Abstract
The detection of reactive dyes in food matrices is crucial for food safety and compliance with regulations, especially since the use of such in food products is not approved. This study investigates the potential of using tin(II)chloride and laccase to cleave anthraquinone reactive dyes and to detect their characteristic degradation products as markers for the presence of dye in food. Nine reactive blue anthraquinone dyes and one green anthraquinone dye were cleaved using tin(II)chloride and laccase. Reactions with reactive dyes bound to maize starch were also carried out to evaluate the suitability of these methods for detecting matrix-bound dyes. Model food matrices, including gummy candy, hard candy, and maize chips, were spiked with the reactive dyes, and the presence of degradation products was analysed using LC-ESI-MS/MS. Two common cleavage products were formed from each sample, namely 1,4-diaminoanthrahydroquinone-2-sulphonic acid (DAHS) and 1-aminoanthraquinone-2-sulphonic acid (AAS). In all examined cases, at least one of the characteristic cleavage products could be detected. Laccase showed lower effectiveness with matrix-bound dyes, whereas treatment with acidic tin(II)chloride was effective even in complex food matrices. These findings suggest that the analysis of cleavage products could be a valuable tool for the detection of reactive dyes in food matrices.
1. Introduction
1.1. Synthetic Dyes Used in Food
Food colours are widely employed to compensate for the loss of natural colours in food, which are destroyed during processing and storage, as well as to enhance visual attractiveness, thus providing the desired appearance to the consumers [1,2,3]. Artificial colourants are used due to their stability, relatively low cost, and wide range of colours [4,5].Various adverse effects on consumers’ health have been suggested and documented for artificial colourants used in food, such as cancerogenicity, genotoxicity, hypersensitivity, and attentive disorders [6,7,8]. Such assessments have resulted in restrictions and bans throughout the European Union, where strict regulatory measures are in place to ensure the safety of listed food colourants [3,7,9,10,11]. Nonetheless, food fraud involving unauthorised dyes remains a significant analytical and regulatory challenge. The EU Rapid Alert System for Food and Feed (RASFF) recorded over 100 notifications between 2020 and 2024 involving the unapproved use of colourants [12]. While most notifications involved the misuse of colourants approved for other food categories, which generally pose lower health risks, 40 cases concerned colourants classified as high-risk substances, which pose significant health risks to consumers. For example, the presence of Rhodamine B and Sudan azo dyes in spices (i.e., chilli powder), sauces, palm oil, and other coloured products, has repeatedly been reported [13,14].
The present study was prompted by reports of the reactive azo dye Reactive Red 195 being present in colouring foodstuff, labelled as red beet and roselle flower extracts [15]. Reactive dyes are not approved for use in food and pose potential health risks due to their non-food-grade production and the absence of safety evaluations for their consumption. A study by Januschewski et al. [16] found that the fraudulent use of reactive dyes may be more widespread, as they identified Reactive Red 120, Reactive Red 195, and Reactive Red 198 in food colouring preparations. Generally, a potential risk of adulteration is existent for food categories such as spices, condiments, fruit juices, fruit and herbal teas, and confectionery.
1.2. Reactive Dyes
Commercially developed in the 1950s, reactive dyes are defined by the ability to form covalent bonds to nucleophilic groups, thus offering strong colour-fastness when introduced to macromolecules such as cellulose (cotton) or keratin (wool) [17]. Various chromophoric groups are present in the reactive dye classes of colourants, such as azo-coupled aromatic amines, phthalocyanines, and anthraquinones, providing a broad colour spectrum, with anthraquinones typically producing deep blue to violet colours. The basic structure of an anthraquinone-based reactive dye is shown in Figure 1. The primary amine of the chromophore can also be derivatised [18].
Figure 1.
Typical anthraquinone-class blue reactive dye structure consisting of a reactive group (A) linked by an aromatic bridging group (B) to the anthraquinone chromophore core unit (C).
The chromophores are mostly coupled with vinylsulphone or chlorinated triazine reactive functionalities, but chlorinated dichloroquinoxaline and other highly electrophilic functionalities that can form covalent bonds to nucleophilic groups are established as well [17]. These reactive groups are referred to as anchors, as they constitute the reactive centre for dye-matrix bond formation. Reactive dyes usually display hydrophilic properties similar to those of acid dyes due to the sulphonic acid groups introduced into their aromatic components. Therefore, reactive textile dyeing is usually carried out under aqueous conditions, with a wide range of applicable pH and temperature parameters depending on the structural and reactivity characteristics of the anchor groups and the respective textile material used in the process [19,20,21]. Reactive dyes of the anthraquinone class showed genotoxic properties in microorganisms [22,23,24,25,26] and cytotoxicity in human cell assays [27]. Only a few representatives of the reactive anthraquinone dye class, such as Reactive Blue 2, Reactive Blue 4, and Reactive Blue 19, have been studied so far. However, genotoxic effects may be amplified by the formation of desulphonated aromatic amine compounds during microbial degradation and are likely to significantly depend on the molecular scaffolds of the specific dye species [28,29]. Therefore, the ingestion of reactive dyes and their by-products could pose a potential health risk.
1.3. Detection of Reactive Dyes
Although rapid screening techniques for the fast determination of the dye class offer a promising approach [16,30,31], in food monitoring, the identification of fraudulent synthetic dyes is predominantly achieved through chromatographic techniques, such as thin-layer chromatography (TLC) or high-performance liquid chromatography with spectrophotometric detection (HPLC-DAD), using standard solutions for comparison [32,33,34,35,36]. Couplings with mass spectrometry (MS) and the use of capillary electrophoretic methods have also been established [37,38,39]. Prior to separation and detection, an accumulation step is often required to concentrate the colourants, either directly from the food matrix or from a solvent used to extract the dye. Most water-soluble colourants are cost-efficiently extracted and accumulated using polyamide solid phase or wool strings. However, depending on the specific food matrix and the analytical method used for subsequent measurements, alternative extraction techniques can also be employed [11,40,41]. Established methods in food monitoring usually focus on approved food colourants and banned dyes with a high occurrence rate, such as the Sudan azo dyes mentioned above, and all established techniques rely on the presence of extractable dye species. However, the large number of non-food dye types make comprehensive coverage difficult. One possible approach is to detect dye classes by identifying common structural features, allowing for the detection or elimination of an entire class. This strategy could simplify the detection methods and increase efficiency when identifying reactive dyes that are fraudulently used in raw materials and final food products.
Reactive dyes exhibit a strong affinity to nucleophilic textile matrices like cellulose, which has a molecular structure similar to that of food polysaccharides such as starch. This similarity suggests that reactive dyes may also form covalent bonds with food matrices, particularly when exposed to heat during processing. Consequently, dye molecules that become covalently bound to the food matrix are inaccessible using current analytical methods. This limitation severely diminishes the probability of detection, creating a critical gap in food safety monitoring that demands new detection strategies.
There are numerous methods for the determination of reactive dye bound to textiles; for example, those used in forensic analysis [42]. Alkaline treatment is often used to hydrolyse and extract the liberated dye species [43,44,45,46]. Alternatively, an enzymatic digestion of the matrix can be conducted [47,48]. The determination is carried out using chromatographic methods, often coupled with electrospray ionisation mass spectrometry (ESI-MS/MS) [43] or capillary electrophoresis [44,45,46]. Clearly characterised reference compounds and respective spectral databases need to be established to ensure the unambiguous identification of reactive dyes in the suspect samples.
For red reactive dyes of the azo class, the issue of identification and detection was addressed through an LC-ESI-MS/MS analysis of the specific breakdown products formed via reductive cleavage of the azo linkage [49,50]. Such characteristic cleavage compounds can be generated from bound or unbound reactive dye, thus increasing their detectability using chromatographic methods. However, the effectiveness of these methods in the dection of other reactive dye classes, such as anthraquinones, remains unclear. The identification and sensitive detection of a cleavage product that is characteristic of the entire dye class may be a viable approach. To use this method, the cleavage reaction has to be tested on reactive dyes that are covalently bound to a polysaccharide food matrix to allow for it to be used in analyses of confectioneries and starch-based foods. Another approach to generating characteristic cleavage compounds is through the enzymatic digestion of the dye species. Studies have indicated that the laccase-mediated degradation of anthraquinone reactive dyes produces aromatic cleavage products [23,51,52]. Similarly to chemical reduction, these cleavage products could be valuable for the indirect detection of their parent compound. Given the need for environmentally sustainable methods, enzymatic treatments, such as those involving laccase, warrant consideration. Laccase is a widely studied oxidoreductase, which is applied due to its ability to degrade textile dyes and dye effluents [53]. This type of enzymatic treatment is applied in the decolourisation of effluents from dyeing plants [23,24,54]. Therefore, the application of laccase to generate characteristic cleavage compounds is also considered in this study in an attempt to avoid environmentally active chemicals such as tin(II)chloride for the cleavage reaction.
