Comparative Transcriptomics as a Key to Understanding the Adaptation Mechanisms of Baikal Sculpins to the Deep-Water Habitat
Simple Summary
Abstract
1. Introduction
2. Materials and Methods
2.1. Field Sampling and Trawl Operations
2.2. RNA Extraction and Subsequent Preparation
2.3. Library Construction and Sequencing
2.4. De Novo Assembly and Differential Gene Expression Analysis
2.5. Validation of Transcriptomic Data via qPCR
3. Results
3.1. Transcriptome Sequencing and De Novo Assembly
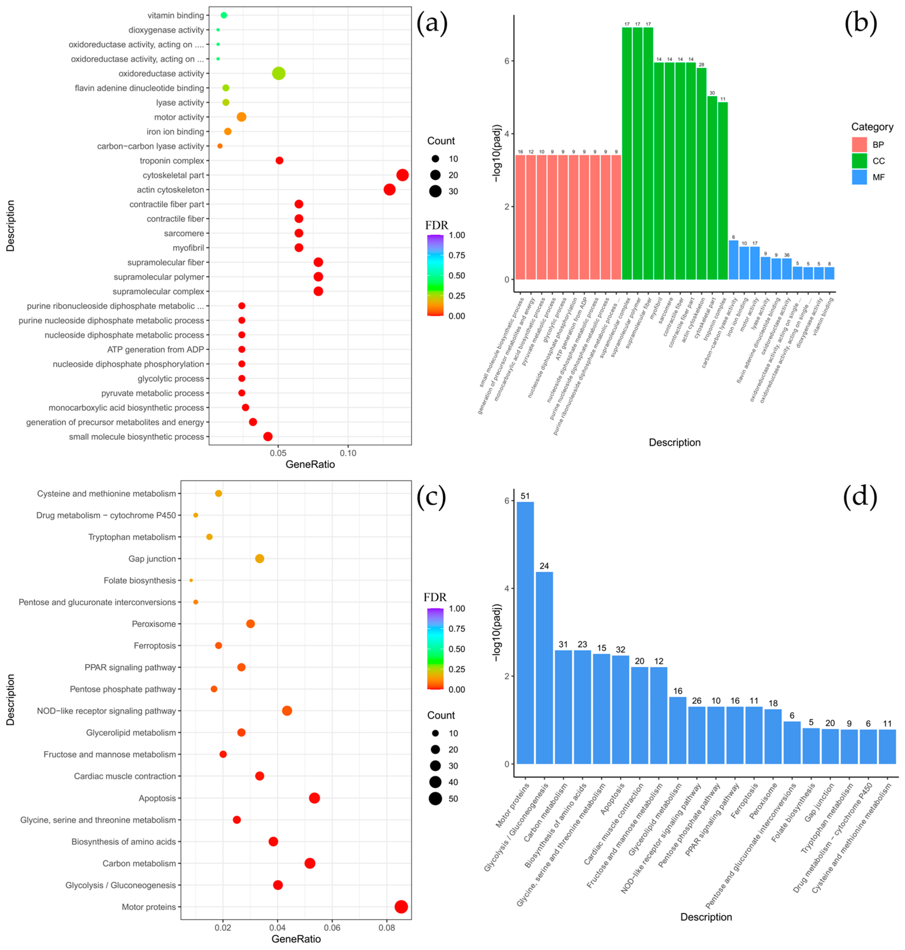
3.2. GO and KEGG Analysis of DEGs


3.3. Analysis of Top-DEGs: Key Metabolic and Structural Genes
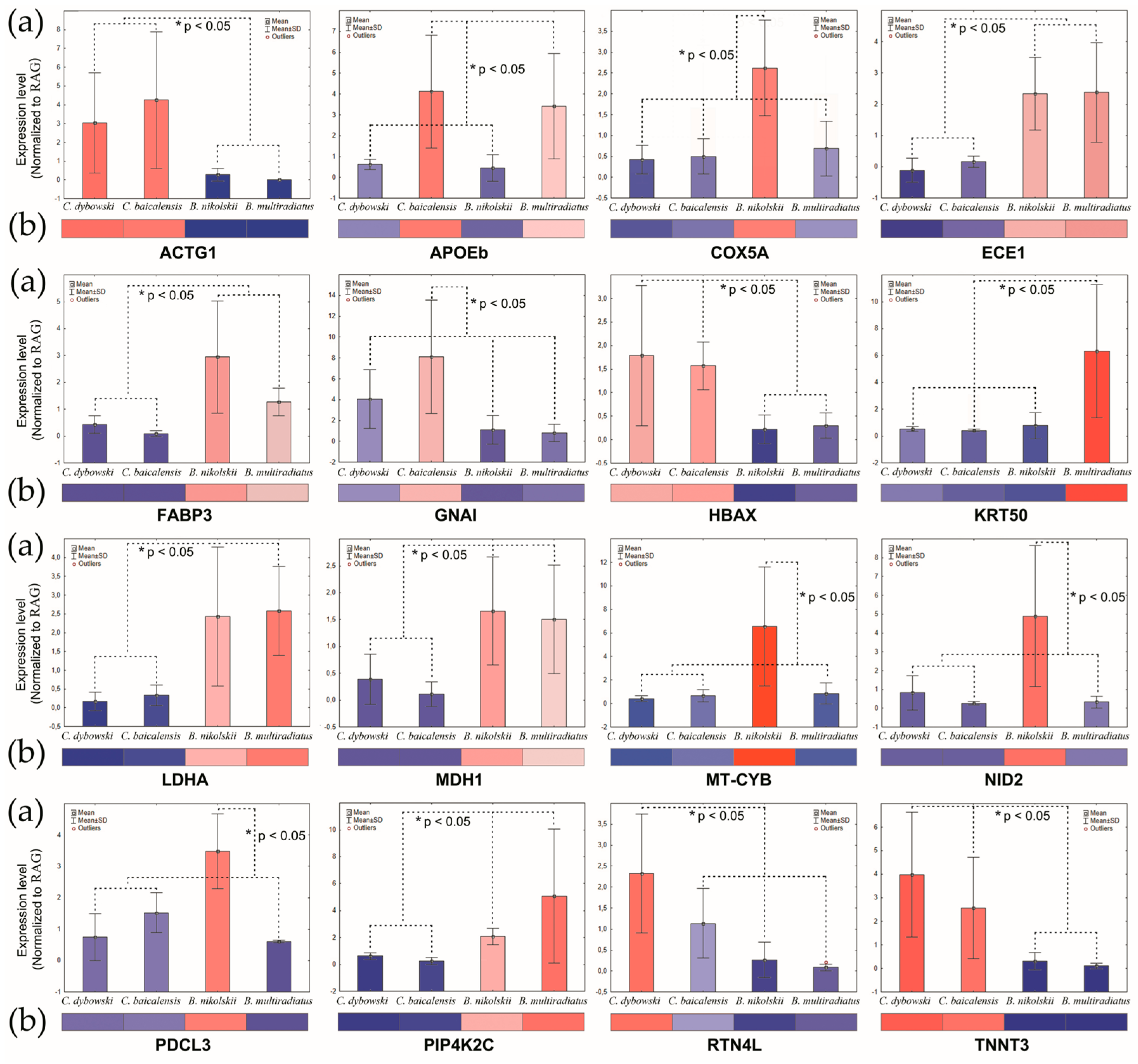
3.4. Validation of Transcriptomic Data via qPCR
4. Discussion
4.1. The Pelagic Signature: Rewiring Musculoskeletal and Metabolic Systems for a Life in the Water Column
4.2. The Benthic Blueprint: Metabolic Flexibility and Cellular Resilience in the Abyssal Zone
4.3. Parallel Paths in Adaptation: Baikal Sculpins in a Global Context
5. Conclusions
Supplementary Materials
Author Contributions
Funding
Institutional Review Board Statement
Informed Consent Statement
Data Availability Statement
Acknowledgments
Conflicts of Interest
Appendix A






References
- Kontula, T.; Kirilchik, S.V.; Väinölä, R. Endemic diversification of the monophyletic cottoid fish species flock in Lake Baikal explored with mtDNA sequencing. Mol. Phylogenet. Evol. 2003, 27, 143–155. [Google Scholar] [CrossRef]
- Sandel, M.W.; Aguilar, A.; Kirilchik, S.; Neely, D.A.; Bogdanov, B.E.; Fast, K.M.; Millwood, J.D. Sink or swim: Phylogenomic analysis of Baikal sculpins reveals multiple transformations to pelagic, bathybenthic, and lotic ecomorphologies. Mol. Phylogenet. Evol. 2025, 213, 108451. [Google Scholar] [CrossRef]
- Sideleva, V.G. The Endemic Fishes of Lake Baikal; Backhuys Publishers: Leiden, The Netherlands, 2003; p. 270. [Google Scholar]
- Kirilchik, S.V.; Slobodyanyuk, S.Y. Evolution of the cytochrome b gene fragment from mitochondrial DNA in some Baikalian and non-Baikalian Cottoidei fishes. Mol. Biol. 1997, 31, 141–148. [Google Scholar]
- Bogdanov, B.E. The Sculpins (Perciformes: Cottidae) of Lake Baikal and Baikal region: Updated checklist with the description of new tax. Limnol. Freshw. Biol. 2023, 6, 63–95. [Google Scholar] [CrossRef]
- Taliev, D.N. Baikal Sculpin Gobies (Cottoidei); Publishing House of the USSR Academy of Sciences: Moscow-Leningrad, Russia, 1955; p. 604. [Google Scholar]
- Koryakov, E.A. Pelagic Sculpins of Baikal; USSR Academy of Sciences, Siberian Branch, Limnological Institute: Moscow, Russia, 1972; p. 156. [Google Scholar]
- Starikov, G.V. Baikal Oilfishes; Pastukhov, V.D., Ed.; USSR Academy of Sciences, Siberian Branch, Limnological Institute; Nauka: Novosibirsk, Russia, 1977; p. 95. [Google Scholar]
- Teterina, V.; Bogdanov, B.; Kirilchik, S. Complete mitochondrial genomes and phylogenetic analysis of four Baikal endemic Batrachocottus species (Scorpaeniformes: Cottoidei). Mitochondrial DNA B Resour. 2022, 7, 123–124. [Google Scholar] [CrossRef]
- Dzyuba, E.M.; Belkova, N.L.; Denikina, N.N. A Study of the Intestinal Microbiomes of the Lake Baikal Oilfishes (Cottoidei, Comephoridae). Biol. Bull. Russ. Acad. Sci. 2016, 6, 658–662. [Google Scholar] [CrossRef]
- Sapozhnikova, Y.P.; Klimenkov, I.V.; Khanaev, I.V.; Makarov, M.M.; Belous, A.A. Ultrastructure of saccular epithelium sensory cells of four sculpin fish species (Cottoidei) of Lake Baikal in relation to their way of life. J. Ichthyol. 2016, 56, 289–297. [Google Scholar] [CrossRef]
