Settlement and Growth of Mytilus galloprovincialis Pediveliger Larvae in Response to Biofilm-Based Microalgae and Chemical Neuroactive Compounds
Simple Summary
Abstract
1. Introduction
2. Materials and Methods
2.1. Spawning and Larval Culture
2.2. Preparation of Biofilm and Chemical Inducers
2.2.1. Microalgae Biofilm
2.2.2. Preparation of GABA and KCl Solutions
2.3. Experimental Assays
2.3.1. Settlement System Set-Up
2.3.2. Feeding and Maintenance During Settlement
2.3.3. Assessment of Larval Settlement, Post-Larval Growth Rate, and Spat Production
2.4. Data Analysis
3. Results
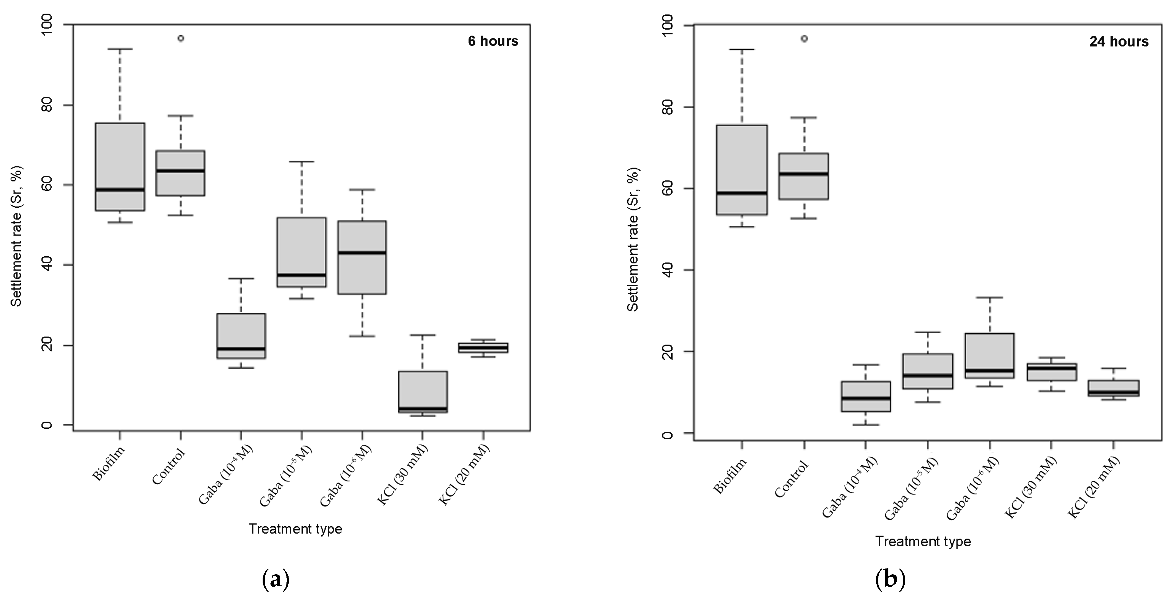
3.1. Effect of Treatments on Larvae Settlement and Spat Production at Different Exposure Times
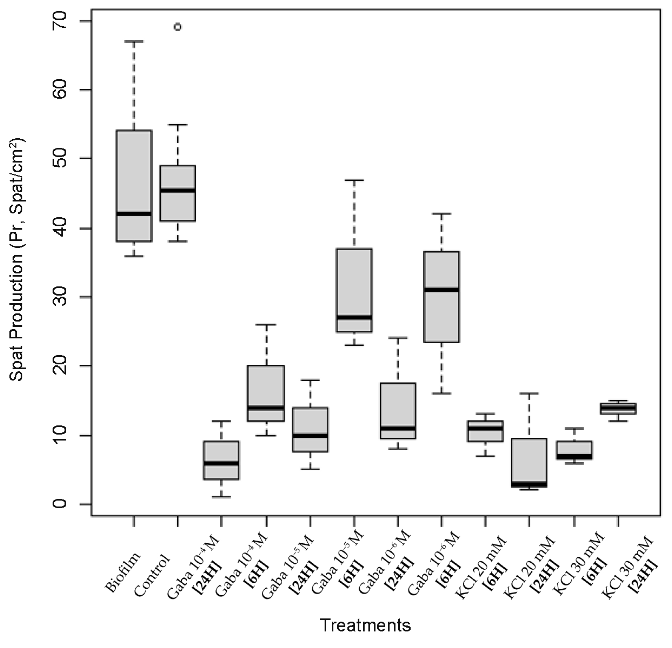
3.2. Effect of Treatments on Spat Production (Pr)
3.3. Effect of Treatments on Post-Larval Growth Rate (Gr)
3.4. Principal Component Analysis (PCA) and Redundancy Analysis (RDA) of Larvae Settlement (Sr), Post-Larval Growth (Gr), and Spat Production (Pr)
4. Discussion
4.1. Larvae Settlement
4.2. Post-Larval Growth Rate
4.3. Exposure Time
5. Conclusions
Author Contributions
Funding
Institutional Review Board Statement
Informed Consent Statement
Data Availability Statement
Acknowledgments
Conflicts of Interest
References
- Fisheries, Food and Agriculture Organization of the United Nations (FAO). The State of World Fisheries and Aquaculture 2024: Blue Transformation in Action; FAO: Rome, Italy, 2024. [Google Scholar]
- Olivares-Bańuelos, T.N. How Important It Is to Produce Seeds for The Aquaculture of Bivalve Molluscs. Oceanogr. Fish. Open Access J. 2018, 8, 97–98. [Google Scholar] [CrossRef]
- Guiñez, R.; Pita, A.; Pérez, M.; Briones, C.; Navarrete, S.A.; Toro, J.; Presa, P. Present-day connectivity of historical stocks of the ecosystem engineer Perumytilus purpuratus along 4500 km of the Chilean Coast. Fish. Res. 2016, 179, 322–332. [Google Scholar] [CrossRef]
- Smaal, A.C.; Ferreira, J.G.; Grant, J.; Petersen, J.K.; Strand, Ø. Provisioning of Mussel Seed and Its Efficient Use in Culture. In Goods and Services of Marine Bivalves, 1st ed.; Smaal, A.C., Ferreira, J.G., Grant, J., Petersen, J.K., Strand, Ø., Eds.; Springer: Cham, Switzerland, 2019; pp. 27–50. [Google Scholar] [CrossRef]
- Ens, B.J.; Smaal, A.C.; Vlas, J.d. The Effects of Shellfish Fishery on the Ecosystems of the Dutch Wadden Sea and Oosterschelde: Final Report on the Second Phase of the Scientific Evaluation of the Dutch Shellfish Fishery Policy (EVA II); Alterra: Wageningen, The Netherlands, 2004. [Google Scholar]
- Armenteros, M.; Díaz-Asencio, M.; Fernández-Garcés, R.; Hernández, C.A.; Helguera-Pedraza, Y.; Bolaños-Alvarez, Y.; Agraz-Hernandez, C.; Sanchez-Cabeza, J.A. One-century decline of mollusk diversity as consequence of accumulative anthropogenic disturbance in a tropical estuary (Cuban Archipelago). Mar. Pollut. Bull. 2016, 113, 224–231. [Google Scholar] [CrossRef]
- Moore, H.F. Condition and Extent of the Natural Oyster Beds of Delaware; Government Printing Office: Washington, DC, USA, 1913.
- Mackenzie, C.L., Jr.; Tarnowski, M. Large Shifts in Commercial Landings of Estuarine and Bay Bivalve Mollusks in Northeastern United States after 1980 with Assessment of the Causes. Mar. Fish. Rev. 2018, 80, 1–29. [Google Scholar] [CrossRef]
- Masanja, F.; Yang, K.; Xu, Y.; He, G.; Liu, X.; Xu, X.; Xiaoyan, J.; Xin, L.; Mkuye, R.; Deng, Y.; et al. Impacts of marine heat extremes on bivalves. Front. Mar. Sci. 2023, 10, 1159261. [Google Scholar] [CrossRef]