Based on these considerations, this study investigated a novel approach for the detection of anthraquinone reactive dyes through chemical reduction with tin(II)chloride and enzymatic degradation with laccase, both in pure form and bound to starch.
2. Materials and Methods
2.1. Chemicals
Ultra-clean water was prepared via Arium® Pro from Sartorius (Göttingen, Germany). LC-MS-grade acetonitrile (ACN) was purchased from Honeywell (Seelze, Germany). 1,2-dichloroethane for synthesis and LC-MS-grade formic acid optima were obtained from Fisher Chemical (Waltham, MA, USA). Tin(II)chloride (anhydrous for synthesis), chlorosulphonic acid, 1-aminoanthraquinone (≥97% purity), and 1,4-diaminoanthraquinone (synthetic purity) were purchased from Merck (Darmstadt, Germany). The commercial product Laccase F was purchased from ASA Spezialenzyme GmbH (Wolfenbüttel, Germany) and used as aqueous solution. The enzyme activity was measured using an oxidation assay (cf. Method S1), where 1 mL of laccase solution was found to oxidise 17 µmol/min of 2,2′-azino-bis(3-ethylbenzothiazoline-6-sulphonic acid (ABTS).
Antraquinone-class reactive dyes with the Color Index (CI) names Reactive Blue 2 (RB2), Reactive Blue 5 (RB5), Reactive Blue 17 (RB17), Reactive Blue 27 (RB27), Reactive Blue 29 (RB29), Reactive Blue 42, (RB42) Reactive Blue 74 (RB74), and Reactive Green 8 (RG8) were generously supplied by the TU Dresden Historical Collection of Dyes (Dresden, Germany); Reactive Blue 4 (RB4), and Reactive Blue 19 (RB19) were purchased from Sigma-Aldrich (Taufkirchen, Germany). The dye content of RB4 was specified to be 35%. The purities of the other dye references were not specified. The lack of information on the initial reactive dye content hindered any effort to quantify the dye samples used in the study; therefore, all measurements refer to the mass of the dye powder and not to the actual reactive dye content. For further details about the reactive dye standards, such as structural information, see Section 5.1.
2.2. Preparation of Standard Solution of Reactive Dyes
Standard dye solutions of each colourant were prepared in concentrations of 1 g dry powder/L water. For verification of the researched dye structure (cf. Table 1), 0.5 mL of standard dye solution was treated at 70 °C for 1 h to ensure the partial formation of hydrolysis products. The solutions were membrane-filtered via 0.2 µm pore size polytetrafluoroethylene-filters (PTFE, Agilent, Waldbronn, Germany) and analysed directly using LC-ESI-MS/MS without further purification steps.
2.3. Synthesis of Cleavage Product Standards
2.3.1. Synthesis of 1-Aminoanthraquinone Sulphonic Acid (AAS)
The method was modified from that of Zhao et al. [55]. A total of 100 mg of 1-aminoanthraquinone was dissolved in 20 mL of dry 1,2-dichloroethane in a 100 mL two-neck flask. The mixture was refluxed (approx. 75 °C) in an oil bath. Twelve drops of chlorosulphonic acid were added to the mixture over 3 min. A turbidity and colour change to greenish brown was observed. After approximately 6 h reflux stirring, the reaction mixture was cooled to ambient temperature and transferred to a separatory funnel using 100 mL water. The reaction mixture was extracted, and the aqueous extract was filtered through a folded filter paper (Macherey and Nagel, GmbH, Düren, Germany).
Table 1.
Dye standards, along with their Color Index name, reactive anchor type, the calculated ionic mass of the respective free acid, the ionic mass detected in negative-mode LC-ESI-MS/MS, and the molecular formula of the free acid. Calculated mass, molecular formula, and compound structure are derived from the literature [56,57,58]. Potentially faulty values are marked in brackets (). Anchor type abbreviations: MCT = monochlorotriazine anchor; DCT = dichlorotriazine anchor; VS = vinyl–sulphone anchor (or sulphoxyethylsulphone precursor).
Table 1.
Dye standards, along with their Color Index name, reactive anchor type, the calculated ionic mass of the respective free acid, the ionic mass detected in negative-mode LC-ESI-MS/MS, and the molecular formula of the free acid. Calculated mass, molecular formula, and compound structure are derived from the literature [56,57,58]. Potentially faulty values are marked in brackets (). Anchor type abbreviations: MCT = monochlorotriazine anchor; DCT = dichlorotriazine anchor; VS = vinyl–sulphone anchor (or sulphoxyethylsulphone precursor).
| Dye Standard (C.I. Name) | Anchor Type | Calculated Ion Mass [M − H]− | Measured Ion Mass [M − H]− | Mol. Formula | Compound Structure (Free Acid) |
|---|---|---|---|---|---|
| Reactive Blue 2 | MCT | 772.00 | 772.0 | C29H20ClN7O11S3 | ![]() |
| Reactive Blue 4 | DCT | 634.96 | 634.8 | C23H14Cl2N6O8S2 | ![]() |
| Reactive Blue 5 | MCT | 772.00 | 771.9 | C29H20ClN7O11S3 | ![]() |
| Reactive Blue 17 | Trichlorodiazine | 747.88 | 747.8 | C24H14Cl3N5O11S3 | ![]() |
| Reactive Blue 19 | VS | 581.00 | 580.9 | C22H18N2O11S3 | ![]() |
| Reactive Blue 27 | VS | 624.99 | 624.8 | C23H18N2O13S3 | ![]() |
| Reactive Blue 29 | Dichloroquinoxaline | 725.99 | (703.9) | C30H19Cl2N5O9S2 | ![]() |
| Reactive Blue 42 | - | - | 667.8 | - | no structure available |
| Reactive Blue 74 | MCT | 687.07 | 731.0 [M − 3H + 2Na]− | C28H25ClN6O9S2 | ![]() |
| Reactive Green 8 | MCT | 1143.98 | 1143.9 | C40H29N11O19S5 | ![]() |
The extract was neutralised using sodium hydroxide (conc.) and liberated from its starting material via triplicate extraction (3 × 10 mL of tert-butyl methyl ether). The dry product was separated from inorganic salts through the addition of anhydrous methanol, in which the product was dissolved. Solid components were removed via filtration through a folded filter.
2.3.2. Synthesis of 1,4-Diaminoanthraquinone-2-Sulphonic Acid (DAAS) and Reduction to 1,4-Diaminoanthrahydrochinon-2-Sulphonic Acid (DAHS)
A total of 50 mg of 1,4-diaminoanthraquinone and 0.2 mL of chlorosulphonic acid were added to a 5 mL V-bottom glass vial, which was immediately sealed and heated at 110 °C for 2 h. After cooling, 2 mL of disodium carbonate solution (0.1 g/mL) was added for neutralisation. The reaction residue was washed with water (3 × 10 mL). The aqueous solutes were joined in a separatory funnel and washed with 3 × 10 mL of tert-butyl methyl ether to eliminate the starting material. The combined aqueous washing solution was purified over an SPE work-up on a weak anion exchanger cartridge (cf. Section 2.7). The target compound was dried and 8 mg of DAAS was yielded as a blue residue. The product was dissolved (25 mL water) and split into eight equal aliquots for the reduction step.
Each aliquot was placed in a V-bottom glass vial and mixed with 250 µL of reducing agent (cf. Section 2.5), heated (110 °C) until a stable yellow colour was established. All mixtures were joined and diluted (25 mL water) to inhibit precipitation. The solution was purified via SPE cartridge on a weak anion-exchanger and polyamide phase (Chromafix® L, Macherey and Nagel GmbH, Düren, Germany). The eluates were lyophilised. A total of 4 mg of DAHS was yielded with a chromatographic purity of 77% (by peak sum according to the MS base peak chromatogram; see Table S2 and Figure S2 for further detail).
2.4. Food Sample Matrix Preparation
A dye-fixing agent was prepared through dissolving 75 g of sodium chloride, 6 g of sodium carbonate, and 2 g of sodium hydroxide in 1 L Nanopure®. Dyed maize starch samples were prepared by mixing 0.03 g colourant powder with 0.3 g maize starch powder (Carl Roth GmbH, Karlsruhe, Germany) and adding 1.5 mL fixing agent in a 2 mL tube (Protein LoBind® Tube 2 mL, Eppendorf SE, Hamburg, Germany). The dispersions were agitated at ambient temperature (30 min) to allow for the fixation of the colourant and heated (70 °C, 1 h) under stirring. Cooled dispersions were transferred to a 15 mL screw-cap vial and washed, discarding the coloured supernatant and adding water to the residue. After that, the mixture was vigorously shaken to allow the unbound dye residue to dissolve in the added water. The vial was then centrifuged to ensure precipitation of the suspension. The washing step was repeated until no colour was observed in the supernatant (approx. 4 to 7 washing steps). The residue was then washed with ammonium hydroxide solution (5% v/v), similarly to the previous procedure, and finally washed with methanol to displace ammonia and water. Methanol was discarded and the residue was dried overnight on glass plates to yield a coloured powder.