- Sapozhnikova, Y.P.; Koroleva, A.G.; Yakhnenko, V.M.; Khanaev, I.V.; Glyzina, O.Y.; Avezova, T.N.; Volkova, A.A.; Mushinskaya, A.V.; Tyagun, M.L.; Shagun, A.N.; et al. Sex Associated Effects of Noise Pollution in Stone Sculpin (Paracottus knerii) as a Model Object in the Context of Human-Induced Rapid Environmental Change. Biology 2021, 10, 1063. [Google Scholar] [CrossRef] [PubMed]
- Yakhnenko, V.M.; Klimenkov, I.V.; Sudakov, N.P.; Kirilchik, S.V.; Nebesnykh, I.A.; Khanaev, I.V. Organization of blood oxygen transport system for cottoid fishes of Lake Baikal. Limnol. Freshw. Biol. 2020, 4, 826–827. [Google Scholar] [CrossRef]
- Anoshko, P.N.; Makarov, M.M. Length-weight relationships of Baikal oilfish (Cottoidei: Comephorus). Limnol. Freshw. Biol. 2022, 6, 1720–1723. [Google Scholar] [CrossRef]
- Sideleva, V.G.; Sitnikova, T.Y. Differentiation of communities of macroinvertebrates and cottoid fish associated with methane seeps of different bottom landscapes of Lake Baikal. Proc. Zool. Inst. RAS 2021, 325, 469–484. [Google Scholar] [CrossRef]
- Sakirko, M.V.; Domysheva, V.M. Interannual dynamics of dissolved gases and biogenic elements in the pelagic of Lake Baikal. In Monitoring the State and Pollution of the Environment: Surface Climate, Pollutants, and Climate-Active Substances; IGKE: Moscow, Russia, 2023; pp. 299–303. [Google Scholar]
- Gorovits, B.M.; Horowitz, P.M. High hydrostatic pressure can reverse aggregation of protein folding intermediates and facilitate acquisition of native structure. Biochemistry 1998, 37, 6132–6135. [Google Scholar] [CrossRef] [PubMed]
- Treberg, J.R.; Driedzic, W.R. Elevated levels of trimethylamine oxide in deep-sea fish: Evidence for synthesis and intertissue physiological importance. J. Exp. Zool. 2002, 293, 39–45. [Google Scholar] [CrossRef] [PubMed]
- Downing, A.B.; Wallace, G.T.; Yancey, P.H. Organic osmolytes of amphipods from littoral to hadal zones: Increases with depth in trimethylamine N-oxide, scyllo-inositol and other potential pressure counteractants. Deep Sea Res. Part I Oceanogr. Res. Pap. 2018, 138, 1–10. [Google Scholar] [CrossRef]
- Palstra, A.P.; Beltran, S.; Burgerhout, E.; Brittijn, S.A.; Magnoni, L.J.; Henkel, C.V.; Jansen, H.J.; van den Thillart, G.E.E.J.M.; Spaink, H.P.; Planas, J.V. Deep RNA sequencing of the skeletal muscle transcriptome in swimming fish. PLoS ONE 2013, 8, e53171. [Google Scholar] [CrossRef]
- Brachmann, M.K.; Parsons, K.; Skúlason, S.; Gaggiotti, O.; Ferguson, M. Variation in the genomic basis of parallel phenotypic and ecological divergence in benthic and pelagic morphs of Icelandic Arctic charr (Salvelinus alpinus). Mol. Ecol. 2022, 31, 4688–4706. [Google Scholar] [CrossRef]
- Stefanni, S.; Bettencourt, R.; Pinheiro, M.; De Moro, G.; Bongiorni, L.; Pallavicini, A. Transcriptome of the Deep-Sea Black Scabbardfish, Aphanopus carbo (Perciformes: Trichiuridae): Tissue-Specific Expression Patterns and Candidate Genes Associated to Depth Adaptation. Int. J. Genom. 2014, 2014, 267482. [Google Scholar] [CrossRef]
- Lan, Y.; Sun, J.; Xu, T.; Chen, Z.; Tian, Y.; Zhang, P.; Sun, Y.; Zhang, X.; Zhou, Y.; Zhang, H.; et al. De novo transcriptome assembly and positive selection analysis of an individual deep-sea fish. BMC Genom. 2018, 19, 394. [Google Scholar] [CrossRef]
- Burns, J.A.; Daniels, J.; Becker, K.P.; Casagrande, D.; Roberts, P.; Orenstein, E.C.; Vogt, D.M.; Teoh, Z.E.; Wood, R.; Yin, A.H.; et al. Transcriptome sequencing of seven deep marine invertebrates. Sci. Data 2024, 11, 679. [Google Scholar] [CrossRef]
- Zhang, H.; Yao, G.; He, M. Transcriptome analysis of gene expression profiling from the deep sea in situ to the laboratory for the cold seep mussel Gigantidas haimaensis. BMC Genom. 2022, 23, 828. [Google Scholar] [CrossRef]