- Liu, X.; Huang, L.; Lim, L.; Fazhan, H.; Tan, K. The impact of elevated temperature on the macro-nutrients of commercially important marine bivalves: The implication of ocean warming. Crit. Rev. Food Sci. Nutr. 2025, 65, 1833–1840. [Google Scholar] [CrossRef] [PubMed]
- Rato, A.; Joaquim, S.; Matias, A.M.; Roque, C.; Marques, A.; Matias, D. The Impact of Climate Change on Bivalve Farming: Combined Effect of Temperature and Salinity on Survival and Feeding Behavior of Clams Ruditapes decussatus. Front. Mar. Sci. 2022, 9, 932310. [Google Scholar] [CrossRef]
- Tejedor, M.F. Challenges for Shellfish Aquaculture in Mediterranean Coastal Areas. Ph.D. Thesis, Universitat Politècnica de València, Valencia, Spain, 2023. [Google Scholar]
- Officer, C.B.; Smayda, T.J.; Mann, R. Benthic Filter Feeding: A Natural Eutrophication Control. Grad. Sch. Oceanogr. Fac. Publ. 1982, 9, 203–210. [Google Scholar] [CrossRef]
- Nielsen, P.; Cranford, P.J.; Maar, M.; Petersen, J.K. Magnitude, spatial scale and optimization of ecosystem services from a nutrient extraction mussel farm in the eutrophic Skive Fjord, Denmark. Aquac. Environ. Interact. 2016, 8, 311–329. [Google Scholar] [CrossRef]
- Díaz-Puente, B.; Miñambres, M.; Rosón, G.; Aghzar, A.; Presa, P. Genetic decoupling of spat origin from hatchery to harvest of Mytilus galloprovincialis cultured in suspension. Aquaculture 2016, 460, 124–135. [Google Scholar] [CrossRef]
- Díaz-Puente, B.; Pita, A.; Uribe, J.; Cuéllar-Pinzón, J.; Guiñez, R.; Presa, P. A biogeography-based management for Mytilus chilensis: The genetic hodgepodge of Los Lagos versus the pristine hybrid zone of the Magellanic ecotone. Aquat. Conserv. 2020, 30, 412–425. [Google Scholar] [CrossRef]
- Pronker, A.E.; Nevejan, N.M.; Peene, F.; Geijsen, P.; Sorgeloos, P. Hatchery broodstock conditioning of the blue mussel Mytilus edulis (Linnaeus 1758). Part I. Impact of different micro-algae mixtures on broodstock performance. Aquac. Int. 2008, 16, 297–307. [Google Scholar] [CrossRef]
- Arellano, S.M.; Young, C.M. Spawning, development, and the duration of larval life in a deep-sea cold-seep mussel. Biol. Bull. 2009, 216, 149–162. [Google Scholar] [CrossRef]
- Janah, H.; Azirar, R.; Aghzar, A.; Ouagajjou, Y. Effect of food strategy and stocking density on larval performance of captively reared Mytilus galloprovincialis. E3S Web Conf. 2024, 492, 02001. [Google Scholar] [CrossRef]
- Martínez-Pita, I.; Sánchez-Lazo, C.; Ruíz-Jarabo, I.; Herrera, M.; Mancera, J.M. Biochemical composition, lipid classes, fatty acids and sexual hormones in the mussel Mytilus galloprovincialis from cultivated populations in south Spain. Aquaculture 2012, 358–359, 274–283. [Google Scholar] [CrossRef]
- Aghzar, A.; Miñambres, M.; Alvarez, P.; Presa, P. A cost-benefit assessment of two multi-species algae diets for juveniles of Mytilus galloprovincialis. Int. J. Mar. Sci. 2013, 29, 9–16. [Google Scholar]
- Yang, J.L.; Satuito, C.G.; Bao, W.Y.; Kitamura, H. Larval settlement and metamorphosis of the mussel Mytilus galloprovincialis on different macroalgae. Mar. Biol. 2007, 152, 1121–1132. [Google Scholar] [CrossRef]
- Aghzar, A.; Talbaoui, M.; Benajiba, M.H.; Presa, P. Influence of depth and diameter of rope collectors on settlement density of Mytilus galloprovincialis spat in Baie de M’diq (Alboran Sea). Mar. Freshw. Behav. Physiol. 2012, 45, 51–61. [Google Scholar] [CrossRef]
