Identification and Expression Analysis of the CHX Gene Family in Capsicum annuum L.
Simple Summary
Abstract
1. Introduction
2. Materials and Methods
2.1. Materials
2.2. Methods
2.2.1. Identification of CaCHX Gene Family Members
2.2.2. Physicochemical Property Analysis and Subcellular Localization Prediction of CaCHX Family Members
2.2.3. Chromosomal Localization Analysis and Phylogenetic Tree Construction of the CaCHX Gene Family Members
2.2.4. Analysis of Gene Structure, Conserved Motifs, and Promoter Cis-Acting Elements in CaCHX Family Members
2.2.5. CaCHX Family Synteny Analysis
2.2.6. CaCHX Protein–Protein Interaction Network Analysis
2.2.7. Analysis of CaCHX Gene Expression Patterns
2.2.8. RT-qPCR Analysis
3. Results
3.1. Identification and Analysis of Physicochemical Properties of CaCHX Family Members
3.2. Chromosomal Localization Analysis of CaCHX Genes
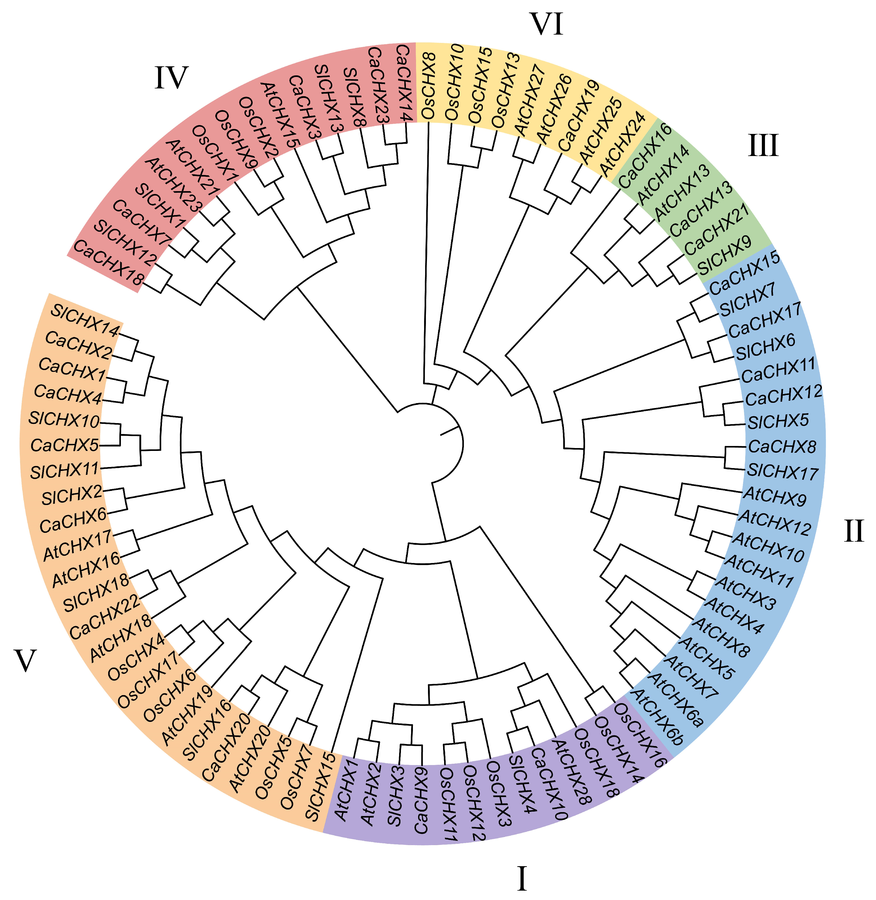
3.3. Phylogenetic Analysis of Pepper CHX Genes
3.4. Analysis of Conserved Motifs and Gene Structure
3.5. Analysis of Cis-Acting Elements in CaCHX Family Members
3.6. Synteny Analysis of the CaCHX Family
3.7. Protein–Protein Interaction Network Analysis of the CaCHX Family
3.8. Expression Analysis of the CaCHX Family in Different Pepper Tissues and Under Various Treatments
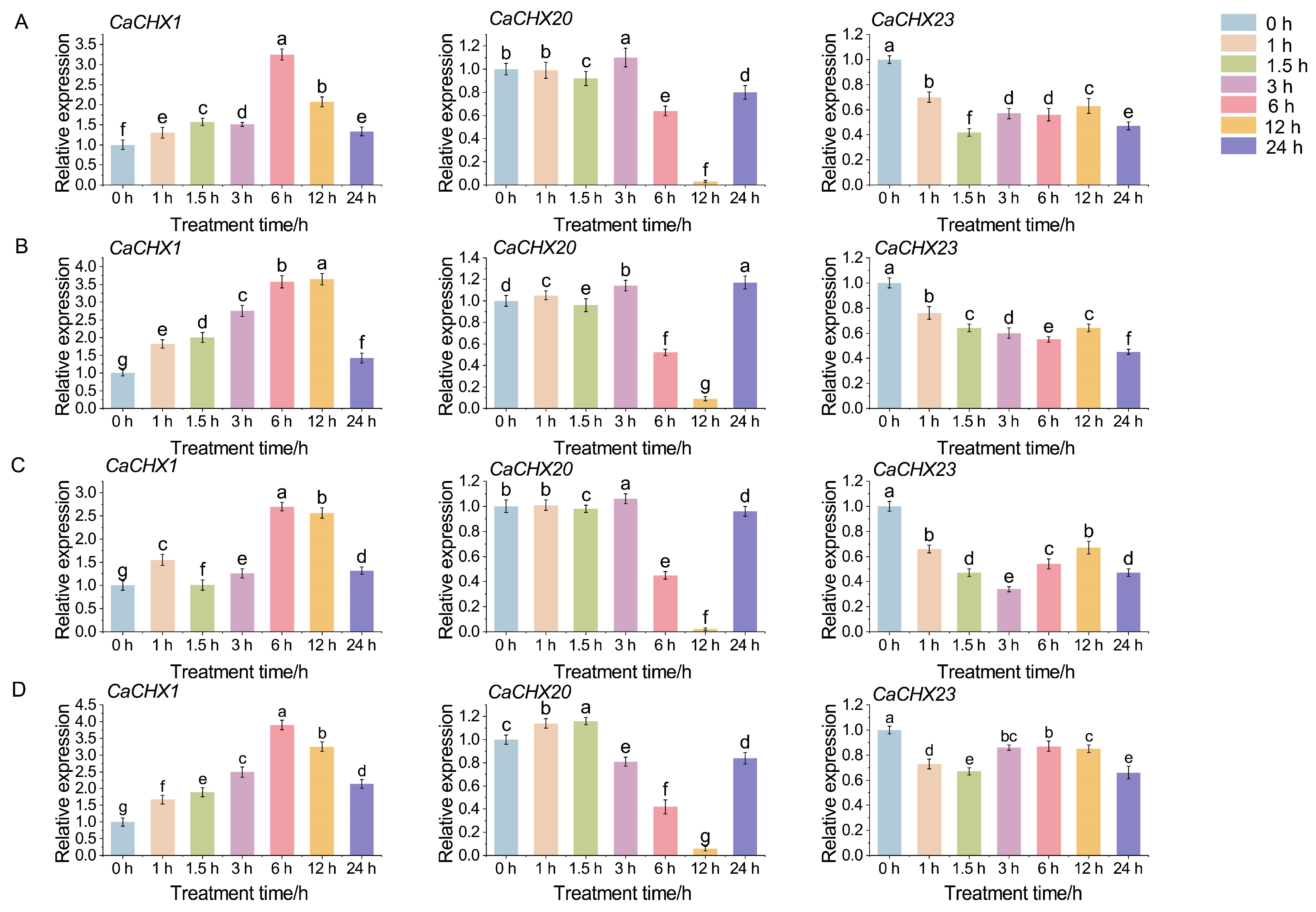
3.9. RT-qPCR Validation of Selected CaCHX Genes
4. Discussion
5. Conclusions
Supplementary Materials
Author Contributions
Funding
Institutional Review Board Statement
Informed Consent Statement
Data Availability Statement
Conflicts of Interest
Abbreviations
| CHX | cation/H+ exchanger |
| CPA | cation/proton antiporter |
| NHX | Na+/H+ exchanger |
| KEA | K+ efflux antiporter |
| hpt | hours post-treatment |
| ABA | abscisic acid |
| GA | gibberellic acid |
| JA | jasmonic acid |
References
- Mandal, S.K.; Rath, S.K.; Logesh, R.; Mishra, S.K.; Devkota, H.P.; Das, N. Capsicum annuum L. and its bioactive constituents: A critical review of a traditional culinary spice in terms of its modern pharmacological potentials with toxicological issues. Phytother. Res. 2023, 37, 965–1002. [Google Scholar] [CrossRef] [PubMed]
- Ban, S.H.; Song, C.E.; Eom, S.H.; Hyun, T.K. Superoxide dismutase gene family in chili pepper (Capsicum annuum L.): Molecular characterization and involvement in redox regulation under chilling stress. Antioxidants 2025, 14, 1131. [Google Scholar] [CrossRef]