- Zhong, Z.; Guo, Y.; Zhou, L.; Chen, H.; Lian, C.; Wang, H.; Zhang, H.; Cao, L.; Sun, Y.; Wang, M.; et al. Transcriptomic responses and evolutionary insights of deep-sea and shallow-water mussels under high hydrostatic pressure condition. Sci. Total Environ. 2024, 949, 175185. [Google Scholar] [CrossRef]
- Bogdanov, B.E. Phenetic relations and the problem of species identification of sculpins of the genus Batrachocottus (Pisces: Cottidae). Hydrobiol. J. 2016, 52, 45–53. [Google Scholar] [CrossRef]
- Kozhova, O.M.; Sidelev, G.N.; Rezenkov, N.C. Observations of planktonic and nektobenthic communities. In Geological, Geomorphological and Underwater Research of Lake Baikal; Nauka: Moscow, Russia, 1979; pp. 87–91. [Google Scholar]
- Jakubowski, M.; Tugarina, P.Y.; Zuwała, K. Pectoral fin development in the Baikalian viviparous golomyankas (Comephoridae; Cottoidei), with a remark on eggs and embryos of Comephorus baicalensis (Pallas). J. Anat. 2003, 203, 317–322. [Google Scholar] [CrossRef]
- Gao, K.; Wang, Z.; Zhou, X.; Wang, H.; Kong, D.; Jiang, C.; Wang, X.; Jiang, Z.; Qiu, X. Comparative transcriptome analysis of fast twitch muscle and slow twitch muscle in Takifugu rubripes. Comp. Biochem. Physiol. Part D Genom. Proteom. 2017, 24, 79–88. [Google Scholar] [CrossRef]
- Bolger, A.M.; Lohse, M.; Usadel, B. Trimmomatic: A flexible trimmer for Illumina sequence data. Bioinformatics 2014, 30, 2114–2120. [Google Scholar] [CrossRef]
- Haas, B.; Papanicolaou, A.; Yassour, M.; Grabherr, M.; Blood, P.D.; Bowden, J.; Couger, M.B.; Eccles, D.; Li, B.; Lieber, M.; et al. De novo transcript sequence reconstruction from RNA-seq using the Trinity platform for reference generation and analysis. Nat. Protoc. 2013, 8, 1494–1512. [Google Scholar] [CrossRef] [PubMed]
- Li, W.; Godzik, A. Cd-hit: A fast program for clustering and comparing large sets of protein or nucleotide sequences. Bioinformatics 2006, 22, 1658–1659. [Google Scholar] [CrossRef] [PubMed]
- Patro, R.; Duggal, G.; Love, M.; Irizarry, R.A.; Kingsford, C. Salmon provides fast and bias-aware quantification of transcript expression. Nat. Methods 2017, 14, 417–419. [Google Scholar] [CrossRef] [PubMed]
- Chen, Y.; Lun, A.T.L.; Smyth, G.K. From reads to genes to pathways: Differential expression analysis of RNA-Seq experiments using Rsubread and the edgeR quasi-likelihood pipeline. F1000Research 2016, 5, 1438. [Google Scholar] [CrossRef]
- Robinson, M.D.; McCarthy, D.J.; Smyth, G.K. edgeR: A Bioconductor package for differential expression analysis of digital gene expression data. Bioinformatics 2010, 26, 139–140. [Google Scholar] [CrossRef]
- Gibbons, F.D.; Roth, F. Judging the quality of gene expression-based clustering methods using gene annotation. Genome Res. 2002, 12, 1574–1581. [Google Scholar] [CrossRef]
- Huerta-Cepas, J.; Szklarczyk, D.; Heller, D.; Hernández-Plaza, A.; Forslund, S.K.; Cook, H.; Mende, D.R.; Letunic, I.; Rattei, T.; Jensen, L.J.; et al. eggNOG 5.0: A hierarchical, functionally and phylogenetically annotated orthology resource based on 5090 organisms and 2502 viruses. Nucleic Acids Res. 2019, 47, D309–D314. [Google Scholar] [CrossRef]
- Bu, D.; Luo, H.; Huo, P.; Wang, Z.; Zhang, S.; He, Z.; Wu, Y.; Zhao, L.; Liu, J.; Guo, J.; et al. KOBAS-i: Intelligent prioritization and exploratory visualization of biological functions for gene enrichment analysis. Nucleic Acids Res. 2021, 49, W317–W325. [Google Scholar] [CrossRef]
- Bustin, S.A.; Benes, V.; Garson, J.A.; Hellemans, J.; Huggett, J.; Kubista, M.; Mueller, R.; Nolan, T.; Pfaffl, M.W.; Shipley, G.L.; et al. The MIQE Guidelines: Minimum Information for Publication of Quantitative Real-Time PCR Experiments. Clin. Chem. 2009, 55, 611–622. [Google Scholar] [CrossRef]
- Jakubowski, M. Gill structure and morphometry of its respiratory components in the Baikalian golomyankas (Comephoridae; Cottoidei; Pisces). J. Morphol. 1996, 228, 19–26. [Google Scholar] [CrossRef]