- García-Lavandeira, M.; Silva, A.; Abad, M.; Pazos, A.J.; Sánchez, J.L.; Pérez-Parallé, M.L. Effects of GABA and epinephrine on the settlement and metamorphosis of the larvae of four species of bivalve molluscs. J. Exp. Mar. Biol. Ecol. 2005, 316, 149–156. [Google Scholar] [CrossRef]
- Young, T.; Alfaro, A.C.; Robertson, J. Effect of neuroactive compounds on the settlement of mussel (Perna canaliculus) larvae. Aquaculture 2011, 319, 277–283. [Google Scholar] [CrossRef]
- Pires, A.; Croll, R.P.; Hadfield, M.G. Catecholamines modulate metamorphosis in the opisthobranch gastropod Phestilla sibogae. Biol. Bull. 2000, 198, 319–331. [Google Scholar] [CrossRef]
- Ouagajjou, Y.; Aghzar, A.; Presa, P. Population Genetic Divergence among Worldwide Gene Pools of the Mediterranean Mussel Mytilus galloprovincialis. Animals 2023, 13, 3754. [Google Scholar] [CrossRef]
- Kamermans, P.; Galley, T.; Boudry, P.; Fuentes, J.; McCombie, H.; Batista, F.M.; Blanco, A.; Dominguez, L.; Cornette, F.; Pincot, L.; et al. Blue mussel hatchery technology in Europe. In Advances in Aquaculture Hatchery Technology, 1st ed.; Allan, G., Burnell, G., Eds.; Woodhead Publishing: Sawston, UK, 2013; pp. 339–373. [Google Scholar] [CrossRef]
- Maanan, M. Biomonitoring of heavy metals using Mytilus galloprovincialis in Safi coastal waters, Morocco. Environ. Toxicol. 2007, 22, 525–531. [Google Scholar] [CrossRef]
- Padin, X.A.; Babarro, J.M.F.; Otero, P.; Gilcoto, M.; Rellán, T.; Suárez, L.; Velo, A.; Peteiro, L.G. The declining availability of wild mussel seed for aquaculture in a coastal upwelling system. Front. Mar. Sci. 2024, 11, 1375269. [Google Scholar] [CrossRef]
- Domínguez, L.; Villalba, A.; Fuentes, J. Effects of photoperiod and the duration of conditioning on gametogenesis and spawning of the mussel Mytilus galloprovincialis (Lamarck). Aquac. Res. 2010, 41, e807. [Google Scholar] [CrossRef]
- Gribben, P.E.; Jeffs, A.G.; de Nys, R.; Steinberg, P.D. Relative importance of natural cues and substrate morphology for settlement of the New Zealand Greenshell™ mussel, Perna canaliculus. Aquaculture 2011, 319, 240–246. [Google Scholar] [CrossRef]
- Alfaro, A.C. Effect of water flow and oxygen concentration on early settlement of the New Zealand green-lipped mussel, Perna canaliculus. Aquaculture 2005, 246, 285–294. [Google Scholar] [CrossRef]
- Yang, J.L.; Shen, P.J.; Liang, X.; Li, Y.F.; Bao, W.Y.; Li, J.L. Larval settlement and metamorphosis of the mussel Mytilus coruscus in response to monospecific bacterial biofilms. Biofouling 2013, 29, 247–259. [Google Scholar] [CrossRef]
- Dobretsov, S.V.; Qian, P.Y. Pharmacological Induction of Larval Settlement and Metamorphosis in the Blue Mussel Mytilus edulis L. Biofouling 2003, 19, 57–63. [Google Scholar] [CrossRef]
- He, J.; Dai, Q.; Qi, Y.; Su, P.; Huang, M.; Ke, C.; Feng, D. Bacterial Nucleobases Synergistically Induce Larval Settlement and Metamorphosis in the Invasive Mussel Mytilopsis sallei. Appl. Environ. Microbiol. 2019, 85, e01039-19. [Google Scholar] [CrossRef]
- Morse, D.E.; Hooker, N.; Duncan, H.; Jensen, L. γ-Aminobutyric Acid, a Neurotransmitter, Induces Planktonic Abalone Larvae to Settle and Begin Metamorphosis. Science 1979, 204, 407–410. [Google Scholar] [CrossRef]
- Yang, Y.; Wu, B.L. Induction of larval settlement and metamorphosis of Haliotis discus hannai Ino (Gastropoda, Mollusca). Oceanol. Limnol. Sin. 1995, 26, 162–167. [Google Scholar] [CrossRef]
