Abstract
Advanced delivery and cross-channel return are new phenomena in Omni-channel marketing. This paper studies a dual-channel supply chain system composed of one online retailer, one physical store, and their ordinary manufacturer. It intends to explore the pricing decisions of retailers under four scenarios concerning the question whether deliver goods in advance and use cross-channel return. We analyze the impact of the operation costs of physical stores and the transportation costs of the online retailer on the above strategies, and with numerical examples, analyze the impact of consumers’ perceived value on the profits of each scenario. The results show that the default rate of consumers’ unpaid balance and the cross-channel return rate directly influences the online retailer’s strategy choice. The pricing of the physical store is related to the proportion of unpaid balance and return rate of the online retailer. Customers’ perceived value brought by advanced delivery leads to profit changes in supply chain members and is influenced by the online retailer’s cross-channel return strategy.
1. Introduction
With the rapid development of e-commerce, the scale of online transactions has maintained rapid growth, which has a significant impact on the offline economy [1]. Especially with the COVID-19 pandemic outbreak, for most product categories, consumers would choose online channels. However, online consumption had some problems, such as slow logistics and product quality not meeting consumers’ expectations. In recent years, the number of packages on the day of the Double 11 has exceeded 1 billion, and it has become a hot topic how to distribute packages on time. Therefore, logistics distribution teams and online retailers need to cooperate. On the one hand, logistics distribution teams need to increase their members, and on the other hand, online retailers need to start a new mode of advanced delivery of goods. During the “Double 11 shopping carnival” period in 2020, some retailers chose to deliver products in advance by cooperating with logistics enterprises. After consumers paid the deposit, they delivered products to the nearest post station immediately in advance and sent goods in time after receiving the balance payment. They wanted to strengthen the timeliness of goods distribution and enhance consumers’ shopping satisfaction. They used this method to cultivate consumers’ online shopping habits. On the eve of the “618 shopping carnival” in 2021, the platform companies announced that the pre-sale express had covered 300 cities in China, and 95% of the express could reach consumers on the same day or the next day. The logistics supplier provides this service to lay the foundation for advanced delivery. This measure also provides a new idea for improving the speed of logistics distribution. Although e-commerce has brought consumers many conveniences, the physical store’s sales power can still not be ignored.
However, the return of goods purchased through online channels is also an important issue. Online return has problems such as long cycles and processes, which brings low perceived value to consumers. According to a survey report by Accenture [2]: in the United States, the total return cost of electronic products handled by online retailers in 2011 reached $16.7 billion, and 68% of these were defect-free returns. This phenomenon shows that the reason why most consumers choose to return goods is not that the product quality is low but only because the product does not meet their expectations. How to properly handle returns has become an urgent problem for online retailers. Some retailers adopt the cross-channel return strategy to solve this problem. For the returns generated after purchasing goods from online retailers, consumers can choose to return the goods to the designated physical stores with convenient procedures. This method optimizes the original cumbersome return process and gives consumers various return options. The most famous merchant that adopts cross-channel return is the giant retailer Wal-Mart. Customers enter physical stores when choosing cross-channel returns, which may generate additional sales profits. This method of cross-channel return will reduce the processing costs of a large number of returns from the original channel, and then improve the efficiency of processing returns, so that consumers who return goods from the original channel can receive refunds faster. At the same time, for consumers, it also adds a way to choose to return goods in a way that maximizes their profits.
This study makes the following contributions. First, it enriches the literature research on dual-channel supply chains; it increases the amount of research on the problem of online retailers’ advanced delivery, which is relatively lacking. Second, it makes contributions to the research of cross-channel returns, especially on cross-channel returns under the dual-channel competition model, which has hardly appeared in previous studies in the literature. It is more realistic to add subsidies from online retailers to offline retailers when studying cross-channel returns. Third, our research obtains the conditions for online retailers to adopt advanced delivery and the cross-channel return method, which can be a reference for retailers and has practical significance. This study combines the two concepts of advanced delivery and cross-channel return. The purpose of these two mechanisms is to enhance customers’ sense of consumption experience and attract target customers. This paper compares the optimal decisions of retailers and manufacturers in four cases and seeks to explore the profit maximization of supply chain members.
The remainder of this paper is arranged as follows. Section 2 reviews relevant literature. In Section 3, we introduce the question and the model assumptions, and the model analysis is shown in Section 4. Then, Section 5 presents the numerical results. Finally, Section 6 presents the conclusion and future research.
2. Literature Review
Scholars have researched the dual-channel supply chain in recent years. Dumrongsiri et al. [3] studied the manufacturer-dominated dual-channel supply chain. In their study, consumers could choose their preferred purchase mode according to the price of products and their perceived satisfaction from online retailers and physical stores. Cai et al. [4] developed four retail models and analyzed the manufacturer’s income and other factors. Ding et al. [5] found that the dual-channel supply chain can reduce operating costs for the retailer and benefit manufacturers under certain conditions. Taghizadeh-Yazdi et al. [6] proposed an integrated mathematical model to optimize the total profits of a three-echelon supply chain, and put forward improvement suggestions through sensitivity analysis. Ryan et al. [7] analyzed and compared the product channel selection under a manufacturer’s self-built online direct selling model and a retailer’s online direct selling model through the utility function model. Shi et al. [8] studied a dual-channel supply chain consisting of a manufacturer, an online retailer, and a physical store. The online retailer adopted wholesale contracts or drop-shipping contracts to complete online orders. They also considered different power structures of the supply chain to study competition among the three members. Huang et al. [9] investigated a manufacturer’s pricing under resale mode and agency mode according to the classification of consumer price preference. Carrillo et al. [10] discussed the channel choice of retailers in a low-carbon environment. Scholars have also conducted some research on the pricing of dual-channel supply chains. Jia [11], based on a model consisting of a manufacturer’s own network platform and retailer channel, discussed the optimal pricing decision of two channels under different power structures. Erwin Widodo et al. [12] used response surface methodology to analyze pricing effects on dual-channel supply chain systems. The authors used the game theory method and treated online and retailer prices as independent variables to imitate real-world competition where there is no information sharing. Reza Pakdel Mehrabani et al. [13] studied the influence of channel preferences on supply chain decision-making through a dual-channel supply chain dominated by physical retailers. The authors found that there was a Pareto interval for channel preference, which was beneficial to all members of the supply chain. Yan [14] explored consumer channel preferences by using the utility function and Stackelberg game model. The author calculated the optimal pricing of retailers under centralized and decentralized decision-making and analyzed the impact of channel preferences on pricing. Zhao et al. [15] considered a supply chain model with dual channels, one is traditional channel for retailers, and another is a direct sales channels for manufacturers.. This paper analyzes the overall profit of the supply chain under the decentralized decision model and centralized decision model by using the Stackelberg game model with the manufacturer as the leader. Cho et al. [16] discussed a model combining pre-sales and cash sales. The author analyzed the profit compared to using only cash sales, and found that more profit could be achieved under the combination of pre-sales and selling in cash.
The research on return is mainly divided into original channel return and cross-channel return. Pei et al. [17] considered full return policy (FRP) and partial return policy (PRP), then used the structural equation model to verify that the return depth of the online retailer has a positive correlation with customers’ perceived return policy fairness and purchase intention. Xu et al. [18] studied the impact of return cost, amount, and period on consumers’ returns in the literature. Furthermore, Cao et al. [19] studied a company under the background of a carbon tax policy. The company studied sells new products and remanufactured products. Amir et al. [20] focused on a supply chain system consisting of two manufacturers and one e-tailer. The manufacturers have their online store channel, and they are willing to adopt another channel reseller or marketplace. Manufacturers provide return policies in their online store channels as a competitive strategy to attract more customers. Hu et al. [21] studied the effectiveness of dynamic pricing on the return rate against the problem of high return rates of online retailers. Jin et al. [22] focused on the return strategy of omnichannel retailers in a competitive setting and adopted the Hoteling model to derive the demand function. They also combined the model elements, including the retailer’s price, online return cost, customer heterogeneity, and forward-looking purchase behavior, and classified the nature of consumers and return costs. Recently, Yan et al. [23] attempted to examine whether it is beneficial to introduce the “buy online and return to store” (BORS) strategy in a competitive market and considered full refund return policy and partial refund return policy; they determined that the return rate and cross-selling profit were essential factors for two retailers to adopt this strategy.
