Larvicidal Action of Cannabidiol Oil and Neem Oil against Three Stored Product Insect Pests: Effect on Survival Time and in Progeny
Simple Summary
Abstract
1. Introduction
2. Methods
2.1. Insect Rearing
2.2. Bioassay
2.3. Statistical Analysis
3. Results
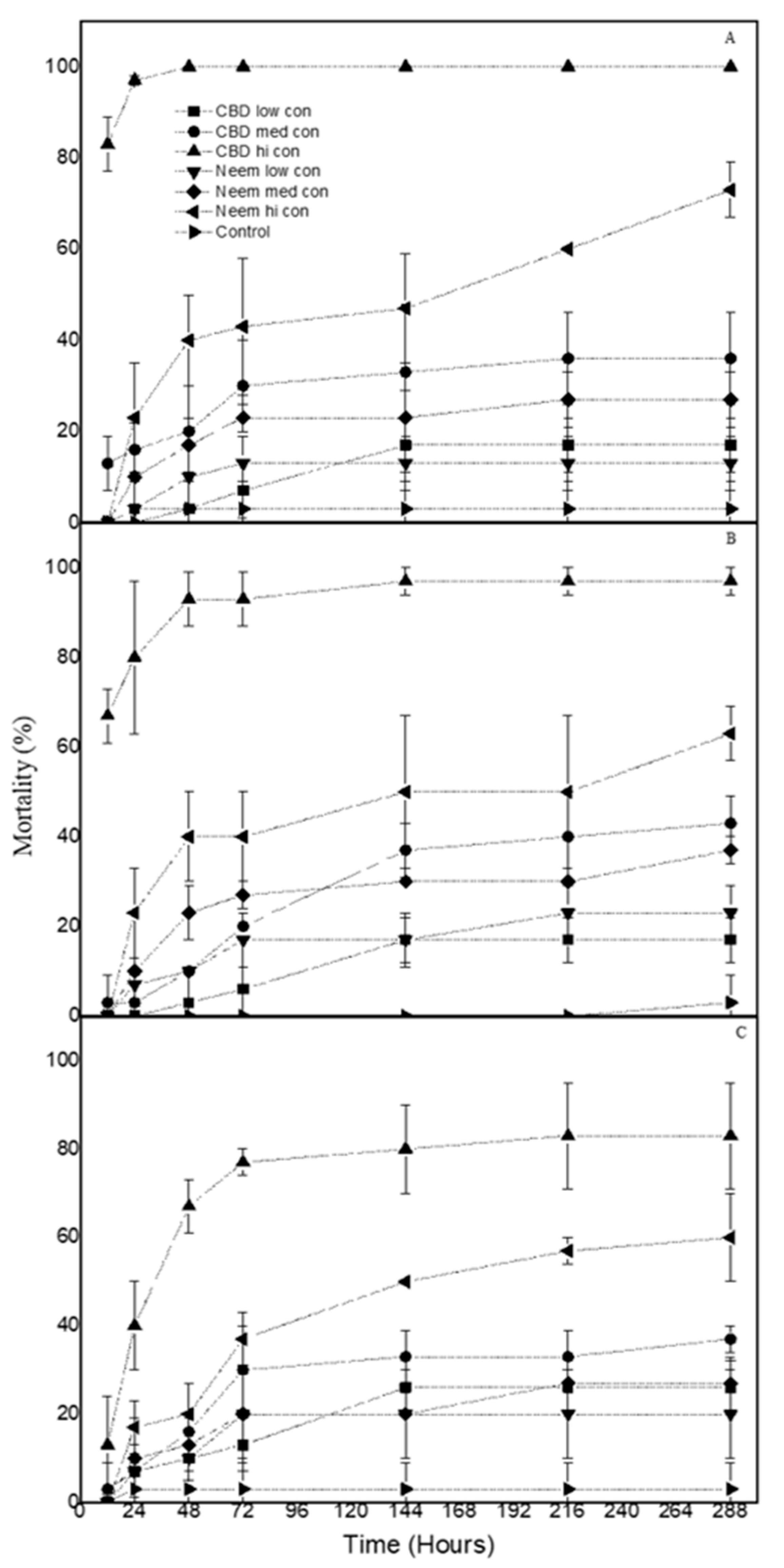
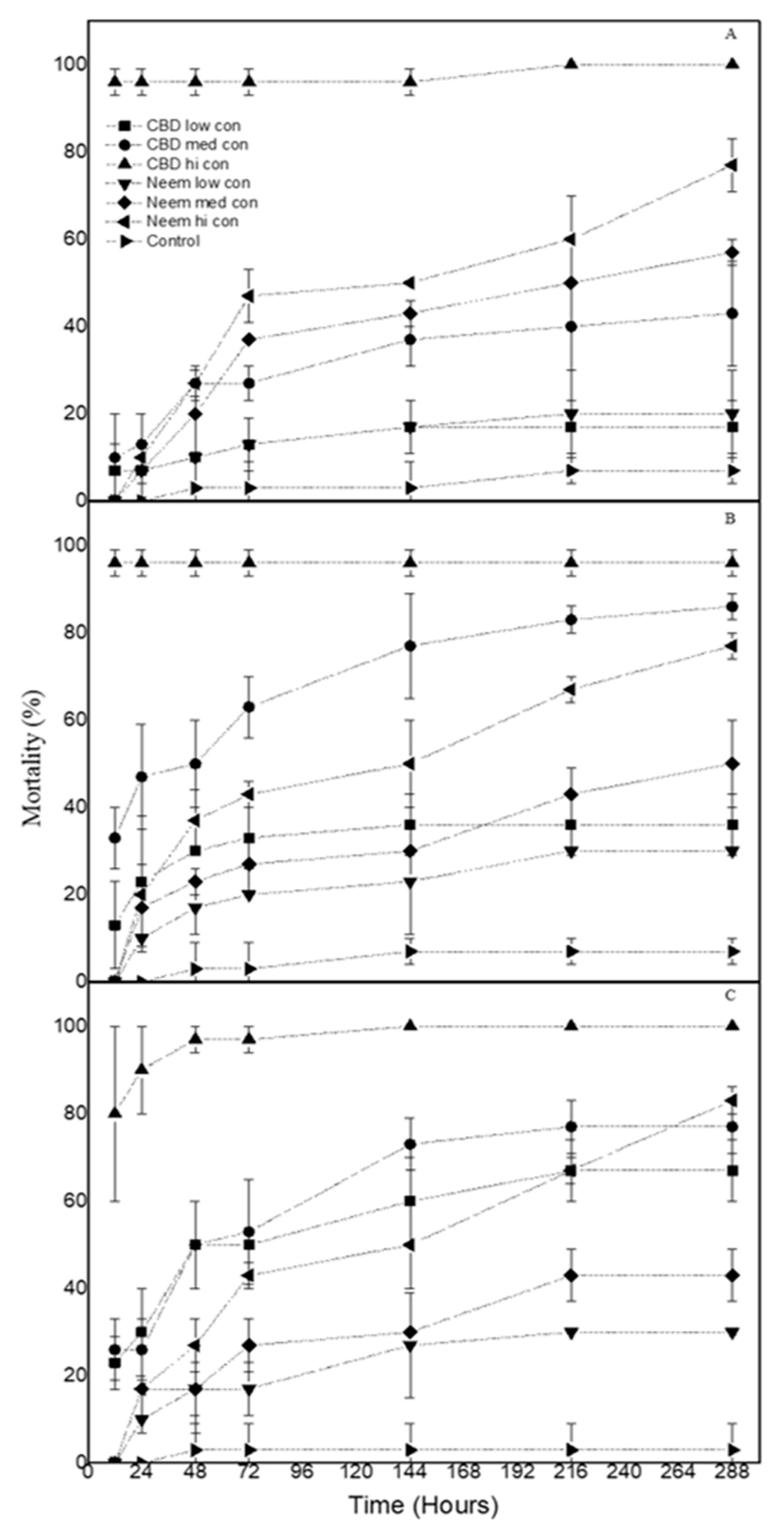
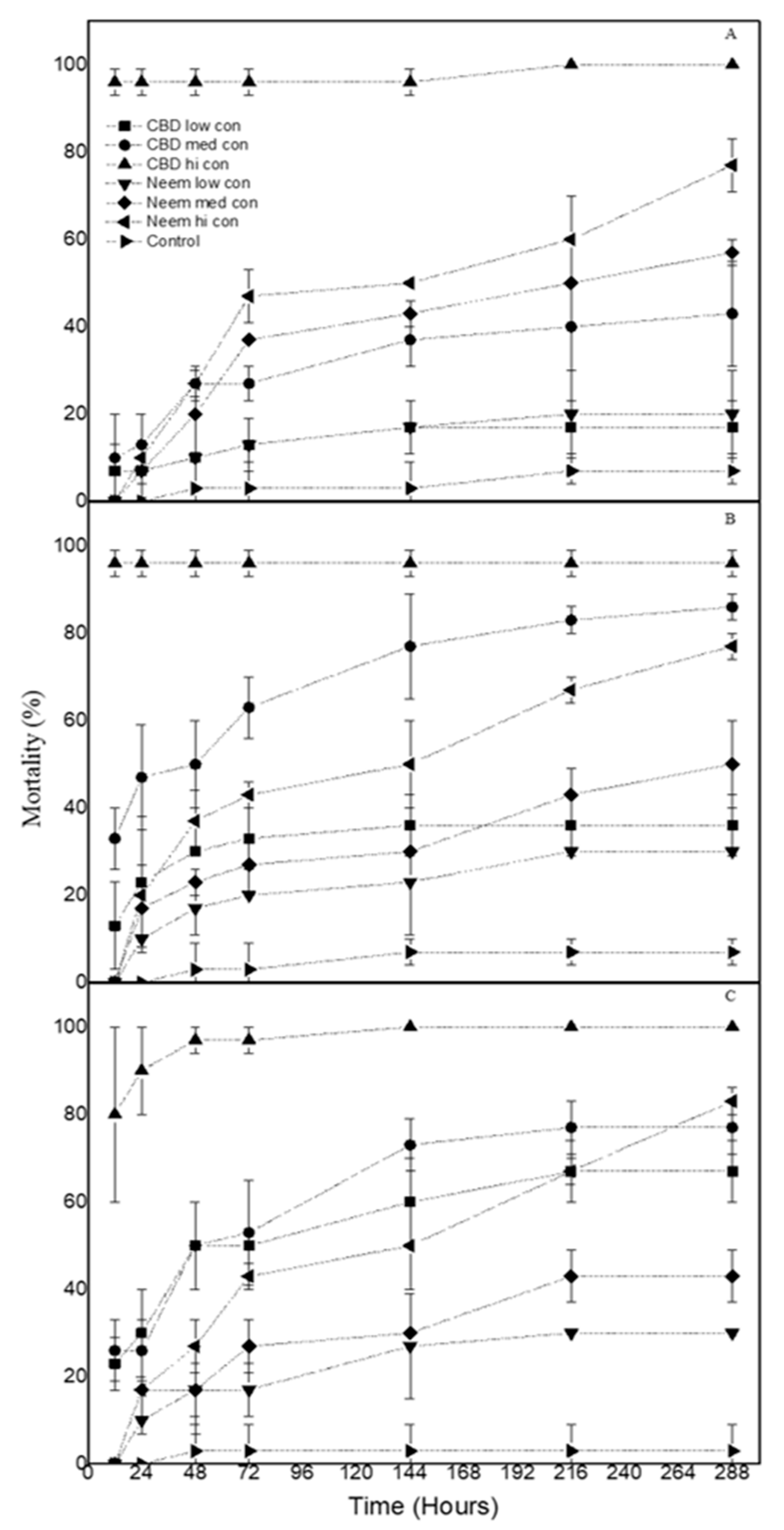
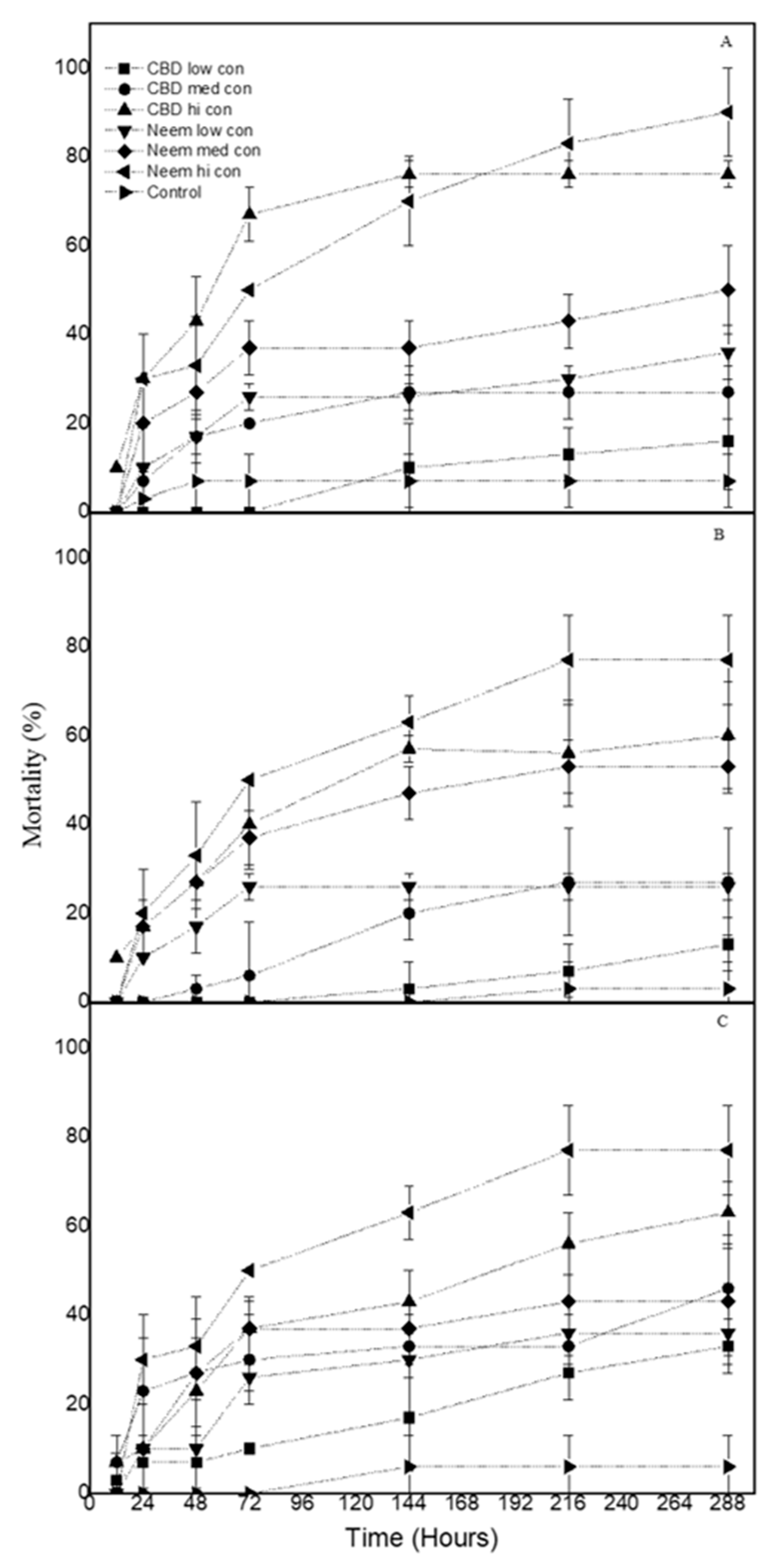
3.1. Larvicidal Effect of CBD Oil and Neem Oil on Stored Pest in Vitro Assay
3.2. Overall Survival Time of Larvae Exposed to Doses of CBD Oil and Neem Oil
3.3. Effect of CBD Oil and Neem Oil Doses to Pupation and Adult Emergence
4. Discussion
5. Conclusions
Author Contributions
Funding
Acknowledgments
Conflicts of Interest
References
- Throne, J.; Hallman, G.; Johnson, J.; Follett, P. Post-harvest entomology research in the United States Department of Agriculture—Agricultural Research Service. Pest Manag. Sci. 2003, 59, 619–628. [Google Scholar] [CrossRef] [PubMed]
- Athanassiou, C.G.; Kavallieratos, N.G.; Evergetis, E.; Katsoula, A.M.; Haroutounian, S.A. Insecticidal Efficacy of Silica Gel with Juniperus oxycedrus ssp. oxycedrus (Pinales: Cupressaceae) Essential Oil Against Sitophilus oryzae (Coleoptera: Curculionidae) and Tribolium confusum (Coleoptera: Tenebrionidae). J. Econ. Entomol. 2013, 106, 1902–1910. [Google Scholar] [CrossRef] [PubMed]
- Diaz, J.H. Chemical and plant-based insect repellents: Efficacy, safety, and toxicity. Wilderness Environ. Med. 2016, 27, 153–163. [Google Scholar] [CrossRef] [PubMed]
- Egwurube, E.; Magaji, B.T.; Lawal, Z. Laboratory evaluation of neem (Azadirachta indica) seed and leaf powders for the control of khapra beetle, Trogoderma granarium (Coleoptera: Dermestidae) infesting groundnut. Int. J. Agric. Biol. 2010, 12, 638–640. [Google Scholar]
- Hanif, C.M.S.; Hasan, M.; Sagheer, M.; Saleem, S.; Ali, K.; Akhtar, S. Comparative insecticidal effectiveness of essential oils of three locally grown plants and phosphine gas against Trogoderma granarium. Pak. J. Agric. Sci. 2015, 52, 709–715. [Google Scholar]
- Maia, M.F.; Moore, S.J. Plant-based insect repellents: A review of their efficacy, development and testing. Malar. J. 2011, 10 (Suppl. 1), S11. [Google Scholar] [CrossRef]
- Odeyemi, O.O.; Ashamo, M.O. Efficacy of neem plant (Azadirachta indica) extracts in the control of Trogoderma granarium, a pest of stored groundnuts. J. Plant Dis. Prot. 2005, 112, 586–593. [Google Scholar] [CrossRef]