- FAO. The Impact of Disasters on Agriculture and Food Security 2023—Avoiding and Reducing Losses through Investment in Resilience; FAO: Rome, Italy, 2023. [Google Scholar]
- Zaghdoud, C.; Solano, C.J.; Franco, J.A.; Bañón, S.; Fernández, J.A.; Del Carmen Martínez-Ballesta, M. Supplemental monochromatic red light mitigates salt-induced stress in pepper (Capsicum annuum L.) plants. Plant Sci. 2025, 361, 112789. [Google Scholar] [CrossRef]
- Litalien, A.; Zeeb, B. Curing the earth: A review of anthropogenic soil salinization and plant-based strategies for sustainable mitigation. Sci. Total Environ. 2020, 698, 134235. [Google Scholar] [CrossRef] [PubMed]
- Tarolli, P.; Luo, J.; Park, E.; Barcaccia, G.; Masin, R. Soil salinization in agriculture: Mitigation and adaptation strategies combining nature-based solutions and bioengineering. iScience 2024, 27, 108830. [Google Scholar] [CrossRef] [PubMed]
- Li, J.; Shen, L.; Han, X.; He, G.; Fan, W.; Li, Y.; Yang, S.; Zhang, Z.; Yang, Y.; Jin, W.; et al. Phosphatidic acid-regulated SOS2 controls sodium and potassium homeostasis in Arabidopsis under salt stress. EMBO J. 2023, 42, e112401. [Google Scholar] [CrossRef]
- Han, C.; Ma, L.; Tao, X.; Lian, Y.; Wu, J.; Fahim, A.M.; Xu, Y.; Zhang, X.; Liu, L.; Yang, G.; et al. Genome-wide identification of the cation/proton antiporter (CPA) gene family and expression pattern analysis under salt stress in winter rapeseed (Brassica rapa L.). Int. J. Mol. Sci. 2025, 26, 3099. [Google Scholar] [CrossRef]
- Masrati, G.; Dwivedi, M.; Rimon, A.; Gluck-Margolin, Y.; Kessel, A.; Ashkenazy, H.; Mayrose, I.; Padan, E.; Ben-Tal, N. Broad phylogenetic analysis of cation/proton antiporters reveals transport determinants. Nat. Commun. 2018, 9, 4205. [Google Scholar] [CrossRef]
- Zhu, J.K. Abiotic stress signaling and responses in plants. Cell 2016, 167, 313–324. [Google Scholar] [CrossRef]
- Ye, C.Y.; Yang, X.; Xia, X.; Yin, W. Comparative analysis of cation/proton antiporter superfamily in plants. Gene 2013, 521, 245–251. [Google Scholar] [CrossRef]
- Liu, S.; An, Z.; Li, Y.; Yang, R.; Lai, Z. Genome-wide identification of the cation/proton antiporter (CPA) gene family and functional analysis of AtrNHX8 under salt stress. Plants 2024, 13, 1701. [Google Scholar] [CrossRef] [PubMed]
