You are currently viewing a new version of our website. To view the old version click .
Systems
  • Article
  • Open Access

24 October 2025

A Systematic Approach to Disability Employment: An Evolutionary Game Framework Involving Government, Employers, and Persons with Disabilities

,
and
School of International and Public Affairs, Shanghai Jiao Tong University, Shanghai 200231, China
*
Author to whom correspondence should be addressed.

Abstract

Against the backdrop of inclusive development and modernization of employment governance, the limitations of traditional approaches to promoting employment for persons with disabilities—such as information asymmetries and inefficient resource allocation—have become increasingly salient. Building a systematic promotion framework for disability employment has therefore emerged as a critical agenda for advancing modern social governance. Drawing on bounded rationality and information asymmetry theories, this study develops a tripartite evolutionary game model encompassing government, employers, and persons with disabilities. By incorporating key elements such as initial intentions, skill matching, and policy signal transmission, the model analyzes the strategic choices and dynamic interactions among stakeholders. We conduct numerical simulations using delay differential equations (DDEs), perform stability and sensitivity analyses in MATLAB R2024b, and triangulate findings with a practice-based case from Shanghai. The results indicate that persons with disabilities exhibit the highest policy responsiveness within the employment ecosystem and act as the core driver of convergence toward desirable equilibria through four mechanisms: skill-matching effects, policy signal diffusion, perceived institutional fairness, and system-level synergy gains. Although employer subsidies and penalties directly target firms, they exert the strongest psychological incentive effects on persons with disabilities, revealing a “misaligned incentives” feature in policy signaling. Systemic synergy gains activate market network effects, facilitating a pivotal shift from “policy transfusion” to “market self-sustenance.” Based on these findings, we propose a diversified policy toolkit, enhanced policy signaling mechanisms, and innovations in concentrated employment models to support the modernization of disability employment governance.

1. Introduction

In an era of deepening economic globalization and growing emphasis on social equity, disability employment has become one of the most complex and urgent systemic challenges confronting contemporary societies. The World Health Organization’s Global Report on Health Equity for Persons with Disabilities highlights that approximately 1.3 billion people worldwide (16% of the global population) face severe employment inequality. In developing countries, 80–90% of working-age persons with disabilities are unemployed; in industrialized countries, the figure remains as high as 50–70% (World Health Organization, 2022; United Nations Enable, 2024) [1,2]. Recent evidence further shows that, even among those who are employed, the average hourly wage for persons with disabilities is 12% lower than that of other workers, a pronounced “disability wage gap” [3].The issue of disability employment not only concerns the fundamental rights and developmental opportunities of a vulnerable group but also profoundly affects the sustainability and inclusiveness of socioeconomic development through its implications for human capital allocation, social security burdens, and public service demands.
The disability employment system is, by nature, a complex adaptive system involving the interactions of multiple actors—government, employers, and persons with disabilities. Within this system, government assumes the roles of policymaker, resource allocator, and guardian of social equity, facing the challenge of optimizing policy tools and balancing multiple objectives under fiscal constraints. Employers, as the demand side of the labor market, weigh economic rationality against social responsibility; their hiring decisions are shaped by cost–benefit calculations, reputational risks, and policy incentives. Persons with disabilities, as the labor supply side, are both direct beneficiaries of policy and active participants in the labor market; their employment behavior is jointly driven by personal capabilities, external support, and opportunity perceptions. These three actors engage in a characteristic multi-agent game in which strategic choices influence not only individual payoffs but also, via complex feedback loops and network effects, the evolutionary trajectory of the entire system.
The core dilemma in current disability employment governance lies in divergent interests and misaligned strategies among system actors. Despite strong political will and institutional advantages, governments must allocate limited fiscal resources across policy instruments and coordinate action across departments and tiers of administration, reflecting a classic collective action problem [4]. Under competitive market pressures, employers often privilege short-term economic returns and underappreciate the long-term social value of disability employment, dampening their willingness to participate. Although persons with disabilities have strong employment needs and localized knowledge advantages, they often lack the capacity to overcome labor market barriers independently due to information asymmetries, skill mismatches, and psychological constraints. These structural contradictions produce pronounced nonlinearity and path dependence in the system, as strategy choices coevolve and interact dynamically to create complex system behaviors.
Existing research on disability employment provides a solid foundation for this study. Disability employment enhances individual quality of life, reduces social security burdens, and promotes social inclusion, thereby increasing overall social welfare. In principle, stakeholders should broadly support disability employment. However, recent evidence shows persistent systemic barriers: for example, in the United Kingdom, only a small share of graduates with disabilities secure full-time positions, far below their non-disabled peers [5]. This gap suggests that while actors often express strong support ex ante, their subsequent actions are shaped by additional, complex considerations. Consequently, policy intentions and realized outcomes frequently diverge in the field of disability employment.
Research on the determinants of disability employment can be grouped into several strands:
Employer decision-making mechanisms and motives. Employers’ perceptions of capability, opportunity, and motivation are central to recruitment decisions. A systematic review by [6] identifies three core drivers: capability assessments (perceived job competence), opportunity evaluations (contextual and support conditions), and motivation (intrinsic social responsibility and extrinsic policy incentives). Acceptance varies by disability type; autistic and other neurodivergent candidates face particularly complex barriers [7]. Attitudes toward reasonable accommodations are evolving, and the post-pandemic diffusion of remote work presents both opportunities and managerial demands [8].
Beyond job attainment: employment quality and workplace inclusion. Disability employment decisions encompass job quality, career progression, and inclusive work environments. Shahidi et al find significant disadvantages in job quality for persons with disabilities [9]; capability expression, environmental fit, and expectations are key to sustainable employment. For autistic employees, the supervisor–employee relationship is pivotal; high-quality supervision boosts performance and satisfaction [10]. Disclosure dilemmas are common, and employer responsiveness to accommodation requests critically shapes employment experiences [11]. Generally, inclusive environments and effective supports foster long-term employment and career development [12].
Technology and new work modalities: double-edged effects. Advances in AI and digital technologies create both opportunities and risks. While AI can expand assistive options and job possibilities, it can also widen the digital divide, exacerbating inequalities [13]. Remote work reduces commuting barriers and accommodation costs but raises demands for digital skills and self-management [14]. These shifts require policymakers and employers to recalibrate traditional supports.
Policy interventions and multi-level coordination. Evidence increasingly emphasizes system-level effects and multi-actor coordination. Saran et al. show that single instruments have limited impact in low- and middle-income settings [15]; comprehensive interventions—employment support, skills training, employer incentives, and attitude change—are needed. From the perspective of service providers, boosting employer willingness requires simultaneous supply- and demand-side action: enhancing job readiness while addressing bias and structural barriers [16]. Microenterprise development also warrants tailored policy and service support as a vital pathway to self-employment [17].
Heterogeneity across subgroups. Challenges vary markedly by disability type and severity, calling for differentiated strategies. Analyses of UK outcomes for autistic graduates show persistently lower employment rates and quality even among the highly educated [5]. Recruitment standardization and flexibility materially influence success across autistic, other neurodivergent, and neurotypical candidates [7]. These findings underscore layered structures within the disability employment system and the need for precise, subgroup-sensitive responses.
Overall, the disability employment system is undergoing profound structural changes. Linear, single-instrument interventions are giving way to multi-dimensional, multi-actor system governance. The remote work revolution catalyzed by COVID-19, the dual-edged impacts of AI, the gradual evolution of employer attitudes, and increasing heterogeneity within the disability community collectively shape a new employment ecosystem. Actor decisions are simultaneously influenced by technological change, policy innovation, shifting social norms, and demands for employment quality, yielding complex, nonlinear dynamics. While notable progress has been made on employer motivation, employment quality, technological impacts, and policy effects, most studies take single-actor or dyadic perspectives and lack a systematic account of tripartite interactions among government, employers, and persons with disabilities. This gap creates significant scope for applying evolutionary game theory to model the system’s dynamic evolution.
Accordingly, this study adopts a systems perspective and develops a tripartite evolutionary game model of government–employer–disability interactions. We analyze strategy choices, evolutionary paths, and equilibrium states; identify key parameters and critical thresholds shaping system evolution; and elucidate the system’s mechanisms and optimization routes. Specifically, we address three questions: (1) How do strategies among the three actors evolve, and what equilibria are possible? (2) How do policy parameters differentially affect strategy choices, and which factors are pivotal to system evolution? (3) How can parameter optimization and mechanism design steer the system from inefficient equilibria (global high-unemployment states) toward desirable equilibria (fuller employment states)? By answering these questions, the study aims to provide systematic theoretical guidance and empirical support for building a more effective disability employment promotion system, advancing a transition from “policy-driven” to “system-synergistic” governance, and enabling a structural shift from current high unemployment to sustainable, inclusive employment.
The remainder of this study is organized as follows. Section 2 develops the tripartite evolutionary game model and analyzes its stability. Section 3 presents the numerical simulations and sensitivity analyses of key parameters. Section 4 discusses the model’s findings in the context of real-world policy practices. Finally, Section 5 concludes the study, summarizing the main findings and discussing their policy implications, limitations, and avenues for future research.