Two reactive dye-spiked confectionery samples, hard candy and gummy candy, were prepared by the German Institute of Food Technologies (DIL, Quakenbrück, Germany) in a double-blinded procedure. As the commercial sample, blue coloured maize chips (origin: Mexico; containing CI 42090 (Brilliant Blue FCF)) were ground to a coarse powder. An aliquot of 5 g was mixed with 0.05 g of RB19-dyed maize starch powder.
2.5. Reductive Cleavage of Reactive Dyes with Acidic Tin(II)chloride
The method was modified from that of Januschewski et al. and Voyksner et al. [49,50]. A tin(II)chloride solution, with a concentration of 250 mg/mL in 20 w% hydrochloric acid, was prepared, referred to as the reducing agent. For reductive cleaving, standard solutions of reactive dyes (1 g/L) and dyed maize starch were treated with the reducing agent. In control solutions, the reducing agent was substituted with hydrochloric acid (20 w%). The reductive treatment was carried out through the addition of 0.5 mL of standard dye solution (1.0 g/L) or a suspension of 0.03 g of dyed maize starch in 0.5 mL water to 250 µL of the reducing agent in a 2 mL reaction tube (LoBind® Eppendorf Tube, Eppendorf, Hamburg, Germany), before heating the reaction mixture in a thermoshaker (TS-100, Biosan, Riga, Latvia) at 70 °C under constant agitation for 4 h. The mixture was then centrifuged at 10,000 rcf for 5 min (Centrifuge 5430 R, Eppendorf, Germany) and the supernatant was used for the SPE clean-up step (cf. Section 2.7).
2.6. Enzymatic Cleavage of Reactive Dyes with Laccase
For the enzymatic formation of cleavage products, 0.5 mL reactive dye standard solution (1 g/L) and 1 mL of ammonium acetate buffer solution (50 mM, pH4) were mixed in a 2 mL reaction tube and 300 µL of aqueous laccase solution was added. For the dyed maize starch, 0.03 g dyed starch was suspended in 1.5 mL of the same buffer solution and 300 µL of laccase reaction solution was added. In the control, the laccase solution was substituted with water. The reaction mixture was incubated for 4 h at 55 °C under constant agitation in a thermoshaker. After reaction, the mixture was centrifuged at 10,000 rcf for 5 min and the supernatant was used for the SPE clean-up step.
2.7. Solid Phase Extraction (SPE)
The reaction mixtures were cleaned up on a weak anion exchange phase (Strata-X-AW, bed/cartridge size: 500 mg/6 mL, Phenomenex Ltd., Aschaffenburg, Germany). For conditioning, 4.0 mL methanol and 4.0 mL water were passed through the cartridges. The sorbent was not allowed to dry and the cooled-down reaction mixture was loaded. If the reaction mixture originated from the tin(II)chloride-treatment, 2 mL of water was pre-added to the cartridge to dilute the acid and prevent degradation of the SPE phase. The washing step was performed by adding 12.0 mL of water and then 12.0 mL of methanol. The elution step was performed by adding 4.0 mL of a solution consisting of methanol and concentrated ammonium hydroxide in a 95:5 v/v ratio. The eluates were dried under N2 stream and the residues were re-dissolved in a 0.5 mL acetic acid–ammonium acetate buffer (10 mmol, pH 5.0). Subsequently, the samples were membrane-filtered using a 0.2 µm pore size PTFE filter and analysed via LC-ESI-MS/MS.
2.8. High-Performance Liquid Chromatography Coupled Mass Spectrometry (LC-ESI-MS/MS)
The HPLC system (1100/1200 series, Agilent, Waldbronn, Germany) consisted of a binary pump (G1312A), autosampler (G1329A), column oven (G1316A), and photodiode-array detector (G1315B), and was coupled with an ion-trap mass spectrometer (HCT Ultra ETD II, Bruker Daltonics, Bremen, Germany) with an electrospray ionisation (ESI) source. The samples were separated on a ProntoSIL 120-5 C18 AQ column with pre-column (250 × 2.0 mm, Bischoff chromatography, Leonberg, Germany) using water + 0.1% formic acid (eluent A) and acetonitrile + 0.1% formic acid (eluent B) at a flow rate of 0.25 mL/min. The gradient steps were set to change from 99% A to 80% A over 20 min, 80% A to 50% A in 15 min, and 50% A to 0% A in 10 min, before remaining at 0% A for 10 min, changing to 99% A over 5 min, and remaining at 99% A over 10 min. The column temperature was set to 20 °C. The photodiode array detector was operated in an acquisition range of 200–700 nm without a reference wavelength, using a sampling rate of two spectra/s, sampling interval of 0.5 nm, and bandwidth of 8 nm. The ESI source was operated in negative mode using nitrogen as a nebulizer (60 psi) and drying gas at a rate of 11.0 L/min (temp. 350 °C). The scan range was set between m/z 50 and 1500 using the rapid detection ultra mode with a mass scanning range of 26.000 m/z per second. MS1 parameters were as follows: voltage of high-voltage (HV) capillary 3500 V, HV end plate offset −500 V, trap drive 57.9, octopole Rf amplitude 153.2 Vpp, lens 2 60 V, capillary exit −109.1 V, target mass 302, max. accumulation time 200.000 μs, ion charge control (ICC) target 70,000, average of five spectra. MS2 parameters were as follows: scan range and ICC as mentioned above, precursor ions 5 with ≥10,000 cts, isolation width 4.0 m/z, synchronised precursor selection mode, fragmentation amplitude 1 V, fragmentation time 40 ms, average of three spectra. The injection volume of the autosampler was set to 10 µL except when stated otherwise. Blank solutions (ACN/H2O, 1:1, v/v)) were periodically injected between the measuring solution to rule out carryover effects. Results were evaluated with the software Data Analysis 4.0 (Bruker Daltonics, Bremen, Germany).
2.9. Spectroscopic Measurements
The molecular structure of AAS, DAHS, and DAAS were identified by one- and two-dimensional nuclear magnetic resonance (NMR) spectroscopic experiments (1H, 13C, HSQC, HMBC) on a Fourier 300 spectrometer (Bruker Biospin, Ettlingen, Germany) with a probe head at 300.1 (1H) and 75.5 (13C) MHz. Samples of AAS and DAHS were measured in d6-dimethylsulphoxide; DAAS was measured in d3 methanol. All samples were referenced to tetramethylsilane (TMS). The chemical shifts, the connectivity, and coupling constants of AAS and DAHS are reported in Appendix A.
3. Identification and Detection Criteria
Cleavage products (CPs) were considered as reliable markers in reactive dye analysis if they met the following criteria:
- The molecular mass and fragmentation pattern of each product, as determined via MS/MS analysis, correlate with the molecular structure of the precursor dye;
- The CPs must not be integral to the anchor structure of the dye to ensure they can be detected when obtained from bound reactive dyes;
- The CPs must not exhibit an identical structure to products derived from approved food colourants or other food constituents to ensure their specific identification;
- The CPs must have at least one weak anionic group, such as a sulphonate or carboxylate group, so that they can be accumulated via anionic exchange SPE.
In the LC-ESI-MS/MS analysis, a specific CP was considered as detected if the following conditions were met: the mass error of the precursor ion was less than or equal to 0.1 m/z and yielded the same ion upon fragmentation as the synthesised standard of the CP. The deviation tolerance threshold for the retention time was set to 0.5 min to account for peak-broadening effects at higher concentrations. In the extracted ion chromatogram (EIC) trace, the intensity threshold above which the signal of the analyte could reliably be identified depended on the detection of the unique fragment ion in the MS2. At higher concentrations, the ultraviolet and visual (UV/Vis) spectra of the compounds can also be used as an optional criterion for the identification of CPs, as their characteristic absorption maximum in the visible range (≈470 nm) differs distinctly from their parent anthraquinone dyes, which absorb at longer wavelengths (>600 nm).
4. Limit of Detection (LOD)
A stock solution of each synthesised CP analogue DAHS and AAS in solvent A at a concentration of 10 µg/mL was diluted to concentrations of 0.15 µg/mL, 0.1 µg/mL, 0.05 µg/mL, and 0.02 µg/mL, and each step was measured with LC-ESI-MS/MS. The LOD was defined as the lowest dilution that met one or both of the following criteria for three consecutive injections: (1) a signal intensity at least three times greater than the amplitude of the background noise in the EIC and (2) confirmation of the signal using the MS2 fragmentation pattern.
