Influence of Fiber Volume Fraction and Fiber Orientation on the Uniaxial Tensile Behavior of Rebar-Reinforced Ultra-High Performance Concrete
Abstract
1. Introduction
2. Brittle Failure of Reinforced Strain-Hardening UHPC?
3. Materials and Methods
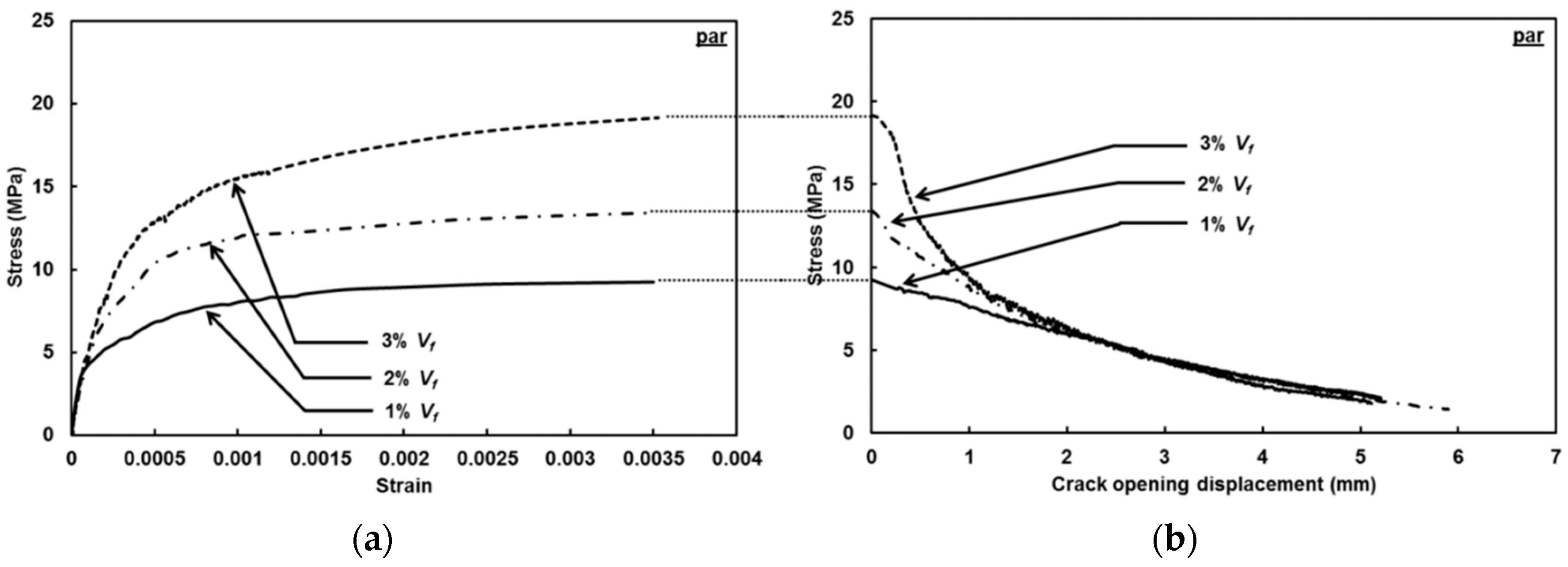
3.1. Materials
3.1.1. Rebar–Characterization
3.1.2. UHPC–Material Design and Characterization
3.2. Uniaxial Tensile Test of Rebar-Reinforced UHPC
3.2.1. Test Specimen Design
3.2.2. Test Matrix
3.2.3. Specimen Preparation
3.2.4. Testing
4. Results and Discussion
4.1. Peak Stress and Calculated UHPC Contribution
4.1.1. Effect of
