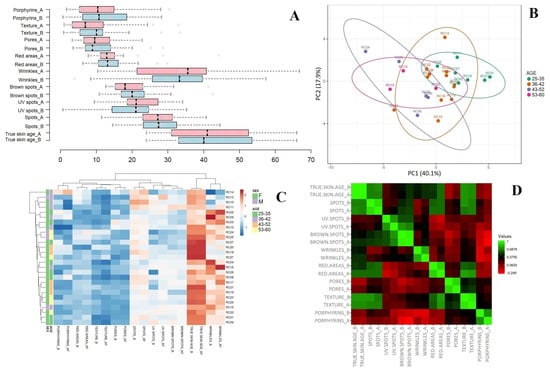
The distinct positions made it possible to study the influence on the various skin parameters, including texture, wrinkles, blemishes, and pores, imposed by the topical treatment with rosehip oil (Figure 9A). According to the PCA, the first two components accounted for 55.4% of the total variation. The grouping pattern proved to be age-related, specifically in the case of AG1 and AG2. Conversely, individuals who were part of AG3 presented discrepancies in terms of evaluated skin parameters but also regarding the mature skin type, which influenced specific outcomes. Lastly, individuals in AG4 had specific outcomes according to their skin type, but also due to their sensitivity to the treatment (Figure 9B). Regarding the HCA, the primary cluster positioned the spots score appearance with slight changes after 5 weeks, as evidenced by the fluctuations in the importance score intensity (Figure 9C). Furthermore, changes in the overall score of wrinkles have been regarded, particularly in age groups 3 (43–52 years old) and 4 (53–60 years old) with a significant drop as evidenced by the changes in color intensity after the end of the treatment period. Regarding UV and brown spots, a slight improvement and reduction in their score has been observed, particularly in several individuals from AG2 and AG3. Concerning porphyrins, an overall improvement in their score has been noticed after topical applications of rosehip oil, as demonstrated by the fluctuations in the color intensity from light red to darker blue, which implies a potential antibacterial and anti-inflammatory effect and a lower risk of bacterial growth (i.e., Propionibacterium acnes) that may lead to the formation of acne and other skin conditions [55,56]. The slight increase in the porphyrins score, particularly in AG4, may indicate a natural variation in bacterial activity and diversity with age (i.e., hormonal imbalance in females) [57] or a temporary inflammatory skin response [58]. The statistical power of this pilot study has been evaluated as well as an appropriate sample size for the UV spots (power = 0.808) and porphyrins (power = 0.890), suggesting that for these skin characteristics, the number of allocated individuals proved to be sufficient to assess the outcome of the rosehip oil treatment (Supplementary Table S5).
Figure 9.
(A) A comparison of different skin parameters for the front side of the face, before and after topical applications with rosehip oil at the beginning and after 5 weeks of treatment. (B) The principal component analysis of the skin characteristics from the front side of the face and their respective cluster position divided by age groups. (C) The hierarchical clustering and heatmap visualization of the improved or detrimental outcomes following rosehip oil as a topical face treatment; the figure presents the skin parameters obtained from the front side of the face. (D) The Pearson correlation before and after 5 weeks for the front side evaluated skin parameters. Correlation coefficients between the evaluated characteristics are displayed in red and green.
The application of rosehip oil also has a positive effect on skin texture, which is among the most popular skin concerns as it increases the appearance and depth of pores [59]. Following the treatment, a reduction in the score of texture has been observed in all age groups, particularly in AG1 (23–35 years old). Regarding the red areas, a slight increase in their score has been observed in several individuals, which might be explained by the skin’s sensitivity to higher concentrations of vitamin A. While the majority of participants experienced improvements, some individuals exhibited an increase in wrinkle scores and redness. These outcomes may be attributed to individual differences in skin sensitivity, environmental factors, or an inconsistent use of sun protection. Similar studies have noted that high concentrations of vitamin A, while beneficial [6], can sometimes lead to transient skin irritation (e.g., a burning sensation, dry skin, and exfoliation) in sensitive individuals [60]. Moreover, lifestyle factors such as UV exposure and sleep habits (i.e., sleeping on one side of the face) may have influenced the observed variations in skin improvements, as noted in previous dermatological studies [61,62]. According to the correlation plot, the spots showed a moderate and negative association with the porphyrins and a positive association with redness, both at the beginning and after 5 weeks of treatment. Following the texture and pores, they presented a significant and negative association with porphyrins and brown and UV spots before and after the topical treatment. Subsequently, UV spots showed a negative association with redness (Figure 9D; Supplementary Table S3).
The application of rosehip oil did not have a noteworthy effect on the appearance of pores in all the evaluated age group individuals. Overall, it can be discerned that rosehip oil can effectively improve the skin texture (i.e., pores, wrinkles, and porphyrins); however, it may show discrepancies in terms of redness, which is strongly influenced by each individual’s skin type.
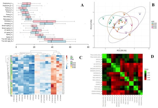
4.2. Skin Improvements Evaluated with the VISIA System on the Left Side of the Face
Regarding the left side of the face (Figure 10A), significant differences have been observed as compared with the front side. According to the PCA, the first two components accounted for 58% of the total variation (Figure 10B). The grouping pattern proved to highlight AG1, which presented relatively different outcomes compared with the other age groups. Conversely, individuals who were part of AG2 presented insignificant changes in terms of evaluated skin parameters, as seen by the grouping outline in the center of the plot. Lastly, individuals in AG3 and AG4 had specific and similar outcomes, mostly due to their skin type and age.
Figure 10.
(A) A comparison of different skin parameters for the left side of the face, before and after topical applications with rosehip oil at the beginning and after 5 weeks of treatment. (B) The principal component analysis of the skin characteristics and their respective cluster position divided by age groups. (C) The hierarchical clustering and heatmap visualization of the improved or detrimental outcomes following rosehip oil as a topical face treatment; the figure presents the skin parameters obtained from the left side of the face. (D) The Pearson correlation before and after 5 weeks of treatment for the evaluated skin parameters. Correlation coefficients between the evaluated characteristics are displayed in red and green.
In the HCA, it can be seen that a considerable alteration in the wrinkles score has been regarded in all the evaluated individuals irrespective of their gender and age group (Figure 10C). Thus, although in several individuals the wrinkle score has been diminished, compared with others the score presented a significant upsurge. These fluctuations and discrepancies might be explained by the individual’s skin type and their sleeping habits (i.e., the side of the face they usually sleep on).
The following skin characteristic (i.e., true skin age) underlines the positive outcome of the application of rosehip oil on the authentic appearance of the skin. Several individuals have noticed an improvement in their skin complexion and appearance after the conclusion of the treatment period. Regarding brown and UV spots, a general improvement of the skin and a reduction in pigmentation areas have been observed in most of the treatment groups, particularly in AG2 and AG3. The reduction in UV spots observed in this study corresponds with previous research indicating the photoprotective properties of rosehip oil. The present study observed a reduction in UV spots across all age groups, which further corroborates these findings.