2. Game Model Design

2.1. A Market-Mechanism Evolutionary Game Between Employers and Persons with Disabilities

2.1.1. Baseline Assumptions

This section analyzes disability employment under a market-oriented mechanism through a supply–demand coordination lens and constructs a two-player evolutionary game between employers and persons with disabilities. The goal is to examine how strategies interact under spontaneous market adjustment and to trace the dynamic paths shaped by basic coordination, skill matching, and system-level gains.
Assumption 1.
The players are employers (E) and persons with disabilities (D). Employers choose between “active hiring” and “avoidance,” balancing potential productivity gains and reputational benefits against additional labor costs and managerial risks. Persons with disabilities choose between “active job search” and “passive reliance,” trading off self-realization through skills and employment against job-search barriers and discrimination risks. Employer hiring intentions strongly guide job-seeking enthusiasm: when demand is weak, even skilled and motivated candidates may experience learned helplessness due to lack of opportunities. Both players are boundedly rational. Their decisions are shaped by market signals, information symmetry, and accumulated interaction experience, and are updated over repeated play to seek evolutionarily stable states.
Assumption 2.
Let employers adopt “active hiring” with probability x and “avoidance” with probability 1 − x. Let persons with disabilities adopt “active job search” with probability y and “passive reliance” with probability 1 − y. Here 0 ≤ x ≤ 1 and 0 ≤ y ≤ 1, and both x and y evolve over time.
Assumption 3.
In the purely market-based evolutionary game, payoffs and costs are specified as follows. Employers have a baseline operating return Re; the cost of active hiring is Ce (e.g., job redesign, training, accessibility), the opportunity loss from avoidance is Le (e.g., missed talent, reputational damage), and the productivity surplus from hiring is Se. For persons with disabilities, the baseline benefit in non-employment is Rd; the cost of active job search is Cd (e.g., training, transportation); the opportunity cost or dependency loss under passive reliance is γRd; and the comprehensive benefit from successful employment (wage plus self-realization, security) is Sd. To capture market coordination, we introduce:
Basic coordination coefficient α: reflects the foundational value of cooperation—information exchange, trust-building, and efficiency gains beyond individual returns.
Skill-matching coefficient β: captures the market return to human capital investment; greater training and job–skill alignment raise job success and on-the-job productivity.
System synergy coefficient γ: represents scale and network effects when both sides “move toward each other.” As more employers open positions and more candidates search actively, market thickness increases, information asymmetry falls, and matching efficiency accelerates nonlinearly, yielding systemic gains or reducing systemic losses.
Assumption 4.
Strategy updates follow bounded rationality and are governed by replicator dynamics. The baseline adjustment without memory is represented by the standard replicator equation:
d x d t = x ( 1 x ) [ v 11 v 12 ] d y d t = y ( 1 y ) [ v 21 v 22 ]
Incorporating memory, we model decision delays due to information processing, learning, and history dependence via delay differential equations (DDE):
d x ( t ) d t = x ( t ) [ 1 x ( t ) ] [ v 11 ( t τ g ) v 12 ( t τ g ) ] d y ( t ) d t = y ( t ) [ 1 y ( t ) ] [ v 21 ( t τ e ) v 22 ( t τ e ) ]
Table 1 and Table 2, respectively, present the parameters and payoff matrix of the two-party evolutionary game model.
Table 1. Parameter table of the two-party evolutionary game model.
Table 2. Disability employment two-player evolutionary game payoff matrix.

2.1.2. Evolutionarily Stable Strategies Under the Market Mechanism

Let the employer’s expected payoff under “active hiring” be Fx11, under “avoidance” be Fx12, and the average expected payoff be Fx. We specify:
F x 11 = y ( R e + α S e + β γ S e C e ) + ( 1 y ) ( R e + α S e C e ) F x 12 = y ( R e L e γ L e ) + ( 1 y ) R e L e F x = x F x 11 + ( 1 x ) F x 12
The employer’s replicator dynamic is:
F ( x ) = x ( 1 x ) L e C e + α S e + γ L e y + β γ S e y
Similarly, let the expected payoff for persons with disabilities under “active job search” be Fy11, under “passive reliance” be Fy12, and the average expected payoff be Fy:
F y 11 = x ( R d + α β S d + γ S d C d ) + ( 1 x ) ( R d + α S d C d ) F y 12 = x R d + ( 1 x ) R d γ R d F y = y F y 11 + ( 1 y ) F y 12
Their replicator dynamic is:
F ( y ) = y ( 1 y ) ( α S d C d + γ R d α S d x γ R d x + γ S d x + α β S d x )
Combining (4) and (6) yields the two-player replicator system under a pure market mechanism. Local stability is analyzed via the Jacobian:
J ( x , y ) = F x x F x y F y x F y y N O T E : F x x = ( 1 2 x ) ( L e C e + α S e + γ L e y + β γ S e y ) F x y = x ( x 1 ) ( γ L e + β γ S e ) F y x = y ( y 1 ) ( α S d + γ R d γ S d α β S d ) F y y = ( 1 2 y ) ( α S d C d + γ R d α S d x γ R d x + γ S d x + α β S d x )
Given the model’s parameter richness, the optimal solutions are nontrivial. To present the results transparently, we follow the visualization approaches of Zhang et al. and Wan et al. [18,19]. Using MATLAB R2024b, we simulate optimal decisions across model variants. Without loss of generality, parameter assignments satisfy the model’s structural conditions and align with market realities:
Employer parameters: loss from not hiring Le = 4.5; cost of hiring Ce = 7.0; benefit from hiring Se = 3.5.
Worker parameters: wage income upon employment Rd = 6.0; job-search cost Cd = 4.8; additional gains upon employment Sd = 2.2.
Coordination parameters: α = 0.8, β = 0.8, γ = 0.8.
Delays in the DDE system: information-processing delay (employer response) = 1.2; behavioral adaptation delay (worker response) = 0.8.
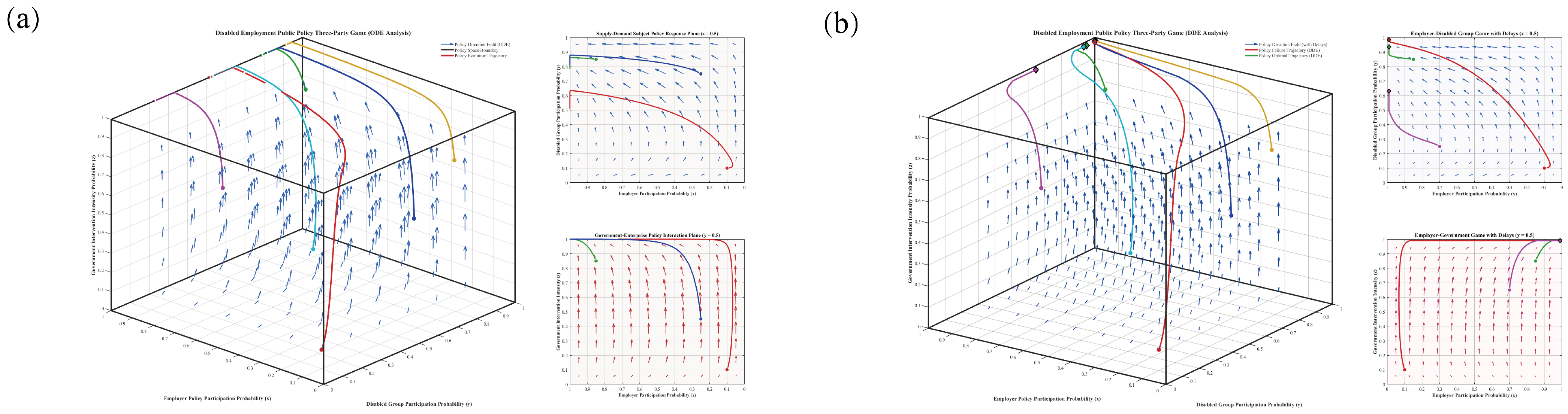
Phase portraits are shown in Figure 1. Panel (a) reports trajectories under an ODE (no history); panel (b) reports trajectories under a DDE (with memory of past decisions).
Figure 1. Phase portraits of the two-player evolutionary system under a market mechanism.
From Figure 1, under the given market-only parameters, the two-player system does not converge to a stable equilibrium, regardless of whether historical decisions are considered. Most trajectories fail to reach a steady state. This indicates that spontaneous market adjustment alone cannot deliver the socially desirable equilibrium E4 (1,1) of “active hiring, active job search.” Figure 1a shows the simulation using ODE (Ordinary Differential Equation), while Figure 1b presents the simulation using DDE (Delay Differential Equation). The underlying market failure arises for three reasons:
Economic incentives dominate decisions on both sides. In the absence of external incentives (e.g., subsidies, tax credits), employers perceive the additional costs and uncertainties of hiring (accessibility retrofits, training, supervision) as exceeding direct economic returns, dampening hiring intentions. Likewise, candidates perceive a mismatch between the risks and expected returns to sustained job search under barriers and uncertainty.
Without robust external oversight and supports, coordination effects are weak. Employer bias and information asymmetry obscure the productivity value of hiring. Conversely, limited access to effective training and employment services constrains candidates’ competitiveness. This supply–demand disconnect prevents the emergence of a virtuous market cycle.
Disability employment entails significant positive externalities. The social welfare gains—lower social security outlays, greater equity, better utilization of labor resources—exceed the private benefits to individual firms or workers. When private costs and social benefits diverge, market allocation tends toward underinvestment: individually rational choices (non-participation) are socially suboptimal. Overcoming this low-level equilibrium trap requires appropriate government intervention and guidance.