- Aaskov, M.L.; Ishimatsu, A.; Nyengaard, J.R.; Malte, H.; Lauridsen, H.; Ha, N.T.K.; Huong, D.T.T.; Bayley, M. Modulation of gill surface area does not correlate with oxygen loss in Chitala ornata. Proc. Biol. Sci. 2024, 291, 20241884. [Google Scholar] [CrossRef]
- Reshetnikov, Y.S. Atlas of Freshwater Fish of Russia; Science: Moscow, Russia, 2003; p. 379. [Google Scholar]
- Liu, X.; Zeng, S.; Liu, S.; Wang, G.; Lai, H.; Zhao, X.; Bi, S.; Guo, D.; Chen, X.; Yi, H.; et al. Identifying the Related Genes of Muscle Growth and Exploring the Functions by Compensatory Growth in Mandarin Fish (Siniperca chuatsi). Front. Physiol. 2020, 11, 553563. [Google Scholar] [CrossRef] [PubMed]
- Berchtold, M.W.; Brinkmeier, H.; Müntener, M. Calcium ion in skeletal muscle: Its crucial role for muscle function, plasticity, and disease. Physiol. Rev. 2000, 80, 1215–1265. [Google Scholar] [CrossRef]
- Sideleva, V.G.; Kozlova, T.A. Comparative study of endemic cottoid fishes (Cottidae, Comephoridae) in connection with adaptation to habitation in the pelagic zone of Lake Baikal. Trans. Zool. Inst. Russ. Acad. Sci. 2010, 314, 433–447. [Google Scholar] [CrossRef]
- Kozlova, T.A.; Khotimchenko, S.V. Lipids and fatty acids of two pelagic cottoid fishes (Comephorus spp.) endemic to Lake Baikal. Comp. Biochem. Physiol. B Biochem. Mol. Biol. 2000, 126, 477–485. [Google Scholar] [CrossRef] [PubMed]
- Voronin, V.P.; Nemova, N.N.; Ruokolainen, T.R.; Artemenkov, D.V.; Rolskii, A.Y.; Orlov, A.M.; Murzina, S.A. Into the Deep: New Data on the Lipid and Fatty Acid Profile of Redfish Sebastes mentella Inhabiting Different Depths in the Irminger Sea. Biomolecules 2021, 11, 704. [Google Scholar] [CrossRef] [PubMed]
- Wang, K.; Shen, Y.; Yang, Y.; Gan, X.; Liu, G.; Hu, K.; Li, Y.; Gao, Z.; Zhu, L.; Yan, G.; et al. Morphology and genome of a snailfish from the Mariana Trench provide insights into deep-sea adaptation. Nat. Ecol. Evol. 2019, 3, 823–833. [Google Scholar] [CrossRef]
- Bo, J.; Xu, H.; Lv, W.; Wang, C.; He, S.; Yang, L. Molecular Mechanisms of the Convergent Adaptation of Bathypelagic and Abyssopelagic Fishes. Genome Biol. Evol. 2022, 14, evac109. [Google Scholar] [CrossRef] [PubMed]
- Xu, H.; Fang, C.; Xu, W.; Wang, C.; Song, Y.; Zhu, C.; Fang, W.; Fan, G.; Lv, W.; Bo, J.; et al. Evolution and genetic adaptation of fishes to the deep sea. Cell 2025, 188, 1393–1408.e13. [Google Scholar] [CrossRef]
- Simonato, F.; Campanaro, S.; Lauro, F.M.; Vezzi, A.; D’Angelo, M.; Vitulo, N.; Valle, G.; Bartlett, D.H. Piezophilic adaptation: A genomic point of view. J. Biotechnol. 2006, 126, 11–25. [Google Scholar] [CrossRef]
- Mao, L. Adaptation of Fish to the Extreme Environment in the Deep Sea. Theor. Nat. Sci. 2025, 117, 152–157. [Google Scholar] [CrossRef]
- Xue, M.; Xu, P.; Wen, H.; Chen, J.; Wang, Q.; He, J.; He, C.; Kong, C.; Song, C.; Li, H. Peroxisome Proliferator-Activated Receptor Signaling-Mediated 13-S-Hydroxyoctadecenoic Acid Is Involved in Lipid Metabolic Disorder and Oxidative Stress in the Liver of Freshwater Drum, Aplodinotus grunniens. Antioxidants 2023, 12, 1615. [Google Scholar] [CrossRef]
- Wu, N.; Wen, H.; Xu, P.; Chen, J.; Xue, M.; Li, J.; Wang, M.; Song, C.; Li, H. PPAR Signaling Maintains Metabolic Homeostasis under Hypothermia in Freshwater Drum (Aplodinotus grunniens). Metabolites 2023, 13, 102. [Google Scholar] [CrossRef]
- Ye, W.; Zheng, Y.; Sun, Y.; Li, Q.; Zhu, H.; Xu, G. Transcriptome analysis of the response of four immune related organs of tilapia (Oreochromis niloticus) to the addition of resveratrol in feed. Fish Shellfish Immunol. 2023, 133, 108510. [Google Scholar] [CrossRef] [PubMed]