- Omar, K.; Faraj, N.M.; Malik, S.A.A.; Al-Farhani, I.M. Effect of some medicinal plants extracts and cypermthrin against Khapra Beetle (Trogoderma granarium Everts). Emir. J. Food Agric. 2012, 24, 120–127. [Google Scholar]
- Rehman, J.U.; Ali, A.; Khan, I.A. Plant based products: Use and development as repellents against mosquitoes: A review. Fitoterapia 2014, 95, 65–74. [Google Scholar] [CrossRef]
- Jiang, W.; Hernandez, B.; Richmond, D.; Yanga, N. Harvesters in strawberry fields: A literature review of pesticide exposure, an observation of their work activities, and a model for exposure prediction. J. Expo. Sci. Environ. Epidemiol. 2017, 27, 391–397. [Google Scholar] [CrossRef]
- Collins, P.J.; Schlipalius, D.I. Insecticide resistance. In Recent Advances in Stored Product Protection; Athanassiou, C.G., Arthur, F.H., Eds.; Springer: Berlin/Heidelberg, Germany, 2018; pp. 169–182. [Google Scholar]
- Lovett, B.; St. Leger, R.J. Genetically engineering better fungal biopesticides. Pest Manag. Sci. 2018, 74, 781–789. [Google Scholar] [CrossRef] [PubMed]
- Ileke, K.D.; Oni, M.O. Toxicity of some plant powders to maize weevil, Sitophilus zeamais (motschulsky) [Coleoptera: Curculiondae] on stored wheat grains (Triticum aestivum). Afr. J. Agric. Res. 2011, 6, 3043–3048. [Google Scholar] [CrossRef]
- Senthil-Nathan, S. A Review of Biopesticides and Their Mode of Action against Insect Pests. In Environmental Sustainability; Thangavel, P., Sridevi, G., Eds.; Springer: New Delhi, India, 2015. [Google Scholar]
- Benelli, G.; Pavela, R.; Lupidi, G.; Nabissi, M.; Petrelli, R.; Kamte, S.L.N.; Capellaci, L.; Fiorini, D.; Sut, S.; Dall’Acqua, S.; et al. The crop-residue of fiber hemp cv. Futura 75: From a waste product to a source of botanical insecticides. Environ. Sci. Pollut. Res. 2018, 25, 10515–10525. [Google Scholar] [CrossRef] [PubMed]
- Rajashekar, Y.; Bakthavatsalam, N.; Shivanandappa, T. Botanicals as Grain Protectants. Psyche 2012, 2012, 646740. [Google Scholar] [CrossRef]
- Ebadollahi, A.; Ziaee, M.; Palla, F. Essential oils extracted from different species of the family as prospective bioagents against several detrimental pests. Molecules 2020, 25, 1556. [Google Scholar] [CrossRef] [PubMed]
- Minh Chau, D.T.; Chung, N.T.; Huong, L.T.; Hung, N.H.; Ogunwande, I.A.; Dai, N.D.; Setzer, W.N. Chemical Compositions, Mosquito Larvicidal and Antimicrobial Activities of Leaf Essential Oils of Eleven Species of Lauraceae from Vietnam. Plants 2020, 9, 606. [Google Scholar] [CrossRef]
- Mordue, A.J. Present concepts of mode of action of azadirachtin from neem. In Neem: Today and in the New Millennium; Kouland, O., Wahab, S., Eds.; Kluwar Academic Publishers: Dordresch, The Netherlands; Boston, MA, USA; London, UK, 2004; pp. 229–242. [Google Scholar]