With the wide application of return services, scholars have gradually increased their research on return policy in the dual-channel supply chain [24]. Li et al. [25] proposed two return methods, namely direct return and indirect return, related to return strategies and pricing in the dual-channel supply chain and divided them into four cases. Xu et al. [26] established a dual-channel supply chain model consisting of retailers with capital constraints and suppliers with sufficient funds. They studied the impact of cross-channel return and free-riding behavior on the optimal pricing decision and profits of supply chain members. They then analyzed the overall supply chain profit optimization when customers preferred cross-channel return products. Radhi et al. [27] added different cross-channel return methods to their study to determine the optimal order quantity of retailers. Huang et al. [28] studied how different return strategies affect suppliers’ profits. The authors added stores and national brand products to their basic model for research.
At present, scholars pay more attention to the same retailer’s strategy of cross-channel return; but, in contrast to previous literature, this paper will focus on two competitive retailers. We will consider the impact of advanced delivery and cross-channel return on the pricing decisions and profits of the whole supply chain. Then, we will analyze changes in four cases and determine the decision equilibrium.
3. The Model
Integrating online and the physical stores has become a general trend. Online transportation costs and physical store operation costs are related to the pricing and other behaviors of the two retailers. This paper will focus on the dual-channel supply chain composed of retailers under the two competing modes of online retail and physical store retail. Under the strategy of whether an online retailer adopts advanced delivery or cross-channel return, this paper will focus on the following issues:
- Which scenario is preferred for the online retailer whether choose the advanced delivery strategy?
- Which scenario is preferred for the online retailer and physical store to adopt a cross-channel return strategy together?
- How does the cost change in two retailers influence the pricing and profit of the supply chain in four cases?
- How does the perceived value added by the online retailer to consumers influence the profits of supply chain members?
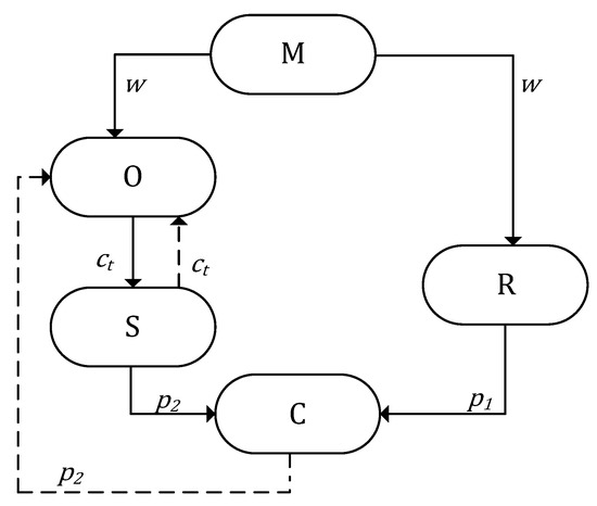
We consider supply chain system consisted of one manufacturer and one retailers with dual channels. This paper will investigate four cases according to whether the online retailer adopts the advanced delivery and cross-channel return strategy. Case 1 is a scenario in which the online retailer does not adopt advanced delivery or the cross-channel return strategy, denoted as scenario (N, N). Case 2 is a scenario in which the online retailer adopts an advanced delivery strategy only, denoted as scenario (Y, N). Case 3 is a scenario in which the online retailer adopts the cross-channel return strategy only, denoted as scenario (N, Y). Lastly, case 4 is a scenario in which the online retailer adopts the advanced delivery and cross-channel return strategies together, denoted as scenario (Y, Y).
3.1. Assumptions and Denotations
We make the following assumptions and denotations (Table 1) T for the following models:
Table 1.
Modeling notations.
- Usually, the customer should provide a deposit for their desired goods until they receive them. If consumers are dissatisfied with the goods or return them due to quality problems, these products are no longer sold during this sales season. Their values are recorded as 0;
- When returning products across channels, the online retailer shall bear the return expenses of the physical store and the freight back to the online retailer’s warehouse because they are different retailers. Furthermore, it shall also give additional subsidies to the physical store, which is recorded as e;
- The online retailer does not consider operating costs, generally;
- We assume that the total return rate of customers who buy products from the online retailer remains unchanged. Only the proportion of returns from the original channel will be apportioned after cross-channel returns are adopted;
- The physical store does not provide a return service for the goods purchased by customers from the physical store;
- The manufacturer’s manufacturing cost is 0.
3.2. The Model
3.2.1. The Scenario of (N, N)
Similar to the study of Shi et al. [8], in this case, the surplus value of products purchased by consumers from a physical store is , and the surplus value of products purchased from the online retailer is . The surplus value of consumers is nonnegative. At the same time, consumers will compare the surplus value of a physical store and the online retailer. After that, they will choose the purchasing method with more considerable surplus value to buy products(See Figure 1). Because the research object of this paper is the dual-channel supply chain, consumer’s preferred purchasing method is determined according to the utility function to ensure that the physical store and the online retailer have demand:
Figure 1.
Dual-channel supply chain without advanced delivery or cross-channel return strategy.
The profit of the physical store is shown in Formula (3). For this part of the unpaid balance, the profit of the online retailer is one deposit more than the products sold in this quarter. For the products returned in this sales season, the residual value is 0. The profit function of the online retailer is shown in Formula (4). The manufacturer’s profit only depends on the demand, and the return costs of the online retailer is borne by itself, and so the manufacturer’s profit function is shown in (5):
3.2.2. The Scenario of (Y, N)
In this case (See Figure 2), the surplus value of products purchased by consumers from the physical store is , but the online retailer has adopted the advanced delivery strategy. It can increase the surplus value of consumers by adding a guarantee to ensure that consumers receive products within a few days after paying the balance in the sales interface. The surplus value of products purchased from the online retailer is , and the demand values of the physical store and the online retailer, respectively, are solved according to the utility function, as shown in Formulas (6) and (7):
Figure 2.
Dual-channel supply chain with advanced delivery only.
Because the online retailer adopts the advanced delivery strategy, the products are transported to the express station near the consumer after the consumer prepays the deposit. Once the consumer cancels the balance payment, the online retailer will transport the products back to the warehouse again. Compared with the scenario under which the online retailer does not adopt the advanced delivery strategy, the online retailer will lose double transportation cost if the customer does not complete the balance payment. The profit function is as follows:
3.2.3. The Scenario (N, Y)
In this case (See Figure 3), the online retailer only adopts the cross-channel return service. When the customer is not satisfied with the product, the customer can choose to return it to the shipping address of the online retailer through the original channel. Customers can also choose to return goods to the physical store designated by the online retailer through the cross-channel return service, and the physical store will return the goods to the online retailer after receiving the return. The online retailer then subsidizes offline physical stores for each cross-channel returned product as e. We determine the demand functions of the physical store and the online retailer according to the utility function as shown in Formulas (11) and (12), respectively.
Figure 3.
Dual-channel supply chain with cross-channel return strategy only.