- Shiels, K.; Murray, P.; Saha, S.K. Marine cyanobacteria as potential alternative source for GABA production. Bioresour. Technol. Rep. 2019, 8, 100342. [Google Scholar] [CrossRef]
- McParland, E.L.; Alexander, H.; Johnson, W.M. The Osmolyte Ties That Bind: Genomic Insights into Synthesis and Breakdown of Organic Osmolytes in Marine Microbes. Front. Mar. Sci. 2021, 8, 689306. [Google Scholar] [CrossRef]
- Masuda, K.; Guo, X.F.; Uryu, N.; Hagiwara, T.; Watabe, S. Isolation of marine yeasts collected from the Pacific Ocean showing a high production of gamma-aminobutyric acid. Biosci. Biotechnol. Biochem. 2008, 72, 3280–3282. [Google Scholar] [CrossRef]
- Foster, T.; Eid, M.; Hinkley, C.; Carroll, M.; Catapane, E. Genomic Study of GABA Receptors in the Bivalve Crassostrea virginica. FASEB J. 2021, 35, 01688. [Google Scholar] [CrossRef]
- Yu, Y.; Tian, D.; Ri, S.; Kim, T.; Ju, K.; Zhang, J.; Teng, S.; Zhang, W.; Shi, W.; Liu, G. Gamma-aminobutyric acid (GABA) suppresses haemocyte phagocytosis by binding to GABA receptors and modulating corresponding downstream pathways in blood clam, Tegillarca granosa. Fish Shellfish Immunol. 2023, 134, 108608. [Google Scholar] [CrossRef]
- Balseiro, P.; Moreira, R.; Chamorro, R.; Figueras, A.; Novoa, B. Immune responses during the larval stages of Mytilus galloprovincialis: Metamorphosis alters immunocompetence, body shape and behavior. Fish Shellfish Immunol. 2013, 35, 438–447. [Google Scholar] [CrossRef]
- Wong, Y.H.; Arellano, S.M.; Zhang, H.; Ravasi, T.; Qian, P.Y. Dependency on de novo protein synthesis and proteomic changes during metamorphosis of the marine bryozoan Bugula neritina. Proteome Sci. 2010, 8, 25. [Google Scholar] [CrossRef]
- Yu, X.; He, W.; Gu, J.D.; He, M.; Yan, Y. The effect of chemical cues on settlement of pearl oyster Pinctada fucata martensii (Dunker) larvae. Aquaculture 2008, 277, 83–91. [Google Scholar] [CrossRef]
- Yool, A.J.; Grau, S.M.; Hadfield, M.G.; Jensen, R.A.; Markell, D.A.; Morse, D.E. Excess potassium induces larval metamorphosis in four marine invertebrate species. Biol. Bull. 1986, 170, 255–266. [Google Scholar] [CrossRef]
- Biggers, W.J.; Laufer, H. Settlement and Metamorphosis of Capitella Larvae Induced by Juvenile Hormone-Active Compounds Is Mediated by Protein Kinase C and Ion Channels. Biol. Bull. 1999, 196, 187–198. [Google Scholar] [CrossRef] [PubMed]
- Beiras, R.; Widdows, J. Induction of metamorphosis in larvae of the oyster Crassostrea gigas using neuroactive compounds. Mar. Biol. 1995, 123, 327–334. [Google Scholar] [CrossRef]
- Saoud, I.P.; Davis, D.A. Salinity tolerance of brown shrimp Farfantepenaeus aztecus as it relates to postlarval and juvenile survival, distribution, and growth in estuaries. Estuaries 2003, 26, 970–974. [Google Scholar] [CrossRef]
- Cheng, W.; Chen, J.C. Effects of pH, temperature and salinity on immune parameters of the freshwater prawn Macrobrachium rosenbergii. Fish Shellfish Immunol. 2000, 10, 387–391. [Google Scholar] [CrossRef] [PubMed]
- Feng, Z. Effects of Salinity on Digestive Enzyme Activity in Siganus guttatus. Master’s Thesis, Shanghai Ocean University, Shanghai, China, 2011. [Google Scholar]
- Wang, R.; Zhuang, P.; Feng, G.; Zhang, L.; Huang, X.; Zhao, F.; Wang, Y. The response of digestive enzyme activity in the mature Chinese mitten crab, Eriocheir sinensis (Decapoda: Brachyura), to gradual increase of salinity. Sci. Mar. 2013, 77, 323–329. [Google Scholar] [CrossRef]