The spots presented relatively trivial modifications in terms of the size reduction and appearance. Furthermore, the appearance of pores has been significantly diminished after the treatment period in all evaluated age groups. A similar pattern has been observed in the case of texture, with noteworthy outcomes similar to the popular skincare result of the “glass skin effect” in AG1 and AG2. Although rosehip oil has facilitated the reduction in red areas, a number of individuals experienced a slight increase in their score, which can be explained by the skin’s sensitivity to vitamin C. Lastly, the score of porphyrins has been drastically reduced predominantly in AG2 and AG4, which demonstrates its effectiveness on mature skin. The correlation plot presented dissimilar outcomes in terms of the skin assessment (Figure 10D; Supplementary Table S4). Thus, the true skin age and the score of spots presented a negative association with pores and porphyrins and a significant positive association with texture, spots, and redness. UV spots presented a negative association with most of the evaluated parameters, including texture, pores, and redness. A similar negative correlation with the skin characteristics has also been observed in brown spots and wrinkles. Conversely, a positive association between redness and texture has been obtained. The statistical power for the left side of the face generated an appropriate sample size for porphyrins (power = 0.890) and red areas (power = 0.99), suggesting that for these skin characteristics, the number of allocated individuals proved to be sufficient to assess the outcome of the rosehip oil treatment (Supplementary Table S6).
The topical application of rosehip oil not only improves the overall skin quality but also targets specific concerns related to aging. This effect has also been observed in other studies [63,64]. However, it is important to note that individual skin reactions may vary, and it is important to comprehend the full impact and outcome of the rosehip oil treatment on different skin types and conditions.
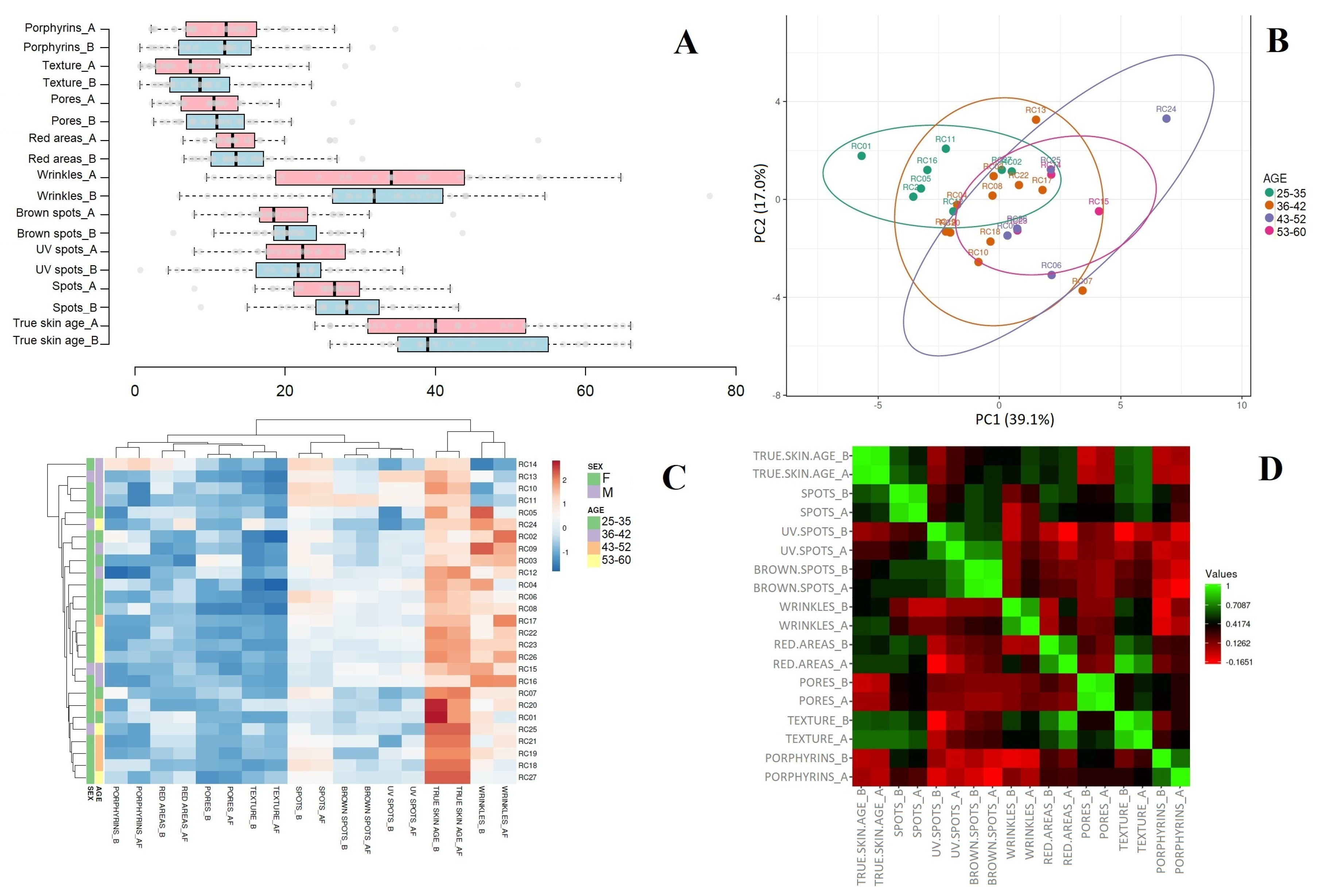
4.3. Skin Improvements Evaluated with the VISIA System on the Right Side of the Face
Regarding the right side of the face (Figure 11A), a significant reduction in wrinkles has been regarded after the treatment with rosehip oil. In several individuals, a slight increase in their score has been regarded, which may be due to the individuals sleeping on one side of the face. The PCA scores presented a total variance of 56.1%. As observed in the other evaluated facial parameters, individuals in AG1 tend to have a similar grouping pattern. The subsequent group presents similar outcomes, as also noticed in the previous section and the left side of the face. The following age groups tend to be closely grouped mainly due to the appropriate age and comparable results. Regarding the HCA, the true skin age score has significantly decreased, particularly in the case of age groups 1 and 2. UV and brown spots presented a slightly reduced area in all age groups (Figure 11C). Additionally, the score of spots has also presented a reduced area in all age groups. Texture is among the most debated and popular skin characteristic particularly, among young individuals due to existing skincare trends. Interestingly, a positive influence of the rosehip oil topical application has been regarded as observed by the significant reduction in texture scores. Additionally, Koczka et al. (2018) confirmed the role of Rosa canina oil in enhancing skin elasticity and reducing signs of aging through its rich antioxidant profile [33]. The present study supports these findings by demonstrating significant improvements in skin texture and a decrease in the appearance of fine lines, particularly in AG1 (25–35 years old) and AG2 (36–42 years old) [33].
Figure 11.
(A) A comparison of different skin parameters for the right side of the face, before and after topical applications with rosehip oil at the beginning and after 5 weeks of treatment. (B) The principal component analysis of the skin characteristics and their respective cluster position divided by age groups. (C) The hierarchical clustering and heatmap visualization of the improved or detrimental outcomes following rosehip oil as a topical face treatment; the figure presents the skin parameters obtained from the right side of the face. (D) The Pearson correlation before and after 5 weeks of treatment for the evaluated skin parameters. Correlation coefficients between the evaluated characteristics are displayed in red and green.