To evaluate possible matrix effects, a 0.3 g maize chip matrix was added to two solutions of the RB4 standard. Each was treated separately with tin(II)chloride reagent and laccase. The amount of RB4 was chosen to be approx. 450 µg of the dye sample, which corresponds to 0.15 µg/mL of the potentially formed cleavage product. This calculation took into account the purity of the dye (35%) and the conversion of the molecular mass, considering that the CPs make up approx. half of the molecular mass (cf. Appendix B).
Another set of the maize chip matrix was spiked with CP standard solution after treatment with tin(II) chloride or laccase prior to SPE. Both CP standards were added at a concentration corresponding to three times the LOD (0.15 µg/mL). All solutions were compared to the respective non-treated standard solution of 0.15 µg/mL in LC-ESI-MS/MS and, after dilution, to the LOD-level concentration of 0.05 µg/mL.
5. Results and Discussion
5.1. Anthraquinone Dye Acquisition and Characterisation
The structures of the acquired dyes were verified using mass spectrometry, as consistency between the received standards and the structures reported in the literature needed to be confirmed. The reactive dyes were partially hydrolysed (cf. Section 2.2) to ensure the formation of hydrolysis products. The solutions were injected into LC-ESI-MS/MS, and the resulting ionic mass signals were compared with the theoretical exact mass of the investigated compound structure. Table 1 shows the researched structure, its calculated ion mass, and the result of the mass spectrometric determination. For RB2, RB4, RB5, RB17, RB19, RB27, RB74, and RG8 the measured mass correlated with the researched structure [56,57], while for RB29 the available structure [58] could not be verified. For RB42, no information about the structure could be obtained, but an anthraquinone class membership was suspected.
5.2. Identification of Characteristic CPs in Standard Reaction Solutions
The RB4 and RB19 standards were reductively and enzymatically cleaved, as described in Section 2.5 and Section 2.6, in order to generate potential CPs. During the reaction, a colour shift from blue to light yellow (tin(II)chloride treatment) and yellow-brown (laccase treatment) could be observed in the respective reaction solution. Since sulphonic groups are present in all known structures of reactive dye standards, work-up on a weak anion exchanger was considered a promising method to purify and enrich the anionic CPs that could subsequently be detected in LC-ESI-MS/MS mode with negative ionisation. Two main compounds were detected via LC-ESI-MS/MS that met the criteria stated in Section 3. The compound ions were each characterised according to their ion mass and proposed to be degradation products of the dye chromophore since they occurred in RB4 and RB19, which differ in their remaining structure but are identical in their chromophoric structure. The compound with the m/z 319 was detected at Rt 35 min and the compound with m/z 302 was detected at Rt 37 min (cf. Figure 2a). Both signals exhibited a neutral loss of Δm/z 64 in MS2 measurements (cf. Figure 2b). The compounds were identified as 1,4-diaminoanthrahydroquinonesulphonic acid (DAHS) and 1-aminoanthraquinonesulphonic acid (AAS) because they matched in retention time, ion mass, and fragmentation pattern (for structures cf. Scheme 1).
Figure 2.
(a) LC-ESI-MS/MS extracted ion chromatogram (EIC) of m/z 319 (red) with a signal peak at Rt 35 min and m/z 302 (blue) with a signal peak at Rt 37 min. The signals of 1 µL injection solution of Reactive Blue 4 treated with tin(II)chloride (panel 1) and with laccase (panel 2) match in terms of mass, fragmentation, and retention time, along with the corresponding standards (panels 3 and 4); (b) exemplary fragmentation MS1 → MS2 of m/z 319 → 255 (red) and m/z 302 → 238 (blue) peak species; both signals exhibit a neutral loss of Δm/z 64, which corresponds to the elimination of sulphur dioxide.
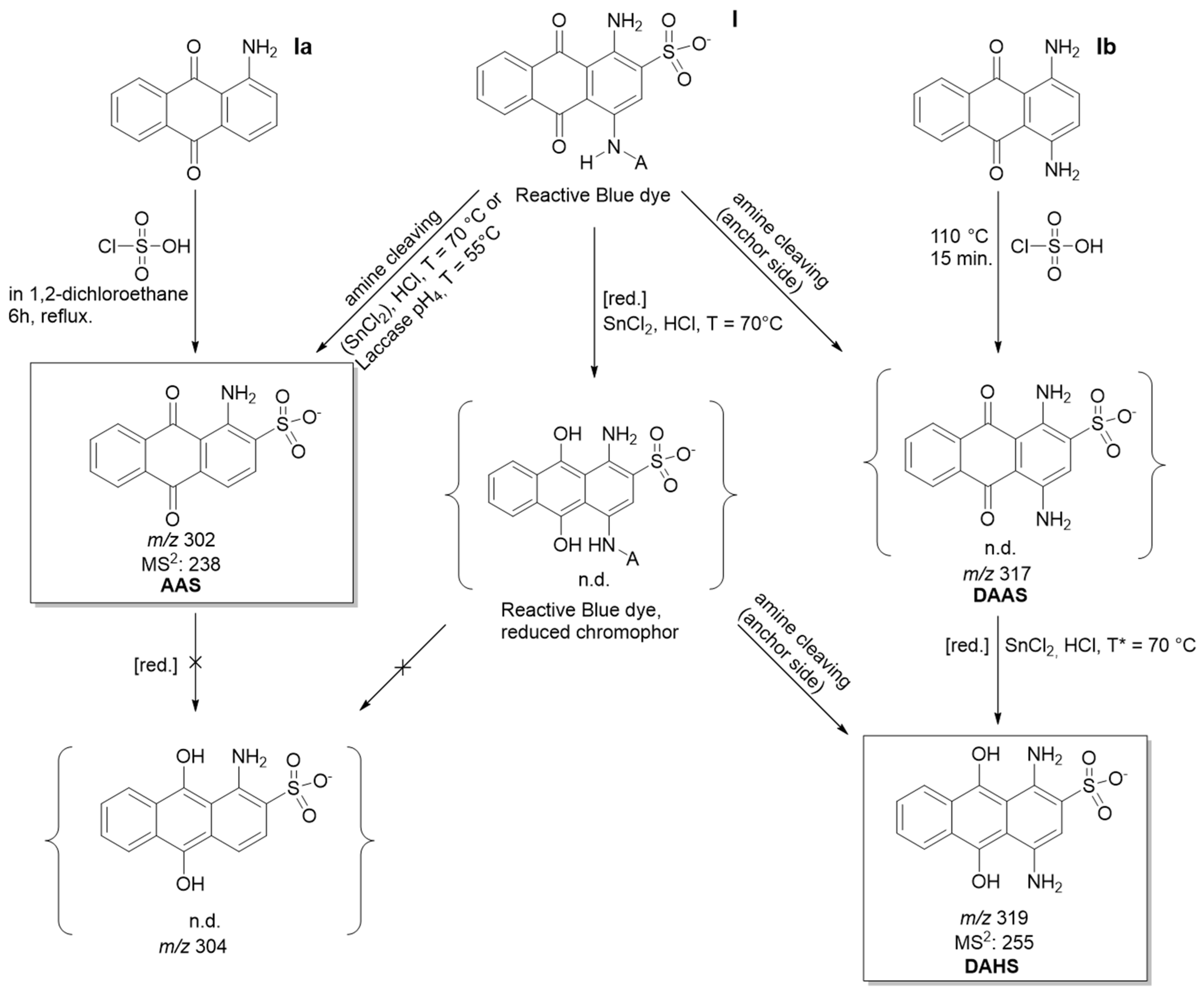
Scheme 1.
Postulated reaction pathway of anthraquinone dye upon treatment with laccase or acidic tin(II)chloride; (I) reactive dye molecule with bound anchor (A); (Ia,Ib) precursors in cleavage product synthesis; (left) formation pathway of 1-aminoanthraquinonesulphonic acid (AAS); (right) formation pathway of 1,4-diaminoanthrahydroquinonesulphonic acid (DAHS) with 1,4-diaminoanthraquinonesulphonic acid (DAAS) as synthesis intermediate; n.d. = not detected; * = temp. of 100 °C in synthesis step.
The standards were synthesised via the electrophilic addition of chlorosulphonic acid to the respective aminoanthraquinone (cf. Section 2.3). In the case of 1,4-diaminoanthraquinone, a reduction step for the obtained 1,4-diaminoanthraquinonesulphonic acid (DAAS) was necessary to yield the postulated DAHS (cf. Scheme 1). The structures of AAS, DAAS, and DAHS were confirmed via NMR spectrometry (cf. Appendix A, Slideshow S1). DAAS, which was previously reported by Pereira et al. [51], obtained under similar enzymatic conditions and analysed with LC-MS, was not present in the dye reaction solution under the chosen treatment. Furthermore, the potentially formed 1-aminonthrahydroquinonesulphonic acid was also not detected (cf. Scheme 1). The observed neutral loss of Δm/z 64, caused by the characteristic elimination of sulphur dioxide from an anthraquinone backbone, is in agreement with the results reported by Li et al. [59].