4.1.2. Effect of Fiber Orientation
4.1.3. Effect of Rebar Type
4.2. Stress versus Strain Response
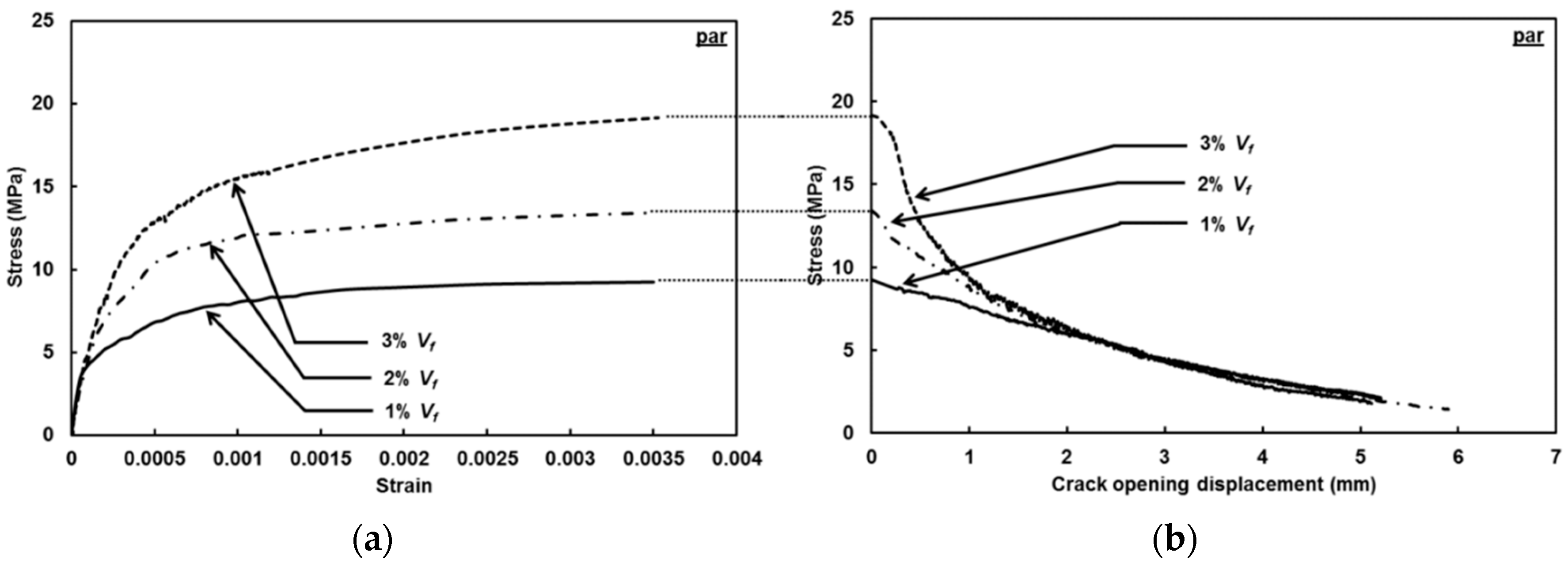
4.2.1. Effect of
Recommendation for
4.2.2. Effect of Fiber Orientation
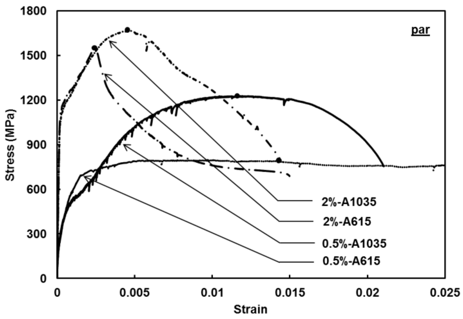
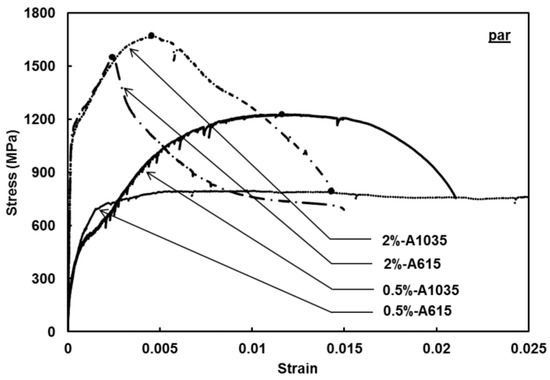
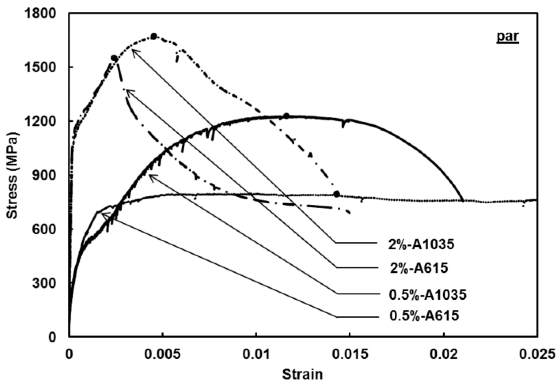
4.2.3. Effect of Rebar Type
4.3. Failure Pattern
4.3.1. Effect of
4.3.2. Effect of Fiber Orientation
4.3.3. Effect of Rebar Type
5. Conclusions
- In general, the composite tensile strength increased with the increase in fiber volume fraction for a given rebar type and fiber orientation.