Regarding the appearance of pores, the significant reduction in their score is evident, as also observed in the case of texture, particularly in the case of AG2 and AG3. Furthermore, the score of red areas presented several discrepancies among the individuals; an effect was also observed in the other evaluated face positions and may be influenced by the skin type and sensitivity to several compounds present in rosehip oil (i.e., vitamin C). Overall, the results suggest that individuals in AG3 experienced a milder reaction compared to AG4, with only a slight inflammation observed in the former group. Additionally, it is important to note that individual variations in responses were observed within AG4, as seen in the case of patient RC24. Lastly, regarding the score of porphyrins, it can be observed that the right side has comparable results with the left side, which may be due to each individual’s skin type (i.e., oily and mixed). The decline in porphyrin levels, often linked to bacterial activity, suggests that Rosa canina oil may possess antimicrobial properties. Previous research by Deliorman Orhan et al. (2007) demonstrated the anti-inflammatory effects of Rosa canina extracts, which contribute to the maintenance of a healthy skin microbiome [7]. The results of this study indicate a notable decrease in porphyrins, particularly in AG2 (36–42 years old) and AG4 (53–60 years old), suggesting that the oil may help regulate the bacterial activity on the skin. This aligns with the findings by Oargă et al. (2024), who emphasized the potential of rosehip-based dermatological products in addressing inflammatory skin conditions [4]. Topical treatments using rosehip oil are particularly beneficial for improving the skin tone and texture, especially in older age groups. The reduction in red areas and porphyrins indicate a positive impact on skin health and appearances across all age groups.
The correlation plot presents different outcomes as compared to the front side of the face (Figure 11D; Supplementary Table S5). Thus, the true skin age presented a negative association with pores and porphyrins, whereas the spots presented a positive association with texture and a negative association with wrinkles. UV spots presented a negative association with most of the evaluated parameters, including texture, pores, redness, and wrinkles. A similar negative correlation with the skin characteristics has also been observed in brown spots and wrinkles. Conversely, a positive association with texture has been obtained. The statistical power for the right side of the face generated an appropriate sample size for the porphyrins (power = 0.940) and texture (power = 0.79), which is sufficient to assess the outcome of the rosehip oil treatment, which, among others, might be due to each individual’s skin type (Supplementary Table S6).
Overall, the variability in scores across different face positions suggests that individual differences in skin type and sensitivity play a significant role in the effects of rosehip oil. Further research might explore whether this factor impacts the efficacy of rosehip oil in reducing porphyrins and improving skin texture, but also its use as a replacement for vitamin A (natural retinol source). Recent research indicates that rosehip seed oil contains significant levels of compounds that can serve as precursors to vitamin A, commonly referred to as provitamin A. Notably, it was demonstrated that rosehip oil, along with chokeberry oil, shows high concentrations of provitamin A, which includes compounds such as β-carotene that are conventionally converted to active vitamin A in the body [65]. This provitamin A content is associated with skin benefits, as vitamin A derivatives are recognized for their role in promoting skin regeneration, improving cellular turnover, and mitigating signs of aging [66]. Furthermore, as exemplified in Section 3.2, the research on the chemical composition of rosehips confirms the presence of carotenoids in the seeds, which are key precursors for vitamin A activity [34]. Identified compounds like α-carotene and β-carotene in seeds support the notion that these oils provide a natural source of vitamin A precursors. The conversion of these carotenoids into retinol contributes to the oil’s antioxidant activity, aiding in reducing oxidative stress in skin cells, a mechanism critical in decreasing fine lines and promoting collagen synthesis, which is essential for skin health [41,66].
Pogostemon cablin Benth. (patchouli) and Moringa oleifera (drumstick) oils, both natural antioxidants, prove to be ideal for cosmetic products like body creams due to their capacity to fight free radicals and maintain an optimum skin hydration. The research conducted by Isnaini et al. (2023) evaluated the effectiveness of a body cream formulation using an accelerated stability test technique [67]. The formulation remained stable for at least six months at room temperature, indicating it can be used for a year. After two weeks of applications on dry skin, the formulation increased the moisture content by 30% to 60%. This suggests that the formulation could be used as a commercial cosmetic product in the future and that these natural compounds prove to be valuable for future cosmetic applications [67]. A different study focused on the design and characterization of nanostructured lipid carriers (NLCs) and NLC-based hydrogels using Passiflora edulis seed oil. The developed NLC presented a spherical shape, narrow particle sizes, and a high encapsulation efficiency. The nanoparticles showed a superior tyrosinase inhibitory activity and skin retention compared to non-encapsulated oil. Furthermore, the formulations proved to have a non-cytotoxic effect towards HaCat cells and showed suitable viscosity and texture properties for skin applications [68]. The study conducted by Hugo Infante et al. (2023) aimed to assess the permeation depth, antioxidant capacity, and clinical efficacy of Melaleuca alternifolia pure essential oil and a nanoemulsion to prevent skin photoaging [69]. Results showed that the nanoemulsion had a lower antioxidant capacity and a higher penetration through the stratum corneum, improving the stratum granulosum morphology. The nanoemulsion also increased the papillary depth, dermis echogenicity, and collagen fibers. Melaleuca alternifolia essential oil has the potential to improve photoaged skin, as it can reach deeper skin layers [69].
In a different study, the Visia® Camera System was validated by establishing correlations among measurements, such as the percentile, feature count, and absolute score. The results showed a high level of correlation among the evaluated measurements, with 88.9% of the correlations being statistically significant. The majority of cases showed clear correlations between the variables, with 50% of the absolute values above 0.945; however, UV spots and wrinkles were insignificant as also observed in the present study. The Visia® Camera System has been used to investigate whether skin aspects can be improved by a certain cosmetic product line [70]. In the following year, Henseler continued their research and evaluated the reproducibility and accuracy of facial wrinkles using this system. The standard deviation from frontal captures was about 3%, with an average deviation of 3.36% during the first capture session and 3.4% during the second. The standard deviation of measurements was about 9% when comparing percentiles. The accuracy of the measurements was high, with a correlation coefficient of >0.8 and a statistically significant p-value of <0.001. The TruSkin Age® was slightly higher than the calendrical age by 1.37 years for both facial sides. The study found a satisfactory precision in repeated captures, with absolute scores being preferred over percentiles due to their better precision [1].
These results highlight the potential of the studied Rosa canina oil to improve the appearance and health of the skin, supporting its use in skin care products and anti-aging treatments. A detailed investigation of the molecular mechanisms by which Rosa canina oil improves skin health could also provide valuable information for the development of more effective and innovative treatments. Future studies should include participants with different skin types to assess the universality and applicability of the observed benefits, thus ensuring that all categories of users can benefit from these effects. In addition, research into the synergistic effects of R. canina oil in combination with other bioactive compounds could lead to the development of products with increased efficacy, thus enhancing the therapeutic and cosmetic potential of this valuable natural ingredient. Rosehip oil from Băișoara has considerable therapeutic potential in improving the health and appearance of the skin, supporting its use in anti-aging treatments and high-quality cosmetic products.
In summary, the findings of this study align with the existing literature supporting the dermatological benefits of Rosa canina oil. The observed improvements in wrinkle reduction, UV spot mitigation, and bacterial activity regulation reinforce its potential as a valuable ingredient in anti-aging and skincare formulations. Future studies should aim to refine application protocols and explore synergistic formulations to maximize their efficacy across different skin types. Consequently, oxidative stability is another critical consideration regarding the skin sensitivity related to rosehip oil. The oil is susceptible to oxidation when exposed to light and air, which can not only decrease its efficacy but also potentially lead to the formation of irritative byproducts [38]. This degradation can cause a heightened irritation and sensitization upon prolonged exposure, particularly in those not accustomed to using oils topically, which may be further evaluated [71].