- Pellati, F.; Borgonetti, V.; Brighenti, V.; Biagi, M.; Benvenuti, S.; Corsi, L. Cannabis sativa L. and Nonpsychoactive Cannabinoids: Their Chemistry and Role against Oxidative Stress, Inflammation, and Cancer. Biomed. Res. Int. 2018, 2018, 1691428. [Google Scholar] [CrossRef]
- Russo, E.B. Current therapeutic cannabis controversies and clinical trial design issues. Front. Pharmacol. 2016, 7, 1–19. [Google Scholar] [CrossRef]
- Benelli, G.; Pavela, R.; Petrelli, R.; Cappellacci, L.; Santini, G.; Fiorini, D.; Sut, S.; Dall’Acqua, S.; Canale, A.; Maggi, F. The essential oil from industrial hemp (Cannabis sativa L.) by-products as an effective tool for insect pest management in organic crops. Ind. Crops Prod. 2018, 122, 308–315. [Google Scholar] [CrossRef]
- McPartland, J.M.; Sheikh, Z. A review of Cannabis sativa-based insecticides, Miticides, and repellents. J. Entomol. Zool. Stud. 2018, 6, 1288–1299. [Google Scholar]
- Appendino, G.; Gibbons, S.; Giana, A.; Pagani, A.; Grassi, G.; Stavri, M.; Smith, E.; Rahman, M.M. Antibacterial cannabinoids from Cannabis sativa: A structure-activity study. J. Nat. Prod. 2008, 71, 1427–1430. [Google Scholar] [CrossRef] [PubMed]
- Burstein, S. Cannabidiol (CBD) and its analogs: A review of their effects on inflammation. Bioorg. Med. Chem. 2015, 23, 1377–1385. [Google Scholar] [CrossRef]
- Hazekamp, A. The Trouble with cannabidiol (CBD) Oil. Med. Cannabis Cannabinoids 2018, 1, 65–72. [Google Scholar] [CrossRef]
- Benelli, G.; Canale, A.; Toniolo, C.; Higuchi, A.; Murugan, K.; Pavela, R.; Nicoletti, M. Neem (Azadirachta indica): Towards the ideal insecticide? Nat. Prod. Res. 2017, 31, 369–386. [Google Scholar] [CrossRef] [PubMed]
- Del Serrone, P.; Toniolo, C.; Nicoletti, M. Neem (Azadirachta indica A. Juss) Oil to Tackle Enteropathogenic Escherichia coli. Biomed. Res. Int. 2015, 2015, 343610. [Google Scholar] [CrossRef] [PubMed]
- Gupta, S.C.; Prasad, S.; Tyagi, A.K.; Kunnumakkara, A.B.; Aggarwal, B.B. Neem (Azadirachta indica): An indian traditional panacea with modern molecular basis. Phytomedicine 2017, 34, 14–20. [Google Scholar] [CrossRef]
- Rinaldi, F.; Hanieh, P.N.; Longhi, C.; Carradori, S.; Secci, D.; Zengin, G.; Amendola, M.G.; Mattia, E.; Del Favero, E.; Marianecci, C.; et al. Neem oil nanoemulsions: Characterisation and antioxidant activity. J. Enzym. Inhib. Med. Chem. 2017, 32, 1265–1273. [Google Scholar] [CrossRef]