Since the online retailer and physical store are competing with each other, to ensure that the physical store agrees to cross-channel returns, the online retailer will subsidize the return expenses to physical store. At the same time, the physical store will return products to the online retailer and the transportation expenses incurred will be borne by online retailer. Then, the additional subsidy for each cross-channel return to the physical store by the online retailer is e, and the profit function is as follows:
3.2.4. The Scenario (Y, Y)
In this case (See Figure 4), the online retailer adopts both the strategy of advanced delivery and the cross-channel return service. After the customer prepays the deposit, the online retailer will deliver the goods to the customer’s nearest post station and deliver them immediately after receiving the balance payment. If the customer chooses not to pay the balance due to default, the online retailer will coordinate with the express company to send the goods back. After receiving the cross-channel returned goods from customers, the offline physical store will return them to the online retailer and charge a service fee of e. We determine the demand functions of physical store and online retailer according to the utility function as shown in Formulas (16) and (17), respectively.
Figure 4.
Dual-channel supply chain with advanced delivery and cross-channel return strategy.
The profit function is as follows:
4. Equilibrium Analysis and Discussions
4.1. Equilibrium Outcomes
According to the decision order, we obtained the optimal solutions in four cases according to the reverse solution method and show the results in the Appendix A, Appendix B, Appendix C, Appendix D, Appendix E, Appendix F, Appendix G, Appendix H and Appendix I.
Proposition 1.
The prices of products sold by the online retailer with an advanced delivery strategy is higher than the prices of products sold by the online retailer without an advanced delivery strategy, and the prices of products sold by the online retailer with a cross-channel return strategy is higher than the prices of products sold by the online retailer without a cross-channel return strategy.
Proposition 1 shows that when the online retailer adopts the advanced delivery strategy or cross-channel return, it will increase the retail prices of its products. Adopting the advanced delivery strategy will lose the retailer double the transportation cost for some customers who do not pay the balance, and so it will increase the selling prices of products to make up for this loss. When adopting cross-channel returns, the online retailer should subsidize the physical store and bear freight. As a result, the online retailer will also make up for these losses by increasing the selling prices of products.
Proposition 2.
When and the online retailer has adopted the advanced delivery strategy, the demand for the online retailer and the total demand will decrease while the demand for physical store will increase. When and the online retailer has adopted the advanced delivery strategy, the demand for the online retailer and total demand will increase while the demand for physical store will decrease.
Proposition 2 shows that when the advanced delivery strategy brings low perceived value to consumers, the increased demand for advanced delivery cannot make up for the decrease in demand caused by the price increase. The demand of the online retailer decreases, and some customers are lost to the physical store while others do not buy products at all. When the adoption of the advanced delivery strategy brings high perceived value to consumers, the increased demand of the online retailer is higher than the demand lost by the price rise. Some customers of the physical store will also turn to the online retailer due to the advanced delivery strategy. Currently, the total demand increased.
Proposition 3.
When , the manufacturer’s wholesale prices will decrease if the online retailer adopts the advanced delivery strategy, while when , the manufacturer’s wholesale prices will decrease if the online retailer adopts the advanced delivery strategy.
According to Proposition 2, the total demand will decrease when the perceived value is low. At this time, the manufacturer will choose to reduce wholesale prices to increase the retailer’s demand. When the perceived value is high, the total demand of retailers will increase. To maximize profits, the manufacturer will choose to increase wholesale prices to expand profits.
Proposition 4.
When and , or and , the retailer’s prices at the physical store will decrease, while when and , or and , the retail prices at the physical store will increase.
Proposition 4 shows that when the perceived value and return rate increases after the online retailer adopts the advanced delivery strategy are large or small, the retail prices of the physical store will decrease. The reason for this is that when the perceived value and return rate are small, we know from propositions 1, 2, and 3 that the wholesale prices will decrease. After the online retailer adopts the advanced delivery strategy, the prices are still low due to the low return rate. The physical store will further increase profits by reducing retail prices and attracting the online retailer’s customers. When the perceived value and return rate are high, the wholesale prices will increase. At this time, the online retailer will lose more customers due to the sharp increase in prices caused by high return rates. The offline physical store will attract lost customers through price reductions. When one of the perceived values or the return rate is significant and the other is small, the retail prices of the physical store will increase. The reason for this is that when the perceived value is low and the return rate is high, the wholesale prices will decrease. When the perceived value is low, the online retailer’s demand changes little. The physical store no longer needs to seize the market share and maximize profits by appropriately increasing its prices. Furthermore, when the perceived value is large and the return rate is low, the demand for the physical store will decrease and the demand for online retailer will increase significantly. Due to the low return rate and low prices, the physical store cannot further reduce its retail prices to seize the market share, and thus the retail prices of the physical store will increase.
4.2. Impact of Physical Store Operation Costs on Supply Chain
Proposition 5.
In the four cases studied, when the operating costs of the physical store increase, the retail prices of the physical store and the retail prices of the online retailer will increase, and the wholesale prices of the manufacturer will decrease.
Proposition 5 shows that no regardless of whether the online retailer adopts the advanced delivery strategy or cross-channel return strategy, if the operating costs of the physical store increase, the physical store will increase the retail prices to not lose profits. At that time, the demand for the physical store will decrease and the manufacturer will alleviate the decrease in the demand by reducing wholesale prices. Due to the decrease in wholesale prices, the online retailer will increase retail prices at the expense of some increased demand, to maximize profits.
4.3. Impact of Operating Costs on Total Demand
Proposition 6.
In the four cases studied, if the operating costs of the physical store increase, the total demand will decrease. Following from this, the total demand change caused by the change in unit operating costs is the same, which is not affected by the online retailer’s strategy choice.
Proposition 6 shows that when the operating costs of the physical store increases, the retail prices of the physical store will increase and the demand will decrease, and then part of the demand will be transferred to the online retailer. At the same time, the retail prices of the online retailer will also increase to increase profits. At this time, some consumers who originally planned to buy products will refrain from making any purchases due to the increase in dual-channel price. According to Proposition 5, in the four cases studied, the change in the dual-channel price with operating costs is the same, so the change in the total demand with operating costs is identical.
4.4. The Impact of Transportation Costs of Online Retailer on Supply Chain
Proposition 7.
If the transportation costs of the online retailer increase, the retail prices will increase and the wholesale prices will decrease. When , the retail prices of the physical store will increase with the increase in transportation costs, while when , the retail prices of the physical store will decrease with the increase in transportation costs.
Proposition 7 shows that when the online retailer adopts the advanced delivery strategy or cross-channel return strategy, the impact of transportation costs on wholesale prices and online and physical store prices is the same, but the degree of the impact is different. The rising transportation costs of the online retailer will lead it to increase retail prices to reduce the loss of profits. At this time, it will reduce demand for its products. To alleviate the impact of reduced demand on profits, the manufacturer will choose to reduce wholesale prices to alleviate the reduced demand. For the physical store, its prices will vary with the increase in online transportation costs. When the proportion of the unpaid balance payment is low, it can be divided into two cases according to the return rate. When the return rate of the online retailer is relatively high, the physical store will also follow the price increase, because the return rate of the online retailer being high causes profits to be lost. Then, relatively high prices will be used to reduce the losses caused by the high return rate. At this time, more demand will be transferred to the physical store; the physical store will experience massive demand at this time. The physical retailer will choose to increase prices and lose part of this demand to bring more profit. When the return rate of the online retailer is low, prices will not increase much since the loss of demand will be smaller. Due to the reduction in wholesale prices, the physical store will choose to reduce prices to attract more consumers. When the proportion of the unpaid balance is high, the online retailer can obtain part of the profits from consumers who have not paid their balances. No matter how much the return rate of the online retailer is, the pricing of the physical store will decline to further increase the demand for the physical store to obtain maximum profit.
4.5. Impact of Transportation Cost on Total Demand
Proposition 8.
When , the online retailer adopting the advanced delivery strategy will increase the total demand, while when , the online retailer adopting the advanced delivery strategy will decrease the total demand. When , the online retailer adopting the cross-channel return strategy will increase the total demand, while when the online retailer adopting the cross-channel return strategy will decrease the total demand.