5. Limitations of the Pilot Study and Future Perspectives
This pilot study investigating the topical application of rosehip oil presents several limitations that must be acknowledged in the interpretation of its findings. First and foremost, the small sample size compromises the statistical power of this study, making it difficult to generalize the results to a larger population. A limited number of participants may not adequately represent the variability found in a broader demographic, which could affect the overall efficacy and safety conclusions drawn from this study [72]. Future studies should aim to include a larger and more diverse population to strengthen the findings. Additionally, the lack of a control group poses a considerable drawback. Without a placebo or control comparison, it is challenging to determine whether the observed effects on skin conditions can be directly attributed to rosehip oil or if they could result from spontaneous changes over time, a regression to the mean, or participant expectations. Studies have shown that control groups are essential for validating the effectiveness of treatment interventions, as they provide a critical benchmark [73]. Alternative study designs and analytical approaches should be considered to address these issues. For instance, a within-subject or split-face design could be employed, where one side of the face is treated with rosehip oil while the other side serves as a comparator receiving either a placebo or the standard daily skincare routine. This design would mitigate inter-individual variability and allow for a more reliable attribution of treatment effects. Additionally, methods such as historical control analyses or the implementation of a delayed treatment group could provide additional context and serve as pseudo-controls when a randomized control group is not feasible. Such methodological refinements are essential to isolate the treatment effect reliably and enhance the validity of the findings, thus also reinforcing the continued recommendation for appropriate skincare practices, including sun protection, irrespective of the season. Furthermore, variability in participant compliance can introduce additional complexity in the data interpretation. In studies examining subjective outcomes, such as the skin appearance or discomfort, differing levels of adherence to the treatment regimen can lead to inconsistencies in results. Participants may not apply the treatment as instructed, leading to variable exposure levels that could affect their outcomes and the overall efficacy of the rosehip oil. This potential gap in compliance monitoring has been noted in various studies [74]. To mitigate this issue, future studies should monitor adherence closely through methods such as usage diaries or technology-assisted tracking, ensuring participants apply the treatment as directed.
This pilot study’s short duration of five weeks limits its ability to capture long-term effects and potential late-onset responses to the treatment; however, it facilitates significant knowledge regarding its use in future studies with longer treatment periods, focused on the oil’s stability during storage at higher temperatures that may significantly reduce the polyphenol content and, most importantly, the fatty acids content [75]. Thus, dermatological therapies may require longer periods to demonstrate sustained benefits. The short follow-up may result in an incomplete understanding of the full therapeutic effects and any potential adverse reactions that could manifest over time [76]. Future studies should aim to address these limitations by ensuring longer study durations (i.e., particularly during summer periods), which would help in better understanding the sustained effects of rosehip oil over time and capture any delayed responses. Compliance monitoring could be enhanced by using digital reminders or adherence tracking mechanisms to improve the participant engagement and data integrity. Finally, a double-blind design should be considered to minimize bias and further substantiate the findings regarding the effectiveness of rosehip oil in dermatological applications. By addressing these limitations, subsequent research can better elucidate the therapeutic potential of rosehip oil and provide stronger evidence for its use in topical dermatological applications.
The phenomenon of increased brown spots following the application of rosehip oil—especially during late fall when the UV exposure is minimal—can be attributed to several interrelated factors, including the oil’s biological action on the skin, the potential for inflammatory responses, and the physiological tendency of melanocytes (pigment-producing cells in the skin) to react to topical applications. Additionally, while rosehip oil is widely regarded as beneficial for various dermatological conditions, including scarring and inflammatory conditions, individuals may still experience variability in reactions based on their unique skin microbiome and existing skin conditions [77]. Furthermore, individuals with pre-existing pigmentation should exercise caution, as their skin may be more responsive to such stimuli, especially during seasonal transitions when humidity and temperature can fluctuate dramatically. A compromised barrier can also lead to increased transepidermal water loss. If the skin is responding to hydration or repair agents like rosehip oil, this can cause localized sensitivity, resulting in an inflammatory cascade that ultimately leads to pigmentation irregularities. This study’s design should account for potential seasonal UV fluctuations by incorporating controls or standardized measures of UV exposure throughout the study period. This is essential to ensure that the observed skin changes are truly due to the topical treatment rather than external UV factors. In doing so, this study avoids the misconception that sun protection might be omitted during the fall; on the contrary, it reinforces that even at periods of lower ambient UV radiation, individuals remain susceptible to photo-induced skin changes [4].
Other investigations should explore the molecular mechanisms underlying the observed effects, particularly regarding collagen synthesis and microbial modulation. For example, the potential of an aerogel-based formula has been investigated in order to naturally conceal shiny facial skin. The aerogel ingredient showed positive in vitro results in measuring the shine induced by a mixture of oleic acid and mineral water. In vivo, two different aerogel formulas (1% and 2% concentrations, in an O/W cosmetic emulsion) were tested on Chinese women under hot and humid conditions known to enhance facial shine. Interestingly, an immediate light scattering effect, masking shine, and a noticeable anti-shine effect in extreme conditions have been observed [78]. As previously highlighted, combining rosehip oil with other bioactive compounds could also be examined to enhance its therapeutic potential. The observed improvements in wrinkle reduction, UV spot mitigation, and bacterial regulation reinforce its potential as a valuable ingredient in anti-aging and skincare formulations [79]. Future-oriented studies should aim to refine application protocols and explore synergistic formulations to maximize their efficacy across different skin types. In this regard, the delivery of hydrophilic tripeptide-3 to the skin using micro-emulsions or nanoemulsions for facial oil reduction has been evaluated. The optimized combination yielded translucent oil-in-water tripeptide-3 nanoemulsions with a high skin penetration and retention. The nanoemulsions not only decreased the sebum production but also enhanced skin moisture levels [80]. Overall, the results suggest that rosehip oil may have a positive impact on skin texture and appearance and further studies could explore the long-term effects of the continued use of this treatment on various kin types (i.e., normal, dry, sensitive, oily, and/or combination).
Rosehip oil is known for its vitamin content, particularly A derivatives (such as trans retinoic acid) and essential fatty acids, which can influence skin pigmentation [20]. Retinoic acid, a well-known active compound in many anti-aging and skin-rejuvenating products, can induce increased cell turnover and desquamation. While this often results in the improvement of skin texture and may clear older pigmented cells, it can also paradoxically stimulate the formation of new pigmentation if not managed properly. In cases where the skin is reacting to a new products or there is excessive exfoliation, transient post-inflammatory hyperpigmentation can occur, where new spots may appear due to the irritation of existing melanocytes [4,81]. To mitigate these outcomes, sunscreen formulations with rosehip oil may be integrated in skincare routines [41].
As highlighted in the present study, rosehip oil contains elevated levels of carotenoids (up to 28.4 µg/mL), which when combined with sunscreen might mitigate photoaging and sunburn [82], but also encourages skin cell renewal and hydration [9].
Lastly, the open-label design of this study introduces a bias that can affect the validity of the findings. Participants knowing they are receiving an active treatment may have heightened expectations, leading to biased self-reports regarding efficacy and satisfaction. Open-label designs can be associated with inflated response rates, which complicate the interpretation of the study and reduce its internal validity. While the study findings contribute to understanding rosehip oil’s topical applications, the identified limitations—the small sample size, lack of a control group, compliance variability, short duration, and open-label nature—highlight the need for further research employing rigorous methodologies to validate these results and better define the therapeutic role of rosehip oil in dermatological treatments [83].
6. Conclusions
This pilot study evaluated the therapeutic effects of rosehip oil, mainly R. canina from the Băișoara provenance, which presented potential therapeutic purposes. The results showed improvements in skin health, evidenced by a reduction in wrinkles, UV spots, and porphyrins. The analysis with the VISIA system showed a reduction in the depth of wrinkles in several volunteers, confirming the efficacy of rosehip oil in improving the signs of aging. In addition, results demonstrated a slight decrease in UV-induced spots, suggesting that the oil provides effective protection against damage caused by UV exposure.