2.2. Tripartite Evolutionary Game Model Under Government Guidance

2.2.1. Baseline Assumptions

Building on the two-player model, this section introduces government as a third strategic actor to approximate real-world policy settings and constructs a tripartite evolutionary game among employers, persons with disabilities, and government. Additional government-related assumptions are as follows:
Assumption 5: In the tripartite model, government acts as a key coordinator and regulator whose decisions and payoffs are oriented toward public interest and exhibit greater complexity. The government faces two strategic choices: z = 1 (Active Support): The government undertakes proactive interventions, such as designing and administering subsidy policies, providing public employment services, and implementing regulatory and sanctioning mechanisms; z = 0 (Passive Oversight): The government maintains only minimal supervision and does not allocate additional resources to policy support or intervention. Let the government’s baseline fiscal and social payoff be Rg, representing aggregate benefits under normal socio-economic conditions (e.g., tax revenue, social stability, public satisfaction). If government adopts an “active support” strategy, it incurs a policy implementation cost Cg, which encompasses the design and administration of subsidies, penalties, and public employment services. Through coordinated interaction with employers and persons with disabilities, government obtains additional governance gains Sg, reflected in higher employment, reduced social security outlays, enhanced equity, and increased government credibility.
Conversely, under a “passive oversight” strategy, government faces a potential loss Lg stemming from a deteriorating employment situation, including mounting social security pressures, intensified social tensions, and reputational damage. As guardian of the public interest and a macroeconomic steward, government is simultaneously constrained by budget realities and driven by responsibilities to advance equity, maintain stability, and ensure sustainable development. It thus displays strong risk aversion to social deterioration and carefully evaluates the costs and benefits of intervention.
To enhance realism, we map core intervention parameters to concrete policy tools:
Be (employer subsidies): a package of economic incentives encouraging employers to hire persons with disabilities, including:
Job subsidies: annual direct funding tied to the number of hires.
Training subsidies: reimbursement for firm-sponsored skills training.
Tax relief: 100% super-deduction of wages paid to employees with disabilities in corporate tax calculations.
Social insurance subsidies: coverage of part or all employer contributions for insured employees with disabilities.
Bd (worker-side subsidies): targeted supports encouraging active labor market participation by persons with disabilities, such as:
Job-search subsidies: basic living support during active search.
Training subsidies: full or high-percentage coverage of vocational training fees.
Transportation subsidies: support for job-search and commuting costs.
Employment bonuses: one-time awards for achieving stable employment.
Pe (employer penalties): measures that raise the opportunity cost of shirking hiring responsibilities, including:
Disability employment levy: assessments on firms not meeting statutory hiring ratios, proportional to shortfall headcount and local average wages.
Credit sanctions: adverse records in government credit registries affecting market reputation.
Procurement restrictions: eligibility limits or demerits in public tenders.
Revocation of tax preferences: removal of otherwise applicable tax incentives.
Table 3 and Table 4 respectively present the parameters and payoff matrix of the three-party evolutionary game model.
Table 3. Parameter table of the three-party evolutionary game model.
Table 4. Disability employment three-player evolutionary game payoff matrix.