- Song, S.; Xiao, Z.; Dekker, F.J.; Poelarends, G.J.; Melgert, B.N. Macrophage migration inhibitory factor family proteins are multitasking cytokines in tissue injury. Cell. Mol. Life Sci. 2022, 79, 105. [Google Scholar] [CrossRef]
- Xu, H.; Fang, C.; Wang, C.; Gan, X.; He, S. Lipidome and proteome analyses provide insights into Mariana Trench Snailfish (Pseudoliparis swirei) adaptation to the hadal zone. Water Biol. Secur. 2024, 3, 100295. [Google Scholar] [CrossRef]
- Xu, H.; Van Remmen, H. The SarcoEndoplasmic Reticulum Calcium ATPase (SERCA) pump: A potential target for intervention in aging and skeletal muscle pathologies. Skelet. Muscle 2021, 11, 25. [Google Scholar] [CrossRef]
- Andres, R.H.; Ducray, A.D.; Schlattner, U.; Wallimann, T.; Widmer, H.R. Functions and effects of creatine in the central nervous system. Brain Res. Bull. 2008, 76, 329–343. [Google Scholar] [CrossRef]
- Poska, H.; Leppert, A.; Tigro, H.; Zhong, X.; Kaldmäe, M.; Nilsson, H.E.; Hebert, H.; Chen, G.; Johansson, J. Recombinant Bri3 BRICHOS domain is a molecular chaperone with effect against amyloid formation and non-fibrillar protein aggregation. Sci. Rep. 2020, 10, 9817. [Google Scholar] [CrossRef]
- Radnaeva, L.D.; Popov, D.V.; Grahl-Nielsen, O.; Khanaev, I.V.; Bazarsadueva, S.V.; Käkelä, R. Fatty acid composition in the white muscle of Cottoidei fishes of Lake Baikal reflects their habitat depth. Environ. Biol. Fish 2017, 100, 1623–1641. [Google Scholar] [CrossRef][Green Version]
- Ntambi, J.M. Regulation of stearoyl-CoA desaturase by polyunsaturated fatty acids and cholesterol. J. Lipid Res. 1999, 40, 1549–1558. [Google Scholar] [CrossRef] [PubMed]
- Hazel, J.R. Thermal adaptation in biological membranes: Is homeoviscous adaptation the explanation? Annu. Rev. Physiol. 1995, 57, 19–42. [Google Scholar] [CrossRef] [PubMed]
- Werbrouck, E.; Van Gansbeke, D.; Vanreusel, A.; De Troch, M. Temperature affects the use of storage fatty acids as energy source in a benthic copepod (Platychelipus littoralis, Harpacticoida). PLoS ONE 2016, 11, e0151779. [Google Scholar] [CrossRef] [PubMed]
- Klimenkov, I.V.; Sudakov, N.P.; Pastukhov, M.V.; Kositsyn, N.S. Cytochemical features of olfactory receptor cells in benthic and pelagic sculpins (Cottoidei) from Lake Baikal. Arch. Biol. Sci. 2016, 68, 345–353. [Google Scholar] [CrossRef]
- Doherty, L.; Sheen, M.R.; Vlachos, A.; Choesmel, V.; O’Donohue, M.F.; Clinton, C.; Schneider, H.E.; Sieff, C.A.; Newburger, P.E.; Ball, S.E.; et al. Ribosomal protein genes RPS10 and RPS26 are commonly mutated in Diamond-Blackfan anemia. Am. J. Hum. Genet. 2010, 86, 222–228. [Google Scholar] [CrossRef]
- Gross, M.; Jaenicke, R. Proteins under pressure. The influence of high hydrostatic pressure on structure, function and assembly of proteins and protein complexes. Eur. J. Biochem. 1994, 221, 617–630. [Google Scholar] [CrossRef] [PubMed]
- Ritchie, H.; Jamieson, A.J.; Piertney, S.B. Heat-shock protein adaptation in abyssal and hadal amphipods. Deep Sea Res. Part II Top. Stud. Oceanogr. 2018, 155, 61–69. [Google Scholar] [CrossRef]
- Roche, J.; Royer, C.A. Lessons from pressure denaturation of proteins. J. R. Soc. Interface 2018, 15, 20180244. [Google Scholar] [CrossRef]
- Weber, A.A.; Hugall, A.F.; O’Hara, T.D. Convergent Evolution and Structural Adaptation to the Deep Ocean in the Protein-Folding Chaperonin CCTα. Genome Biol. Evol. 2020, 12, 1929–1942. [Google Scholar] [CrossRef]
- Gerringer, M.E.; Dias, A.S.; von Hagel, A.A.; Orr, J.W.; Summers, A.P.; Farina, S. Habitat influences skeletal morphology and density in the snailfishes (family Liparidae). Front. Zool. 2021, 18, 16. [Google Scholar] [CrossRef]
- Priede, I.G.; Froese, R. Colonization of the deep sea by fishes. J. Fish Biol. 2013, 83, 1528–1550. [Google Scholar] [CrossRef]