DAHS was mainly present in standard solutions treated with tin(II)chloride, with AAS as a major byproduct in the cases of RB4 and RB19. AAS was identified as the major product after laccase cleavage, while DAHS could not be detected under laccase cleavage conditions. The reduction of AAS to 1-aminoanthrahydroquinonesulphonic acid could not be achieved via treatment with the reducing agent. The occurrence of AAS under reductive conditions, without the detection of 1-aminoanthrahydroquinonesulphonic acid, suggests a competing reaction at the cleavage site. Furthermore, it indicates that the second amine group in the C4 position is required for reduction, possibly due to the additional hydrogen bond stabilisation.
Since CPs were detected and characterised in case of both reactive dye standards, further anthraquinone dye standards were treated under identical conditions. AAS and DAHS were detected in all standards with a sufficient MS signal response and differences in their respective intensity distribution (cf. Table 2). A wider variety of UV/Vis-active, uncharacterised CPs were formed with laccase than with reductive cleavage, which showed higher selectivity in CP formation. Higher signal intensities for DAHS were detected in tin(II)-treated samples, while AAS appeared in greater abundance in the laccase-treated solution. Both cleavage methods are capable of forming potential marker compounds for the class of anthraquinone reactive dyes when present in aqueous solution. The required reaction time differed between each dye type. A colour shift from blue to yellow could be observed after 3 min for RB4. In other cases, e.g., RB27, blueish hues could still be observed after each treatment when the reaction was stopped after 4 h. With RG8, a colour shift from green to blue and then to yellow could be observed in the tin(II)chloride reaction. This suggests that the azo bridge in the molecule is cleaved first, destroying the yellow chromophore while leaving the blue anthraquinone temporarily intact.
Table 2.
Peak intensity, retention time, detected MS2 fragment ion, and measured m/z of the characteristic cleavage products DAHS and AAS after tin(II)chloride or laccase treatment of the respective dye standard solution; n.d. = not detected.
5.3. Application to Matrix-Bound Dyes
To assess whether the cleavage reaction could also be used to obtain the characterised CP from a covalent bound dye molecule, the method was tested on matrix-bound dye. Since polysaccharides are abundant in foods and often used as carrier matrices in processed foods to facilitate flavour retention, starch was selected as the underlying matrix for this part of the study. It was further assumed that the dyeing conditions of cellulose-based applications could easily be transferred to an amylose matrix due to the structural similarities between their glucose monomers. Starch from maize was dyed under alkaline hot conditions (cf. Section 2.4), as preliminary experiments showed the dye had better overall affinity to the matrix compared to a neutral dye bath. Uniform staining conditions were applied for all reactive dye species, despite possible affinity differences between reactive anchor groups. To minimise false-positive detections, the goal was to achieve the maximum staining of the starch, while a thorough washing of the stained matrix ensured that only covalently bound dye remained and no adsorptive residues. For the same reason, an ammoniacal wash solution was used to facilitate the desorption of non-covalently fixated dye molecules. A final wash step with methanol was performed to ensure that non-polar substances, such as production by-products, were removed from the matrix. All staining processes using the respective dye standards resulted in the successful colouration of the maize starch matrix. High colour intensity was achieved with all dyes except for RB29 and RB42. The reduced staining with RB29 may be attributed to the structural properties of its dichloroquinoxaline anchor or a generally low content of reactive dye species in the sample. RB42, which also showed a reduced matrix staining, may also differ in its anchor structure or matrix affinity compared to the other standards. No visible difference in dye intensity was observed between dyes containing vinyl sulphonyl ethyl anchor groups (RB19 and RB27) and those with chlorotriazine anchors.
The cleavage reactions were performed using the methods described in Section 5.2. Following tin(II)-treatment, the matrix dissolved and the colour of most reaction solutions changed from blue to brownish yellow over 4 h, with the colour change being less pronounced in reaction mixtures with RB2, RB19, RB27, and RB74. Following laccase treatment, matrix residues were present and no change in matrix was observed. After centrifugation, the supernatant was either colourless or had a faint hue similar to that observed in the reaction without the matrix.
In LC-ESI-MS/MS measurements of dye species treated with tin(II)chloride, the characteristic CP DAHS could be detected in EIC and UV/Vis chromatograms in all solutions (cf. Table 3). However, after enzymatic cleavage, CP peaks were significantly smaller or, in the case of AAS, could not be detected in all reaction solutions, although this was the major CP after the enzymatic cleavage of reactive dye standard solutions. On the other hand, DAHS, which was present in large amounts under the reducing conditions of tin(II)chloride treatment, was detected in all solutions derived from the enzymatic cleavage of matrix-bound dye.
Table 3.
Peak intensity, retention time, detected MS2 fragment ions, and measured m/z of characteristic cleavage products DAHS and AAS after tin(II)chloride or laccase treatment of the respective dyed maize starch matrix; n.d. = not detected.
Further investigations indicated that the dye must be covalently bound to the maize starch matrix to reproduce the effect. In an enzymatic reaction solution, to which an unbound RB4 standard was added together with uncoloured corn starch, no DAHS formation could be detected. Further experiments tested whether the presence of glucose (c = 1 mol/L) would influence the reaction outcome, but the formation of DAHS could not be reproduced in this way. Further investigations of this effect could provide insights into the underlying laccase-mediated cleavage reaction mechanism and are the subject of ongoing research.
The fact that species such as DAAS, which were detected in previous reports on enzymatic laccase cleavage, could not be detected in this study could be explained by the differences in laccase origin. It is most likely that, with different types of laccases, the formation of specific CPs might vary. For example, in the work of Osma et al., no AAS equivalent could be identified after treating RB19 with laccase from Trametes pubescens [23]. On the other hand, Pereira et al. reported the formation of DAAS after laccase (from Bacillus subtilis) treatment of Acid Blue 62, an anthraquinone acid dye without an anchor group [51]. The variability in cleavage products across different laccase sources presents a limitation for method standardisation. While our study demonstrated successful detection using a commercial laccase preparation, the potential differences in cleavage patterns between various laccase sources would need to be systematically evaluated before implementing a routine detection method.
Control samples with the dye species (matrix-bound and standard dye solution) were prepared without the addition of either the reducing agent tin(II)chloride or laccase. LC-ESI-MS/MS measurements were performed after the standard treatment and work-up procedures. RB4 was used as a representative dye standard to assess the effect of the reaction parameters (temperature, pH, and reaction time) on the stained matrix in the absence of a treatment agent. These conditions affected both the stability and solvation of the dye within the matrix. In the absence of tin(II)chloride, hydrochloric acid was added to the dispersion of the matrix-bound RB4 standard. The coloured matrix residue dissolved within 1 h after initiation of the reaction and the solution retained its blue colour throughout the reaction period. The dissolution of the matrix under these strong acidic conditions indicates that hydrolysis of the carbohydrate matrix occurred, potentially offering easier access to the reactive agent used to cleave the dye. In the LC-ESI-MS/MS analysis, various analytes with a blue colour, namely m/z 470, 599, 488, and 782, were detected. Of these, m/z 599 [M − 2Cl + 2OH − H]− and 488 [M-Anchor-H]− were attributed to the hydrolysed RB4 dye molecule. The detection of AAS in significant abundance indicates that the acidic conditions contribute to the hydrolysis of the dye and the release of the anthraquinone chromophore. However, the presence of unreacted dye species demonstrated that tin(II)chloride is essential for complete conversion of the dye into its cleavage products. The presence of AAS but not DAAS indicates that the reaction pathway of DAHS is specific to the reductive conditions, whereas AAS does not undergo reduction to 1-aminoanthrahydroquinonesulphonic acid (cf. Scheme 1). This may explain why both species are observed after treatment with acidic tin(II)chloride solution. RB4-stained maize starch was also treated in an ammonium acetate buffer (pH 4) without the addition of laccase, using water instead (cf. Section 2.6). After 4 h reaction time, a substantial amount of solid matrix remained and the supernatant exhibited a pale blue colouration, indicating the hydrolysis of reactive dye species. Since acid hydrolysis limits the enzyme’s accessibility to the dye species, this provides a plausible explanation for the limited formation of CPs when laccase is employed with a stained matrix. This experiment also confirms that extraction conditions based on mild acid treatment in aqueous solution are not sufficient to extract substantial amounts of the covalently bound dye fraudulently used in food matrices.
5.4. Application on Food Matrices
To replicate the complexity of real food matrices, the methods were tested on food samples prepared with reactive dyes (cf. Section 2.4). These experiments did not undergo quantitative analysis; instead, we evaluated whether the methods could reliably detect cleavage products in food matrices with technologically feasible amounts of dyes without prior enrichment via an SPE step. Laboratory-made products—candy and jelly/gummy candy—with added reactive dyes were prepared by the German Institute for Food Technology, and fried maize chips were purchased and spiked with one mass % of maize starch previously stained with RB19. All three foods were weighed without further drying in portions of approximately 0.3 g for tin(II)chloride treatment and 0.7 g for laccase treatment, which corresponds to the practical maximum amounts of the starting material.