2.2.2. Evolutionarily Stable Strategies Under Government Guidance

Let the employer’s expected payoff under “active hiring” be Ux11, under “not hiring actively” be Ux12, with average expected payoff Ux:
U x 11 = y z R e + α S e + β γ S e + B e C e + ( 1 y ) z R e + α S e + B e C e + y ( 1 z ) R e + β S e C e + ( 1 y ) ( 1 z ) R e C e U x 12 = y z R e L e γ L e P e + ( 1 y ) z R e L e P e + y ( 1 z ) R e L e α L e + ( 1 y ) ( 1 z ) R e L e U x = x U x 11 + ( 1 x ) U x 12
The employer’s replicator dynamic is:
U ( x ) = x ( 1 x ) ( L e C e + B e z + P e z + L e α y + S e β y + S e α z L e α y z + L e γ y z S e β y z + S e β γ y z )
Let the expected payoff for persons with disabilities under “active job search” be Uy11, under “not actively searching” be Uy12, with average expected payoff Uy:
U y 11 = x z R d + α β S d + γ S d + B d C d + ( 1 x ) z R d + α S d + B d C d + x ( 1 z ) R d + β S d C d + ( 1 x ) ( 1 z ) R d C d U y 12 = x z R d + ( 1 x ) z R d γ R d + x ( 1 z ) R d α R d + ( 1 x ) ( 1 z ) R d β R d U y = y U y 11 + ( 1 y ) U y 12
Their replicator dynamic is:
U ( y ) = y ( 1 y ) ( R d β C d + B d z + R d α x R d β x + S d β x R d β z + S d α z + R d γ z R d α x z + R d β x z S d α x z S d β x z R d γ x z + S d γ x z + S d α β x z )
Let the government’s expected payoff under “active support” be Uz11, under “not supporting actively” be Uz12, with average expected payoff Uz:
U z 11 = x y R g + α S g + β γ S g C g B e B d + ( 1 x ) y R g + α S g C g B d + P e + x ( 1 y ) R g + α S g C g B e γ C g + ( 1 x ) ( 1 y ) R g C g + P e U z 12 = x y R g L g + ( 1 x ) y R g L g β L g + x ( 1 y ) R g L g α L g + ( 1 x ) ( 1 y ) R g L g γ L g U z = z U z 11 + ( 1 z ) U z 12
The government’s replicator dynamic is:
U ( z ) = z ( z 1 ) ( C g L g P e L g γ + B e x + B d y + P e x + C g γ x L g α x L g β y + L g γ x + L g γ y S g α x S g α y L g γ x y + S g α x y C g γ x y + L g α x y + L g β x y S g β γ x y )
Jointly considering (9), (11), and (13) yields the tripartite replicator system. Local stability is analyzed via the Jacobian:
J ( x , y , z ) = J 11 J 12 J 13 J 21 J 22 J 23 J 31 J 32 J 33 N ote : J 11 = ( 1 2 x ) ( L e C e + B e z + P e z + L e α y + S e β y + S e α z L e α y z + L e γ y z S e β y z + S e β γ y z ) J 12 = x ( x 1 ) ( L e α + S e β L e α z + L e γ z S e β z + S e β γ z ) J 13 = x ( x 1 ) ( B e + P e + S e α L e α y + L e γ y S e β y + S e β γ y ) J 21 = y ( y 1 ) ( R d α R d β + S d β R d α z + R d β z S d α z S d β z R d γ z + S d γ z + S d α β z ) J 22 = ( 1 2 y ) ( R d β C d + B d z + R d α x R d β x + S d β x R d β z + S d α z + R d γ z R d α x z + R d β x z S d α x z S d β x z R d γ x z + S d γ x z + S d α β x z ) J 23 = y ( y 1 ) ( B d R d β + S d α + R d γ R d α x + R d β x S d α x S d β x R d γ x + S d γ x + S d α β x ) J 31 = z ( z 1 ) ( B e + P e + C g γ L g α + L g γ S g α C g γ y + L g α y + L g β y L g γ y + S g α y S g β γ y ) J 32 = z ( z 1 ) ( B d L g β + L g γ S g α C g γ x + L g α x + L g β x L g γ x + S g α x S g β γ x ) J 33 = ( 2 z 1 ) ( C g L g P e L g γ + B e x + B d y + P e x + C g γ x L g α x L g β y + L g γ x + L g γ y S g α x S g α y L g γ x y + S g α x y C g γ x y + L g α x y + L g β x y S g β γ x y )
Drawing on the theoretical framework proposed by Lyapunov, this study delves into the issue of asymptotic stability of equilibrium points within the tripartite evolutionary game of employers, persons with disabilities [20], and the government. In evolutionary game theory, the stability of an equilibrium point is a critical measure of a system’s ability to maintain its state over long-term evolution. For an equilibrium point to be considered asymptotically stable, it must be a strict pure strategy Nash equilibrium, as opposed to a mixed strategy Nash equilibrium. Following this theory, our study identifies eight locally stable equilibrium points through the dynamics equations of the tripartite evolutionary game system: E1 (0,0,0), E2 (1,0,0), E3 (0,1,0), E4 (0,0,1), E5 (1,1,0), E6 (1,0,1), E7 (0,1,1), and E8 (1,1,1). These eight points serve as boundary points for the evolutionary game, with equilibrium points also existing within the boundaries, albeit as mixed strategy Nash equilibriums. Therefore, our study focuses on the asymptotic stability of these eight boundary points. According to Friedman, whether an equilibrium point is asymptotically stable is determined by the signs of the eigenvalues of the Jacobian matrix [21]. Specifically, if all eigenvalues of a Jacobian matrix are negative, the equilibrium point is considered an evolutionarily stable strategy (ESS). Our study calculates the eigenvalues for each of the eight equilibrium points (see Table 5).
Table 5. Eigenvalues of the Jacobian Matrix.
For comparability, we retain the core parameterization from the pure market setting and add government-side parameters:
Government payoffs and costs: loss under passive oversight Lg = 8.5; cost of active support Cg = 6.5; governance gains from successful promotion of disability employment Sg = 11.00.
Policy instruments: employer subsidy Be = 2.8; worker subsidy Bd = 1.6; employer penalty Pe = 2.2.
Delays in the DDE system: information-processing delay for employers = 1.2 years; behavioral adaptation delay for workers = 0.8 years; policy execution delay for government = 1.5 years.
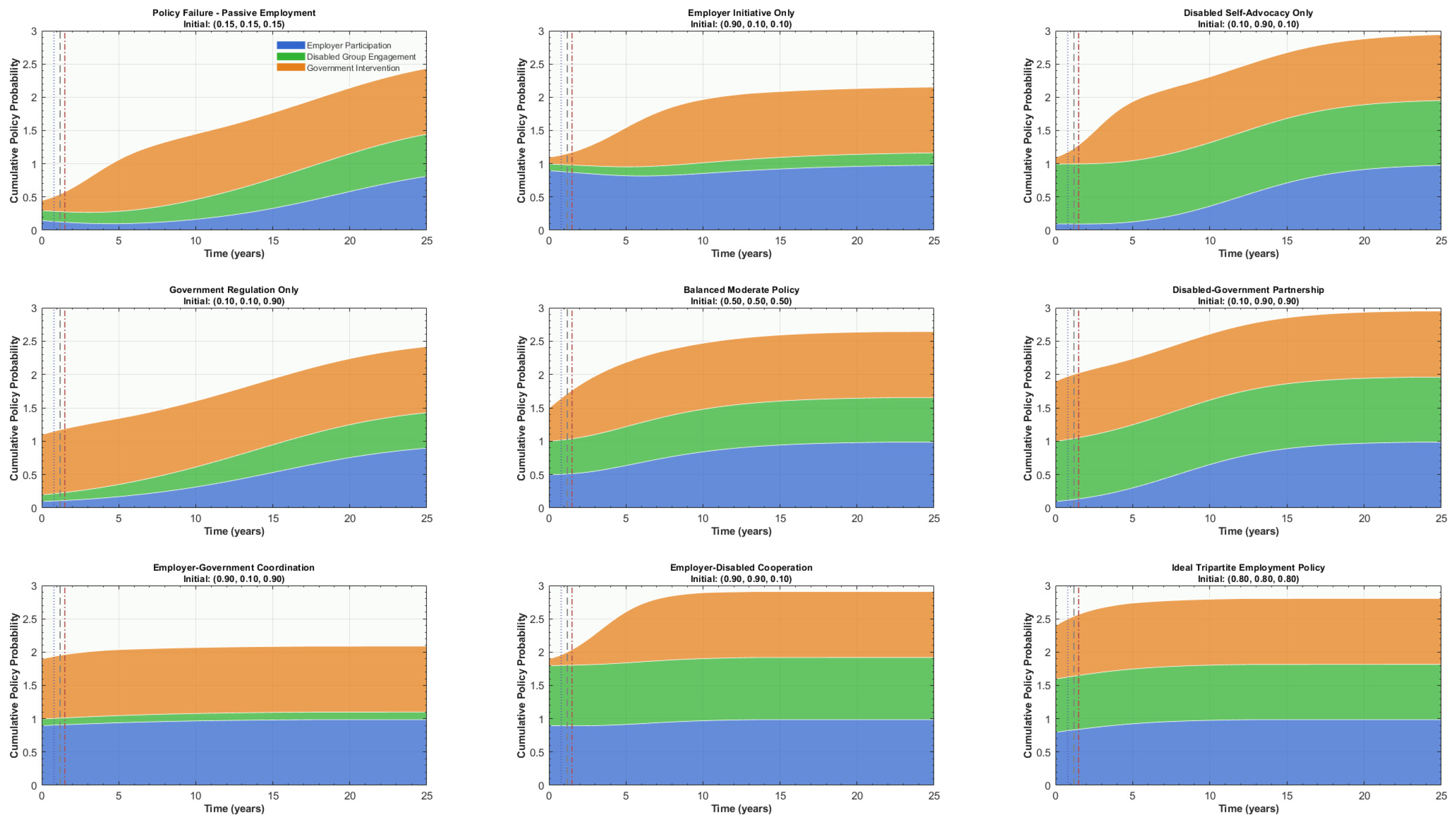
Phase portraits based on these parameters are shown in Figure 2. Panel (a) depicts trajectories under an ODE (no memory), and panel (b) under a DDE (with memory of past decisions).
Figure 2. Phase portraits of the tripartite evolutionary system under government guidance.
From Figure 2, introducing governmental regulation and guidance fundamentally reshapes the prior market-only equilibrium landscape and steers the disability employment system toward the desired direction. Figure 2a shows the simulation using ODE (Ordinary Differential Equation), while Figure 2b presents the simulation using DDE (Delay Differential Equation). Unlike the strong convergence to suboptimal equilibria observed in Figure 1, the system in Figure 2b converges—despite transient fluctuations due to delay effects—toward the ideal state of (active hiring, active job search, active support). This demonstrates that robust government participation is pivotal to overcoming disability employment bottlenecks and optimizing strategic configurations across actors. It also indicates that, even in the presence of realistic decision inertia and delays, a well-designed guidance mechanism can surmount the inherited “low-level equilibrium trap” and pull the system toward a superior, sustainable equilibrium.
Mechanistically, subsidies and penalties reshape the cost–benefit structures of employers and job seekers. Government support directly lowers employers’ costs of active hiring and reduces the threshold for active job search, while penalties increase the opportunity cost of avoidance. Meanwhile, the government’s own strategy is endogenously motivated by the interplay of social benefits and potential losses, generating policy momentum. The interaction of these three forces realigns incentives and drives the system away from its prior impasse toward a socially preferred, Pareto-superior outcome.
In short, government guidance operates as a catalytic force for the disability employment market. It addresses information asymmetries and under-internalized externalities inherent to the pure market, and—by creating a stable, predictable policy environment—strengthens confidence in adopting active strategies across all parties. The policy implication is clear: achieving a structural breakthrough in disability employment requires a strong, sustained, and multi-actor support system to propel the employment ecosystem toward higher-quality and more sustainable development.

