Environmental DNA Metabarcoding Reveals Divergent Patterns of Biodiversity, Community Assembly, and Environmental Sensitivity Across Taxa in Adjacent Rivers
Simple Summary
Abstract
1. Introduction
2. Materials and Methods
2.1. Sample Collection and Acquisition of Spatial and Environmental Variables
2.2. eDNA Extraction, PCR Amplification, and High-Throughput Sequencing
2.3. Bioinformatic Analysis
2.4. Statistical Analysis
2.4.1. α- and β-Diversity Analysis
2.4.2. Analysis of Community Assembly Mechanisms and Environmental Responses
3. Results
3.1. Differences in Land Use and Water Environment Between Adjacent Rivers
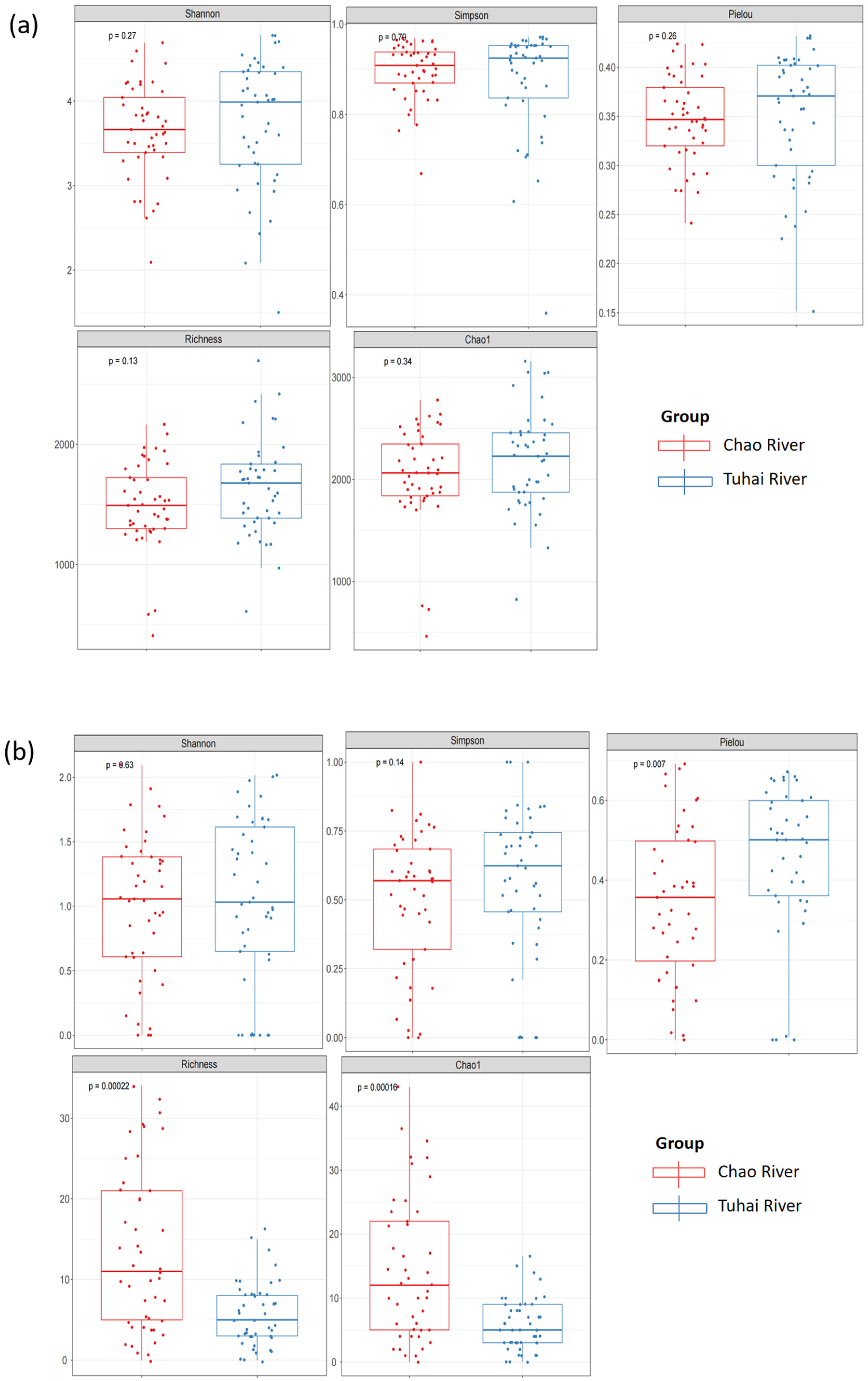
3.2. Community Composition and α-Diversity Based on eDNA Metabarcoding
3.3. β-Diversity and Community Assembly Processes
3.4. Environmental Responses Vary Across Different Trophic Levels
4. Discussion
4.1. Minimal Inter-River Variation in α-Diversity Despite Contrasting Environmental Conditions
4.2. Phytoplankton Communities Show Stronger River-Specific Differentiation and Spatial Turnover Under Contrasting Environmental Conditions
4.3. In Small-Scale Watersheds, Stochastic and Deterministic Processes, Respectively, Dominate Plankton and Fish Community Assembly
4.4. Different Biological Communities Exhibit Varying Sensitivities and Response Ranges to Aquatic Environmental Conditions
5. Conclusions
Supplementary Materials
Author Contributions
Funding
Institutional Review Board Statement
Informed Consent Statement
Data Availability Statement
Conflicts of Interest
References
- Lu, L.; Tang, Q.; Li, H.; Li, Z. Damming River Shapes Distinct Patterns and Processes of Planktonic Bacterial and Microeukaryotic Communities. Environ. Microbiol. 2022, 24, 1760–1774. [Google Scholar] [CrossRef]
- Martinuzzi, S.; Januchowski-Hartley, S.R.; Pracheil, B.M.; McIntyre, P.B.; Plantinga, A.J.; Lewis, D.J.; Radeloff, V.C. Threats and Opportunities for Freshwater Conservation under Future Land Use Change Scenarios in the United States. Glob. Change Biol. 2013, 20, 113–124. [Google Scholar] [CrossRef]
- Dudgeon, D.; Arthington, A.H.; Gessner, M.O.; Kawabata, Z.-I.; Knowler, D.J.; Leveque, C.; Naiman, R.J.; Prieur-Richard, A.-H.; Soto, D.; Stiassny, M.L.J.; et al. Freshwater Biodiversity: Importance, Threats, Status and Conservation Challenges. Biol. Rev. 2006, 81, 163–182. [Google Scholar] [CrossRef]
- Shen, J.; Qin, G.; Yu, R.; Zhao, Y.; Yang, J.; An, S.; Liu, R.; Leng, X.; Wan, Y. Urbanization Has Changed the Distribution Pattern of Zooplankton Species Diversity and the Structure of Functional Groups. Ecol. Indic. 2021, 120, 106944. [Google Scholar] [CrossRef]
- Gu, Q.; Hu, H.; Ma, L.; Sheng, L.; Yang, S.; Zhang, X.; Zhang, M.; Zheng, K.; Chen, L. Characterizing the Spatial Variations of the Relationship between Land Use and Surface Water Quality Using Self-Organizing Map Approach. Ecol. Indic. 2019, 102, 633–643. [Google Scholar] [CrossRef]