Proposition 8 shows that when the online retailer adopts two strategies, these two strategies are closely related to transportation costs. When transportation costs are low, the profit loss of the online retailer is low. Meanwhile, the rising range of retail prices is also low. When the retail prices in the physical store rise, the online retailer can attract consumers by increase the consumers’ perceived value due to adopting strategy. When transportation costs are high, the rise in dual-channel retail prices becomes more significant. Although the adoption of strategies can attract some consumers, the number of consumers lost due to high prices is greater than the number of new consumers, and so the total demand is in a downward trend.
Proposition 9.
When the transportation costs of the online retailer increase, the total demand will decrease. The total demand will decrease even more under the change in unit transportation cost after adopting the advanced delivery or cross-channel strategy.
Proposition 9 states that when the transportation cost increases, the prices of the online retailer will increase, and the demand will decrease. Some of the demand is transferred to the physical store, and some of the demand is lost due to potential consumers giving up their intention to buy, which results in a decrease in the overall demand. In addition, under the adoption of the advanced delivery or cross-channel return strategy, commodity prices are high. At this time, prices increase due to the increase in transportation costs, and more customers will be lost than when this strategy is not adopted, resulting in the demand declining more.
5. Numerical Examples
5.1. The Impact of Transportation Costs on the Profits of the Online Retailer
We take β = 0.7, ε = 0.25, c1 = 0.1, u = 0.2, v4 = 0.05, v3 = 0.05, e = 0.02, θ = 0.1, and ϕ = 0.3, because it should be satisfied with u more than 2ct, ct taking [0.015, 0.09]. We calculate the profits of the online retailer in four cases when the transportation costs take different values in Table 2. When the transportation costs increase, the profits of the online retailer will decrease. In the four cases studied, the profits of the online retailer decrease significantly with adopting two strategies. The reason for this is that the transportation costs increase under the adoption of the advanced delivery strategy. The profits of the unpaid balances are further reduced, and this affects the overall profits of the online retailer. When the online retailer adopts the cross-channel return service, the transportation costs increase and the costs of the online retailer recovering returns from the physical store further increases. This affects overall profits. Therefore, the adoption of the two strategies has the greatest impact on the online retailer’s profits.
Table 2.
Online retailers’ profit changes with transportation costs.
5.2. The Impact of Unpaid Balance Ratio on the Profits of the Online Retailer
We take c1 = 0.1, β = 0.7, ε = 0.25, ct = 0.08, u = 0.2, v4 = 0.05, v3 = 0.05, e = 0.02, and ϕ = 0.3, and θ belongs to [0, 0.5]. wherein it adopts only the advanced delivery and only the cross-channel return strategy, receptively, which are shown in Figure 5 and Figure 6.
Figure 5.
The impact of unpaid balance on the profits of online retailer without cross-channel return.
Figure 6.
The impact of unpaid balance on the profits of online retailer with cross-channel return.