3. Numerical Simulation and Results

Using MATLAB R2024b, we simulate the tripartite evolutionary game among employers (E), persons with disabilities (D), and government (G) to visualize strategy dynamics more intuitively. The simulation horizon is 25 periods (years) with a step of 1 year. To be precise, while the results are reported at annual intervals, the underlying model is continuous. The DDE system was solved using MATLAB’s dde23 solver, which is based on an explicit Runge-Kutta (2,3) pair. We set the relative error tolerance to 1 × 10−5 and the absolute error tolerance to 1 × 10−7 to ensure the numerical accuracy and stability of the solution. We adopt a delay differential equation (DDE) framework, setting decision delays of 1.2 years for employers, 0.8 years for persons with disabilities, and 1.5 years for government. These delays embed memory and learning into the decision process: each actor conditions current choices on the previous period’s decisions, better reflecting real-world behavior. In practice, governments require time to recalibrate policy toolkits; employers need time to absorb investments in job redesign and HR management; and job seekers need time to complete training and adapt to job search. The DDE approach thus captures these lagged effects and yields simulations that more closely mirror the actual evolution of disability-employment support policies.
The parameters utilized in this chapter are detailed in Chapter 2. Their rationale is derived from an analysis of policy provisions, implementation logic, and practical scenarios, drawing upon the Dongguan Measures for Promoting Employment and Entrepreneurship for Persons with Disabilities [22], the Xinjiang Uyghur Autonomous Region Regulations on Proportional Employment of Persons with Disabilities [23], and the Reply to Recommendation No. 7965 of the Second Session of the 14th National People’s Congress (2024).
It is important to note that these parameter settings are not universally absolute. Given the regional disparities in economic development, the stringency of disability employment policies, and labor market structures, these values require dynamic adjustment to reflect specific local contexts. Furthermore, to validate the robustness of the model’s conclusions, a sensitivity analysis of key parameters will be conducted subsequently.

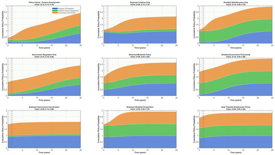
3.1. Sensitivity to Initial Participation Intentions

Across scenarios with different initial intention profiles, Figure 3 shows that initial strategies critically shape the system’s long-run trajectory.
Figure 3. Sensitivity analysis of initial participation intentions.
When all three actors begin with low initial propensities—e.g., the “policy failure–passive employment” scenario with initial probabilities of 0.15 each—the system, after a brief hesitation, rapidly drifts to a low-level equilibrium in which cumulative strategy probabilities grow very slowly. Lacking initial momentum, spontaneous market forces cannot overcome the inertia of market failure, yielding a “lose–lose–lose” configuration of employer avoidance, job-seeker passivity, and government inaction.
As one or two actors’ initial intentions rise beyond a threshold, the system begins to transition toward a high-level equilibrium. Notably, the “leadership effect” differs across actors. Relative to employers and job seekers, high initial government intention exerts the strongest and most efficient pull toward the optimal state. For example, in “government-led regulation” (initial probabilities 0.1, 0.1, 0.9) and “job seeker–government collaboration” (0.1, 0.9, 0.9), convergence speed and the ultimate level of cumulative strategy probabilities clearly outperform “employer-led” (0.9, 0.1, 0.1) or “employer–job seeker collaboration” (0.9, 0.9, 0.1). This underscores government’s pivotal leadership in disability employment governance.
Three mechanisms plausibly explain this difference:
Public responsibility. Government bears a non-delegable duty to ensure equal employment rights and uphold social justice. Persistent underperformance in disability employment escalates social security expenditures and social tensions, triggering accountability risks and credibility losses. Unlike firms that can sidestep hiring costs or individuals who may exit the market due to information frictions and high search costs, government cannot shift responsibility, giving it the strongest motive to intervene proactively.
Resource allocation and regulatory capacity. Government uniquely wields fiscal, tax, and legal instruments to reshape system-level incentives—e.g., targeted subsidies to alter cost–benefit structures and levies to set behavioral baselines. As rule-maker and resource allocator, it can reconfigure the game at the system level in ways no single market actor can.
Time preference and social welfare. Government’s planning horizon is typically longer than that of firms or individuals. While firms may prioritize near-term financials and job seekers focus on immediate livelihoods—both applying relatively high subjective discount rates to uncertain future returns—government evaluates long-term social welfare and sustainable development, accepting current investments to build human capital and social inclusion. A lower social discount rate stabilizes and sustains government’s proactive stance, guiding the system more effectively toward a Pareto-superior state.

3.2. Sensitivity to the Basic Coordination Coefficient

Figure 4 shows that higher values of the basic coordination coefficient αα increase the likelihood that all three actors adopt active strategies, promoting convergence to the ideal equilibrium (1,1,1). Sensitivity differs across actors: persons with disabilities are most sensitive, displaying the steepest convergence acceleration as α rises; government exhibits moderate, steadily positive responsiveness; employers are least sensitive, adjusting more gradually. The middle bottom bar plot corroborates this ordering and highlights a key feature: overall sensitivities remain comparatively stable across policy settings (systematic increases or decreases in α), yet the sensitivity of persons with disabilities remains distinctly higher than that of the other two actors.
Figure 4. Sensitivity analysis of the basic coordination coefficient.
Economic intuition:
Information asymmetry. Persons with disabilities face a classic “lemons” problem in job search: their skills and potential are often underestimated, and they struggle to identify genuinely inclusive employers. A higher α effectively raises market transparency and trust, creating a more symmetric informational environment that lowers both risk and psychological costs for job seekers. As the primary victims of information asymmetry, they are correspondingly the greatest beneficiaries—and thus the most responsive—to improvements in baseline market efficiency.
Signal amplification for human capital investment. As the basic cooperation environment improves, individuals anticipate that investments in skills and barrier reduction will more reliably translate into success and income. This lifts the marginal utility of self-investment, making changes in α pivotal to personal strategy—more so than for government or employers, for whom αα is one among several determinants.
First-mover role in the participation chain. The system’s virtuous cycle depends on active participation by job seekers; only then do employers’ hiring strategies and government supports find targets. Any factor that materially elevates their participation—such as αα—induces the sharpest “zero-to-one” shift in their strategies. Government and employer responses are comparatively indirect and lagged, hence less sensitive.