After tin(II)chloride treatment, DAHS was detected in all three food matrices, although the reaction time was shortened by 2 h for jelly/gummy candy and hard candy due to the occurrence of caramelisation reactions. AAS was predominantly detected in jelly/gummy candy and hard candy, but was not detected in the maize chips matrix. No CPs were detected in maize chips after laccase treatment, while DAHS was only detected in the jelly/gummy candy sample. AAS was found in both jelly/gummy candy and hard candy. The absence of CPs in the maize chips matrix provides further evidence for the finding that starch-bound reactive dyes are not accessible for enzymatic conversion if the matrix is not sufficiently hydrolysed.
5.5. LOD of Cleavage Products
The LOD of the characteristic cleavage products was determined by measuring diluted standard solutions (cf. Section 4). Each solution of DAHS and AAS was measured with LC-ESI-MS/MS and the LOD was determined in the EIC of the respective ion mass trace. It was found that the LOD for both compounds occurred at a dilution of 0.05 µg/mL, as both compounds could not be detected in three consecutive measurements at a dilution level of 0.02 µg/mL using the detection criteria (cf. Section 3).
In the presence of the maize chips matrix, DAHS could be detected at the LOD level in the range of 0.3 µg/mL RB4 equivalents after tin(II)chloride treatment (cf. Section 4). When the concentration was tripled to 0.9 µg/mL, both DAHS and AAS could be detected. Under these conditions, the formation of DAHS was favoured over AAS, resulting in DAHS being more easily detected. With laccase, DAHS was detected at a level of 0.9 µg/mL RB4 equivalent, while AAS could not be detected at this level, although it was determined to be the predominant CP after laccase treatment when the reactive dye was not bound to the matrix. This demonstrates the limitations of laccase-mediated CP formation, especially when the reactive dye is bound or in the presence of a matrix. The results further suggest that the enzymatic cleavage process is significantly influenced by the matrix effects, possibly due to steric hindrance or the presence of redox-mediating species.
6. Conclusions
This study confirms that it is possible to generate characteristic cleavage products of reactive dyes from the anthraquinone class using both acidic treatment with tin(II)chloride and enzymatic treatment with the oxidoreductase laccase. The main products observed, DAHS and AAS, were identified as suitable marker compounds for the detection of these dye species in starch-based foods. Treatment with tin(II)chloride showed high specificity in the formation of CP from starch-bound dyes, while laccase effectively generated AAS from dissolved dye standards but showed limitations with bound dyes. Further studies on the a priori enzyme digestion of the food matrix may improve laccase’s effectiveness in bound reactive dye matrices. An LOD could be specified for the synthesised DAHS and AAS standards. To the best of our knowledge, no LODs for these substances have been specified to date. Further research should aim to validate and extend the methodology to other food matrices and reactive dye classes by identifying common molecular characteristics within these classes. This approach could be applicable to all dyes containing azo or amino linkages between sulphonated aromatic structures. Reactive dyes are not approved for use in food; therefore, the qualitative determination of CPs is sufficient for a marketing ban.
Supplementary Materials
The following supporting information can be downloaded at: https://www.mdpi.com/article/10.3390/colorants4010006/s1, Method S1: Method for laccase activity calculation; Table S1 and Figure S1: Purity of AAS standard solution; Table S2 and Figure S2: Purity of DAHS standard solution; Slideshow S1: 1H-NMR and 13C-NMR spectra of cleavage compounds.
Author Contributions
Conceptualization, L.K., B.N.T., G.J. and P.W.; methodology, L.K. and B.N.T.; software, L.K.; investigation, L.K., C.T. and L.D.; writing—original draft preparation, L.K.; writing—review and editing, L.K., B.N.T., G.J. and P.W.; supervision, G.J. and P.W.; project administration, P.W.; funding acquisition, G.J. and P.W. All authors have read and agreed to the published version of the manuscript.
Funding
This research is part of the project 01IF22275N of the Research Association of the German Food Industry (FEI) and supported within the programme for promoting the Industrial Collective Research (IGF) of the Federal Ministry of Economic Affairs and Climate Action (BMWK), based on a resolution of the German Parliament.
Institutional Review Board Statement
Not applicable.
Informed Consent Statement
Not applicable.
Data Availability Statement
The raw data supporting the conclusions of this article will be made available by the authors on request.
Acknowledgments
We thank TU Dresden Historical Collection of Dyes for providing the reactive dye samples used in this study. We also acknowledge the preparation of food samples by the German Institute of Food Technology.
Conflicts of Interest
The authors declare no conflicts of interest.
Appendix A
NMR-characterisation of 1-Aminoanthraquinonesulphonic acid (AAS):
- 1H-NMR (300 MHz, DMSO)): δ = 9.32 (s, 1H, 1-NH-H), 7.46 (s, 1H, 1-NH-H), 7.16 (s, 1H, 2-SO3H), 8.21 (m, 1H, 8-H), 8.12 (m, 1H, 5-H), 7.93 (d, J = 7.7 Hz, 1H, 3-H), 7.88 (m, 1H, 6-H), 7.83 (m, 1H, 7-H), 7.40 (d, J = 7.7 Hz, 1H, 4-H).
- 13C-NMR (70 MHz, DMSO): δ = 184.0 (C=O), 183.0 (C=O), 148.0 (C-NH2), 138.0 (C-4a), 134.6 (C-6), 134.5 (C-8a), 134.5 (C-10a), 134.3 (C-SO3H), 133.6 (C-7), 132.9 (C-3), 129.7 (C-5), 126.6 (C-8) 114.0 (C-4), 113.0 (C-9a).
NMR-characterisation of 1-Aminoanthrahydroquinonesulphonic acid (DAHS):
1H-NMR (300 MHz, DMSO):
- δ = 13.29 (m, 2H, 9-OH; 10-OH), 8.29 (m, 2H, 5-H; 8-H), 7.99 (m, 2H, 6-H; 7-H), 7.66 (s, 1H, 3-H), 7.26 (m, 2-SO3H; 1-NH2; 4-NH2).
13C-NMR (75 MHz, DMSO):
- δ = 186.7 (C-10), 186.6 (C-9), 155.7 (C-1), 154.7 (C-4), 145.9 (C-2), 135.1 (C-6), 135.0 (C-7), 133.0 (C-8a; C-9a), 126.8 (C-5), 126.7 (C-8), 126.5 (C-3), 113.5 (C-4a; C-10a).
Appendix B
Equation (A1) used for the approximation of the respective reactive dye concentration to match a cleavage product concentration of 0.15 µg/mL, as demonstrated for RB4 and DAHS.
with the following abbreviations:
- : concentration of the measuring solution approx. 3x LOD concentration in µg/mL;
- : purity of RB4 standard (35%);
- : employed mass of RB4 standard in µgl;
- : molecular mass of RB4 and respective cleavage compound (CP) of DAHS;
- : volume of measuring solution.
References
- Martins, N.; Roriz, C.L.; Morales, P.; Barros, L.; Ferreira, I.C.F.R. Food Colorants: Challenges, Opportunities and Current Desires of Agro-Industries to Ensure Consumer Expectations and Regulatory Practices. Trends Food Sci. Technol. 2016, 52, 1–15. [Google Scholar] [CrossRef]
- Spence, C. On the Psychological Impact of Food Colour. Flavour 2015, 4, 21. [Google Scholar] [CrossRef]
- Regulation (EC) No 1333/2008 of the European Parliament and of the Council of 16 December 2008 on Food Additives. Available online: https://eur-lex.europa.eu/legal-content/EN/TXT/HTML/?uri=CELEX:02008R1333-20241028#anx_I (accessed on 13 December 2024).