- Tung, C.H.; Alfaro, A.C. Initial Attachment, Metamorphosis, Settlement, and Survival of Black-footed Abalone, Haliotis iris, on Microalgal Biofilms Containing Different Amino Acid Compositions. J. World Aquac. Soc. 2011, 42, 167–183. [Google Scholar] [CrossRef]
- Sebens, K.P. Settlement and metamorphosis of a temperate soft-coral larva (Alcyonium siderium Verrill): Induction by crustose algae. Biol. Bull. 1983, 165, 286–304. [Google Scholar] [CrossRef]
- López, Y.; Soto, S.M. The Usefulness of Microalgae Compounds for Preventing Biofilm Infections. Antibiotics 2019, 9, 9. [Google Scholar] [CrossRef]
- Avendaño, R.E.; Riquelme, C.E. Establishment of mixed—Culture probiotics and microalgae as food for bivalve larvae. Aquac. Res. 1999, 30, 893–900. [Google Scholar] [CrossRef]
- Janah, H.; Aghzar, A.; Presa, P.; Ouagajjou, Y. Influence of Pediveliger Larvae Stocking Density on Settlement Efficiency and Seed Production in Captivity of Mytilus galloprovincialis in Amsa Bay, Tetouan. Animals 2024, 14, 239. [Google Scholar] [CrossRef]
- Welch, B.L. The generalisation of student’s problems when several different population variances are involved. Biometrika 1947, 34, 28–35. [Google Scholar] [CrossRef]
- Qian, P.Y.; Dahms, H.U. A Triangle Model: Environmental Changes Affect Biofilms that Affect Larval Settlement. In Biofilms: Roles, Significance and Regulation, 1st ed.; Flemming, H.C., Sriyutha-Murthy, P., Venkatesan, R., Cooksey, K.E., Eds.; Springer: Berlin/Heidelberg, Germany, 2008; pp. 1–14. [Google Scholar] [CrossRef]
- Wang, J.; Liu, W.; Liu, T. Biofilm based attached cultivation technology for microalgal biorefineries—A review. Bioresour. Technol. 2017, 244, 1245–1253. [Google Scholar] [CrossRef] [PubMed]
- Yu, X.; He, W.; Li, H.; Yan, Y.; Lin, C. Larval settlement and metamorphosis of the pearl oyster Pinctada fucata in response to biofilms. Aquaculture 2010, 306, 334–337. [Google Scholar] [CrossRef]
- González-Pazmiño, J.; Pretell, K.M.; Zapata-Vidaurre, K.; Mesones, M.L.; Quimí-Mujica, J.; Diringer, B. Microbial characterization of a natural biofilm associated with Peruvian scallop (Argopecten purpuratus) larvae settlement on artificial collector by confocal imaging, microbiology, and metagenomic analysis. Lat. Am. J. Aquat. Res. 2021, 49, 86–96. [Google Scholar] [CrossRef]
- Leyton, Y.E.; Riquelme, C.E. Use of specific bacterial-microalgal biofilms for improving the larval settlement of Argopecten purpuratus (Lamarck, 1819) on three types of artificial spat-collecting materials. Aquaculture 2008, 276, 78–82. [Google Scholar] [CrossRef]
- Von Der Meden, C.E.O.; Porri, F.; McQuaid, C.D.; Faulkner, K.; Robey, J. Fine-scale ontogenetic shifts in settlement behaviour of mussels: Changing responses to biofilm and conspecific settler presence in Mytilus galloprovincialis and Perna perna. Mar. Ecol. Prog. Ser. 2010, 411, 161–171. [Google Scholar] [CrossRef]
- Toupoint, N.; Mohit, V.; Linossier, I.; Bourgougnon, N.; Myrand, B.; Olivier, F.; Lovejoy, C.; Tremblay, R. Effect of biofilm age on settlement of Mytilus edulis. Biofouling 2012, 28, 985–1001. [Google Scholar] [CrossRef] [PubMed]
- Wang, C.; Bao, W.Y.; Gu, Z.Q.; Yi-Feng, L.; Xiao, L.; Yun, L.; Sheng-Li, C.; He-Ding, S.; Jin-Long, Y. Larval settlement and metamorphosis of the mussel Mytilus coruscus in response to natural biofilms. Biofouling 2012, 28, 249–256. [Google Scholar] [CrossRef]
- Alfaro, A.C.; Young, T.; Ganesan, A.M. Regulatory effects of mussel (Aulacomya maoriana Iredale 1915) larval settlement by neuroactive compounds, amino acids and bacterial biofilms. Aquaculture 2011, 322–333, 158–168. [Google Scholar] [CrossRef]