- Saleem, S.; Muhammad, G.; Hussain, M.A.; Bukhari, S.N.A. A comprehensive review of phytochemical profile, bioactives for pharmaceuticals, and pharmacological attributes of Azadirachta indica. Phytother. Res. 2018, 32, 1241–1272. [Google Scholar] [CrossRef]
- Pathak, C.S.; Tiwari, S.K. Toxicological effects of neem Azadirachta indica A. Juss leaf powder against the ontogeny of Corcyra cephalonica (staint.) (Lepidoptera: Pyralidae). J. Biopestic. 2010, 3, 617–621. [Google Scholar]
- Pasquoto-Stigliani, T.; Campos, E.V.; Oliveira, J.L.; Silva, C.M.; Bilesky-José, N.; Guilger, M.; Troost, J.; Oliveira, H.C.; Stolf-Moreira, R.; Fraceto, L.F.; et al. Nanocapsules Containing Neem (Azadirachta Indica) Oil: Development, Characterization, and Toxicity Evaluation. Sci. Rep. 2017, 7, 1–12. [Google Scholar] [CrossRef]
- Formentini, M.A.; Alves, L.F.A.; Schapovaloff, M.E. Insecticidal activity of neem oil against Gyropsylla spegazziniana (Hemiptera: Psyllidae) nymphs on Paraguay tea seedlings. Braz. J. Biol. 2017, 76, 951–954. [Google Scholar] [CrossRef] [PubMed]
- Gomes, S.A.; Paula, A.R.; Ribeiro, A.; Moraes, C.O.P.; Santos, J.W.A.B.; Silva, C.P.; Samuels, R.I. Neem oil increases the efficiency of the entomopathogenic fungus Metarhizium anisopliae for the control of Aedes aegypti (Diptera: Culicidae) larvae. Parasites Vectors 2015, 8, 669. [Google Scholar] [CrossRef] [PubMed]
- Pascoli, M.; Jacques, M.T.; Agarrayua, D.A.; Avila, D.S.; Lima, R.; Fraceto, L.F. Neem oil based nanopesticide as an environmentally-friendly formulation for applications in sustainable agriculture: An ecotoxicological perspective. Sci. Total Environ. 2019, 677, 57–67. [Google Scholar] [CrossRef]
- Scudeler, E.L.; Garcia, A.S.G.; Pinheiro, P.F.F.; Santos, D.C. Neem oil (Azadirachta indica A. Juss) affects the ultrastructure of the midgut muscle of Ceraeochrysa claveri (Navás, 1911) (Neuroptera: Chrysopidae). Acta Histochem. 2017, 119, 84–91. [Google Scholar] [CrossRef] [PubMed]
- Zanuncio, J.C.; Mourão, S.A.; Martínez, L.C.; Wilcken, C.F.; Ramalho, F.S.; Plata-Rueda, A.; Soares, M.A.; Serrão, J.E. Toxic effects of the neem oil (Azadirachta indica) formulation on the stink bug predator, Podisus nigrispinus (Heteroptera: Pentatomidae). Sci. Rep. 2016, 6, 1–8. [Google Scholar] [CrossRef] [PubMed]
- Benelli, G.; Pavela, R. Repellence of essential oils and selected compounds against ticks—A systematic review. Acta Trop. 2018, 179, 47–54. [Google Scholar] [CrossRef]
- Benelli, G.; Pavela, R. Beyond mosquitoes—Essential oil toxicity and repellency against bloodsucking insects. Ind. Crops Prod. 2018, 117, 382–392. [Google Scholar] [CrossRef]