- Isayenkov, S.V.; Dabravolski, S.A.; Pan, T.; Shabala, S. Phylogenetic diversity and physiological roles of plant monovalent cation/H(+) antiporters. Front. Plant Sci. 2020, 11, 573564. [Google Scholar] [CrossRef] [PubMed]
- Wang, Y.; Wu, W.H. Potassium transport and signaling in higher plants. Annu. Rev. Plant Biol. 2013, 64, 451–476. [Google Scholar] [CrossRef]
- Saier, M.H., Jr. A functional-phylogenetic classification system for transmembrane solute transporters. MMBR 2000, 64, 354–411. [Google Scholar] [CrossRef] [PubMed]
- Brett, C.L.; Donowitz, M.; Rao, R. Evolutionary origins of eukaryotic sodium/proton exchangers. Am. J. Physiol. Cell Physiol. 2005, 288, C223–C239. [Google Scholar] [CrossRef]
- Wu, L.; Wu, M.; Liu, H.; Gao, Y.; Chen, F.; Xiang, Y. Identification and characterisation of monovalent cation/proton antiporters (CPAs) in Phyllostachys edulis and the functional analysis of PheNHX2 in Arabidopsis thaliana. Plant Physiol. Biochem. 2021, 164, 205–221. [Google Scholar] [CrossRef]
- Wang, Y.; Ying, J.; Zhang, Y.; Xu, L.; Zhang, W.; Ni, M.; Zhu, Y.; Liu, L. Genome-wide identification and functional characterization of the cation proton antiporter (CPA) family related to salt stress response in radish (Raphanus sativus L.). Int. J. Mol. Sci. 2020, 21, 8262. [Google Scholar] [CrossRef]
- Sze, H.; Chanroj, S. Plant endomembrane dynamics: Studies of K(+)/H(+) antiporters provide insights on the effects of pH and ion homeostasis. Plant Physiol. 2018, 177, 875–895. [Google Scholar] [CrossRef]
- Isayenkov, S.V.; Maathuis, F.J.M. Plant salinity stress: Many unanswered questions remain. Front. Plant Sci. 2019, 10, 80. [Google Scholar] [CrossRef]
- Chanroj, S.; Wang, G.; Venema, K.; Zhang, M.W.; Delwiche, C.F.; Sze, H. Conserved and diversified gene families of monovalent cation/h(+) antiporters from algae to flowering plants. Front. Plant Sci. 2012, 3, 25. [Google Scholar] [CrossRef]
- Sze, H.; Padmanaban, S.; Cellier, F.; Honys, D.; Cheng, N.H.; Bock, K.W.; Conéjéro, G.; Li, X.; Twell, D.; Ward, J.M.; et al. Expression patterns of a novel AtCHX gene family highlight potential roles in osmotic adjustment and K+ homeostasis in pollen development. Plant Physiol. 2004, 136, 2532–2547. [Google Scholar] [CrossRef] [PubMed]