Evaluations of the rosehip oil treatment showed a noticeable improvement in skin texture and a reduction in redness and spots, suggesting anti-inflammatory and regenerative effects, which may be due to their carotenoids content, including lutein, lycopene, β-carotene, and zeaxanthin, but also their phenolic content and antioxidant activity. Furthermore, a decrease in porphyrins has also been observed, reflecting a decrease in bacterial activity and an overall improvement in skin health. The promising results of this pilot study highlight the need for further research to optimize the application and formulation of rosehip oil-based treatments. These results are the foundation for future and long-term studies with larger sample sizes, which will provide more comprehensive insights into its sustained efficacy. Additional studies should aim to refine application protocols and explore synergistic formulations to maximize their efficacy across different skin types.
Given the positive effects observed on wrinkles and skin texture, it is recommended that R. canina oil may be included in cosmetic formulations to reduce the signs of aging. This extended use could capitalize on its antioxidant and regenerative benefits. Collectively, these findings underscore the dual functionality of rosehip seed oil; its richness in carotenoids, particularly provitamin A, aligns with its documented benefits of enhancing skin texture, reducing wrinkles, and improving the overall skin condition. Such evidence supports the continued utilization of rosehip seed oil in dermatological applications and cosmetic formulations targeting anti-aging and skin renewal processes.
Supplementary Materials
The following supporting information can be downloaded at https://www.mdpi.com/article/10.3390/cosmetics12030125/s1: Figure S1: HPLC chromatogram of carotenoids identified from rosehip seed oil. Each peak denotes an identified compound; Figure S2: Assessment of pores evaluated with the VISIA analysis system before (left chart) and after (right chart) 5 weeks of rosehip oil treatment; Table S1: Personal data regarding the volunteers and their assignment group based on age; Table S2: Identification of carotenoids content in R. canina oil from the Băișoara area; Table S3: Correlation data showing relationships among the evaluated skin characteristics for the front side of the face; Table S4: Correlation data showing relationships among the evaluated skin characteristics for the right side of the face; Table S5. Correlation data showing relationships among the evaluated skin characteristics for the left side of the face; Table S6: Statistical power and sample size of the pilot study using goal seek. The normality test using the Shapiro–Wilk test and the Mann–Whitney pairwise comparison with Bonferroni corrected p values can be found in the Supplementary Files S1–S3.
Author Contributions
D.P.O.: Conceptualization, Formal Analysis, Data Curation, Investigation, Methodology, Visualization, Writing—Original Draft, Writing—Review and Editing. M.C.-C.: Conceptualization, Data Curation, Formal Analysis, Investigation, Methodology, Validation, Writing—Original Draft, Writing—Review and Editing. S.A.N.: Data Curation, Investigation, Methodology, Visualization, Writing—Review and Editing. M.I.C.: Conceptualization, Validation, Writing—Review and Editing, Supervision. All authors have read and agreed to the published version of the manuscript.
Funding
The authors declare that financial support was not received for the research, authorship, and/or publication of this article.
Institutional Review Board Statement
The present study’s protocol was approved by an appropriate Ethics Committee with the reference ID 194/03.10.2024.
Informed Consent Statement
Informed consent was obtained from all subjects involved in the study.
Data Availability Statement
The original contributions presented in this study are included in the article/supplementary material. Further inquiries can be directed to the corresponding authors.
Conflicts of Interest
The authors declare that the research was conducted in the absence of any commercial or financial relationships that could be construed as a potential conflict of interest.
References
- Henseler, H. Assessment of the reproducibility and accuracy of the Visia® Complexion Analysis Camera System for objective skin analysis of facial wrinkles and skin age. GMS Interdiscip. Plast. Reconstr. Surg. DGPW 2023, 12, Doc07. [Google Scholar]
- Angelov, G.; Boyadzhieva, S.S.; Georgieva, S.S. Rosehip extraction: Process optimization and antioxidant capacity of extracts. Cent. Eur. J. Chem. 2014, 12, 502–508. [Google Scholar] [CrossRef]
- Ayati, Z.; Amiri, M.S.; Ramezani, M.; Delshad, E.; Sahebkar, A.; Emami, S.A. Phytochemistry, traditional uses and pharmacological profile of rose hip: A review. Curr. Pharm. Des. 2018, 24, 4101–4124. [Google Scholar] [CrossRef] [PubMed]
- Oargă, D.P.; Cornea-Cipcigan, M.; Cordea, M. Unveiling the Mechanisms for the Development of Rosehip-Based Dermatological Products: An Updated Review. Front. Pharmacol. 2024, 15, 1390419. [Google Scholar] [CrossRef]
- Jabłońska-Ryś, E.; Zalewska-Korona, M.; Kalbarczyk, J. Antioxidant capacity, ascorbic acid and phenolics content in wild edible fruits. J. Fruit Ornam. Plant Res 2009, 17, 115–120. [Google Scholar]
- Moldovan, I.; Pop, V.C.; Borsai, O.; Lukacs, L.; Ranga, F.; Culea, E.; Damian, G.; Cornea-Cipcigan, M.; Margaoan, R. Dynamics of bioactive compounds under the influence of yellow, blue, and violet light filters on Hippophae rhamnoides L. (sea buckthorn) fruits. Horticulturae 2023, 9, 1312. [Google Scholar] [CrossRef]
- Deliorman Orhan, D.; Hartevioğlu, A.; Küpeli, E.; Yesilada, E. In vivo anti-inflammatory and antinociceptive activity of the crude extract and fractions from Rosa canina L. fruits. J. Ethnopharmacol. 2007, 112, 394–400. [Google Scholar] [CrossRef] [PubMed]
- Kaur, C.; Kapoor, H.C. Antioxidants in fruits and vegetables–the millennium’s health. Int. J. Food Sci. Technol. 2001, 36, 703–725. [Google Scholar]