- Pavela, R. Essential oils from Foeniculum vulgare Miller as a safe environmental insecticide against the aphid Myzus persicae Sulzer. Environ. Sci. Pollut. Res. 2018, 25, 10904–10910. [Google Scholar] [CrossRef]
- Pavela, R.; Maggi, F.; Lupidi, G.; Mbuntcha, H.; Woguem, V.; Womeni, H.M.; Barboni, L.; Tapondjou, L.A.; Benelli, G. Clausena anisata and Dysphania ambrosioides essential oils: From ethno-medicine to modern uses as effective insecticides. Environ. Sci. Pollut. Res. 2018, 25, 10493–10503. [Google Scholar] [CrossRef]
- Sharma, D.C.; Rani, S.; Kashyap, N.P. Oviposition deterrence and ovicidal properties of some plant extracts against potato tuber moth Phthorimaea operculella (Zell.). Pestic. Res. J. 1997, 9, 241–246. [Google Scholar]
- Sharma, A.; Kaushal, P.; Sharma, K.C.; Kumar, R. Bioefficacy of some plant products against Diamond back moth Plutella xylostella L. (Lepidoptera: Yponomeutidae). J. Entomol. Res. 2006, 30, 213–217. [Google Scholar]
- Da Costa, J.T.; Forim, M.R.; Costa, E.S.; De Souza, J.R.; Mondego, J.M.; Junior, A.L.B. Effects of different formulations of neem oil-based products on control Zabrotes subfasciatus (Boheman, 1833) (Coleoptera: Bruchidae) on beans. J. Stored Prod. Res. 2014, 56, 49–53. [Google Scholar] [CrossRef]
- Adarkwah, C.; Obeng-Ofori, D.; Adler, C.; Büttner, C.; Reichmuth, C.; Schöller, M. Integration of Calneem® oil and parasitoids to control Cadra cautella and Corcyra cephalonica in stored grain cereals. Phytoparasitica 2011, 39, 223–233. [Google Scholar] [CrossRef]
- Adarkwah, C.; Obeng-Ofori, D.; Büttner, C.; Reichmuth, C.; Schöller, M. Bio-rational control of red flour beetle Tribolium castaneum (Herbst) (Coleoptera: Tenebrionidae) in stored wheat with Calneem® oil derived from neem seeds. J. Pest Sci. 2010, 83, 471–479. [Google Scholar] [CrossRef]
- Choupanian, M.; Omar, D.; Basri, M.; Asib, N. Preparation and characterization of neem oil nanoemulsion formulations against Sitophilus oryzae and Tribolium castaneum adults. J. Pestic. Sci. 2017, 42, 158–165. [Google Scholar] [CrossRef]
- Eziah, V.Y.; Sackey, I.; Boateng, B.A.; Obeng-Boateng, D. Bioefficacy of neem oil (CalneemTM), a botanical insecticide against the tropical warehouse moth, Ephestia cautella. Int. Res. J. Agric. Sci. Soil Sci. 2011, 1, 242–248. [Google Scholar]
- Facknath, S. Combination of neem and physical disturbance for the control of four insect pests of stored products. Int. J. Trop. Insect Sci. 2006, 26, 16–27. [Google Scholar] [CrossRef]