- Dobretsov, S.; Rittschof, D. Love at First Taste: Induction of Larval Settlement by Marine Microbes. Int. J. Mol. Sci. 2020, 21, 731. [Google Scholar] [CrossRef]
- Lam, C.; Harder, T.; Qian, P.Y. Induction of larval settlement in the polychaete Hydroides elegans by extracellular polymers of benthic diatoms. Mar. Ecol. Prog. Ser. 2005, 286, 145–154. [Google Scholar] [CrossRef]
- Cheah, Y.T.; Chan, D.J.C. A methodological review on the characterization of microalgal biofilm and its extracellular polymeric substances. J. Appl. Microbiol. 2022, 132, 3490–3514. [Google Scholar] [CrossRef] [PubMed]
- Patil, J.S.; Anil, A.C. Influence of diatom exopolymers and biofilms on metamorphosis in the barnacle Balanus amphitrite. Mar. Ecol. Prog. Ser. 2005, 301, 231–245. [Google Scholar] [CrossRef]
- Webster, N.S.; Smith, L.D.; Heyward, A.J.; Watts, J.E.M.; Webb, R.I.; Blackall, L.L.; Negri, A.P. Metamorphosis of a Scleractinian Coral in Response to Microbial Biofilms. Appl. Environ. Microbiol. 2004, 70, 1213–1221. [Google Scholar] [CrossRef]
- Chen, Y.C. Immobilization of twelve benthic diatom species for long-term storage and as feed for post-larval abalone Haliotis diversicolor. Aquaculture 2007, 263, 97–106. [Google Scholar] [CrossRef]
- Wieczorek, S.K.; Todd, C.D. Inhibition and facilitation of settlement of epifaunal marine invertebrate larvae by microbial biofilm cues. Biofouling 1998, 12, 81–118. [Google Scholar] [CrossRef]
- Campbell, A.H.; Meritt, D.W.; Franklin, R.B.; Boone, E.L.; Nicely, C.T.; Brown, B.L. Effects of age and composition of field-produced biofilms on oyster larval setting. Biofouling 2011, 27, 255–265. [Google Scholar] [CrossRef] [PubMed]
- Lago, A.; Basuyaux, Y.; Leira, M.; Costas, D.; Paredes, E. Influence of physico-chemical parameters on the settlement of competent larvae of cultured sea urchin, Paracentrotus lividus. Aquaculture 2024, 589, 740982. [Google Scholar] [CrossRef]
- Hird, C.; Jékely, G.; Williams, E.A. Microalgal biofilm induces larval settlement in the model marine worm Platynereis dumerilii. R. Soc. Open Sci. 2024, 11, 240274. [Google Scholar] [CrossRef]
- Roberts, R.D.; Barker, M.F.; Mladenov, P. Is Settlement of Haliotis iris Larvae on Coralline Algae Triggered by the Alga or Its Surface Biofilm? J. Shellfish Res. 2010, 29, 671–678. [Google Scholar] [CrossRef]
- Liu, Q.H.; Yuan, L.; Li, Z.H.; Leung, K.M.Y.; Sheng, G.P. Natural Organic Matter Enhances Natural Transformation of Extracellular Antibiotic Resistance Genes in Sunlit Water. Environ. Sci. Technol. 2024, 58, 17990–17998. [Google Scholar] [CrossRef] [PubMed]
- Yang, X.; Song, W.; Yang, X.; Yang, T.; Bao, W.; Wang, C.; LI, J.; Zhong, S.; Jihang, Q.; Li, L.; et al. Microbial network structure, not plant and microbial community diversity, regulates multifunctionality under increased precipitation in a cold steppe. Front. Microbiol. 2023, 14, 1349747. [Google Scholar] [CrossRef]
- Sánchez-Lazo, C.; Martínez-Pita, I.; Young, T.; Alfaro, A.C. Induction of settlement in larvae of the mussel Mytilus galloprovincialis using neuroactive compounds. Aquaculture 2012, 344–349, 210–215. [Google Scholar] [CrossRef]
- Coon, S.L.; Bonar, D.B.; Weiner, R.M. Induction of settlement and metamorphosis of the pacific oyster, Crassostrea gigas (Thunberg), by L-DOPA and catecholamines. J. Exp. Mar. Biol. Ecol. 1985, 94, 211–221. [Google Scholar] [CrossRef]