- Grajzer, M.; Prescha, A.; Korzonek, K.; Wojakowska, A.; Dziadas, M.; Kulma, A.; Grajeta, H. Characteristics of rose hip (Rosa canina L.) cold-pressed oil and its oxidative stability studied by the differential scanning calorimetry method. Food Chem. 2015, 188, 459–466. [Google Scholar] [CrossRef]
- Ilyasoğlu, H. Characterization of Rosehip (Rosa canina L.) Seed and Seed Oil. Int. J. Food Prop. 2014, 17, 1591–1598. [Google Scholar] [CrossRef]
- Szentmihályi, K.; Vinkler, P.; Lakatos, B.; Illés, V.; Then, M. Rose hip (Rosa canina L.) oil obtained from waste hip seeds by different extraction methods. Bioresour. Technol. 2002, 82, 195–201. [Google Scholar] [CrossRef] [PubMed]
- Fromm, M.; Bayha, S.; Kammerer, D.R.; Carle, R. Identification and quantitation of carotenoids and tocopherols in seed oils recovered from different Rosaceae species. J. Agric. Food Chem. 2012, 60, 10733–10742. [Google Scholar] [CrossRef]
- Hodisan, T.; Socaciu, C.; Ropan, I.; Neamtu, G. Carotenoid composition of Rosa canina fruits determined by thin-layer chromatography and high-performance liquid chromatography. J. Pharm. Biomed. Anal. 1997, 16, 521–528. [Google Scholar] [CrossRef]
- Olsson, M.E.; Gustavsson, K.-E.; Andersson, S.; Nilsson, Å.; Duan, R.-D. Inhibition of cancer cell proliferation in vitro by fruit and berry extracts and correlations with antioxidant levels. J. Agric. Food Chem. 2004, 52, 7264–7271. [Google Scholar] [CrossRef]
- Van der Walt, A.C. Transdermal diffusion stability and clinical efficacy of cosmetic formulations containing Rosa rubiginosa rosehip seed oil. Ph.D. Dissertation, North-West University (South Africa), Potchefstroom Campus, Potchefstroom, South Africa, 2016; pp. 1–157. [Google Scholar]
- Truong, V.L.; Jeong, W.S. Hair Growth-Promoting Effects of Rosehip Rosa Canina Seed Oil in C57bl/6 Mice. Prev. Nutr. Food Sci. 2023, 28, 411–417. [Google Scholar] [CrossRef]
- Patzelt, A.; Lademann, J.; Richter, H.; Darvin, M.E.; Schanzer, S.; Thiede, G.; Sterry, W.; Vergou, T.; Hauser, M. In vivo investigations on the penetration of various oils and their influence on the skin barrier. Ski. Res. Technol. 2012, 18, 364–369. [Google Scholar] [CrossRef]
- Lin, T.-K.; Zhong, L.; Santiago, J.L. Anti-Inflammatory and Skin Barrier Repair Effects of Topical Application of Some Plant Oils. Int. J. Mol. Sci. 2017, 19, 70. [Google Scholar] [CrossRef] [PubMed]
- Contri, R.V.; Kulkamp-Guerreiro, I.C.; da Silva, S.J.; Frank, L.A.; Pohlmann, A.R.; Guterres, S.S. Nanoencapsulation of rose-hip oil prevents oil oxidation and allows obtainment of gel and film topical formulations. AAPS PharmSciTech 2016, 17, 863–871. [Google Scholar] [CrossRef] [PubMed]
- Zilles, J.C.; Duarte, L.P.; Ruaro, T.C.; Zimmer, A.R.; Külkamp-Guerreiro, I.C.; Contri, R.V. Nanoemulsion Containing Kojic Dipalmitate and Rosehip Oil: A Promising Formulation to Treat Melasma. Pharmaceutics 2023, 15, 468. [Google Scholar] [CrossRef]
- Ojha, P.K.; Poudel, D.K.; Rokaya, A.; Maharjan, S.; Timsina, S.; Poudel, A.; Satyal, R.; Satyal, P.; Setzer, W.N. Chemical Compositions and Essential Fatty Acid Analysis of Selected Vegetable Oils and Fats. Compounds 2024, 4, 37–70. [Google Scholar] [CrossRef]
- Valerón-Almazán, P.; Gómez-Duaso, A.J.; Santana-Molina, N.; García-Bello, M.A.; Carretero, G. Evolution of post-surgical scars treated with pure rosehip seed oil. J. Cosmet. Dermatol. Sci. Appl. 2015, 5, 161. [Google Scholar] [CrossRef]
- Hosny, K.M.; Nahyah, K.S.A.; Alhakamy, N.A. Self-Nanoemulsion Loaded with a Combination of Isotretinoin, an Anti-Acne Drug, and Quercetin: Preparation, Optimization, and in Vivo Assessment. Pharmaceutics 2020, 13, 46. [Google Scholar] [CrossRef] [PubMed]
- Zhou, Y.; Wu, J.; Lin, S.; He, J.; Deng, Y.; He, J.; Cheng, D. The Synergistic Effects of Rosehip Oil and Matrine Against Icerya Aegyptiaca Douglas (Hemiptera: Coccoidea) and the Underlying Mechanisms. Pest Manag. Sci. 2022, 78, 3424–3432. [Google Scholar] [CrossRef]
- Cucu, A.-A.; Pașca, C.; Cucu, A.-B.; Moise, A.R.; Bobiş, O.; Dezsi, Ș.; Blaga Petrean, A.; Dezmirean, D.S. Evaluation of the Main Macro-, Micro- and Trace Elements Found in Fallopia japonica Plants and Their Traceability in Its Honey: A Case Study from the Northwestern and Western Part of Romania. Plants 2024, 13, 428. [Google Scholar] [CrossRef]
- Saini, A.; Kumar, V.; Kaur, R.; Kumar, S.; Gautam, N.; Janghu, S. Conventional and non-conventional approaches for the extraction of rosehip phytocompounds and its bioactive, structural and antimicrobial characterization. J. Food Meas. Charact. 2024, 18, 2834–2845. [Google Scholar] [CrossRef]
- Krist, S. Rose Hip Oil. In Vegetable Fats and Oils; Springer: Cham, Switzerland, 2020; Volume 1, pp. 647–650. [Google Scholar] [CrossRef]
- Cornea-Cipcigan, M.; Bunea, A.; Bouari, C.; Pamfil, D.; Páll, E.; Urcan, A.C.; Mărgăoan, R. Anthocyanins and Carotenoids Characterization in Flowers and Leaves of Cyclamen Genotypes Linked with Bioactivities Using Multivariate Analysis Techniques. Antioxidants 2022, 11, 1126. [Google Scholar] [CrossRef] [PubMed]
- Attard, E. A rapid microtitre plate Folin-Ciocalteu method for the assessment of polyphenols. Open Life Sci. 2013, 8, 48–53. [Google Scholar] [CrossRef]
- Brand-Williams, W.; Cuvelier, M.E.; Berset, C. Use of a free radical method to evaluate antioxidant activity. LWT-Food Sci. Technol. 1995, 28, 25–30. [Google Scholar] [CrossRef]
- Cohen, J. Statistical Power Analysis for the Behavioral Sciences; Routledge: Abingdon-on-Thames, UK, 2013. [Google Scholar]
- Roman, I.; Stănilă, A.; Stănilă, S. Bioactive compounds and antioxidant activity of Rosa canina L. biotypes from spontaneous flora of Transylvania. Chem. Cent. J. 2013, 7, 73. [Google Scholar] [CrossRef]
- Koczka, N.; Stefanovits-Bányai, É.; Ombódi, A. Total Polyphenol Content and Antioxidant Capacity of Rosehips of Some Rosa Species. Medicines 2018, 5, 84. [Google Scholar] [CrossRef] [PubMed]
- Medveckienė, B.; Kulaitienė, J.; Jarienė, E.; Vaitkevičienė, N.; Hallman, E. Carotenoids, Polyphenols, and Ascorbic Acid in Organic Rosehips (Rosa spp.) Cultivated in Lithuania. Appl. Sci. 2020, 10, 5337. [Google Scholar] [CrossRef]
- Demir, N.; Yildiz, O.; Alpaslan, M.; Hayaloglu, A.A. Evaluation of volatiles, phenolic compounds and antioxidant activities of rose hip (Rosa L.) fruits in Turkey. LWT-Food Sci. Technol. 2014, 57, 126–133. [Google Scholar] [CrossRef]