- Obeng-Ofori, D. Residual insecticides, inert dusts and botanicals for the protection of durable stored products against pest infestation in developing countries. Julius-Kühn-Archiv 2010, 425, 774. [Google Scholar]
- Joshi, R.; Gaur, N.; Devrani, A.; Barman, M. Repellency of Neem Oil against Red Rust Flour Beetle, Tribolium castaneum Herbst, (Coleoptera: Tenebronidae) and Lesser Grain Borer, Rhyzopertha dominica (Fabricius) (Coleoptera: Bostrichidae). Int. J. Curr. Microbiol. App. Sci. 2019, 8, 521–524. [Google Scholar] [CrossRef]
- Kteo, B.Q.; Mohammed, A.A. The effect of Neem oil in controlling Khapra beetle Trogoderma granarium (Dermestidae: Coleoptera) and reducing its associated fungal isolates in wheat grains. In IOP Conference Series: Earth and Environmental Science; IOP Publishing: Bristol, UK, 2019; Volume 388, pp. 12–15. [Google Scholar]
- Younus, A.S.; Mohammed, A.A. Insecticidal potential of commercial Neem-based insecticide, nimbecidine ec against the red flour beetle (Tribolium castaneum) in the laboratory. Plant Arch. 2020, 20, 2618–2622. [Google Scholar]
- Rahaman, M.M.; Islam, W.; Sarker, P.K. Effect of azadirachtin on larvae and adults of Cryptolestes pesillus (Schon.) (Coleoptera: Cucujidae). Pak. Entomol. 2005, 27, 1. [Google Scholar]
- Kavallieratos, N.G.; Athanassiou, C.G.; Saitanis, C.J.; Kontodimas, D.C.; Roussos, A.N.; Tsoutsa, M.S.; Anastassopoulou, U.A. Effect of two azadirachtin formulations against adults of Sitophilus oryzae and Tribolium confusum on different grain commodities. J. Food Prot. 2007, 70, 1627–1632. [Google Scholar] [CrossRef] [PubMed]
- Muhammad, Z.; Sajjad, A.; Murtaza, M.A.; Muhammad, H. Comparison of neem oil solution with malathion and actellic in relation to the efficacy against flour beetles, Tribolium castaneum (Herbst) and T. confusum (Duv.) infesting stored sunflower seed. Pak. Entomol. 2000, 22, 51–53. [Google Scholar]
- Najafabadi, S.M.; Beiramizadeh, E.; Zarei, R. Repellency and toxicity of three plants leaves extraction against Oryzaephilus surinamensis L. and Tribolium astaneum Herbst. JBES 2014, 4, 26–32. [Google Scholar]
- Paranagama, P.; Adhikari, C.; Abeywickrama, K.; Bandara, P. Deterrent effects of some Sri Lankan essential oils on oviposition and progeny production of the cowpea bruchid, Callosobruchus maculatus (F.) (Coleoptera; Bruchidae). Food Agric. Environ. 2003, 1, 254–257. [Google Scholar]



| Factor | df | F | Sig. |
|---|---|---|---|
| Product | 2 | 1.032 | 0.000 |
| Time | 6 | 24.988 | 0.000 |
| Oil Dose | 3 | 116.531 | 0.000 |
| Insect Species | 2 | 6.632 | 0.001 |