- Qin, S.; Li, F.; Zou, Y.; Xue, J.; Zhang, Y.; Yang, Z. eDNA-Based Diversity and Multitrophic Network Reveal the Effects of Land Use and Pollutants on the Subtropical Dongjiang River Systems. Environ. Pollut. 2023, 334, 122157. [Google Scholar] [CrossRef]
- Doherty, T.S.; Hays, G.C.; Driscoll, D.A. Human Disturbance Causes Widespread Disruption of Animal Movement. Nat. Ecol. Evol. 2021, 5, 513–519. [Google Scholar] [CrossRef]
- Silvertown, J. Plant Coexistence and the Niche. Trends Ecol. Evol. 2004, 19, 605–611. [Google Scholar] [CrossRef]
- Rosindell, J.; Hubbell, S.P.; Etienne, R.S. The Unified Neutral Theory of Biodiversity and Biogeography at Age Ten. Trends Ecol. Evol. 2011, 26, 340–348. [Google Scholar] [CrossRef]
- Heino, J.; Melo, A.S.; Siqueira, T.; Soininen, J.; Valanko, S.; Bini, L.M. Metacommunity Organisation, Spatial Extent and Dispersal in Aquatic Systems: Patterns, Processes and Prospects. Freshw. Biol. 2014, 60, 845–869. [Google Scholar] [CrossRef]
- Wang, S.; Gu, S.; Zhang, Y.; Deng, Y.; Qiu, W.; Sun, Q.; Zhang, T.; Wang, P.; Yan, Z. Microeukaryotic Plankton Community Dynamics under Ecological Water Replenishment: Insights from eDNA Metabarcoding. Environ. Sci. Ecotechnol. 2024, 20, 100409. [Google Scholar] [CrossRef]
- Reynolds, C.S. The Ecology of Phytoplankton, 1st ed.; Cambridge University Press: Cambridge, UK, 2006; ISBN 978-0-521-60519-9. [Google Scholar]
- Zhou, J.; Qin, B.; Zhu, G.; Zhang, Y.; Gao, G. Long-Term Variation of Zooplankton Communities in a Large, Heterogenous Lake: Implications for Future Environmental Change Scenarios. Environ. Res. 2020, 187, 109704. [Google Scholar] [CrossRef]
- Hou, T.; Lu, S.; Shao, J.; Dong, X.; Yang, Z.; Yang, Y.; Yao, D.; Lin, Y. Assessment of Planktonic Community Diversity and Stability in Lakes and Reservoirs Based on eDNA Metabarcoding—A Case Study of Minghu National Wetland Park, China. Environ. Res. 2025, 271, 121025. [Google Scholar] [CrossRef] [PubMed]
- Villeger, S.; Brosse, S.; Mouchet, M.; Mouillot, D.; Vanni, M.J. Functional Ecology of Fish: Current Approaches and Future Challenges. Aquat. Sci. 2017, 79, 783–801. [Google Scholar] [CrossRef]
- Reynolds, C.S.; Huszar, V.; Kruk, C.; Naselli-Flores, L.; Melo, S. Towards a Functional Classification of the Freshwater Phytoplankton. J. Plankton Res. 2002, 24, 417–428. [Google Scholar] [CrossRef]
- Venello, T.A.; Sastri, A.R.; Galbraith, M.D.; Dower, J.F. Zooplankton Functional Group Responses to Environmental Drivers off the West Coast of Vancouver Island, Canada. Prog. Oceanogr. 2021, 190, 102482. [Google Scholar] [CrossRef]