- Ramos-Souza, C.; Bandoni, D.H.; Bragotto, A.P.A.; De Rosso, V.V. Risk Assessment of Azo Dyes as Food Additives: Revision and Discussion of Data Gaps toward Their Improvement. Compr. Rev. Food Sci. Food Saf. 2023, 22, 380–407. [Google Scholar] [CrossRef] [PubMed]
- Silva, M.M.; Reboredo, F.H.; Lidon, F.C. Food Colour Additives: A Synoptical Overview on Their Chemical Properties, Applications in Food Products, and Health Side Effects. Foods 2022, 11, 379. [Google Scholar] [CrossRef]
- EFSA. Opinion of the Scientific Panel on Food Additives, Flavourings, Processing Aids and Materials in Contact with Food (AFC) to Review the Toxicology of a Number of Dyes Illegally Present in Food in the EU. EFSA J. 2005, 3, 263. [Google Scholar] [CrossRef]
- Amchova, P.; Kotolova, H.; Ruda-Kucerova, J. Health Safety Issues of Synthetic Food Colorants. Regul. Toxicol. Pharmacol. 2015, 73, 914–922. [Google Scholar] [CrossRef]
- McCann, D.; Barrett, A.; Cooper, A.; Crumpler, D.; Dalen, L.; Grimshaw, K.; Kitchin, E.; Lok, K.; Porteous, L.; Prince, E.; et al. Food Additives and Hyperactive Behaviour in 3-Year-Old and 8/9-Year-Old Children in the Community: A Randomised, Double-Blinded, Placebo-Controlled Trial. Lancet 2007, 370, 1560–1567. [Google Scholar] [CrossRef]
- Lehto, S.; Buchweitz, M.; Klimm, A.; Straßburger, R.; Bechtold, C.; Ulberth, F. Comparison of Food Colour Regulations in the EU and the US: A Review of Current Provisions. Food Addit. Contam. Part A 2017, 34, 335–355. [Google Scholar] [CrossRef] [PubMed]
- Commission Regulation (EU) No 231/2012 of 9 March 2012 Laying down Specifications for Food Additives Listed in Annexes II and III to Regulation (EC) No 1333/2008 of the European Parliament and of the Council. Available online: http://data.europa.eu/eli/reg/2012/231/2024-10-27 (accessed on 13 December 2024).
- Yamjala, K.; Nainar, M.S.; Ramisetti, N.R. Methods for the Analysis of Azo Dyes Employed in Food Industry—A Review. Food Chem. 2016, 192, 813–824. [Google Scholar] [CrossRef] [PubMed]
- European Commission. RASFF Window—Search. Search Period: 1 January 2020–1 October 2024. Available online: https://webgate.ec.europa.eu/rasff-window/screen/search (accessed on 1 November 2024).
- Sciuto, S.; Esposito, G.; Dell’Atti, L.; Guglielmetti, C.; Acutis, P.L.; Martucci, F. Rapid Screening Technique To Identify Sudan Dyes (I to IV) in Adulterated Tomato Sauce, Chilli Powder, and Palm Oil by Innovative High-Resolution Mass Spectrometry. J. Food Prot. 2017, 80, 640–644. [Google Scholar] [CrossRef]
- Commission Implementing Regulation (EU) 2019/1793 of 22 October 2019 on the Temporary Increase of Official Controls and Emergency Measures Governing the Entry into the Union of Certain Goods from Certain Third Countries Implementing Regulations (EU) 2017/. Available online: https://eur-lex.europa.eu/eli/reg_impl/2019/1793/oj (accessed on 13 December 2024).
- Müller-Maatsch, J.; Schweiggert, R.M.; Carle, R. Adulteration of Anthocyanin- and Betalain-Based Coloring Foodstuffs with the Textile Dye ‘Reactive Red 195’ and Its Detection by Spectrophotometric, Chromatic and HPLC-PDA-MS/MS Analyses. Food Control 2016, 70, 333–338. [Google Scholar] [CrossRef]
- Januschewski, E.; Bischof, G.; Thanh, B.N.; Bergmann, P.; Jerz, G.; Winterhalter, P.; Heinz, V.; Juadjur, A. Rapid UV/Vis Spectroscopic Dye Authentication Assay for the Determination and Classification of Reactive Dyes, Monascus Pigments, and Natural Dyes in Coloring Foodstuff. J. Agric. Food Chem. 2020, 68, 11839–11845. [Google Scholar] [CrossRef] [PubMed]
- Zollinger, H. Chemismus Der Reaktivfarbstoffe. Angew. Chem. 1961, 73, 125–136. [Google Scholar] [CrossRef]
- Shan, B.; Xiong, W.; Zhang, S. Dyeing Method and Properties of a Novel Blue Azo-Anthraquinone Reactive Dye on Cotton. Molecules 2019, 24, 1334. [Google Scholar] [CrossRef] [PubMed]
- Sarwar, A.; Jabbar, A.; Riaz, S.; Malik, M.I. Sustainable Dyeing of Chemically Modified Cotton Fabric with Reactive Dyes in Acidic Condition. Cellulose 2024, 31, 4025–4041. [Google Scholar] [CrossRef]
- Xiao, H.; Zhao, T.; Li, C.-H.; Li, M.-Y. Eco-Friendly Approaches for Dyeing Multiple Type of Fabrics with Cationic Reactive Dyes. J. Clean. Prod. 2017, 165, 1499–1507. [Google Scholar] [CrossRef]
- Lewis, D.M.; Vo, L.T.T. Dyeing Cotton with Reactive Dyes under Neutral Conditions. Color. Technol. 2007, 123, 306–311. [Google Scholar] [CrossRef]
- Leme, D.M.; de Oliveira, G.A.R.; Meireles, G.; Brito, L.B.; Rodrigues, L.d.B.; Palma de Oliveira, D. Eco- and Genotoxicological Assessments of Two Reactive Textile Dyes. J. Toxicol. Environ. Health Part A 2015, 78, 287–300. [Google Scholar] [CrossRef]
- Osma, J.F.; Toca-Herrera, J.L.; Rodríguez-Couto, S. Transformation Pathway of Remazol Brilliant Blue R by Immobilised Laccase. Bioresour. Technol. 2010, 101, 8509–8514. [Google Scholar] [CrossRef]
- Alam, R.; Ardiati, F.C.; Solihat, N.N.; Alam, M.B.; Lee, S.H.; Yanto, D.H.Y.; Watanabe, T.; Kim, S. Biodegradation and Metabolic Pathway of Anthraquinone Dyes by Trametes Hirsuta D7 Immobilized in Light Expanded Clay Aggregate and Cytotoxicity Assessment. J. Hazard. Mater. 2021, 405, 124176. [Google Scholar] [CrossRef] [PubMed]
- Chaudhari, A.U.; Paul, D.; Dhotre, D.; Kodam, K.M. Effective Biotransformation and Detoxification of Anthraquinone Dye Reactive Blue 4 by Using Aerobic Bacterial Granules. Water Res. 2017, 122, 603–613. [Google Scholar] [CrossRef] [PubMed]
- Husain, Q. Remediation of Phenolic Compounds from Polluted Water by Immobilized Peroxidases. In Emerging and Eco-Friendly Approaches for Waste Management; Springer: Singapore, 2018; pp. 329–358. [Google Scholar] [CrossRef]
- Silva, E.Z.M.; Sehr, A.; Grummt, T.; de Oliveira, D.P.; Leme, D.M. The Evaluation of Reactive Textile Dyes Regarding Their Potential to Cause Organ-Specific Cyto- and Geno-Toxicity. Ecotoxicol. Environ. Contam. 2022, 17, 60–66. [Google Scholar] [CrossRef]
- Møller, P.; Wallin, H. Genotoxic Hazards of Azo Pigments and Other Colorants Related to 1-Phenylazo-2-Hydroxynaphthalene. Mutat. Res. Mutat. Res. 2000, 462, 13–30. [Google Scholar] [CrossRef] [PubMed]
- Novotný, Č.; Dias, N.; Kapanen, A.; Malachová, K.; Vándrovcová, M.; Itävaara, M.; Lima, N. Comparative Use of Bacterial, Algal and Protozoan Tests to Study Toxicity of Azo- and Anthraquinone Dyes. Chemosphere 2006, 63, 1436–1442. [Google Scholar] [CrossRef]
- Zhu, Y.; Wu, Y.; Zhou, C.; Zhao, B.; Yun, W.; Huang, S.; Tao, P.; Tu, D.; Chen, S. A Screening Method of Oil-Soluble Synthetic Dyes in Chilli Products Based on Multi-Wavelength Chromatographic Fingerprints Comparison. Food Chem. 2016, 192, 441–451. [Google Scholar] [CrossRef] [PubMed]
- Périat, A.; Bieri, S.; Mottier, N. SWATH-MS Screening Strategy for the Determination of Food Dyes in Spices by UHPLC-HRMS. Food Chem. X 2019, 1, 100009. [Google Scholar] [CrossRef] [PubMed]
- Brazeau, J. Identification and Quantitation of Water-Soluble Synthetic Colors in Foods by Liquid Chromatography/Ultraviolet–Visible Method Development and Validation. ACS Omega 2018, 3, 6577–6586. [Google Scholar] [CrossRef] [PubMed]