- For a given rebar type and fiber volume fraction, the UHPC with fibers oriented parallel to the load direction showed the highest peak tensile stress and the UHPC with fibers oriented perpendicular to the load direction recorded the lowest peak stress. The peak stress values with random fibers laid in between.
- UHPC with A1035 rebars recorded higher tensile stress as compared to UHPC with A615 rebars for a particular fiber volume fraction and parallel orientation of fibers.
- Average stress versus strain curves showed that the modulus of the composite in the strain-hardening region increased with the increase in fiber content. However, ductility of the composite decreased with the increase in fiber volume fraction beyond a certain value. In order to achieve enhanced ductility, it is recommended that the UHPC composite attains a minimum strain of 1% at peak stress. Using the reinforcement ratio (0.9%) in the present study, it is recommended to use UHPC with 0.5–0.75% fibers along with A1035 bars.
- For a particular fiber volume fraction and type of rebar, the strain-hardening modulus recorded the maximum value for the composite with parallel fibers and the minimum value for the composite with perpendicular fibers. The value for random fiber orientation was in between.
Author Contributions
Funding
Acknowledgments
Conflicts of Interest
References
- Damgaard Jensen, A.; Chatterji, S. State of the art report on micro-cracking and lifetime of concrete—Part 1. Mat. Struct. 1996, 29, 3. [Google Scholar] [CrossRef]
- Sigrist, V.; Rauch, M. Deformation behavior of reinforced UHPFRC elements in tension. In Anonymous Tailor Made Concrete Structures; CRC Press: Boca Raton, FL, USA, 2008; pp. 405–410. [Google Scholar]
- Wille, K.; Kim, D.; Naaman, A.E. Strain-hardening UHP-FRC with low fiber contents. Mater. Struct. 2011, 44, 583–598. [Google Scholar] [CrossRef]
- Jungwirth, J. Zum Tragverhalten von Zugbeanspruchten Bauteilen Aus Ultra-Hochleistungs-Faserbeton. Ph.D. Thesis, École Polytechnique Fédérale de Lausanne, Lausanne, Switzerland, 2006. [Google Scholar]
- Huang, H.; Su, A.; Gao, X.; Yang, Y. Influence of formwork wall effect on fiber orientation of UHPC with two casting methods. Constr. Build. Mater. 2019, 15, 310–320. [Google Scholar] [CrossRef]
- Roy, M.; Ray, I.; Julio, F.D. High-Performance Fiber-Reinforced Concrete: Development and Evaluation as a Repairing Material. J. Mater. Civ. Eng. 2014, 26, 04014074. [Google Scholar] [CrossRef]
- Roy, M.; Hollmann, C.; Wille, K. Influence of volume fraction and orientation of fibers on the pullout behavior of reinforcement bar embedded in ultra high performance concrete. Constr. Build. Mater. 2017, 146, 582–593. [Google Scholar] [CrossRef]
- Redaelli, D. Testing of Reinforced High Performance Fibre Concrete Members in Tension. In Proceedings of the 6th International PhD Symposium in Civil Engineering, Zurich, Switzerland, 23–26 August 2006. [Google Scholar]
- Leutbecher, T.; Fehling, E. Crack Formation and Tensile Behaviour of UHPC Reinforced with a Combination of Rebars and Fibres. In Proceedings of the Second International Symposium on Ultra High Performance Concrete, Kassel, Germany, 5–7 March 2008; pp. 497–504. [Google Scholar]
- Kunieda, M.; Hussein, M.; Ueda, N.; Nakamura, H. Enhancement of Crack Distribution of UHPC-SHCC under Axial Tension Using Steel Reinforcement. J. Adv. Concr. Technol. 2010, 8, 49–57. [Google Scholar] [CrossRef]