- Chen, Y.; Ma, J.; Miller, A.J.; Luo, B.; Wang, M.; Zhu, Z.; Ouwerkerk, P.B. OsCHX14 is involved in the K+ homeostasis in rice (Oryza sativa) flowers. Plant Cell Physiol. 2016, 57, 1530–1543. [Google Scholar] [CrossRef]
- Hussain, Z.; Khan, H.; Imran, M.; Naeem, M.K.; Shah, S.H.; Iqbal, A.; Ali, S.S.; Rizwan, M.; Ali, S.; Muneer, M.A.; et al. Cation/proton antiporter genes in tomato: Genomic characterization, expression profiling, and co-localization with salt stress-related QTLs. Agronomy 2022, 12, 245. [Google Scholar] [CrossRef]
- Kong, M.; Luo, M.; Li, J.; Feng, Z.; Zhang, Y.; Song, W.; Zhang, R.; Wang, R.; Wang, Y.; Zhao, J.; et al. Genome-wide identification, characterization, and expression analysis of the monovalent cation-proton antiporter superfamily in maize, and functional analysis of its role in salt tolerance. Genomics 2021, 113, 1940–1951. [Google Scholar] [CrossRef]
- Zhao, J.; Li, P.; Motes, C.M.; Park, S.; Hirschi, K.D. CHX14 is a plasma membrane K-efflux transporter that regulates K(+) redistribution in Arabidopsis thaliana. Plant Cell Environ. 2015, 38, 2223–2238. [Google Scholar] [CrossRef] [PubMed]
- Jia, Q.; Zheng, C.; Sun, S.; Amjad, H.; Liang, K.; Lin, W. The role of plant cation/proton antiporter gene family in salt tolerance. Biol. Plant. 2018, 62, 617–629. [Google Scholar] [CrossRef]
- Song, C.P.; Guo, Y.; Qiu, Q.; Lambert, G.; Galbraith, D.W.; Jagendorf, A.; Zhu, J.K. A probable Na+(K+)/H+ exchanger on the chloroplast envelope functions in pH homeostasis and chloroplast development in Arabidopsis thaliana. Proc. Natl. Acad. Sci. USA 2004, 101, 10211–10216. [Google Scholar] [CrossRef]
- Cellier, F.; Conéjéro, G.; Ricaud, L.; Luu, D.T.; Lepetit, M.; Gosti, F.; Casse, F. Characterization of AtCHX17, a member of the cation/H+ exchangers, CHX family, from Arabidopsis thaliana suggests a role in K+ homeostasis. Plant J. 2004, 39, 834–846. [Google Scholar] [CrossRef]
- Lu, Y.; Chanroj, S.; Zulkifli, L.; Johnson, M.A.; Uozumi, N.; Cheung, A.; Sze, H. Pollen tubes lacking a pair of K+ transporters fail to target ovules in Arabidopsis. Plant Cell 2011, 23, 81–93. [Google Scholar] [CrossRef]
- Jia, B.; Sun, M.; DuanMu, H.; Ding, X.; Liu, B.; Zhu, Y.; Sun, X. GsCHX19.3, a member of cation/H(+) exchanger superfamily from wild soybean contributes to high salinity and carbonate alkaline tolerance. Sci. Rep. 2017, 7, 9423. [Google Scholar] [CrossRef]