Figure 5 and Figure 6 show that regardless of whether the online retailer has adopted the cross-channel return strategy, when the proportion of the unpaid balances of deposits is low, it is more profitable for the online retailer to adopt the advanced delivery strategy. When the proportion of the unpaid balances is high, it is more profitable to choose not to adopt the advanced delivery strategy. The online retailer will adopt the advanced delivery strategy when the proportion of balance payments is low. Because these commodity merchants earn profits, there is a difference of twice the freight under the strategy of advanced delivery. When this proportion is low, the online retailer can make up for the loss of freight according to the increase in demand because of the increase in consumer utility. When the proportion is high, the increased profits brought by the increased demand cannot make up for the freight loss. The online retailer can determine whether to adopt the advanced delivery strategy according to the nonpayment balanced proportion of similar products in previous years. We can also know from the figures above that the decision to choose whether to adopt advanced delivery is more profitable in the case wherein the online retailer adopts a cross-channel return strategy. Under the same proportion of unpaid balances, the profit difference in the case wherein the online retailer adopts the cross-channel return strategy is more significant than that of not adopting the cross-channel return strategy. The reason for this is that the overall demand after adopting the cross-channel return strategy is higher than that without adopting this strategy. When the proportion of unpaid balances is the same, the number of unpaid balances is also greater and the impact on profits is more significant than that without adopting the cross-channel return strategy.
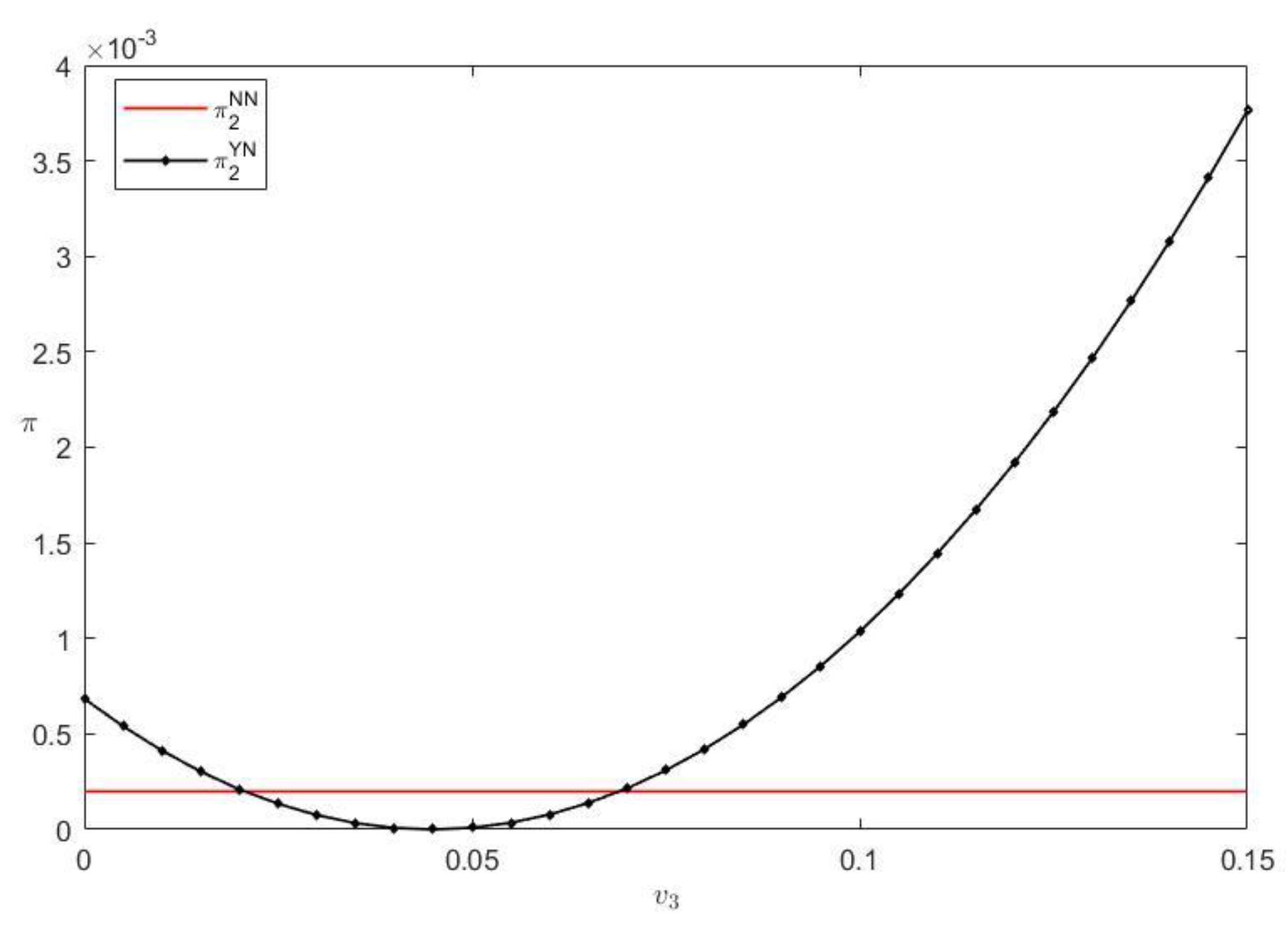
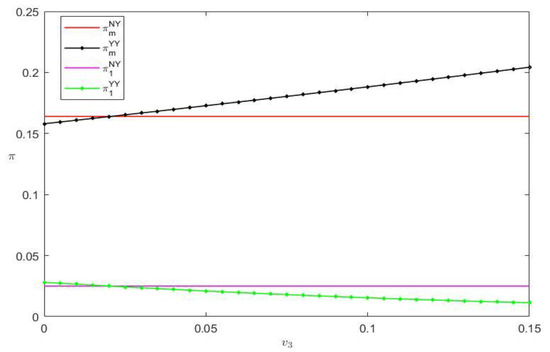
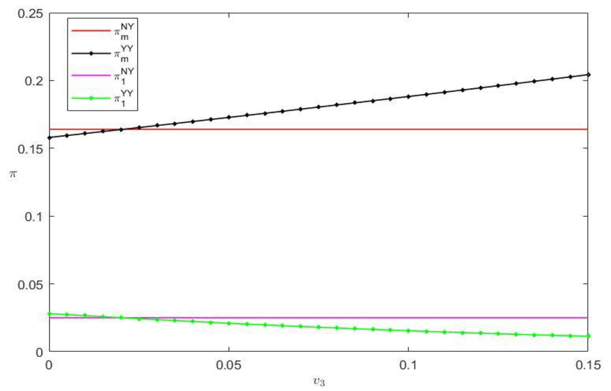
5.3. The Impact of Cross-Channel Return Rate on the Profits of the Online Retailer
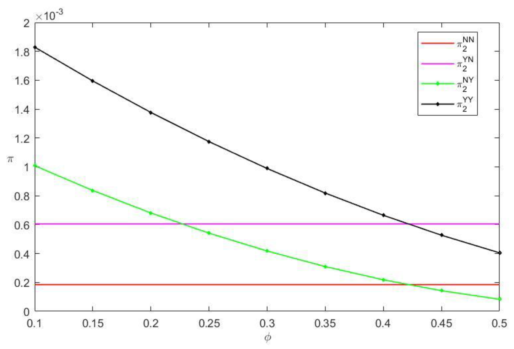
We take c1 = 0.1, β = 0.7, ε = 0.25, ct = 0.08, u = 0.2, v4 = 0.05, v3 = 0.05, e = 0.02, and θ = 0.1, and ϕ belongs [0.1, 0.5]. We can obtain the profits of the physical store and the online retailer in the scenarios wherein the online retailer adopts a cross-channel return strategy without and with an advanced delivery strategy, which is shown in Figure 7 and Figure 8.
Figure 7.
The impact of cross-channel return rate on the profits of the physical store.
Figure 8.
The impact of cross-channel return rate on the profits of the online retailer.
We can see from Figure 7 that regardless of whether the online retailer has adopted the advanced delivery strategy, the physical store will not cooperate with the online retailer to start the cross-channel return service only when the cross-channel return rate is lower than 0.2. The reason for this is that when the cross-channel return rate is low, the profits gained by the physical store’s subsidies from the online retailer cannot compensate the losses caused by the reduced demand. We can see from Figure 8 that regardless of whether the online retailer has adopted the advanced delivery strategy, when the cross-channel return rate is lower than 0.4, the online retailer will adopt the cross-channel return service. In this case, the profit will be higher than before.
When the return rate is high, the profit is higher if the online retailer chooses not to adopt the cross-channel return service. When the cross-channel return rate is low, the online retailer will adopt the cross-channel return service. Due to the low return rate, the total amount of subsidies paid to the physical store is small. This can be compensated by increasing sale prices and demand due to the increased utility of the cross-channel return service to consumers. Once the cross-channel return rate is high, if the online retailer cannot compensate r through these two aspects, it will not adopt the cross-channel return service. At the same time, the change in the online retailer’s profits is more obvious when it adopts the advanced delivery strategy. The reason for this is that after adopting the advanced delivery strategy, the retail prices and demand will also rise. Under the same cross-channel return rate, there will be more overall returns, which will have a more significant impact on profits. Therefore, when the cross-channel return rate is between [0.2, 0.4], it benefits both the physical store and the online retailer; the physical store will cooperate with the online retailer to adopt the cross-channel return service. When the cross-channel return rate is not in this range, the cross-channel return service should not be provided.