- Larusson, L.H.; Fischer, G. Bond Slip and Crack Development in FRC and Regular Concrete Specimens Longitudinally Reinfroced with FRP or Steel under Tension Loading. In Proceedings of the Bond in Concrete 2012: Bond, Anchorage, Detailing—Fourth International Symposium, Brescia, Italy, 17–20 June 2012; pp. 847–854. [Google Scholar]
- Deluce, J.; Lee, S.; Vecchio, F.J. Crack Formation in FRC Structural Elements Containing Conventional Reinforcement. In High Performance Fiber Reinforced Cement Composites 6 (HPFRCC 6); Parra-Montesinos, G.J., Reinhardt, H.W., Naaman, A.E., Eds.; Springer: Dordrecht, The Netherlands, 2012; pp. 271–278. [Google Scholar]
- Yun, H.D.; Kim, S.W.; Jeon, E.; Park, W.S.; Fukuyama, H. Tension Stiffening and Damage Tolerance of Strain-Hardening Cement Composite (SHCC) Tension Ties Under Monotonic and Repeated Cyclic Loadings. In Proceedings of the 14th World Conference on Earthquake Engineering, Beijing, China, 12–17 October 2008. [Google Scholar]
- Eureka Project EU264. Compresit, Final Administrative Report, Project Periode: May 1990–December 1993. 1994. Available online: https://books.google.com/books?id=lWNYVrb4MdYC&pg=PA237&lpg=PA237&dq=eureka+project+Compresit,+Final+Administrative+Report&source=bl&ots=lmNeKZfOdM&sig=ACfU3U0Gc-BUfNZNen5BYCX5_ojcdg5_kQ&hl=en&sa=X&ved=2ahUKEwjCq73ZpMbjAhWOjVkKHdIrD2AQ6AEwAHoECAgQAQ#v=onepage&q=eureka%20project%20Compresit%2C%20Final%20Administrative%20Report&f=false (accessed on 22 June 2019).
- Leutbecher, T. Rissbildung und Zugtragverhalten von mit Stabstahl und Fasern bewehrtem Ultrahochfesten Beton (UHPC). Ph.D. Thesis, University of Kassel, Kassel, Germany, 2007. [Google Scholar]
- Sturwald, S.; Fehling, E. Design of Reinforced UHPFRC in Flexure. In Proceedings of the Hipermat 2012, 3rd International Symposium on UHPC and Nanotechnology for High Performance Construction Materials, Kassel, Germany, 7–9 March 2012; pp. 443–450. [Google Scholar]
- Leutbecher, T.; Fehling, E. Structural Behavior of UHPC under Tensile Stress and Biaxial Loading. In Proceedings of the International Symposium on Ultra High Performance Concrete, Kassel, Germany, 13–15 September 2004; pp. 435–446. [Google Scholar]
- Schumacher, P. Rotation Capacity of Self-Compacting Steel Fiber Reinforced Concrete. Ph.D. Thesis, Delft University of Technology, Delft, The Netherlands, 2006. [Google Scholar]
- Habel, K. Structural Behavior of Elements Combining Ultra-High Performance Fibre Reinforced Concretes (UHPFRC) and Reinforced Concrete. Ph.D. Thesis, École Polytechnique Fédérale de Lausanne, Lausanne, Switzerland, 2004. [Google Scholar]
- Shionaga, R. Structural Behavior of High Performance Fiber Reinforced Concrete in Tension and Bending. In Proceedings of the 6th International PhD Symposium in Civil Engineering, Zurich, Switzerland, 23–26 August 2006; pp. 142–143. [Google Scholar]
- ASTM International. ASTM A615/A615M-13, Standard Specification for Deformed and Plain Carbon-Steel Bars for Concrete Reinforcement; ASTM International: West Conshohocken, PA, USA, 2013. [Google Scholar]
- ASTM International. ASTM A1035/A1035M-13b: Standard Specification for Deformed and Plain, Low-Carbon, Chromium, Steel Bars for Concrete Reinforcement; ASTM International: West Conshohocken, PA, USA, 2013. [Google Scholar]
- ASTM International. ASTM A370-13, Standard Test Methods and Definitions for Mechanical Testing of Steel Products; ASTM International: West Conshohocken, PA, USA, 2013. [Google Scholar]
- Seliem, H.M.; Hosny, A.; Rizkalla, S.; Zia, P.; Briggs, M.; Miller, S. Bond Characteristics of ASTM A1035 Steel Reinforcing Bars. ACI Struct. J. 2009, 106, 530–539. [Google Scholar]