- Hur, Y.; Kim, J.H.; Lee, D.J.; Chung, K.M.; Woo, H.R. Overexpression of AtCHX24, a member of the cation/H+ exchangers, accelerates leaf senescence in Arabidopsis thaliana. Plant Sci. 2012, 183, 175–182. [Google Scholar] [CrossRef] [PubMed]
- Sharma, H.; Taneja, M.; Upadhyay, S.K. Identification, characterization and expression profiling of cation-proton antiporter superfamily in Triticum aestivum L. and functional analysis of TaNHX4-B. Genomics 2020, 112, 356–370. [Google Scholar] [CrossRef] [PubMed]
- Islam, M.S.U.; Akter, N.; Zohra, F.T.; Rashid, S.B.; Hasan, N.; Rahman, S.M.; Sarkar, M.A.R. Genome-wide identification and characterization of cation-proton antiporter (CPA) gene family in rice (Oryza sativa L.) and their expression profiles in response to phytohormones. PLoS ONE 2025, 20, e0317008. [Google Scholar] [CrossRef] [PubMed]
- Wang, J.; Lv, J.; Liu, Z.; Liu, Y.; Song, J.; Ma, Y.; Ou, L.; Zhang, X.; Liang, C.; Wang, F.; et al. Integration of Transcriptomics and Metabolomics for Pepper (Capsicum annuum L.) in Response to Heat Stress. Int. J. Mol. Sci. 2019, 20, 5042. [Google Scholar] [CrossRef]
- Yue, C.P.; Han, L.; Sun, S.S.; Chen, J.F.; Feng, Y.N.; Huang, J.Y.; Zhou, T.; Hua, Y.P. Genome-wide identification of the cation/proton antiporter (CPA) gene family and functional characterization of the key member BnaA05.NHX2 in allotetraploid rapeseed. Gene 2024, 894, 148025. [Google Scholar] [CrossRef]
- Liu, J.; Li, D.; Wang, J.; Wang, Q.; Guo, X.; Fu, Q.; Kear, P.; Zhu, G.; Yang, X. Genome-wide characterization of the CPA gene family in potato and a preliminary functional analysis of its role in NaCl tolerance. BMC Genom. 2024, 25, 144. [Google Scholar] [CrossRef]
- Jia, Q.; Song, J.; Zheng, C.; Fu, J.; Qin, B.; Zhang, Y.; Liu, Z.; Jia, K.; Liang, K.; Lin, W.; et al. Genome-Wide Analysis of Cation/Proton Antiporter Family in Soybean (Glycine max) and Functional Analysis of GmCHX20a on Salt Response. Int. J. Mol. Sci. 2023, 24, 16560. [Google Scholar] [CrossRef]
- Zhou, H.; Qi, K.; Liu, X.; Yin, H.; Wang, P.; Chen, J.; Wu, J.; Zhang, S. Genome-wide identification and comparative analysis of the cation proton antiporters family in pear and four other Rosaceae species. Mol. Genet. Genom. 2016, 291, 1727–1742. [Google Scholar] [CrossRef]