- Koning, A.A.; Perales, K.M.; Fluet-Chouinard, E.; McIntyre, P.B. A Network of Grassroots Reserves Protects Tropical River Fish Diversity. Nature 2020, 588, 631–635. [Google Scholar] [CrossRef]
- Zhang, X. Environmental DNA Shaping a New Era of Ecotoxicological Research. Environ. Sci. Technol. 2019, 53, 5605–5612. [Google Scholar] [CrossRef] [PubMed]
- Chen, J.; Wang, S.; Yan, Z.; Zhao, X.; Feng, M.; Wang, J.; Zhou, Q. eDNA of Zooplankton Reveals the Ecological Community Thresholds for Key Environmental Factors in the Baiyangdian Lake Aquatic Ecosystem. Environ. Sci. Eur. 2023, 35, 56. [Google Scholar] [CrossRef]
- GB 3838-2002; Environmental Quality Standards for Surface Water. National Standards of the People’s Republic of China: Beijing, China, 2002.
- Miya, M.; Sato, Y.; Fukunaga, T.; Sado, T.; Poulsen, J.Y.; Sato, K.; Minamoto, T.; Yamamoto, S.; Yamanaka, H.; Araki, H.; et al. MiFish, a Set of Universal PCR Primers for Metabarcoding Environmental DNA from Fishes: Detection of More than 230 Subtropical Marine Species. R. Soc. Open Sci. 2015, 2, 150088. [Google Scholar] [CrossRef]
- Omoregie, E.O.; Crumbliss, L.L.; Bebout, B.M.; Zehr, J.P. Determination of Nitrogen-Fixing Phylotypes in Lyngbya sp. and Microcoleuschthonoplastes Cyanobacterial Mats from Guerrero Negro, Baja California, Mexico. Appl. Environ. Microbiol. 2004, 70, 2119–2128. [Google Scholar] [CrossRef]
- Sloan, W.T.; Lunn, M.; Woodcock, S.; Head, I.M.; Nee, S.; Curtis, T.P. Quantifying the Roles of Immigration and Chance in Shaping Prokaryote Community Structure. Environ. Microbiol. 2006, 8, 732–740. [Google Scholar] [CrossRef]
- Provost, G.L.; Badenhausser, I.; Bagousse-Pinguet, Y.L.; Clough, Y.; Henckel, L.; Violle, C.; Bretagnolle, V.; Roncoroni, M.; Manning, P.; Gross, N. Land-Use History Impacts Functional Diversity across Multiple Trophic Groups. Proc. Natl. Acad. Sci. USA 2020, 117, 1573–1579. [Google Scholar] [CrossRef]
- Yang, J.; Zhang, X.; Xie, Y.; Song, C.; Sun, J.; Zhang, Y.; Giesy, J.P.; Yu, H. Ecogenomics of Zooplankton Community Reveals Ecological Threshold of Ammonia Nitrogen. Environ. Sci. Technol. 2017, 51, 3057–3064. [Google Scholar] [CrossRef]
- Xiong, W.; Li, J.; Chen, Y.; Shan, B.; Wang, W.; Zhan, A. Determinants of Community Structure of Zooplankton in Heavily Polluted River Ecosystems. Sci. Rep. 2016, 6, 22043. [Google Scholar] [CrossRef]
- Xiong, W.; Ni, P.; Chen, Y.; Gao, Y.; Shan, B.; Zhan, A. Zooplankton Community Structure along a Pollution Gradient at Fine Geographical Scales in River Ecosystems: The Importance of Species Sorting over Dispersal. Mol. Ecol. 2017, 26, 4351–4360. [Google Scholar] [CrossRef]
- King, R.S.; Baker, M.E. Considerations for Analyzing Ecological Community Thresholds in Response to Anthropogenic Environmental Gradients. J. N. Am. Benthol. Soc. 2010, 29, 998–1008. [Google Scholar] [CrossRef]