| Plant Oil | 1 | 7.019 | 0.000 |
| Product * Insect Species | 4 | 2.695 | 0.030 |
| Time * Oil Dose | 18 | 16.254 | 0.000 |
| Time * Insect Species | 12 | 11.030 | 0.000 |
| Time * Plant Oil | 6 | 23.330 | 0.000 |
| Oil Dose * Insect Species | 6 | 2.354 | 0.029 |
| Product * Time * Insect Species | 24 | 2.762 | 0.000 |
| Time * Oil Dose * Insect Species | 36 | 5.023 | 0.000 |
| Time * Oil Dose * Plant Oil | 18 | 10.941 | 0.000 |
| Time * Insect Species * Plant Oil | 12 | 5.626 | 0.000 |
| Product * Time * Oil Dose * Insect Species | 72 | 1.803 | 0.000 |
| Product * Time * Oil Dose * Plant Oil | 36 | 1.566 | 0.019 |
| Time * Oil Dose * Insect Species * Plant Oil | 36 | 2.740 | 0.000 |
| Error | 4007 | 0.007 | |
| Total | 4511 | ||
| Corrected Total | 4510 |
| Dose | Insect | Estimate (Hours) | Std Deviation | 95% Confidence Interval | |
|---|---|---|---|---|---|
| Lower Bound | Upper Bound | ||||
| Low | T. confusum | 222.667 c | 7.812 | 207.354 | 237.979 |
| O. surinamensis | 225.667 c | 4.496 | 216.854 | 234.479 | |
| P. interpunctella | 244.267 b | 5.819 | 232.862 | 255.671 | |
| Mid | T. confusum | 159.971 d | 9.075 | 142.184 | 177.757 |
| O. surinamensis | 146.933 d | 7.678 | 145.885 | 175.982 | |
| P. interpunctella | 196.000 e | 7.602 | 185.101 | 216.899 | |
| High | T. confusum | 63.067 g | 5.507 | 42.273 | 83.860 |
| O. surinamensis | 58.000 g | 8.255 | 41.820 | 64.180 | |
| P. interpunctella | 87.333 f | 6.485 | 64.623 | 100.044 | |
| Control | T. confusum | 272.133 a | 6.412 | 259.565 | 284.702 |
| O. surinamensis | 281.600 a | 2.610 | 276.484 | 286.716 | |
| P. interpunctella | 286.400 a | 0.646 | 285.134 | 287.666 | |
| Dose | Treatment | Estimate (Hours) | Std Deviation | 95% Confidence Interval | |
|---|---|---|---|---|---|
| Lower Bound | Upper Bound | ||||
| Low | CBD oil | 219.156 b | 5.600 | 218.179 | 240.132 |
| Neem oil | 239.244 c | 4.701 | 250.030 | 268.459 | |
| Mid | CBD oil | 180.556 e | 7.069 | 166.700 | 184.412 |
| Neem oil | 204.044 d | 6.694 | 190.925 | 217.164 | |
| High | CBD oil | 75.956 g | 6.187 | 63.829 | 88.082 |
| Neem oil | 119.644 f | 6.162 | 107.568 | 131.721 | |
| Control | 284.800 a | 1.346 | 282.162 | 287.438 | |
| Dose | Treatment | Pupation (% ± sd) (F = 81.52 df = 16, p < 0.001) | Adult Emergence (% ± sd) (F = 15.88, df = 16, p < 0.001) |
|---|---|---|---|
| Low | CBD oil | 30.12 ± 1.39 b | 26.90 ± 1.93 b |
| Neem oil | 29.87 ± 2.12 b | 28.20 ± 1.03 b | |
| Mid | CBD oil | 25.04 ± 2.52 c | 22.13 ± 1.01 d |
| Neem oil | 29.24 ± 0.89 d | 26.08 ± 2.63 c | |
| High | CBD oil | 8.43 ± 0.60 f | 6.13 ± 4.13 e |