- Mesías-Gansbiller, C.; Bendimerad, M.E.A.; Román, G.; Pazos, A.J.; Sánchez, J.L.; Pérez-Parallé, M.L. Settlement Behavior of Black Scallop Larvae (Chlamys varia, L.) in Response to GABA, Epinephrine and IBMX. J. Shellfish Res. 2008, 27, 261–264. [Google Scholar] [CrossRef]
- Katow, H.; Abe, K.; Katow, T.; Zamani, A.; Abe, H. Development of the GABA-ergic signaling system and its role in larval swimming in sea urchin. J. Exp. Biol. 2013, 216, 1704–1716. [Google Scholar] [CrossRef]
- Eyster, L.S.; Pechenik, J.A. Comparison of growth, respiration and feeding of juvenile Crepidula fornicata (L.) following natural or KCl-triggered metamorphosis. J. Exp. Mar. Biol. Ecol. 1988, 118, 269–279. [Google Scholar] [CrossRef]
- Nell, J.A.; Holliday, J.E. Effects of salinity on the growth and survival of Sydney rock oyster (Saccostrea commercialis) and Pacific oyster (Crassostrea gigas) larvae and spat. Aquaculture 1988, 68, 39–44. [Google Scholar] [CrossRef]
- Pearce, C.M.; Scheibling, R.E. Induction of metamorphosis of larval echinoids (Strongylocentrotus droebachiensis and Echinarachnius parma) by potassium chloride (KCl). Invertebr. Reprod. Dev. 1994, 26, 213–220. [Google Scholar] [CrossRef]
- Yu, X.; Yan, Y.; Li, H. The Effect of Chemical Cues on Larval Settlement of the Abalone, Haliotis diversicolor supertexta. J. World Aquac. Soc. 2010, 41, 626–632. [Google Scholar] [CrossRef]
- Mzozo, Z.B.; Hugo, S.; Vine, N.G. The use of chemical and biological settlement cues in enhancing the larval settlement of abalone (Haliotis midae): Implications for hatcheries and ocean ranching. J. World Aquac. Soc. 2023, 54, 1702–1717. [Google Scholar] [CrossRef]
- Conaco, C.; Neveu, P.; Zhou, H.; Arcila, M.L.; Degnan, S.M.; Degnan, B.M.; Kosik, K.S. Transcriptome profiling of the demosponge Amphimedon queenslandica reveals genome-wide events that accompany major life cycle transitions. BMC Genom. 2012, 13, 209. [Google Scholar] [CrossRef]
- Arshavsky, Y.L.; Gamkrelidze, G.N.; Orlovsky, G.N.; Panchin, Y.V.; Popova, L.B. Gamma-aminobutyric acid induces feeding behaviour in the marine mollusc, Clione limacina. Neuroreport 1991, 2, 169–172. [Google Scholar] [CrossRef]
- Wright, S.H. A Nutritional Role for Amino Acid Transport in Filter-Feeding Marine Invertebrates. Integr. Comp. Biol. 1982, 22, 621–634. [Google Scholar] [CrossRef]
- Clements, J.C.; Bishop, M.M.; Hunt, H.L. Elevated temperature has adverse effects on GABA-mediated avoidance behaviour to sediment acidification in a wide-ranging marine bivalve. Mar. Biol. 2017, 164, 53. [Google Scholar] [CrossRef]
- Joyce, A.; Vogeler, S. Molluscan bivalve settlement and metamorphosis: Neuroendocrine inducers and morphogenetic responses. Aquaculture 2018, 487, 64–82. [Google Scholar] [CrossRef]
- Roy, L.A.; Davis, D.A.; Saoud, I.P.; Henry, R.P. Effects of varying levels of aqueous potassium and magnesium on survival, growth, and respiration of the Pacific white shrimp, Litopenaeus vannamei, reared in low salinity waters. Aquaculture 2007, 262, 461–469. [Google Scholar] [CrossRef]
- Biscocho, D.; Cook, J.G.; Long, J.; Shah, N.; Leise, E.M. GABA is an inhibitory neurotransmitter in the neural circuit regulating metamorphosis in a marine snail. Dev. Neurobiol. 2018, 78, 736–753. [Google Scholar] [CrossRef]
- Taris, N.; Batista, F.M.; Boudry, P. Evidence of response to unintentional selection for faster development and inbreeding depression in Crassostrea gigas larvae. Aquaculture 2007, 272, S69–S79. [Google Scholar] [CrossRef]