3.3. Sensitivity to the Skill-Matching Coefficient

As Figure 5 indicates, higher values of the skill-matching coefficient—interpreted as the market return to human capital investments by persons with disabilities—accelerate the adoption of active strategies across all actors and stabilize convergence to the ideal equilibrium (1,1,1). Sensitivity again differs: persons with disabilities are most sensitive, with the steepest acceleration in convergence as the coefficient rises; government ranks second, exhibiting an S-shaped response that initially strengthens gradually and then more rapidly; employers are least sensitive, adjusting in the same direction but with the smallest amplitude. The middle bottom bar plot confirms this ordering.
Figure 5. Sensitivity analysis of the skill-matching coefficient.
Underlying mechanisms:
For persons with disabilities, skill matching is central to dignified, sustainable employment. As a direct measure of the return on human capital, a higher coefficient means fewer barriers, higher success probabilities, and stronger career security—affecting not only income but also self-realization and independence. Their position at the start of the value chain makes them the most immediate and strongest responders to improvements in matching efficiency.
For government, second-place sensitivity reflects its dual role as public resource allocator and bearer of macro policy objectives. Government-led or financed vocational training is a primary lever to raise the coefficient; the implied return on public investment directly affects fiscal effectiveness and policy evaluation. Moreover, better matching reduces unemployment, lowers social security outlays, and enhances social stability—core performance metrics.
For employers, sensitivity is dampened by diversified objectives and risk hedging. Recruitment decisions weigh multiple factors—labor costs, productivity, subsidies, CSR, and legal compliance (e.g., levies)—with skill matching only one element in a broader cost–benefit matrix. When subsidies and tax incentives are available, firms may tolerate lower initial matching, relying on on-the-job training to close gaps. This diversification dilutes dependence on any single parameter, yielding smoother, more conservative adjustments.

3.4. Sensitivity to the System Synergy Coefficient

Figure 6 shows that higher values of the system synergy coefficient—capturing economies of scale and network effects when supply and demand “move toward each other”—increase the likelihood that all actors adopt coordinated strategies, enabling faster convergence to the ideal equilibrium (1,1,1). Sensitivity again differs across actors: persons with disabilities are the most sensitive, exhibiting the steepest convergence as the coefficient rises; government displays moderate, steadily positive responsiveness; employers are least sensitive and adjust more gradually. The bar chart in the bottom-middle panel corroborates this ranking.
Figure 6. Sensitivity analysis of the system synergy coefficient.
The underlying economics reflects “threshold effects” and network externalities driving a shift from quantitative to qualitative change in the disability employment market:
System synergy captures nonlinear gains from a thicker market. For persons with disabilities, once the number of active employers and peers reaches a critical mass, the job-search environment is transformed. The process shifts from a “needle-in-a-haystack” struggle to a vibrant market with more options, better information flow, and stronger social support. This transition—from isolation to integration—substantially strengthens their sense of security and belonging, yielding marginal utility far beyond a simple pay or subsidy increment. As nodes most eager to be connected, they respond most sharply to the emergence of systemwide opportunities.
As the architect and steward of institutions, government is sensitive because higher values signal a Pareto-improving dynamic. When the ecosystem enters a self-reinforcing virtuous cycle, government can scale back costly direct interventions (e.g., large subsidies) and rely more on endogenous market forces to achieve policy goals. This lift in governance efficiency—along with fiscal relief and gains in aggregate welfare—explains why government’s sensitivity is second only to that of the primary beneficiaries.
Employers are least sensitive because the positive effects on them are diffuse and indirect. While thicker markets can lower recruitment costs and broaden candidate pools, firms prioritize direct financial indicators—subsidy levels, penalty intensity, and immediate productivity of new hires. Improvements in the “soft environment” (reputation, cohesion) are hard to quantify and rarely enter financial statements at face value, reducing their weight in decision-making. Policy design should therefore leverage the high sensitivity of persons with disabilities and government: front-load strong, focused interventions to push the market past its critical mass, activating network effects and catalyzing the transition from “policy transfusion” to “market self-sustenance.”

3.5. Sensitivity to Government Subsidy Intensity

3.5.1. Employer Subsidies

Figure 7 reveals the nuanced effects of employer subsidies—the core fiscal lever for incentivizing firms. A clear pattern emerges: larger subsidies encourage both employers and job seekers to adopt active strategies. However, responses are not linear, and sensitivities vary considerably across actors.
Figure 7. Sensitivity analysis of employer subsidies.
Persons with disabilities are the most sensitive: their strategy curves display the sharpest acceleration in convergence as subsidies rise. Government and employers show broadly similar, second-tier sensitivity: their responses are positive but notably weaker than those of job seekers. The bar chart confirms this ordering and quantifies the gap.
Mechanism:
For persons with disabilities, employer subsidies serve as a powerful shock signal capable of breaking entrenched barriers. In their view, large-scale subsidies do more than reduce firm costs—they alter the rules of the game. Doors that were previously closed now appear open; success shifts from a low- to a high-probability event. This transformation—from near-hopelessness to credible opportunity—yields a psychological and practical boost far exceeding the direct fiscal value, explaining their outsized responsiveness.
Employers and government exhibit comparable, measured sensitivity, reflecting a symmetry between direct benefits and costs. For employers, subsidies are a tangible financial gain offset against real expenses of hiring, training, and managing. For government, subsidies are a direct fiscal outlay weighed against social returns (employment, stability). Both engage in marginal cost–benefit calculations, producing disciplined, linear responses—not the step-change experienced by job seekers whose livelihood prospects are fundamentally altered.
Policy implication: Although subsidies target employers, the strongest incentive effect manifests on the job-seeker side. Success hinges not only on the subsidy level but also on clear signal transmission, ensuring every potential job seeker perceives that employers are being strongly supported, thereby unlocking intrinsic motivation among the most sensitive group and jump-starting a virtuous market cycle.

3.5.2. Worker-Side (Disability) Subsidies

Figure 8 shows that subsidies directly targeting persons with disabilities are the key driver of their adoption of the “active job search” strategy. Higher subsidy levels accelerate convergence and facilitate attainment of the (1,1,1) equilibrium.
Figure 8. Sensitivity analysis of subsidies for persons with disabilities.
The incentive effect is highly asymmetric. Persons with disabilities display overwhelmingly higher sensitivity: their strategy curves become exceptionally steep as subsidies rise. By contrast, employer and government sensitivities are minimal; their trajectories are nearly flat across subsidy levels. The bar chart underscores this stark divergence.
Mechanism:
For persons with disabilities, job-search, training, and transportation subsidies form a “security net” for market participation. These supports directly reduce the heavy financial and opportunity costs of searching and training, ease pre-employment livelihood pressure, and underwrite investments in human capital. Because these transfers raise the net payoff of active search with minimal leakage, they constitute the most direct and potent incentive, yielding the highest sensitivity.
For employers and government, the effects are indirect and weak. Employer profit functions are driven by hiring costs, labor productivity, and direct incentives; the amount of support a candidate receives rarely enters the firm’s core financial calculus. For government, expanding worker-side subsidies may activate labor supply, but without concurrent shifts in employers’ or government’s own cost–benefit structures, there is limited impetus to alter strategies. Government’s “active support” depends on macro goals and fiscal efficiency; employers’ “active hiring” depends on demand and direct hiring incentives.

3.6. Sensitivity to Employer Penalties

Figure 9 examines penalties imposed on firms that evade hiring responsibilities. Stronger penalties promote convergence to the (1,1,1) equilibrium, chiefly by suppressing passive employer strategies.
Figure 9. Sensitivity analysis of employer penalties.
Sensitivity is heterogeneous. Persons with disabilities are most sensitive, showing the fastest acceleration toward active search as penalties increase. Employers rank second, responding directly and rationally to rising expected costs. Government’s sensitivity is near zero: its strategic trajectory is largely unaffected by penalty magnitudes. The bar chart clearly validates this ordering.
Mechanism:
For persons with disabilities, stringent penalties (e.g., levies, credit sanctions) serve as the strongest institutional guarantee of employment rights and an embodiment of fairness. Observing credible enforcement reshapes expectations about market equity: effort is less likely to be nullified by structural discrimination, and the probability of success enjoys a rule-based “hard guarantee.” The resulting security and motivation effects exceed those of direct transfers, driving the highest sensitivity.
Employers respond as cost-minimizing agents: penalties increase the expected cost of avoidance, whether via direct levies or indirect reputational and opportunity losses. Firms adjust defensively to contain costs. Yet this reaction lacks the empowering, opportunity-creating impact observed on the job-seeker side, hence the lower sensitivity relative to persons with disabilities.