- Barros, L.; Carvalho, A.M.; Ferreira, I.C.F.R. Exotic fruits as a source of important phytochemicals: Improving the traditional use of Rosa canina fruits in Portugal. Food Res. Int. 2011, 44, 2233–2236. [Google Scholar] [CrossRef]
- Medveckienė, B.; Kulaitienė, J.; Levickienė, D.; Hallmann, E. The effect of ripening stages on the accumulation of carotenoids, polyphenols and vitamin C in rosehip species/cultivars. Appl. Sci. 2021, 11, 6761. [Google Scholar] [CrossRef]
- Turan, S.; Solak, R.; Kiralan, M.; Ramadan, M.F. Bioactive lipids, antiradical activity and stability of rosehip seed oil under thermal and photo-induced oxidation. Grasas Y Aceites 2018, 69, e248. [Google Scholar] [CrossRef]
- Pećinar, I.; Krstić, D.; Caruso, G.; Popović-Djordjević, J.B. Rapid characterization of hypanthium and seed in wild and cultivated rosehip: Application of Raman microscopy combined with multivariate analysis. R. Soc. Open Sci. 2021, 8, 202064. [Google Scholar] [CrossRef]
- Konopka, I.; Tańska, M.; Dąbrowski, G.; Ogrodowska, D.; Czaplicki, S. Edible Oils from Selected Unconventional Sources—A Comprehensive Review of Fatty Acid Composition and Phytochemicals Content. Appl. Sci. 2023, 13, 12829. [Google Scholar] [CrossRef]
- Chu, C.C.; Nyam, K.L. Application of seed oils and its bioactive compounds in sunscreen formulations. J. Am. Oil Chem. Soc. 2021, 98, 713–726. [Google Scholar] [CrossRef]
- Fujii, T.; Ikeda, K.; Saito, M. Inhibitory effect of rose hip (Rosa canina L.) on melanogenesis in mouse melanoma cells and on pigmentation in brown guinea pigs. Biosci. Biotechnol. Biochem. 2011, 75, 489–495. [Google Scholar] [CrossRef]
- Winther, K.; Petcharat, L.; Wongsuphasawat, K. Rose-HIP including seeds and shells reported to reduce symptoms of osteoarthritis, improves quality of the skin by mechanisms which may involve collagen and longevity of cell membranes. Osteoarthr. Cartil. 2015, 23, A170. [Google Scholar] [CrossRef]
- Huang, C.-H.; Chen, S.C.; Wang, Y.C.; Wang, C.-F.; Hung, C.H.; Lee, S.S. Detrimental Correlation Between Air Pollution with Skin Aging in Taiwan Population. Medicine 2022, 101, e29380. [Google Scholar] [CrossRef] [PubMed]
- Kislevitz, M.; Lu, K.B.; Wamsley, C.E.; Hoopman, J.; Kenkel, J.M.; Akgul, Y. Novel Use of Non-Invasive Devices and Microbiopsies to Assess Facial Skin Rejuvenation Following Laser Treatment. Lasers Surg. Med. 2020, 52, 822–830. [Google Scholar] [CrossRef]
- Wang, X.; Shu, X.; Li, Z.; Huo, W.; Zou, L.; Tang, Y.l.; Li, L. Comparison of Two Kinds of Skin Imaging Analysis Software: VISIA® from Canfield and IPP® from Media Cybernetics. Ski. Res. Technol. 2018, 24, 379–385. [Google Scholar] [CrossRef]
- Zuo, Y.; Li, A.; He, H.; Wan, R.; Li, Y.; Li, L. Assessment of Features in Facial Hyperpigmentation: Comparison Study Between VISIA and CSKIN. Ski. Res. Technol. 2022, 28, 846–850. [Google Scholar] [CrossRef]
- Elder, A.; Ring, C.; Heitmiller, K.; Gabriel, Z.; Saedi, N. The Role of Artificial Intelligence in Cosmetic Dermatology—Current, Upcoming, and Future Trends. J. Cosmet. Dermatol. 2020, 20, 48–52. [Google Scholar] [CrossRef]
- Yang, F.; Wang, H.; Guo, M.; Zhou, Z. The Clinical Efficacy of a New Emulsion for Acne and Conspicuous Facial Pore Amelioration. J. Cosmet. Dermatol. 2023, 23, 958–963. [Google Scholar] [CrossRef] [PubMed]
- Zduńska-Pęciak, K.; Dębowska, R.; Kołodziejczak, A.; Rotsztejn, H. Ferulic Acid—A Novel Topical Agent in Reducing Signs of Photoaging. Dermatol. Ther. 2022, 35, e15543. [Google Scholar] [CrossRef]
- Kawałkiewicz, W.; Matthews-Kozanecka, M.; Janus-Kubiak, M.; Kubisz, L.; Hojan-Jezierska, D. Instrumental Diagnosis of Facial Skin—A Necessity or a Pretreatment Recommendation in Esthetic Medicine. J. Cosmet. Dermatol. 2020, 20, 875–883. [Google Scholar] [CrossRef]
- Zawodny, P.; Stój, E.; Kulig, P.; Skonieczna-Żydecka, K.; Sieńko, J. VISIA Skin Analysis System as a Tool to Evaluate the Reduction of Pigmented Skin and Vascular Lesions Using the 532 Nm Laser. Clin. Cosmet. Investig. Dermatol. 2022, 15, 2187–2195. [Google Scholar] [CrossRef]
- Lai, H.T.; Liu, W.; Yi-Chia, W.; Lai, Y.W.; Wen, Z.H.; Wang, H.; Lee, S.-S. The Effect in Topical Use of Lycogen Via Sonophoresis for Anti-Aging on Facial Skin. Curr. Pharm. Biotechnol. 2015, 16, 1063–1069. [Google Scholar] [CrossRef]
- Lintner, K.; Gerstein, F.H.; Solish, N. A Serum Containing Vitamins C & E and a Matrix-repair Tripeptide Reduces Facial Signs of Aging as Evidenced by Primos® Analysis and Frequently Repeated Auto-perception. J. Cosmet. Dermatol. 2020, 19, 3262–3269. [Google Scholar] [CrossRef] [PubMed]
- Verma, K.; Kaushik, P.; Chugh, R.; Kaur, G.; Kathuria, D. Cosmeceutical applications of natural oils and fats. In Specialized Plant Metabolites as Cosmeceuticals; Elsevier: Amsterdam, The Netherlands, 2024; pp. 239–256. [Google Scholar]
- Ande, S.N.; Bakal, R.L. Potential herbal essential oils: Are they super natural skin protector. Innov. Pharm. Pharm 2022, 10, 19–24. [Google Scholar]
- Khunger, N.; Mehrotra, K. Menopausal Acne—Challenges And Solutions. Int. J. Women’s Health 2019, 11, 555–567. [Google Scholar] [CrossRef] [PubMed]
- Zhou, J.; Mehling, A.; Wang, Q.; Wang, X.; Hu, X.; Song, L. Age-related changes in the bacterial composition of healthy female facial skin in Beijing area. Int. J. Cosmet. Sci. 2024, 46, 982–994. [Google Scholar] [CrossRef]
- Nunes, A.; Marto, J.; Gonçalves, L.; Martins, A.M.; Fraga, C.; Ribeiro, H.M. Potential therapeutic of olive oil industry by-products in skin health: A review. Int. J. Food Sci. Technol. 2022, 57, 173–187. [Google Scholar] [CrossRef]
- Bianca Sanabria, M.A.; Berger, L.E.; MrpharmSb, B.B.M.-K.P.; Rao, B.K. Clinical Efficacy of Topical Vitamin C on the Appearance of Wrinkles: A Systematic Literature Review. J. Drugs Dermatol. 2023, 22, 898–904. [Google Scholar]
- Correia, G.; Magina, S. Efficacy of topical vitamin C in melasma and photoaging: A systematic review. J. Cosmet. Dermatol. 2023, 22, 1938–1945. [Google Scholar] [CrossRef]
- Abric, E.; Mathias, J.; Tardieu, A.-S.; Mateos, L.; Eeckhout, C.; Drulhon, F.; Ardiet, N. Anti-Spot, Lightening Effect and Cutaneous Acceptability of a Stable Anhydrous Ecobiological Formulation of 10% L-Ascorbic Acid. Clin. Cosmet. Investig. Dermatol. 2024, ume 17, 489–491. [Google Scholar] [CrossRef]