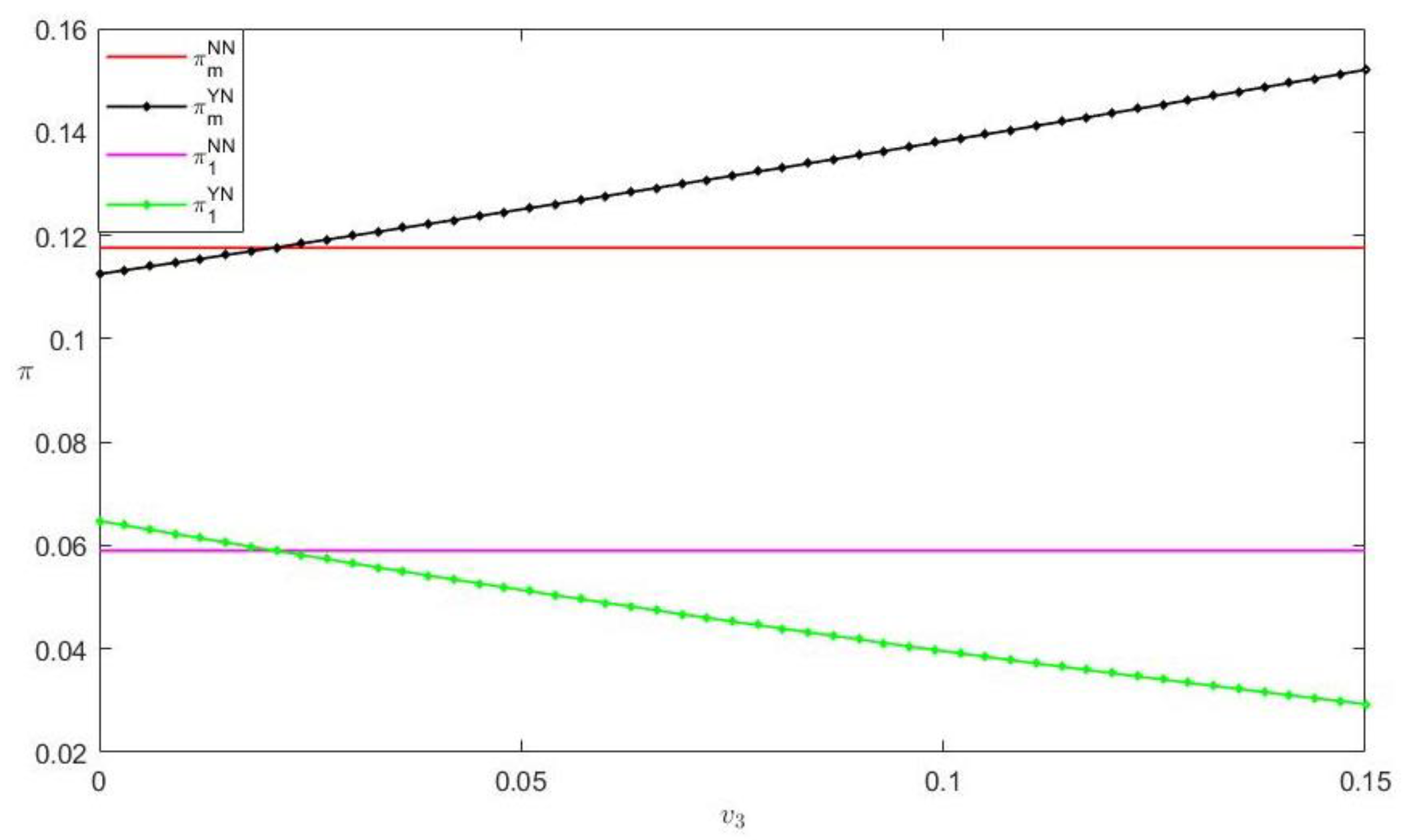
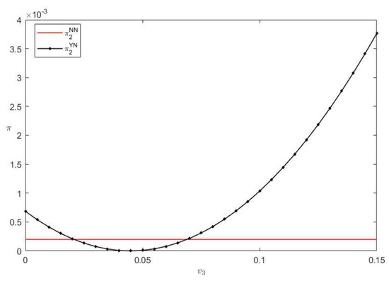
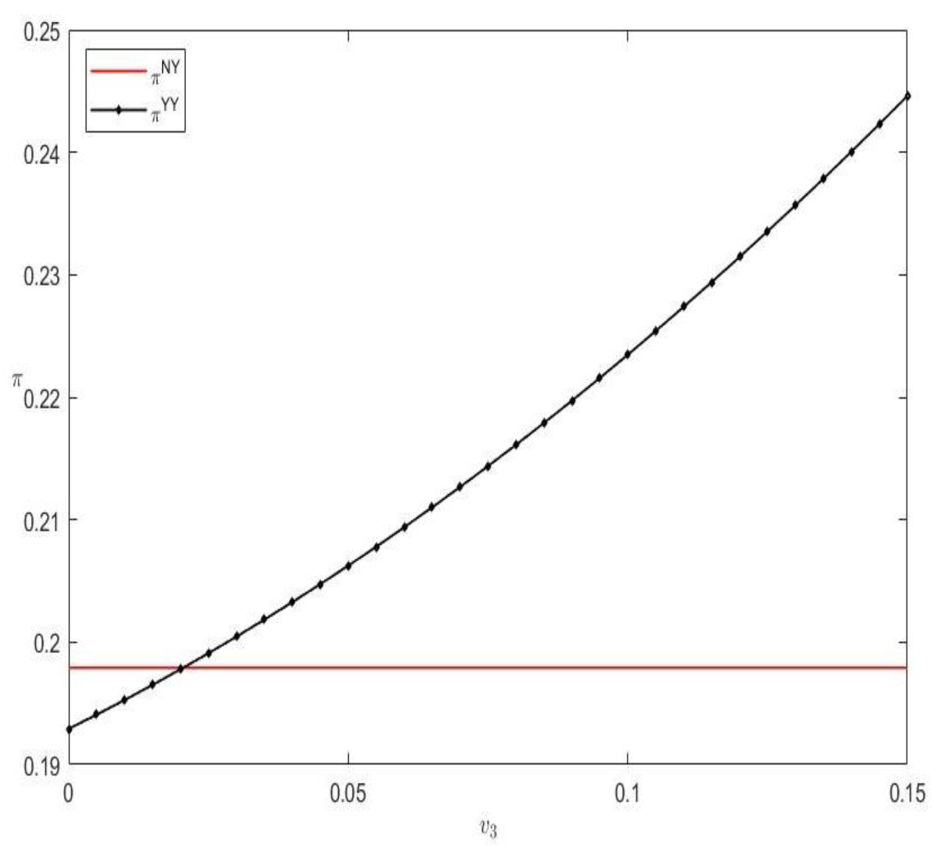
5.4. Impact of Perceived Value of Advanced Delivery on the Profits of Supply Chain Members
5.4.1. The Online Retailer Does Not Adopt Cross-Channel Return Strategy
We use β = 0.7, ε = 0.25, ct = 0.08, u = 0.2, e = 0.02, θ = 0.1, c1 = 0.08, and ϕ = 0.3, and we obtain the profits of each member of the supply chain and the whole supply chain without cross-channel return, as shown in Figure 9, Figure 10 and Figure 11.
Figure 9.
The influence of customer perceived value on the physical store and manufacturer when online retailer does not adopt cross-channel return.
Figure 10.
The influence of customer perceived value on the online retailer without cross-channel return.
Figure 11.
The influence of customer perceived value on the supply chain when online retailer does not adopt cross-channel return strategy.
From Proposition 3, we determine that the manufacturer’s wholesale prices will decrease after the online retailer adopts the advanced delivery strategy if , while the wholesale prices will increase if . Furthermore, the online retailer has less increased demand due to its adoption of the advanced delivery strategy when v3 < 0.02. Currently, Proposition 1 shows that the price increase is small, and the change in total demand is also very small. The change in defaulting customers is small. Proposition 3 shows that when wholesale prices decrease, the online retailer’s profits are more significant, and the overall profit in the supply chain is greater under the adoption of the advanced delivery strategy. If the online retailer adopts the advanced delivery strategy, the loss of demand for the physical store is small. Due to the reduction of wholesale prices, the physical store can increase retail prices to increase its profits. On the contrary, the manufacturers’ demand will decrease, and changing wholesale prices cannot recover profits by increasing demand. If , the total demand will rise, and the manufacturer will increase wholesale prices for its own interests. Due to the rise in the manufacturer’s wholesale prices and the online retailers’ adoption of the advanced delivery strategy to attract more customers, the physical store can only choose to increase retail prices in order to make up for the loss of profits. The online retailer will thus lose customers due to these price increases. At this time, the increased profits cannot compensate for the loss of defaulting customers. The profits are not as good as when the strategy is not adopted. The overall profit of the supply chain is not as good as the overall profit when the advanced delivery is not adopted. If , the online retailer will increase its demand through high perceived value and maintain a steady increase in demand by raising retail prices again. The increased profits resulting from this exceed the losses caused by defaulting customers, and the overall supply chain profits are also better than those without adopting the strategy.
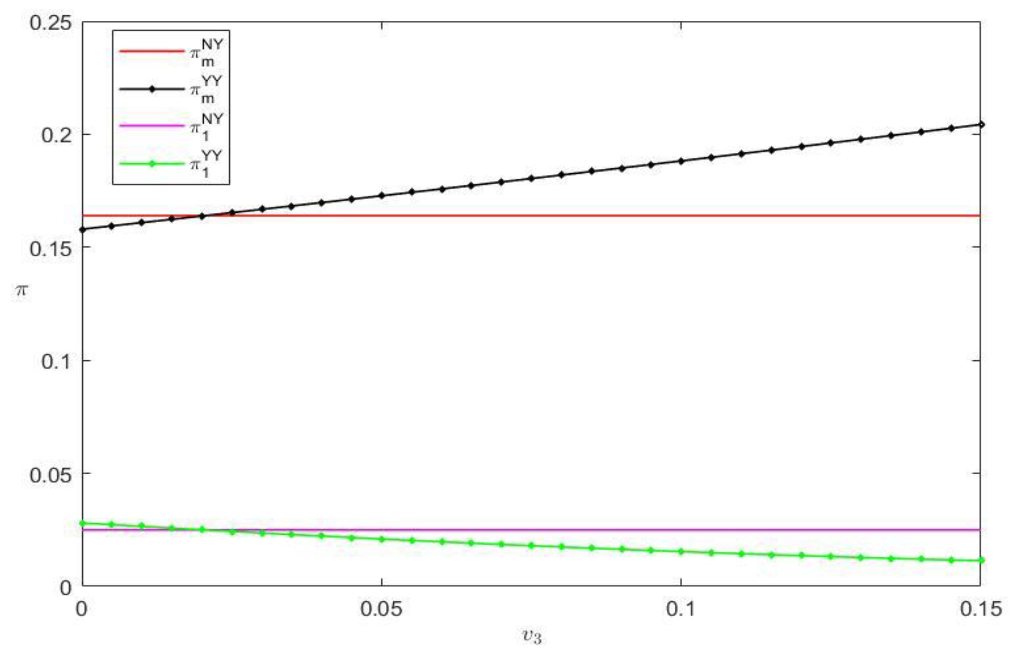
5.4.2. Online Retailer Adopts Cross-Channel Return Strategy
We use β = 0.7, ε = 0.25, ct = 0.08, u = 0.2, e = 0.02, θ = 0.1, c1 = 0.08, v4 = 0.2, and ϕ = 0.3, and we obtain the profits of each member of the supply chain and the whole supply chain without the adoption of the cross-channel return strategy, as shown in Figure 12, Figure 13 and Figure 14.