4. Discussion

Drawing on sensitivity analyses within the evolutionary game model, this study identifies heterogeneous response mechanisms among the actors in the disability employment policy system with respect to different policy tools. To further validate the model’s explanatory power, we examine key findings against practice-based evidence from Shanghai.

4.1. Empirical Validation of the Skill-Matching Effect: High Sensitivity Among Persons with Disabilities

Our model predicts that persons with disabilities are most sensitive to the skill-matching coefficient, a result borne out in Shanghai’s policy practice. The Shanghai Action Plan for Promoting Employment of Persons with Disabilities (2023–2024) set a target of 10,000 new jobs for persons with disabilities across urban and rural areas over 2023–2024, highlighting vocational training as a central lever. By building a diversified training system, the Shanghai Disabled Persons’ Federation (SHDPF) significantly improved skill–job alignment. In 2024, SHDPF launched a program to identify exemplary disability entrepreneurship cases, expanding entrepreneurs’ access to social resources and enhancing their market competitiveness through face-to-face expert reviews. These measures confirm the model’s prediction: as skill matching improves, both job placement rates and entrepreneurial engagement increase markedly among persons with disabilities.

4.2. Transmission Effects of Employer Subsidies: Composite and Multi-Channel Incentives

The model shows that employer subsidies exert their strongest incentive effect on persons with disabilities—a pattern also evident in Shanghai’s policy mix. The city has developed a comprehensive incentive framework for employers, including job subsidies, training subsidies, tax relief, and social insurance subsidies. This integrated approach generates a strong “signal amplification” effect: when government supports employers, the signal diffuses quickly to job seekers, boosting confidence and participation. As predicted, although subsidies are directed at employers, the most pronounced behavioral response arises among persons with disabilities. This shift—from “policy transfusion” to “psychological empowerment”—highlights the socio-psychological dimension of economic incentives. SHDPF has also built platforms to connect firms and job seekers and to explore new employment models suited to persons with disabilities, systematically transmitting the positive policy signal and maximizing its motivational effects.

4.3. Perceived Fairness of Penalties: The Psychological Value of Institutional Deterrence

The finding that persons with disabilities are highly sensitive to employer penalties is supported by Shanghai’s enforcement of the disability employment levy. In accordance with national regulations, the city requires entities that fail to meet statutory hiring ratios to pay the levy. The 2024 Contribution Guide specifies that all government agencies, social organizations, enterprises, public institutions, and private non-enterprise entities within the city’s jurisdiction must contribute if they do not meet the prescribed ratio. Beyond imposing direct financial costs on employers, this institutionalized penalty sends a strong assurance signal to persons with disabilities, reinforcing perceived fairness and rule-based protection of their employment rights.

4.4. Network Value of System Synergy: Innovations in Concentrated Employment

The model predicts strong motivational effects from the system synergy coefficient, which are vividly reflected in Shanghai’s innovations in concentrated employment. The Shanghai Civil Affairs Bureau has continued to implement supportive policies for enterprises specializing in concentrated employment of persons with disabilities, creating more intensive and professional work environments. The core innovation lies in cultivating a micro-ecosystem where persons with disabilities work together, forming mutually supportive networks. As employment shifts from “going it alone” to “collective engagement,” individuals gain not just job opportunities but also belonging and identity. Once network effects are activated, positive feedback reinforces itself and the system converges toward a higher-level equilibrium. Huangpu District’s initiatives—establishing dedicated service centers that integrate rehabilitation, entrepreneurship and employment services, and cultural activities—demonstrate a comprehensive support network that maximizes system-wide synergy gains.

4.5. Policy Implications and Practical Recommendations

The alignment between the theoretical model and Shanghai’s experience yields several implications for optimizing disability employment policies:
Target the true locus of impact. While employer subsidies benefit firms directly, their strongest incentive effect occurs on the job-seeker side. Policy design should anticipate this “misaligned incentive” channel and strengthen communication to ensure that persons with disabilities clearly perceive the policy signal and associated opportunities.
Build a diversified, complementary policy portfolio. Shanghai’s integration of employer subsidies, worker-side transfers, skills training, penalties, and concentrated employment has generated notable complementarities. Single-instrument approaches are unlikely to achieve optimal outcomes.
Leverage the psychological value of policy tools. The levy system and concentrated employment models show that policy effectiveness extends beyond cost–benefit arithmetic to include perceived fairness, social recognition, and future expectations. Policy design should combine material incentives with symbolic and institutional reassurance, communicating respect and inclusion.
By combining theoretical modeling with evidence from Shanghai, this study deepens understanding of the mechanisms governing disability employment and offers a basis for other regions to design more effective promotion systems.

5. Conclusions

Grounded in bounded rationality and information asymmetry, this study develops market-based and government-guided tripartite evolutionary game models for disability employment—encompassing government, employers, and persons with disabilities—and analyzes their stability. We then deploy delay differential equations (DDEs) to incorporate historical inertia and conduct numerical simulations and sensitivity analyses, providing a theoretical foundation for building effective promotion mechanisms.
The main conclusions are as follows:
Government’s role and system coordination. Comparing market-only and government-guided settings confirms that, absent effective incentives and constraints, market forces alone readily yield failure and low-level equilibria. Active governmental guidance—through coordinated portfolios of policy tools—can fundamentally reshape cost–benefit structures, increase employer acceptance, and strengthen job-seeker participation. Initial government intention exerts the strongest pull on system evolution, underscoring its leading role in public governance.
Capacity building and job matching. Due to individual heterogeneity and informational frictions, persons with disabilities often face structural mismatches between skills and job requirements. Raising the skill-matching coefficient significantly boosts job-seeking participation, with sensitivity far exceeding that of government and employers. As the first mover in the participation chain, their engagement is the system’s primary impetus for a virtuous cycle. Skills training and capacity building thus form the critical bridge between labor supply quality and market demand.
Initial intentions and expectations. Incorporating initial intentions, expectations, and information perception into utility functions shows that initial willingness is a key precondition for active participation. It reflects not only individual attributes but also the policy environment and social climate. Risk perceptions and opportunity assessments among persons with disabilities strongly shape their employment decisions. Policy signals often matter more than direct monetary incentives, highlighting the central role of expectations.
Policy portfolios and complementarities. The model emphasizes the importance of integrated policy portfolios tailored to diverse needs and complex decision environments. Effectiveness depends less on the strength of any single instrument than on synergistic configurations that broaden coverage and improve allocation efficiency. For persons with disabilities, layered supports—employer subsidies, skills training, and employment services—enhance strategic stability and mitigate anxieties stemming from information and capability constraints. Although penalties directly target employers, their strongest motivational effect appears on the job-seeker side, illustrating the empowerment value of institutional fairness. Policymakers should analyze heterogeneous behavioral logics and deploy precise, differentiated combinations to enhance complementarities—enabling a transition from “policy-driven” to “system-synergistic” governance and, ultimately, from high unemployment to sustainable, inclusive employment.
System evolution and path optimization. The disability employment system exhibits pronounced nonlinearity and path dependence. Raising the system synergy coefficient activates network effects, catalyzing the shift from “policy transfusion” to “market self-sustenance.” As market thickness expands beyond a critical threshold, information asymmetries decline, matching efficiency accelerates nonlinearly, and systemic gains accrue. This “tipping point” dynamic suggests that concentrated, early-stage investments are crucial to pushing the market across the threshold and activating a self-reinforcing virtuous cycle.
While this study provides a systematic framework for understanding disability employment dynamics, it has several limitations that offer opportunities for future research.
First, the model assumes homogeneity within each stakeholder group. In reality, significant heterogeneity exists among employers (e.g., by firm size, industry, or corporate culture), persons with disabilities (e.g., by skill level, experience, or disability type), and government bodies (e.g., by administrative level or regional priorities). Future research could develop multi-agent models that account for this internal diversity, offering more granular and targeted policy insights.
Second, the model’s parameters, such as costs, benefits, and subsidy levels, are treated as static values. Future work could explore dynamic parameters that evolve in response to macroeconomic conditions, technological changes, or policy feedback loops, thereby capturing a more complex and realistic decision-making environment.
Third, our framework is limited to three primary actors. Expanding the model to include other influential stakeholders—such as educational institutions, non-profit service providers, and family support networks—could provide a more holistic understanding of the entire employment ecosystem.
Addressing these limitations would further enhance the model’s realism and its practical utility for policymakers seeking to build more inclusive and effective employment systems.