- Padmanaban, S.; Chanroj, S.; Kwak, J.M.; Li, X.; Ward, J.M.; Sze, H. Participation of endomembrane cation/H+ exchanger AtCHX20 in osmoregulation of guard cells. Plant Physiol. 2007, 144, 82–93. [Google Scholar] [CrossRef]
- Li, Y.; Ye, H.; Vuong, T.D.; Zhou, L.; Do, T.D.; Satish Chhapekar, S.; Zhao, W.; Li, B.; Jin, T.; Gu, J.; et al. A novel natural variation in the promoter of GmCHX1 regulates conditional gene expression to improve salt tolerance in soybean. J. Exp. Bot. 2024, 75, 1051–1062. [Google Scholar] [CrossRef]
- Jia, Q.; Li, M.W.; Zheng, C.; Xu, Y.; Sun, S.; Li, Z.; Wong, F.L.; Song, J.; Lin, W.W.; Li, Q.; et al. The soybean plasma membrane-localized cation/H(+) exchanger GmCHX20a plays a negative role under salt stress. Physiol. Plant. 2021, 171, 714–727. [Google Scholar] [CrossRef]
- Guo, Y.; Zhu, C.; Tian, Z. Overexpression of KvCHX enhances salt tolerance in Arabidopsis thaliana seedlings. Curr. Issues Mol. Biol. 2023, 45, 9692–9708. [Google Scholar] [CrossRef]










Disclaimer/Publisher’s Note: The statements, opinions and data contained in all publications are solely those of the individual author(s) and contributor(s) and not of MDPI and/or the editor(s). MDPI and/or the editor(s) disclaim responsibility for any injury to people or property resulting from any ideas, methods, instructions or products referred to in the content. |
© 2025 by the authors. Licensee MDPI, Basel, Switzerland. This article is an open access article distributed under the terms and conditions of the Creative Commons Attribution (CC BY) license.
Share and Cite
Wang, J.; Huang, J.; Jia, X.; Liang, Y. Identification and Expression Analysis of the CHX Gene Family in Capsicum annuum L. Biology 2026, 15, 37. https://doi.org/10.3390/biology15010037
Wang J, Huang J, Jia X, Liang Y. Identification and Expression Analysis of the CHX Gene Family in Capsicum annuum L. Biology. 2026; 15(1):37. https://doi.org/10.3390/biology15010037
Chicago/Turabian StyleWang, Jing, Jiaxin Huang, Xu Jia, and Yanping Liang. 2026. "Identification and Expression Analysis of the CHX Gene Family in Capsicum annuum L." Biology 15, no. 1: 37. https://doi.org/10.3390/biology15010037
APA StyleWang, J., Huang, J., Jia, X., & Liang, Y. (2026). Identification and Expression Analysis of the CHX Gene Family in Capsicum annuum L. Biology, 15(1), 37. https://doi.org/10.3390/biology15010037