| Neem oil | 10.10 ± 0.62 e | 9.08 ± 3.50 e | |
| Control | 92.81 ± 1.98 a | 86.10 ± 2.10 a | |
| Dose | Treatment | Pupation (% ± sd) (F = 81.52 df = 16, p < 0.001) | Adult Emergence (% ± sd) (F = 10.34, df = 16, p < 0.001) |
|---|---|---|---|
| Low | CBD oil | 25.12 ± 1.49 c | 21.90 ± 0.93 c |
| Neem oil | 26.87 ± 2.52 c | 24.19 ± 1.23 c | |
| Mid | CBD oil | 17.04 ± 0.89 b | 15.13 ± 1.11 b |
| Neem oil | 19.04 ± 1.89 c | 21.08 ± 1.63 c | |
| High | CBD oil | 5.75 ± 2.20 e | 3.13 ± 2.13 e |
| Neem oil | 7.10 ± 2.62 d | 6.04 ± 2.50 d | |
| Control | 89.81 ± 1.98 a | 86.10 ± 2.10 a | |
| Dose | Treatment | Pupation (% ± sd) (F = 70.24 df = 16, p < 0.001) | Adult Emergence (% ± sd) (F = 9.11, df = 16, p < 0.001) |
|---|---|---|---|
| Low | CBD oil | 26.19 ± 1.85 b | 24.08 ± 0.93 b |
| Neem oil | 28.14 ± 1.92 c | 25.90 ± 2.23 b | |
| Mid | CBD oil | 19.51 ± 2.54 b | 12.13 ± 1.11 c |
| Neem oil | 20.19 ± 1.85 c | 17.19 ± 1.79 c | |
| High | CBD oil | 3.71 ± 2.23 d | 1.89 ± 2.63 d |
| Neem oil | 4.10 ± 1.92 d | 1.13 ± 2.13 d | |
| Control | 91.07 ± 1.98 a | 88.54 ± 2.10 a | |
© 2020 by the authors. Licensee MDPI, Basel, Switzerland. This article is an open access article distributed under the terms and conditions of the Creative Commons Attribution (CC BY) license (http://creativecommons.org/licenses/by/4.0/).
Share and Cite
Mantzoukas, S.; Ntoukas, A.; Lagogiannis, I.; Kalyvas, N.; Eliopoulos, P.; Poulas, K. Larvicidal Action of Cannabidiol Oil and Neem Oil against Three Stored Product Insect Pests: Effect on Survival Time and in Progeny. Biology 2020, 9, 321. https://doi.org/10.3390/biology9100321
Mantzoukas S, Ntoukas A, Lagogiannis I, Kalyvas N, Eliopoulos P, Poulas K. Larvicidal Action of Cannabidiol Oil and Neem Oil against Three Stored Product Insect Pests: Effect on Survival Time and in Progeny. Biology. 2020; 9(10):321. https://doi.org/10.3390/biology9100321
Chicago/Turabian StyleMantzoukas, Spiridon, Aristeidis Ntoukas, Ioannis Lagogiannis, Nikolaos Kalyvas, Panagiotis Eliopoulos, and Konstantinos Poulas. 2020. "Larvicidal Action of Cannabidiol Oil and Neem Oil against Three Stored Product Insect Pests: Effect on Survival Time and in Progeny" Biology 9, no. 10: 321. https://doi.org/10.3390/biology9100321
APA StyleMantzoukas, S., Ntoukas, A., Lagogiannis, I., Kalyvas, N., Eliopoulos, P., & Poulas, K. (2020). Larvicidal Action of Cannabidiol Oil and Neem Oil against Three Stored Product Insect Pests: Effect on Survival Time and in Progeny. Biology, 9(10), 321. https://doi.org/10.3390/biology9100321