Author Contributions

Conceptualization, Z.S. and J.G.; methodology, Z.S.; software, Z.S.; validation, Z.S., Q.H. and J.G.; formal analysis, Z.S.; investigation, Z.S.; resources, J.G.; data curation, Z.S.; writing—original draft preparation, Z.S.; writing—review and editing, Q.H.; visualization, Z.S.; supervision, J.G.; project administration, J.G.; funding acquisition, J.G. All authors have read and agreed to the published version of the manuscript.

Funding

This research received no external funding.

Data Availability Statement

This study did not use any data; therefore, data sharing is not applicable to this article.

Conflicts of Interest

The authors declare no conflict of interest.

References

  1. United Nations Department of Economic and Social Affairs Disability. Disability and Employment. 2024. Available online: https://www.un.org/development/desa/disabilities/resources/factsheet-on-persons-with-disabilities/disability-and-employment.html (accessed on 12 October 2025).
  2. World Health Organization. Global Report on Health Equity for Persons with Disabilities; World Health Organization: Geneva, Switzerland, 2022; Available online: https://www.who.int/publications/i/item/9789240063600 (accessed on 12 October 2025).
  3. Ananian, S.; Dellaferrera, G. A Study on the Employment and Wage Outcomes of People with Disabilities (No. 124); ILO Working Paper; International Labour Organization: Geneva, Switzerland, 2024. [Google Scholar]
  4. Ostrom, E. Understanding Institutional Diversity; Princeton University Press: Princeton, NJ, USA, 2009. [Google Scholar]
  5. Vincent, J.; Ralston, K. Uncovering employment outcomes for autistic university graduates in the United Kingdom: An analysis of population data. Autism 2024, 28, 732–743. [Google Scholar] [CrossRef] [PubMed]
  6. Nagtegaal, R.; De Boer, N.; Van Berkel, R.; Derks, B.; Tummers, L. Why do employers (fail to) hire people with disabilities? A systematic review of capabilities, opportunities and motivations. J. Occup. Rehabil. 2023, 33, 329–340. [Google Scholar] [CrossRef] [PubMed]
  7. Davies, J.; Heasman, B.; Livesey, A.; Walker, A.; Pellicano, E.; Remington, A. Access to employment: A comparison of autistic, neurodivergent and neurotypical adults’ experiences of hiring processes in the United Kingdom. Autism 2023, 27, 1746–1763. [Google Scholar] [CrossRef] [PubMed]
  8. Ameri, M.; Kruse, D.; Park, S.R.; Rodgers, Y.; Schur, L. Telework during the pandemic: Patterns, challenges, and opportunities for people with disabilities. Disabil. Health J. 2023, 16, 101406. [Google Scholar] [CrossRef] [PubMed]
  9. Shahidi, F.V.; Jetha, A.; Kristman, V.; Smith, P.M.; Gignac, M.A. The employment quality of persons with disabilities: Findings from a national survey. J. Occup. Rehabil. 2023, 33, 785–795. [Google Scholar] [CrossRef] [PubMed]
  10. Martin, V.; Flanagan, T.D.; Vogus, T.J.; Chênevert, D. Sustainable employment depends on quality relationships between supervisors and their employees on the autism spectrum. Disabil. Rehabil. 2023, 45, 1784–1795. [Google Scholar] [CrossRef] [PubMed]
  11. Olsen, J. Employers: Influencing disabled people’s employment through responses to reasonable adjustments. Disabil. Soc. 2024, 39, 791–810. [Google Scholar] [CrossRef]
  12. Ezerins, M.E.; Simon, L.S.; Vogus, T.J.; Gabriel, A.S.; Calderwood, C.; Rosen, C.C. Autism and employment: A review of the “new frontier” of diversity research. J. Manag. 2024, 50, 1102–1144. [Google Scholar] [CrossRef]
  13. Ne’eman, A.; Maestas, N. How has COVID-19 impacted disability employment? Disabil. Health J. 2023, 16, 101429. [Google Scholar] [CrossRef] [PubMed]
  14. Chakraborty, N.; Mishra, Y.; Bhattacharya, R.; Bhattacharya, B. Artificial Intelligence: The road ahead for the accessibility of persons with Disability. Mater. Today Proc. 2023, 80, 3757–3761. [Google Scholar] [CrossRef]
  15. Saran, A.; Hunt, X.; White, H.; Kuper, H. Effectiveness of interventions for improving social inclusion outcomes for people with disabilities in low—And middle—Income countries: A systematic review. Campbell Syst. Rev. 2023, 19, e1316. [Google Scholar] [CrossRef] [PubMed]
  16. Mahasneh, R.; Randle, M.; Gordon, R.; Algie, J.; Dolnicar, S. Increasing employer willingness to hire people with disability: The perspective of disability employment service providers. J. Soc. Mark. 2023, 13, 361–379. [Google Scholar] [CrossRef]
  17. Hwang, S.K.; Roulstone, A. Enterprising? Disabled? The status and potential for disabled people’s microenterprise in South Korea. In Research Handbook on Disability and Entrepreneurship; Edward Elgar Publishing: Cheltenham, UK, 2022; pp. 114–130. [Google Scholar]
  18. Wan, X.; Teng, Z.; Li, Q.; Deveci, M. Blockchain technology empowers the crowdfunding decision-making of marine ranching. Expert Syst. Appl. 2023, 221, 119685. [Google Scholar] [CrossRef]
  19. Zhang, J.; Zhang, X.; Liu, W.; Ji, M.; Mishra, A.R. Critical success factors of blockchain technology to implement the sustainable supply chain using an extended decision-making approach. Technol. Forecast. Soc. Change 2022, 182, 121881. [Google Scholar] [CrossRef]
  20. Lyapunov, A.M. The general problem of the stability of motion. Int. J. Control 1992, 55, 531–534. [Google Scholar] [CrossRef]
  21. Friedman, D. Evolutionary games in economics. Econom. J. Econom. Soc. 1991, 59, 637–666. [Google Scholar] [CrossRef]
  22. Dongguan Municipal Federation of Disabled Persons. Circular on Issuing the Measures for Promoting the Employment and Entrepreneurship of Persons with Disabilities in Dongguan City. Dongguan Government Portal (China). Available online: https://www.dg.gov.cn/zwgk/zfgb/szfbmgfxwj/content/post_4322144.html (accessed on 29 August 2024).
  23. The People’s Government of Xinjiang Uygur Autonomous Region. Provisions on the Proportional Employment of Persons with Disabilities in the Xinjiang Uygur Autonomous Region (Revised on 20 November 1997). China Government Network. Available online: https://www.gov.cn/zhengce/1997-11/20/content_5716388.htm (accessed on 12 October 2025).
Disclaimer/Publisher’s Note: The statements, opinions and data contained in all publications are solely those of the individual author(s) and contributor(s) and not of MDPI and/or the editor(s). MDPI and/or the editor(s) disclaim responsibility for any injury to people or property resulting from any ideas, methods, instructions or products referred to in the content.

Article Metrics

Citations

Article Access Statistics

Multiple requests from the same IP address are counted as one view.