- Bonan, S.; Fedrizzi, G.; Menotta, S.; Elisabetta, C. Simultaneous Determination of Synthetic Dyes in Foodstuffs and Beverages by High-Performance Liquid Chromatography Coupled with Diode-Array Detector. Dye. Pigment. 2013, 99, 36–40. [Google Scholar] [CrossRef]
- Lepri, L.; Desideri, P.G.; Coas, V. Separation and Identification of Water-Soluble Food Dyes by Ion-Exchange and Soap Thin-Layer Chromatography. J. Chromatogr. A 1978, 161, 279–286. [Google Scholar] [CrossRef]
- Hoodless, R.A.; Pitman, K.G.; Stewart, T.E.; Thomson, J.; Arnold, J.E. Separation and Identification of Food Colours. I. Identification of Synthetic Water Soluble Food Colours Using Thin-Layer Chromatography. J. Chromatogr. 1971, 54, 393–404. [Google Scholar] [CrossRef] [PubMed]
- Yoshioka, N.; Ichihashi, K. Determination of 40 Synthetic Food Colors in Drinks and Candies by High-Performance Liquid Chromatography Using a Short Column with Photodiode Array Detection. Talanta 2008, 74, 1408–1413. [Google Scholar] [CrossRef] [PubMed]
- Ji, C.; Feng, F.; Chen, Z.; Chu, X. Highly Sensitive Determination of 10 Dyes in Food with Complex Matrices Using SPE Followed by UPLC-DAD-Tandem Mass Spectrometry. J. Liq. Chromatogr. Relat. Technol. 2011, 34, 93–105. [Google Scholar] [CrossRef]
- Dossi, N.; Toniolo, R.; Pizzariello, A.; Susmel, S.; Perennes, F.; Bontempelli, G. A Capillary Electrophoresis Microsystem for the Rapid In-Channel Amperometric Detection of Synthetic Dyes in Food. J. Electroanal. Chem. 2007, 601, 1–7. [Google Scholar] [CrossRef]
- Domínguez-Rodríguez, G.; Montero, L.; Herrero, M.; Cifuentes, A.; Castro-Puyana, M. Capillary Electromigration Methods for Food Analysis and Foodomics: Advances and Applications in the Period March 2021 to March 2023. Electrophoresis 2024, 45, 8–34. [Google Scholar] [CrossRef] [PubMed]
- Lehmann, G.; Hahn, H.-G.; Collet, P.; Seiffert-Eistert, B. Beiträge Zur Analytik von Farbstoffen. Z. Lebensm. Unters. Forsch. 1970, 143, 256–263. [Google Scholar] [CrossRef]
- Gilhooley, R.A.; Hoodless, R.A.; Pitman, K.G.; Thomson, J. Separation and Identification of Food Colours. J. Chromatogr. A 1972, 72, 325–331. [Google Scholar] [CrossRef] [PubMed]
- Śmigiel-Kamińska, D.; Kumirska, J.; Wąs-Gubała, J.; Stepnowski, P. The Identification of Cotton Fibers Dyed with Reactive Dyes for Forensic Purposes. Molecules 2020, 25, 5435. [Google Scholar] [CrossRef] [PubMed]
- Sultana, N.; Williams, K.; Ankeny, M.; Vinueza, N.R. Degradation Studies of CI Reactive Blue 19 on Biodegraded Cellulosic Fabrics via Liquid Chromatography-photodiode Array Detection Coupled to High Resolution Mass Spectrometry. Color. Technol. 2019, 135, 475–483. [Google Scholar] [CrossRef]
- Lu, Z.; Xu, J.; Xu, Z.; Zhong, Y.; Mao, Z.; Meng, W. Study of Reactive Dyes and Their Hydrolyzed Forms in a Real Trichromatic Dyeing Process by Capillary Electrophoresis with UV Detection. Anal. Sci. 2024, 40, 1641–1651. [Google Scholar] [CrossRef] [PubMed]
- Dockery, C.R.; Stefan, A.R.; Nieuwland, A.A.; Roberson, S.N.; Baguley, B.M.; Hendrix, J.E.; Morgan, S.L. Automated Extraction of Direct, Reactive, and Vat Dyes from Cellulosic Fibers for Forensic Analysis by Capillary Electrophoresis. Anal. Bioanal. Chem. 2009, 394, 2095–2103. [Google Scholar] [CrossRef]
- Sirén, H.; Sulkava, R. Determination of Black Dyes from Cotton and Wool Fibres by Capillary Zone Electrophoresis with UV Detection: Application of Marker Technique. J. Chromatogr. A 1995, 717, 149–155. [Google Scholar] [CrossRef]
- Carey, A.; Rodewijk, N.; Xu, X.; van der Weerd, J. Identification of Dyes on Single Textile Fibers by HPLC-DAD-MS. Anal. Chem. 2013, 85, 11335–11343. [Google Scholar] [CrossRef] [PubMed]
- Rendle, D.F.; Crabtree, S.R.; Wiggins, K.G.; Salter, M.T. Cellulase Digestion of Cotton Dyed with Reactive Dyes and Analysis of the Products by Thin Layer Chromatography. J. Soc. Dye. Colour. 1994, 110, 338–341. [Google Scholar] [CrossRef]
- Januschewski, E.; Thanh, B.N.; Bischof, G.; Jerz, G.; Winterhalter, P.; Heinz, V.; Juadjur, A. Textilfarbstoffe in Lebensmitteln—Methoden Zum Nachweis Einer Unerlaubten Färbung Mit Reaktivfarbstoffen. Dtsch. Lebensm. Rundsch. 2021, 117, 113–120. [Google Scholar]
- Voyksner, R.D.; Straub, R.; Keever, J.T.; Freeman, H.S.; Hsu, W.N. Determination of Aromatic Amines Originating from Azo Dyes by Chemical Reduction Combined with Liquid Chromatography/Mass Spectrometry. Environ. Sci. Technol. 1993, 27, 1665–1672. [Google Scholar] [CrossRef]
- Pereira, L.; Coelho, A.V.; Viegas, C.A.; Ganachaud, C.; Iacazio, G.; Tron, T.; Robalo, M.P.; Martins, L.O. On the Mechanism of Biotransformation of the Anthraquinonic Dye Acid Blue 62 by Laccases. Adv. Synth. Catal. 2009, 351, 1857–1865. [Google Scholar] [CrossRef]
- Guo, M.; Lu, F.; Liu, M.; Li, T.; Pu, J.; Wang, N.; Liang, P.; Zhang, C. Purification of Recombinant Laccase from Trametes Versicolor in Pichia Methanolica and Its Use for the Decolorization of Anthraquinone Dye. Biotechnol. Lett. 2008, 30, 2091–2096. [Google Scholar] [CrossRef] [PubMed]
- Janusz, G.; Pawlik, A.; Świderska-Burek, U.; Polak, J.; Sulej, J.; Jarosz-Wilkołazka, A.; Paszczyński, A. Laccase Properties, Physiological Functions, and Evolution. Int. J. Mol. Sci. 2020, 21, 966. [Google Scholar] [CrossRef] [PubMed]
- Peralta-Zamora, P.; Pereira, C.M.; Tiburtius, E.R.; Moraes, S.G.; Rosa, M.A.; Minussi, R.C.; Durán, N. Decolorization of Reactive Dyes by Immobilized Laccase. Appl. Catal. B Environ. 2003, 42, 131–144. [Google Scholar] [CrossRef]
- Zhao, J.; Xu, L.; Wu, H. Process for Preparing Sodium 1-Amino-4-Bromoanthraquinone-2-Sulfonate. CN106083660. 2016. Available online: https://scifinder-n.cas.org/searchDetail/reference/678fb19c4ffe954bd9555ac6/referenceDetails (accessed on 20 January 2025).
- National Center for Biotechnology Information. PubChem Compound Summary for CID 656725, Reactive Blue 2; CID 25863, Procion Blue MX-R; CID 85599, Reactive Blue 5; CID 17410; CID 57574068 and CID 6337269. Available online: https://pubchem.ncbi.nlm.nih.gov (accessed on 1 December 2024).
- Ebner, G.; Schelz, D. Textilfärberei Und Farbstoffe; Springer: Berlin/Heidelberg, Germany, 1989. [Google Scholar] [CrossRef]
- Dehghani, M.H.; Naghizadeh, A.; Rashidi, A.; Derakhshani, E. Adsorption of Reactive Blue 29 Dye from Aqueous Solution by Multiwall Carbon Nanotubes. Desalin. Water Treat. 2013, 51, 7655–7662. [Google Scholar] [CrossRef]
- Li, M.; Chen, Y. Analysis of Sulfonated Anthraquinone Dyes by Electrospray Ionization Quadrupole Time-of-Flight Tandem Mass Spectrometry. J. Text. Sci. Eng. 2015, 6, 1–5. [Google Scholar] [CrossRef]
Disclaimer/Publisher’s Note: The statements, opinions and data contained in all publications are solely those of the individual author(s) and contributor(s) and not of MDPI and/or the editor(s). MDPI and/or the editor(s) disclaim responsibility for any injury to people or property resulting from any ideas, methods, instructions or products referred to in the content. |
© 2025 by the authors. Licensee MDPI, Basel, Switzerland. This article is an open access article distributed under the terms and conditions of the Creative Commons Attribution (CC BY) license (https://creativecommons.org/licenses/by/4.0/).