- Pereira Oliveira, C.N.; Nani Leite, M.; de Paula, N.A.; Araújo Martins, Y.; Figueiredo, S.A.; Cipriani Frade, M.A.; Lopez, R.F. Nanoemulsions based on sunflower and rosehip oils: The impact of natural and synthetic stabilizers on skin penetration and an ex vivo wound healing model. Pharmaceutics 2023, 15, 999. [Google Scholar] [CrossRef]
- Hailemeskel, B.; Fullas, F. Anti-wrinkle properties of rosehip oil, aloe vera, green tea extract, and frankincense essential oil: Brief review and a survey. Int. J. Sch. Res. Biol. Pharm. 2023, 3, 1–8. [Google Scholar] [CrossRef]
- Michalak, M.; Błońska-Sikora, E.; Dobros, N.; Spałek, O.; Zielińska, A.; Paradowska, K. Bioactive Compounds, Antioxidant Properties, and Cosmetic Applications of Selected Cold-Pressed Plant Oils from Seeds. Cosmetics 2024, 11, 153. [Google Scholar] [CrossRef]
- Rasal, A.V.; Patil, K.; Khot, V.; Laskshapati, L. Formulation and evaluation of an innovative anti-wrinkle cream enriched with bio-retinol. Indian Drugs 2024, 61, 80–82. [Google Scholar] [CrossRef]
- Isnaini, N.; Prajaputra, V.; Maryam, S. Formulation and Evaluation of O/W Body Cream Containing Patchouli Oil (Pogostemon cablin Benth.) and Drumstick Oil (Moringa oleifera) as Potential Moisturizing Agent. J. Penelit. Pendidik. IPA 2023, 9, 8001–8007. [Google Scholar] [CrossRef]
- Krambeck, K.; Silva, V.; Silva, R.; Fernandes, C.; Cagide, F.; Borges, F.; Santos, D.; Otero-Espinar, F.; Lobo, J.M.S.; Amaral, M.H. Design and characterization of Nanostructured lipid carriers (NLC) and Nanostructured lipid carrier-based hydrogels containing Passiflora edulis seeds oil. Int. J. Pharm. 2021, 600, 120444. [Google Scholar] [CrossRef]
- Hugo Infante, V.; Maria Maia Campos, P.; Darvin, M.; Lohan, S.; Schleusener, J.; Schanzer, S.; Lademann, J.; Meinke, M. Cosmetic Formulations with Melaleuca alternifolia Essential Oil for the Improvement of Photoaged Skin: A Double-Blind, Randomized, Placebo-Controlled Clinical Study. Photochem. Photobiol. 2023, 99, 176–183. [Google Scholar] [CrossRef]
- Henseler, H. Validation of the Visia® Camera System for skin analysis through assessment of the correlations among the three offered measurements–the percentile, feature count and absolute score–as well as the three capture perspectives, from the left, front and right. GMS Interdiscip. Plast. Reconstr. Surg. DGPW 2022, 11, Doc04. [Google Scholar]
- Gavarić, A.; Pastor, K.; Nastić, N.; Vidović, S.; Živanović, N.; Simin, N.; Duarte, A.R.C.; Vladić, J. Recovery of polyphenols from rosehip seed waste using natural deep eutectic solvents and ultrasonic waves simultaneously. Foods 2023, 12, 3655. [Google Scholar] [CrossRef]
- Moreno, I.R.; Ochoa, D.; Román, M.; Cabaleiro, T.; Abad-Santos, F. Utility of Pilot Studies for Predicting Ratios and Intrasubject Variability in High-Variability Drugs. Basic Clin. Pharmacol. Toxicol. 2016, 119, 215–221. [Google Scholar] [CrossRef][Green Version]
- Etheridge, C.J.; Derbyshire, E. Herbal Infusions and Health. Nutr. Food Sci. 2019, 50, 969–985. [Google Scholar] [CrossRef]
- Rashaan, R.; Arkoumanis, P.T. The Efficacy of Botulinum Toxin A in Treating Palmar Hyperhidrosis–a Literature Review. Maedica 2023, 18, 712. [Google Scholar] [CrossRef] [PubMed]
- Jovanović, A.A.; Balanč, B.; Volić, M.; Pećinar, I.; Živković, J.; Šavikin, K.P. Rosehip extract-loaded liposomes for potential skin application: Physicochemical properties of non- and UV-irradiated liposomes. Plants 2023, 12, 3063. [Google Scholar] [CrossRef]
- Wilsmann-Theis, D.; Kromer, C.; Gerdes, S.; Linker, C.; Magnolo, N.; Sabat, R.; Reich, K.; Mössner, R. A multicentre open-label study of apremilast in palmoplantar pustulosis (APLANTUS). J. Eur. Acad. Dermatol. Venereol. 2021, 35, 2045–2050. [Google Scholar] [CrossRef]
- Belkhelladi, M.; Bougrine, A. Rosehip extract and wound healing: A review. J. Cosmet. Dermatol. 2024, 23, 62–67. [Google Scholar] [CrossRef]
- Cassin, G.; Diridollou, S.; Flament, F.; Adam, A.S.; Pierre, P.; Colomb, L.; Morancais, J.L.; Qiu, H. Concealing a shiny facial skin appearance by an Aerogel-based formula. In vitro and in vivo studies. Int. J. Cosmet. Sci. 2018, 40, 58–66. [Google Scholar] [CrossRef] [PubMed]
- Rattanawiwatpong, P.; Wanitphakdeedecha, R.; Bumrungpert, A.; Maiprasert, M. Anti-aging and brightening effects of a topical treatment containing vitamin C, vitamin E, and raspberry leaf cell culture extract: A split-face, randomized controlled trial. J. Cosmet. Dermatol. 2020, 19, 671–676. [Google Scholar] [CrossRef] [PubMed]
- Magrode, N.; Poomanee, W.; Kiattisin, K.; Ampasavate, C. Microemulsions and Nanoemulsions for Topical Delivery of Tripeptide-3: From Design of Experiment to Anti-Sebum Efficacy on Facial Skin. Pharmaceutics 2024, 16, 554. [Google Scholar] [CrossRef]
- Lei, Z.; Cao, Z.; Yang, Z.; Ao, M.; Jin, W.; Yu, L. Rosehip oil promotes excisional wound healing by accelerating the phenotypic transition of macrophages. Planta Medica 2019, 85, 563–569. [Google Scholar] [CrossRef]
- Mármol, I.; Sánchez-de-Diego, C.; Jiménez-Moreno, N.; Ancín-Azpilicueta, C.; Rodríguez-Yoldi, M.J. Therapeutic applications of rose hips from different Rosa species. Int. J. Mol. Sci. 2017, 18, 1137. [Google Scholar] [CrossRef]
- Wirkowska-Wojdyła, M.; Ostrowska-Ligęza, E.; Górska, A.; Brzezińska, R.; Piasecka, I. Assessment of the Nutritional Potential and Resistance to Oxidation of Sea Buckthorn and Rosehip Oils. Appl. Sci. 2024, 14, 1867. [Google Scholar] [CrossRef]
Disclaimer/Publisher’s Note: The statements, opinions and data contained in all publications are solely those of the individual author(s) and contributor(s) and not of MDPI and/or the editor(s). MDPI and/or the editor(s) disclaim responsibility for any injury to people or property resulting from any ideas, methods, instructions or products referred to in the content. |
© 2025 by the authors. Licensee MDPI, Basel, Switzerland. This article is an open access article distributed under the terms and conditions of the Creative Commons Attribution (CC BY) license (https://creativecommons.org/licenses/by/4.0/).