- Cheng, J.; Hui, M.; Li, Y.; Sha, Z. Genomic evidence of population genetic differentiation in deep-sea squat lobster Shinkaia crosnieri (crustacea: Decapoda: Anomura) from Northwestern Pacific hydrothermal vent and cold seep. Deep Sea Res. Part I Oceanogr. Res. Pap. 2020, 156, 103188. [Google Scholar] [CrossRef]
- Bakiu, R.; Piva, E.; Pacchini, S.; Santovito, G. Antioxidant Systems in Extremophile Marine Fish Species. J. Mar. Sci. Eng. 2024, 12, 1280. [Google Scholar] [CrossRef]
- Musilova, Z.; Cortesi, F. An (omics) perspective on the evolution of vision in deep-sea fishes reveals exceptional adaptations to life in the extreme. Funct. Ecol. 2025, 39, 2601–2610. [Google Scholar] [CrossRef]
- Morita, T. Structure-based analysis of high pressure adaptation of alpha-actin. J. Biol. Chem. 2003, 278, 28060–28066. [Google Scholar] [CrossRef]
- Morita, T. Comparative sequence analysis of myosin heavy chain proteins from congeneric shallow- and deep-living rattail fish (genus Coryphaenoides). J. Exp. Biol. 2008, 211, 1362–1367. [Google Scholar] [CrossRef]
- Morita, T. High-pressure adaptation of muscle proteins from deep-sea fishes, Coryphaenoides yaquinae and C. armatus. Ann. N. Y. Acad. Sci. 2010, 1189, 91–94. [Google Scholar] [CrossRef]
- Somero, G.N. Adaptations to high hydrostatic pressure. Annu. Rev. Physiol. 1992, 54, 557–577. [Google Scholar] [CrossRef]
- Sebert, P. Fish at high pressure: A hundred year history. Comp. Biochem. Physiol. A Mol. Integr. Physiol. 2002, 131, 575–585. [Google Scholar] [CrossRef] [PubMed]
- Brindley, A.A.; Pickersgill, R.W.; Partridge, J.C.; Dunstan, D.J.; Hunt, D.M.; Warren, M.J. Enzyme sequence and its relationship to hyperbaric stability of artificial and natural fish lactate dehydrogenases. PLoS ONE 2008, 3, e2042. [Google Scholar] [CrossRef]
- Sun, J.; Zhang, Y.; Xu, T.; Zhang, Y.; Mu, H.; Zhang, Y.; Lan, Y.; Fields, C.J.; Hui, J.H.L.; Zhang, W.; et al. Adaptation to deep-sea chemosynthetic environments as revealed by mussel genomes. Nat. Ecol. Evol. 2017, 1, 121. [Google Scholar] [CrossRef]
- Mu, Y.; Bian, C.; Liu, R.; Wang, Y.; Shao, G.; Li, J.; Qiu, Y.; He, T.; Li, W.; Ao, J.; et al. Whole genome sequencing of a snailfish from the Yap Trench (~7000 m) clarifies the molecular mechanisms underlying adaptation to the deep sea. PLoS Genet. 2021, 17, e1009530. [Google Scholar] [CrossRef]
- Kess, T.; Dempson, J.B.; Lehnert, S.J.; Layton, K.K.S.; Einfeldt, A.; Bentzen, P.; Salisbury, S.J.; Messmer, A.M.; Duffy, S.; Ruzzante, D.E.; et al. Genomic basis of deep-water adaptation in Arctic Charr (Salvelinus alpinus) morphs. Mol. Ecol. 2021, 30, 4415–4432. [Google Scholar] [CrossRef]
- Derome, N.; Duchesne, P.; Bernatchez, L. Parallelism in gene transcription among sympatric lake whitefish (Coregonus clupeaformis Mitchill) ecotypes. Mol. Ecol. 2006, 15, 1239–1249. [Google Scholar] [CrossRef] [PubMed]
- Bernatchez, L.; Renaut, S.; Whiteley, A.R.; Derome, N.; Jeukens, J.; Landry, L.; Lu, G.; Nolte, A.W.; Ostbye, K.; Rogers, S.M.; et al. On the origin of species: Insights from the ecological genomics of lake whitefish. Philos. Trans. R. Soc. Lond. B Biol. Sci. 2010, 365, 1783–1800. [Google Scholar] [CrossRef] [PubMed]
- Evans, M.; Bernatchez, L. Oxidative phosphorylation gene transcription in whitefish species pairs reveals patterns of parallel and nonparallel physiological divergence. J. Evol. Biol. 2012, 25, 1823–1834. [Google Scholar] [CrossRef]
- St John, C.A.; Buser, T.J.; Kee, V.E.; Kirilchik, S.; Bogdanov, B.; Neely, D.; Sandel, M.; Aguilar, A. Diversification along a benthic to pelagic gradient contributes to fish diversity in the world’s largest lake (Lake Baikal, Russia). Mol. Ecol. 2022, 31, 238–251. [Google Scholar] [CrossRef]