- Li, F.; Peng, Y.; Fang, W.; Altermatt, F.; Xie, Y.; Yang, J.; Zhang, X. Application of Environmental DNA Metabarcoding for Predicting Anthropogenic Pollution in Rivers. Environ. Sci. Technol. 2018, 52, 11708–11719. [Google Scholar] [CrossRef] [PubMed]
- Li, F.; Qin, S.; Wang, Z.; Zhang, Y.; Yang, Z. Environmental DNA Metabarcoding Reveals the Impact of Different Land Use on Multitrophic Biodiversity in Riverine Systems. Sci. Total Environ. 2023, 855, 158958. [Google Scholar] [CrossRef] [PubMed]
- Li, Y.; Yang, J.; Wang, Y.; Wu, H.; Ma, Y.; Wu, F.; Wang, D.; Wang, J. Sediment eDNA Reveals Damming Triggered Changes in Algal and Fish Communities at the Three Gorges Reservoir in China. Environ. Res. 2025, 276, 121474. [Google Scholar] [CrossRef] [PubMed]
- Du, C.; Zhao, F.; Shang, G.; Wang, L.; Jeppesen, E.; Zhang, L.; Zhang, W.; Fang, X. Ammonia Influences the Zooplankton Assemblage and Beta Diversity Patterns in Complicated Urban River Ecosystems. Water 2023, 15, 1449. [Google Scholar] [CrossRef]
- Leibold, M.A.; Holyoak, M.; Mouquet, N.; Amarasekare, P.; Chase, J.M.; Hoopes, M.F.; Holt, R.D.; Shurin, J.B.; Law, R.; Tilman, D.; et al. The Metacommunity Concept: A Framework for Multi-Scale Community Ecology. Ecol. Lett. 2004, 7, 601–613. [Google Scholar] [CrossRef]
- Xia, Z.; Heino, J.; Wang, J.; Chang, T.; Li, M. Niche Position Accounts for the Positive Occupancy–Abundance Relationship of Lake Fishes. J. Biogeogr. 2024, 51, 1374–1386. [Google Scholar] [CrossRef]
- Krashchuk, L.S.; Shimaraeva, S.V.; Silow, E.A. Spatiotemporal Changes in the Phytoplankton in Lake Baikal during Late Summer: I. Water Temperature and Phytoplankton Abundance. Inland Water Biol. 2020, 13, 31–40. [Google Scholar] [CrossRef]
- Gu, S.; Deng, Y.; Wang, P.; Li, C.; Shi, D.; Wang, S. Assessing Riverine Fish Community Diversity and Stability by eDNA Metabarcoding. Ecol. Indic. 2023, 157, 111222. [Google Scholar] [CrossRef]
- Lu, Q.; Zhang, S.-Y.; Du, J.; Liu, Q.; Dong, C.; Zhao, J.; Wang, Y.; Yao, M. Multi-Group Biodiversity Distributions and Drivers of Metacommunity Organization along a Glacial–Fluvial–Limnic Pathway on the Tibetan Plateau. Environ. Res. 2023, 220, 115236. [Google Scholar] [CrossRef] [PubMed]
- Li, M.; Cheng, X.; Li, S.; Li, B.; Ma, L.; Chen, X. Human Activities Strengthen the Influence of Deterministic Processes in the Mechanisms of Fish Community Assembly in Tropical Rivers of Yunnan, China. J. Environ. Manag. 2024, 368, 122131. [Google Scholar] [CrossRef]
- Chang, C.; Ren, M.; Wang, H.; Ye, S.; Tang, X.; He, D.; Hu, E.; Li, M.; Pan, B. Riverine Network Size Determined Major Driving Factors of the Composition and Diversity of Aquatic Invertebrate Communities in a Multi-Tributary Mountain River Basin. Water Res. 2025, 276, 123257. [Google Scholar] [CrossRef]