- Galley, T.H.; Beaumont, A.R.; Le Vay, L.; King, J.W. Influence of exogenous chemicals on larval development and survival of the king scallop Pecten maximus (L.). Aquaculture 2017, 474, 48–56. [Google Scholar] [CrossRef]
- Giuliani, M.E.; Benedetti, M.; Arukwe, A.; Regoli, F. Transcriptional and catalytic responses of antioxidant and biotransformation pathways in mussels, Mytilus galloprovincialis, exposed to chemical mixtures. Aquat. Toxicol. 2013, 134–135, 120–127. [Google Scholar] [CrossRef] [PubMed]









| Treatment | Exposure Time | Mean Sr (±SD) | df_num | df_den | F | p-Value |
|---|---|---|---|---|---|---|
| GABA | 6 h | 36.57 ± 9.37 | 1 | 12.26 | 10.73 | 0.006 |
| 24 h | 14.93 ± 9.37 | |||||
| KCl | 6 h | 14.48 ± 8.93 | 1 | 7.06 | 0.11 | 0.75 ns |
| 24 h | 13.15 ± 4.15 |
| Settlement Rate (Sr) | Production Rate (Pr) | |||||||||
|---|---|---|---|---|---|---|---|---|---|---|
| Treatment | Mean Sr (±SD) 1 | df_num | df_den | F | p-Value | Mean Pr (±SD) 1 | df_num | df_den | F | p-Value |
| Control | 64.87 ± 9.75 b | 2 | 18.70 | 80.75 | 6.30 × 10−10 | 46.34 ± 6.97 b | 2 | 18.64 | 80.99 | 6.40 × 10−10 |
| Biofilm | 65.03 ± 15.16 b | 46.45 ± 15.15 b | ||||||||
| Chemical | 20.97 ± 15.27 a | 14.98 ± 6.97 a | ||||||||
| Treatment | Exposure Time | Mean Gr (±SD) | df_num | df_den | F | p-Value |
|---|---|---|---|---|---|---|
| GABA | 6 h | 17.27 ± 7.32 | 1 | 95.13 | 8.48 | 0.004 |
| 24 h | 13.09 ± 7.57 | |||||
| KCl | 6 h | 23.91 ± 7.22 | 1 | 60.11 | 41.33 | 2.31 × 10−8 |
| 24 h | 12.05 ± 7.40 |
| Treatment | Mean Gr (±SD) 1 | df_num | df_den | F | p-Value |
|---|---|---|---|---|---|
| Control | 6.80 ± 4.39 a | 3 | 71.77 | 28.97 | 2.20 × 10−12 |
| Biofilm | 11.35 ± 6.73 ab | ||||
| GABA | 15.54 ± 7.67 bc | ||||
| KCl | 18.26 ± 9.39 c |
Disclaimer/Publisher’s Note: The statements, opinions and data contained in all publications are solely those of the individual author(s) and contributor(s) and not of MDPI and/or the editor(s). MDPI and/or the editor(s) disclaim responsibility for any injury to people or property resulting from any ideas, methods, instructions or products referred to in the content. |
© 2025 by the authors. Licensee MDPI, Basel, Switzerland. This article is an open access article distributed under the terms and conditions of the Creative Commons Attribution (CC BY) license.
Share and Cite
Janah, H.; Ouagajjou, Y.; Aghzar, A.; Presa, P. Settlement and Growth of Mytilus galloprovincialis Pediveliger Larvae in Response to Biofilm-Based Microalgae and Chemical Neuroactive Compounds. Biology 2026, 15, 10. https://doi.org/10.3390/biology15010010
Janah H, Ouagajjou Y, Aghzar A, Presa P. Settlement and Growth of Mytilus galloprovincialis Pediveliger Larvae in Response to Biofilm-Based Microalgae and Chemical Neuroactive Compounds. Biology. 2026; 15(1):10. https://doi.org/10.3390/biology15010010
Chicago/Turabian StyleJanah, Hafsa, Yassine Ouagajjou, Adil Aghzar, and Pablo Presa. 2026. "Settlement and Growth of Mytilus galloprovincialis Pediveliger Larvae in Response to Biofilm-Based Microalgae and Chemical Neuroactive Compounds" Biology 15, no. 1: 10. https://doi.org/10.3390/biology15010010
APA StyleJanah, H., Ouagajjou, Y., Aghzar, A., & Presa, P. (2026). Settlement and Growth of Mytilus galloprovincialis Pediveliger Larvae in Response to Biofilm-Based Microalgae and Chemical Neuroactive Compounds. Biology, 15(1), 10. https://doi.org/10.3390/biology15010010