Figure 12.
The influence of customer perceived value on the physical store and manufacturer if online retailer adopts cross-channel return strategy.
Figure 13.
The influence of customer perceived value on the online retailer adopting cross-channel return strategy.
Figure 14.
The influence of customer perceived value on the supply chain when online retailer adopts cross-channel return strategy.
From the three figures, we can see that the changes in the physical store and the manufacturer are consistent with those when a cross-channel return strategy is not adopted. When the online retailer adopts the cross-channel return strategy, the perceived value to consumers increases by a very small amount, and when the online retailer does not adopt the advanced delivery strategy, the profits is greater. The reason for this is that the increased demand caused by adopting the advanced delivery strategy is small. Due to the rising demand caused by adopting the cross-channel return strategy, the number of defaulting customers increases. The loss felt by the online retailer is more severe than the profits gained through the increased demand and the decrease in wholesale prices. If adopting the advanced delivery strategy increases the consumers’ demand significantly, the profits under the adoption of the advanced delivery strategy are always greater than those when it is not adopted. The reason for this is that adopting the cross-channel return strategy ensures an increase in demand. Currently, the loss of consumers under the price increase strategy and the adoption of the advanced delivery strategy has a small impact on the online retailer’s profits. It can still ensure that the profits are greater than the loss suffered through defaulting customers due to the increase in demand and prices. Therefore, the profits gained through the adoption of the advanced delivery strategy are always greater than those when the advanced delivery is not adopted, and the overall profit is also consistent with the profit change in the online retailer.
6. Conclusions and Future Research
In this paper, we consider the dual-channel supply chain with the advanced delivery and cross-channel return strategies. We use the Stackelberg game model to determine the optimal decisions of the manufacturer and the dual-channel retailers. Through equilibrium analysis and numerical–experimental analysis, we compare the pricing and profit realities in four cases and draw the following conclusions.
Firstly, when the proportion of unpaid balances is low, the online retailer will adopt the advanced delivery strategy. When the proportion of cross-channel returns is moderate, the online retailer and the physical store will jointly adopt the cross-channel return strategy.
Secondly, when the online retailer adopts the advanced delivery strategy, the online retailer’s prices will always increase. When the added perceived value is very small, the demand of the online retailer and manufacturer will decrease, but the physical store’s demand will increase, and the manufacturer’s wholesale prices will reduce. At this time, if the return rate of the online retailer is low, the retail prices of the physical store will also decrease, and vice versa. Furthermore, when the added perceived value is significant, the online retailer’s demand and the manufacturer’s demand will increase, the physical store’s demand will decrease, and wholesale prices will increase. If the return rate of the online retailer is low, the retail prices of the physical store will rise. If the return rate is high, the retail prices of physical store will decrease.
Furthermore, in the four cases studied, if the transportation costs of the online retailer increase, the retail prices of the online retailer will increase and the wholesale prices will decrease. At the same time, the prices of the physical store are related to the proportion of unpaid balances and the return rate of the online retailer. In terms of total demand, the transportation costs will directly affect the total demand when the online retailer adopts the advanced delivery or cross-channel return strategies. With the increase in the transportation costs, the total demand will decrease in all four cases. With the increase in transportation costs, the profits of the online retailer will decrease, and the loss is more serious when the strategy is adopted.
Lastly but not less importantly, when the added perceived value of the advanced strategy is very small, the online retailer’s profits, the manufacturer’s profits, and total profits are greatest in scenario (N, Y) and the physical store’s profits are most significant in scenario (Y, N). When the added perceived value of the advanced strategy is large, the online retailer’s profits, manufacturer’s profits, and total profits are greatest in scenario (Y, Y), and the physical store’s profits are greatest in scenario (N, N).
This paper studies the dual-channel supply chain system under the dual-channel competition mode, which has educational significance for online retailers to adopt the advanced delivery and cross-channel return strategies. Furthermore, online retailers should consider the overall profits of the supply chain members to maximize the overall profits of the supply chain if they are the leaders in the channel. Of course, there are several aspects that deserve further research. First, in this study, we assumed that the residual value of returned products is 0. However, the returned products can be resold if the packaging is intact. In future research, the returned products can be classified differently. Additionally, we also assumed that the cross-channel return cost is 0. However, the cost of processing returns through offline channels often requires investment, and this can be investigated in future research. Second, this paper considers that the competing retailers are in single-channel sales. In future research, we can consider that the retailers have a dual-channel supply chain and conduct cross-channel return research under the condition of dual-channel cooperation. Furthermore, this article does not consider the return of offline physical stores for the simple calculation purposes. In future research, we can also consider the situation in which both channels provide return services. Third, this paper takes the manufacturer as the leader and the retailer as the follower, but in the actual market, there may be a market structure similar to that of Gome, Suning, and other retailers as the leader. In future research, we can discuss the model of early delivery and cross-channel return with the retailer as the leader, and further improve the research of these two aspects.
Author Contributions
Conceptualization and methodology, R.Z. and B.L.; writing—original draft preparation, Y.L.; writing—review and editing, B.L.; supervision, R.Z.; project administration, B.L. All authors have read and agreed to the published version of the manuscript.
Funding
This work was supported by National Natural and Science Foundation of China [Grant Number 71971134] and Cruise Program from Ministry of Industrial Information and Technology of China [Grant Number MC-201917-C09].
Data Availability Statement
Not applicable.
Conflicts of Interest
The authors declare no conflict of interest.
Appendix A
Proof of solving the optimal solution of the model when the manufacturer is the leader and the two retailers are followers.
Here, we illustrate the outcomes under scenario (N, N):
, which shows π1(p1) concave in p1; , which shows π2(p2) concave in p2, and , which shows πm(w) concave in w. Therefore, let , and we find the value of w and substitute it into the solution to get the other values in Table A1. The optimal decisions in scenario (Y, N), scenario (N, Y), and scenario (Y, Y) are listed in Table A2, Table A3 and Table A4, respectively.
Table A1.
Optimal decision in scenario (N, N).
Table A1.
Optimal decision in scenario (N, N).
| (N, N) | |
|---|---|
| . | |
| . | |
| . |
Table A2.
Optimal decision in scenario (Y, N).
Table A2.
Optimal decision in scenario (Y, N).
| (Y, N) | |
|---|---|
| . | |
| . |
Table A3.
Optimal decision in scenario (N, Y).
Table A3.
Optimal decision in scenario (N, Y).
| (N, Y) | |
|---|---|
| . | |
| . |
Table A4.
Optimal decision in scenario (Y, Y).
Table A4.
Optimal decision in scenario (Y, Y).
| (Y, Y) | |
|---|---|
Appendix B. Proof of Proposition 1
The prices of the online retailer in the scenario wherein it adopts the advanced delivery and cross-channel return strategies minus the prices when these are not adopted result in the following:
and
Appendix C. Proof of Proposition 2
Appendix D. Proof of Proposition 3
Appendix E. Proof of Proposition 4
Appendix F. Proof of Proposition 5
In the four cases studied, we use the prices of the physical store, the online retailer, and the manufacturer to derive the operating costs of the physical store. We obtain the following: and , .
Appendix G. Proof of Proposition 6
We can determine the following:
Appendix H. Proof of Proposition 7
In scenario (N, N), the prices of the online retailer, the wholesale prices, and the prices of the physical store are derived from the transportation costs, respectively, according to the optimal solution. We obtain the following: , and .