- Bychenko, O.S.; Sukhanova, L.V.; Azhikina, T.L.; Skvortsov, T.A.; Belomestnykh, T.V.; Sverdlov, E.D. Differences in brain transcriptomes of closely related Baikal coregonid species. Biomed. Res. Int. 2014, 2014, 857329. [Google Scholar] [CrossRef] [PubMed]
- Liu, T.; Huang, K.; Xu, A.; Lü, Z.; Gong, L.; Liu, J.; Tang, M.; Liu, L. Genome sequencing provides novel insights into diadromous migration adaptations in the roughskin sculpin, Trachidermus fasciatus (Scorpaeniformes, Cottidae). Zookeys 2025, 1256, 293–316. [Google Scholar] [CrossRef] [PubMed]
- Nedoluzhko, A.; Orlova, S.Y.; Kurnosov, D.S.; Orlov, A.M.; Galindo-Villegas, J.; Rastorguev, S.M. Genomic Signatures of Freshwater Adaptation in Pacific Herring (Clupea pallasii). Genes 2022, 13, 1856. [Google Scholar] [CrossRef] [PubMed]
- Qian, S.; Zhao, Y.; Liu, F.; Li, H.; Wang, Y.; Huang, Z.; Wang, L.; Du, Y.; Liu, J.; Zhu, Y.; et al. Identification of key genes for fish adaptation to freshwater and seawater based on attention mechanism. BMC Genom. 2025, 26, 875. [Google Scholar] [CrossRef]
- Dang, Z.; Wu, Q.; Zhou, Y.; Wang, L.; Liu, Y.; Yang, C.; Liu, M.; Xie, Q.; Chen, C.; Ma, S.; et al. Comparative Transcriptomic Analysis for Identification of Environmental-Responsive Genes in Seven Species of Threadfin Breams (Nemipterus). Int. J. Mol. Sci. 2025, 26, 7118. [Google Scholar] [CrossRef]





| Number | Coordinates 1 | Depth, m | Speed, Knots | Sculpin Species |
|---|---|---|---|---|
| 1 | 53°56′824″ N 109°08′667″ E 53°59′156″ N 109°09′770″ E | 795–810 | 2.4–2.2 | B. nikolskii |
| 2 | 53°59′231″ N 109°10′640″ E 53°56′326″ N 109°09′217″ E | 795–805 | 2.8–2.1 | B. nikolskii, B. multiradiatus |
| 3 | 53°59′106″ N 109°07′275″ E 53°56′272″ N 109°06′882″ E | 795–825 | 2.1–1.8 | B. nikolskii |
| 4 | 53°53′346″ N 109°06′222″ E 53°51′613″ N 109°08′093″ E | 479–611 | 2.5–2.1 | B. multiradiatus, C. baicalensis |
| 5 | 53°51′357″ N 109°06′672″ E 53°53′445″ N 109°03′280″ E | 342–385 | 2.5–1.9 | C. baicalensis, C. dybowski |
| 6 | 55°19′084″ N 109°41′746″ E 55°21′485″ N 109°39′743″ E | 621–700 | 3.2–2.0 | C. baicalensis, C. dybowski |
| 7 | 52°09′931″ N 105°47′622″ E 52°13′311″ N 105°47′852″ E | 986–1029 | 2.3–1.8 | C. baicalensis, C. dybowski |
| 8 | 52°11′953″ N 105°48′013″ E 52°08′510″ N 105°44′125″ E | 1014–1070 | 2.2–2.1 | C. baicalensis, B. nikolskii |
| 9 | 52°29′034″ N 106°05′426″ E 52°31′383″ N 106°11′153″ E | 457–560 | 3.6–2.7 | C. baicalensis, C. dybowski |
| 10 | 53°57′519″ N 109°10′823″ E 54°00′282″ N 109°11′063″ E | 785–805 | 2.8–2.4 | B. nikolskii, B. multiradiatus |
| 11 | 54°00′124″ N 109°07′884″ E 53°57′822″ N 109°06′908″ E | 805–825 | 2.4–2.1 | B. nikolskii, C. baicalensis, C. dybowski |
| 12 | 55°31′406″ N 109°43′917″ E 55°29′758″ N 109°46′528″ E | 450–510 | 2.7–2.1 | B. multiradiatus |
| 13 | 55°27′130″ N 109°13′534″ E 55°21′485″ N 109°39′743″ E | 218–267 | 2.6–1.9 | B. multiradiatus |
| 14 | 52°45′026″ N 106°46′342″ E 52°43′455″ N 106°48′789″ E | 1214–1222 | 2.5–1.9 | C. baicalensis, B. nikolskii |
| 15 | 52°51′521″ N 106°57′913″ E 52°54′736″ N 106°55′270″ E | 1370–1397 | 2.0–1.7 | C. baicalensis |
| Species | Average Length, TL, cm | Weight, g | Specimens Number |
|---|---|---|---|
| C. baicalensis | 16.17 ± 3.42 | 25.57 ± 15.38 | 23 |
| C. dybowski | 12.43 ± 1.19 | 10.38 ± 3.43 | 21 |
| B. multiradiatus | 14.99 ± 3.09 | 51.18 ± 29.24 | 18 |
| B. nikolskii | 20.45 ± 2.96 | 141.02 ± 47.38 | 22 |
| Name | Primer Sequence (5′–3′) | Product Size (bp) |
|---|---|---|
| RAG1 F | GGAGACCCAGACAACGATGG | 113 |
| RAG1 R | CGGCTGGGTTTGACCTTTTG | |
| LDHA F | AGCCTTTGAGCTCAGCATGT | 186 |
| LDHA R | AACACTGTTCACCCGGTTCA | |
| TNNT3 F | TATAGTGACACGCGATCCGC | 122 |
| TNNT3 R | CCTTATTGAGTGCCAGCGGA | |