- Xu, H.; Zou, W.; Zhu, G.; Qiu, Y.; Li, H.; Zhu, M.; Paerl, H.W.; Wu, Z.; Qin, B.; Zhang, Y. Impoundment-Induced Stoichiometric Imbalance Exacerbated Phosphorus Limitation in a Deep Subtropical Reservoir: Implications for Eutrophication Management. Water Res. 2025, 269, 122787. [Google Scholar] [CrossRef]
- Davis, B.E.; Hansen, M.J.; Cocherell, D.E.; Nguyen, T.X.; Sommer, T.; Baxter, R.D.; Fangue, N.A.; Todgham, A.E. Consequences of Temperature and Temperature Variability on Swimming Activity, Group Structure, and Predation of Endangered Delta Smelt. Freshw. Biol. 2019, 64, 2156–2175. [Google Scholar] [CrossRef]
- Zheng, B.; Zhou, L.; Wang, J.; Dong, P.; Zhao, T.; Deng, Y.; Song, L.; Shi, J.; Wu, Z. The Shifts in Microbial Interactions and Gene Expression Caused by Temperature and Nutrient Loading Influence Raphidiopsis Raciborskii Blooms. Water Res. 2025, 268, 122725. [Google Scholar] [CrossRef] [PubMed]









Disclaimer/Publisher’s Note: The statements, opinions and data contained in all publications are solely those of the individual author(s) and contributor(s) and not of MDPI and/or the editor(s). MDPI and/or the editor(s) disclaim responsibility for any injury to people or property resulting from any ideas, methods, instructions or products referred to in the content. |
© 2025 by the authors. Licensee MDPI, Basel, Switzerland. This article is an open access article distributed under the terms and conditions of the Creative Commons Attribution (CC BY) license (https://creativecommons.org/licenses/by/4.0/).
Share and Cite
Wei, Y.; Zhang, J.; Wang, S.; Tian, Z.; Lin, X.; Yu, Y.; Bai, Y. Environmental DNA Metabarcoding Reveals Divergent Patterns of Biodiversity, Community Assembly, and Environmental Sensitivity Across Taxa in Adjacent Rivers. Biology 2025, 14, 1796. https://doi.org/10.3390/biology14121796
Wei Y, Zhang J, Wang S, Tian Z, Lin X, Yu Y, Bai Y. Environmental DNA Metabarcoding Reveals Divergent Patterns of Biodiversity, Community Assembly, and Environmental Sensitivity Across Taxa in Adjacent Rivers. Biology. 2025; 14(12):1796. https://doi.org/10.3390/biology14121796
Chicago/Turabian StyleWei, Yimei, Jingwei Zhang, Shuping Wang, Zhenjun Tian, Xiaolong Lin, Yongkun Yu, and Yangwei Bai. 2025. "Environmental DNA Metabarcoding Reveals Divergent Patterns of Biodiversity, Community Assembly, and Environmental Sensitivity Across Taxa in Adjacent Rivers" Biology 14, no. 12: 1796. https://doi.org/10.3390/biology14121796
APA StyleWei, Y., Zhang, J., Wang, S., Tian, Z., Lin, X., Yu, Y., & Bai, Y. (2025). Environmental DNA Metabarcoding Reveals Divergent Patterns of Biodiversity, Community Assembly, and Environmental Sensitivity Across Taxa in Adjacent Rivers. Biology, 14(12), 1796. https://doi.org/10.3390/biology14121796