In scenario (Y, N), the prices of the online retailer, the wholesale prices, and the prices of the physical store are derived from the transportation costs, respectively, according to the optimal solution. We obtain the following: , and .
In scenario (N, Y), the prices of the online retailer, the wholesale prices, and the prices of the physical store are derived from the transportation costs, respectively, according to the optimal solution. We obtain the following: , and .
In scenario (Y, Y), the prices of the online retailer, the wholesale prices, and the prices of the physical store are derived from the transportation costs, respectively, according to the optimal solution. We obtain the following: and .
In the four cases studied, the derivative of the physical store’s retail prices to transportation costs, and the return rate of the online retailer has a same critical point .
If ,the prices of the physical store will decrease with the increase in transportation costs of the online retailer. On the contrary, they will increase with the increase in transportation costs. It is obvious that . Therefore, we need to discuss the relationship between ε* and 1. We obtain this when , then . If , then . On this basis, we obtain the following conclusions:
Appendix I. Proof of Proposition 9
In the four cases studied, the total demand is derived from the transportation costs:
References
- Foronda-Robles, C.; Galindo-Pérez-de-Azpillaga, L. Territorial intelligence in rural areas: The digitization of non-profit associations through social media. Technol. Soc. 2021, 64, 101459. [Google Scholar] [CrossRef]
- Agarwal, V. A ’Returning’ Problem-Reducing the Quantity and Cost of Product Returns in Consumer Electronic; Accenture: Dublin, Ireland, 2011. [Google Scholar]
- Dumrongsiri, A.; Fan, M.; Jain, A.; Moinzadeh, K. A supply chain model with direct and retail channels. Eur. J. Oper. Res. 2008, 187, 691–718. [Google Scholar] [CrossRef]
- Cai, G. Channel selection and coordination in dual-channel supply chains. J. Retail. 2010, 86, 22–36. [Google Scholar] [CrossRef]
- Ding, Q.; Dong, C.; Pan, Z. A hierarchical pricing decision process on a dual-channel problem with one manufacturer and one retailer. Int. J. Prod. Econ. 2016, 175, 197–212. [Google Scholar] [CrossRef]
- Taghizadeh-Yazdi, M.; Farrokhi, Z.; Mohammadi-Balani, A. An integrated inventory model for multi-echelon supply chains with deteriorating items: A price-dependent demand approach. J. Ind. Prod. Eng. 2020, 37, 87–96. [Google Scholar] [CrossRef]
- Ryan, J.K.; Sun, D.; Zhao, X. Competition and coordination in online marketplaces. Prod. Oper. Manag. 2012, 21, 997–1014. [Google Scholar] [CrossRef]
- Shi, S.; Sun, J.; Cheng, T. Wholesale or drop-shipping: Contract choices of the online retailer and the manufacturer in a dual-channel supply chain. Int. J. Prod. Econ. 2020, 226, 107618. [Google Scholar] [CrossRef]
- Huang, L.; Huang, Z.; Liu, B. Interacting with strategic waiting for store brand: Online selling format selection. J. Retail. Consum. Serv. 2022, 67, 102987. [Google Scholar] [CrossRef]
- Carrillo, J.E.; Vakharia, A.J.; Wang, R. Environmental Implications for Online Retailing. Eur. J. Oper. Res. 2021, 239, 744–755. [Google Scholar] [CrossRef]
- Jia, X. Decision-making of online channels under three power structures. Meas. Control 2020, 53, 296–310. [Google Scholar] [CrossRef]
- Widodo, E.; Januardi. Noncooperative game theory in response surface methodology decision of pricing strategy in dual-channel supply chain. J. Ind. Prod. Eng. 2021, 38, 89–97. [Google Scholar] [CrossRef]
- Mehrabani, R.P.; Seifi, A. The impact of customers’ channel preference on pricing decisions in a dual channel supply chain with a dominant retailer. J. Ind. Prod. Eng. 2021, 38, 599–617. [Google Scholar]
- Yan, H. Research on pricing of dual-channel supply chain considering channel preference. China Logist. Procure 2020, 3, 74. [Google Scholar]
- Zhao, L.; Cheng, M. Research on supply chain pricing strategy based on manufacturer’s sales channel selection. Syst. Eng. Theory Pract. 2016, 36, 2310–2319. [Google Scholar]
- Cho, S.H.; Tang, C.S. Advance selling in a supply chain under uncertain supply and demand. Manuf. Serv. Oper. Manag. 2019, 15, 305–319. [Google Scholar] [CrossRef]
- Pei, Z.; Paswan, A.; Yan, R. E-tailer’s return policy, consumer’s perception of return policy fairness and purchase intention. J. Retail. Consum. Serv. 2014, 21, 249–257. [Google Scholar] [CrossRef]
- Xu, S.; Tang, H.; Lin, Z.; Lu, J. Pricing and sales-effort analysis of dual-channel supply chain with channel preference, cross-channel return and free riding behavior based on revenue-sharing contract. Int. J. Prod. Econ. 2022, 249, 108506. [Google Scholar] [CrossRef]
- Cao, K.; Xu, Y.; Wang, J. Should firms provide online return service for remanufactured products? J. Clean. Prod. 2020, 272, 122641. [Google Scholar] [CrossRef]
- Alaei, A.M.; Taleizadeh, A.A.; Rabbani, M. Marketplace, reseller, or web-store channel: The impact of return policy and cross-channel spillover from marketplace to web-store. J. Retail. Consum. Serv. 2022, 65, 102271. [Google Scholar] [CrossRef]
- Hu, X.; Wan, Z.; Murthy, N. Dynamic Pricing of Limited Inventories with Product Returns. Manuf. Serv. Oper. Manag. 2019, 21, 501–518. [Google Scholar] [CrossRef]
- Jin, D. Omni-channel retailers’ return policy strategies in the presence of competition. Int. J. Prod. Econ. 2020, 225, 12–25. [Google Scholar] [CrossRef]
- Yan, S.; Archibald, T.W.; Han, X.; Bian, Y. Whether to adopt “buy online and return to store” strategy in a competitive market? Eur. J. Oper. Res. 2022, 301, 974–986. [Google Scholar] [CrossRef]
- Vestues, K.; Mikalsen, M.; Monteiro, E. Using digital platforms to promote a service-oriented logic in public sector organizations: A case study. In Proceedings of the 54th Hawaii International Conference on System Sciences, Kauai, HI, USA, 5 January 2021; p. 2193. [Google Scholar]
- Li, G. Return strategy and pricing in a dual-channel supply chain. Int. J. Prod. Econ. 2019, 215, 153–164. [Google Scholar] [CrossRef]
- Xu, L.; Li, Y.; Govindan, K. Consumer returns policies with endogenous deadline and supply chain coordination. Eur. J. Oper. Res. 2015, 242, 88–99. [Google Scholar] [CrossRef]
- Radhi, M.; Zhang, G. Optimal cross-channel return policy in dual channel retailing systems. Int. J. Prod. Econ. 2019, 210, 184–198. [Google Scholar] [CrossRef]
- Huang, Z.; Feng, T. Money-back guarantee and pricing decision with retailer’s store brand. J. Retail. Consum. Serv. 2020, 52, 101897. [Google Scholar] [CrossRef]
Disclaimer/Publisher’s Note: The statements, opinions and data contained in all publications are solely those of the individual author(s) and contributor(s) and not of MDPI and/or the editor(s). MDPI and/or the editor(s) disclaim responsibility for any injury to people or property resulting from any ideas, methods, instructions or products referred to in the content. |
© 2023 by the authors. Licensee MDPI, Basel, Switzerland. This article is an open access article distributed under the terms and conditions of the Creative Commons Attribution (CC BY) license (https://creativecommons.org/licenses/by/4.0/).