| PIP4K2C F | AGCCCTCTCCCCGATTATTCT | 206 |
| PIP4K2C R | CGTAACCCCTCCAGTGCTTT | |
| PDCL3 F | GTCCAGGAGTCCTCAGCATG | 120 |
| PDCL3 R | GAAAGGACAGCGACTCGGAG | |
| ECE1 F | TGGGCTACATGATGGCCAAG | 254 |
| ECE1 R | TGTTGCCTCCTCTATGGGGA | |
| GNAI F | GTCACCCGCTGGACAGTTTA | 141 |
| GNAI R | TGGCTGACCCAATCACAGAA | |
| ACTG1 F | ATTAGGATGCTGACAGGCCG | 163 |
| ACTG1 R | GGGAGGTCAAAGCGACAGTT | |
| MDH1 F | GTCTAGTCCGACTCTGAGCAG | 128 |
| MDH1 R | TACAGCAGGGAGTAGGCGAT | |
| FABP3 F | GTAGCTCTCACTGATCCGCC | 102 |
| FABP3 R | GCCCCTGGCAACACTACTTA | |
| RTN4L F | AGAGCGTTGCATGATGGGAA | 136 |
| RTN4L R | CCAGACAGAGTTGCAGAGCA | |
| HBAX F | CCCAGGATGAGCAGCATGAA | 126 |
| HBAX R | CTGGCAGAGAGATACCGCTG | |
| APOEb F | AAGGACATGCTGGATGCCAA | 115 |
| APOEb R | GCTTGTGTGAATAGGTGCCG | |
| KRT50 F | TTCATGCTGAGCTGGGACTG | 150 |
| KRT50 R | GGAAGTCTGGTTCCAGAGCA | |
| COX5A F | ATCTTTCTCCCTCTCCGCCT | 145 |
| COX5A R | GAGCTCTGCAGCGTTTTGAG | |
| MT-CYB F | ACCTCTTAGGAGACCCGGAC | 137 |
| MT-CYB R | GGCTAGAACGCCTCCAAGTT | |
| NID2 F | AACACTGCTGACCCTCCATG | 148 |
| NID2 R | AGGCGTGACACATAACAGCA |
| Sample | Raw_Bases | Raw_Reads | Clean_Reads | Error_Rate | Q20 | Q30 | GC_pct |
|---|---|---|---|---|---|---|---|
| C. baicalensis | 18.08G | 120,554,062 | 119,466,812 | 0.01 | 99.05 | 96.18 | 53.06 |
| C. dybowski | 18.36G | 122,419,718 | 121,200,064 | 0.01 | 99.08 | 96.28 | 53.03 |
| B. multiradiatus | 19.33G | 128,862,796 | 127,653,460 | 0.01 | 99.13 | 96.31 | 53.13 |
| B. nikolskii | 18.31G | 122,040,414 | 120,783,398 | 0.01 | 99.21 | 96.58 | 52.67 |
Disclaimer/Publisher’s Note: The statements, opinions and data contained in all publications are solely those of the individual author(s) and contributor(s) and not of MDPI and/or the editor(s). MDPI and/or the editor(s) disclaim responsibility for any injury to people or property resulting from any ideas, methods, instructions or products referred to in the content. |
© 2025 by the authors. Licensee MDPI, Basel, Switzerland. This article is an open access article distributed under the terms and conditions of the Creative Commons Attribution (CC BY) license (https://creativecommons.org/licenses/by/4.0/).
Share and Cite
Sapozhnikova, Y.P.; Koroleva, A.G.; Sidorova, T.V.; Vakhteeva, E.A.; Epifantsev, A.A.; Potapov, S.A.; Yakhnenko, V.M.; Sukhanova, L.V.; Kirilchik, S.V.; Butina, T.V.; et al. Comparative Transcriptomics as a Key to Understanding the Adaptation Mechanisms of Baikal Sculpins to the Deep-Water Habitat. Biology 2025, 14, 1762. https://doi.org/10.3390/biology14121762
Sapozhnikova YP, Koroleva AG, Sidorova TV, Vakhteeva EA, Epifantsev AA, Potapov SA, Yakhnenko VM, Sukhanova LV, Kirilchik SV, Butina TV, et al. Comparative Transcriptomics as a Key to Understanding the Adaptation Mechanisms of Baikal Sculpins to the Deep-Water Habitat. Biology. 2025; 14(12):1762. https://doi.org/10.3390/biology14121762
Chicago/Turabian StyleSapozhnikova, Yulia P., Anastasiya G. Koroleva, Tuyana V. Sidorova, Evgenia A. Vakhteeva, Alexander A. Epifantsev, Sergey A. Potapov, Vera M. Yakhnenko, Lyubov V. Sukhanova, Sergei V. Kirilchik, Tatyana V. Butina, and et al. 2025. "Comparative Transcriptomics as a Key to Understanding the Adaptation Mechanisms of Baikal Sculpins to the Deep-Water Habitat" Biology 14, no. 12: 1762. https://doi.org/10.3390/biology14121762
APA StyleSapozhnikova, Y. P., Koroleva, A. G., Sidorova, T. V., Vakhteeva, E. A., Epifantsev, A. A., Potapov, S. A., Yakhnenko, V. M., Sukhanova, L. V., Kirilchik, S. V., Butina, T. V., Nebesnykh, I. A., & Khanaev, I. V. (2025). Comparative Transcriptomics as a Key to Understanding the Adaptation Mechanisms of Baikal Sculpins to the Deep-Water Habitat. Biology, 14(12), 1762. https://doi.org/10.3390/biology14121762