- Roy, M.; Hollmann, C.; Wille, K. Effect of Fiber Orientation on Pullout Behavior of Rebar Embedded in UHPC. In Proceedings of the HiPerMat 2016 4th International Symposium on Ultra-High Performance Concrete and High Performance Materials, Kassel, Germany, 9–11 March 2016. [Google Scholar]
- ASTM International. ASTM C39, Standard Test Method for Compressive Strength of Cylindrical Concrete Specimens; ASTM International: West Conshohocken, PA, USA, 2011. [Google Scholar]
- Moreno, D.M.; Trono, W.; Jen, G.; Ostertag, C.; Billington, S.L. Tension-Stiffening in Reinforced High Performance Fiber-Reinforced Cement-Based Composites under Direct Tension. In High Performance Fiber Reinforced Cement Composites 6 (HPFRCC 6); Parra-Montesinos, G.J., Reinhardt, H.W., Naaman, A.E., Eds.; Springer: Dordrecht, The Netherlands, 2012; pp. 263–270. [Google Scholar]
- Otsuka, K.; Mihashi, H.; Kiyota, M.; Mori, S.; Kawamata, A. Observation of Multiple Cracking in Hybrid FRCC at Micro and Meso Levels. J. Adv. Concr. Technol. 2003, 1, 291–298. [Google Scholar] [CrossRef]
- Fantilli, A.P.; Mihashi, H.; Vallini, P. Strain compatibility between HPFRCC and steel reinforcement. Mater. Struct. 2005, 38, 495–503. [Google Scholar] [CrossRef]
- Jungwirth, J.; Muttoni, A. Structural Behavior of Tension Members in UHPC. In Proceedings of the International Symposium on Ultra High Performance Concrete, Kassel, Germany, 13–15 September 2004; pp. 533–544. [Google Scholar]
- ACI. ACI 224R-01, Control of Cracking in Concrete Structures; American Concrete Institute: Farmington Hills, MI, USA, 2001. [Google Scholar]






















| Bar Type | Modulus of Elasticity (MPa) | Yield Stress (MPa) | Ultimate Stress (MPa) | |
|---|---|---|---|---|
| A615 | 208,078 | 457 | 719 | 1.57 |
| A1035 | 221,858 | 700 | 1102 | 1.57 |
| Mixture Proportions | Compressive Strength (MPa) | |||
|---|---|---|---|---|
| Ingredients | Quantity (kg/m3) | Age of Concrete During Testing (day) | 0% Fiber | 2% Fiber |
| Premix | 2195 | 7 | 126.9 | 122.6 |
| Water | 120 | 14 | 161.0 | 162.0 |
| Superplasticizer | 30 | 28 | 172.7 | 176.1 |
| Steel Fibers (2%) | 156 | - | - | - |
| Fiber Volume Fraction | Fiber Orientation | Parallel | Perpendicular | Random | |||
|---|---|---|---|---|---|---|---|
| Rebar 1 Type | A1035 | A615 | A1035 | A615 | A1035 | A615 | |
| 0.5 | 1 | 1 | - | - | 1 | - | |
| 0.75 | 1 | 2 | - | - | - | - | |
| 1.0 | 2 | 2 | 1 | 1 | 1 | 1 | |
| 2.0 | 1 | 2 | - | - | 1 | - | |
| 3.0 | 1 | - | - | - | 1 | - | |
| Specimen | a | b | Crack Width (mm) | |
|---|---|---|---|---|
| 1%-par-A1035 | 28.5 | 1.9 | 0.15 c | (Equation (1)) |
| 1%-par-A1035 | 28.5 | 5.7 | 0.4 d | (Equation (1)) |
| 3%-par-A1035 | 28.5 | 5.1 | 0.15 c | (Equation (1)) |
| 3%-par-A1035 | 28.5 | 40.0 | 0.4 d | (Equation (2)) |
© 2019 by the authors. Licensee MDPI, Basel, Switzerland. This article is an open access article distributed under the terms and conditions of the Creative Commons Attribution (CC BY) license (http://creativecommons.org/licenses/by/4.0/).
Share and Cite
Roy, M.; Hollmann, C.; Wille, K. Influence of Fiber Volume Fraction and Fiber Orientation on the Uniaxial Tensile Behavior of Rebar-Reinforced Ultra-High Performance Concrete. Fibers 2019, 7, 67. https://doi.org/10.3390/fib7070067
Roy M, Hollmann C, Wille K. Influence of Fiber Volume Fraction and Fiber Orientation on the Uniaxial Tensile Behavior of Rebar-Reinforced Ultra-High Performance Concrete. Fibers. 2019; 7(7):67. https://doi.org/10.3390/fib7070067
Chicago/Turabian StyleRoy, Manish, Corey Hollmann, and Kay Wille. 2019. "Influence of Fiber Volume Fraction and Fiber Orientation on the Uniaxial Tensile Behavior of Rebar-Reinforced Ultra-High Performance Concrete" Fibers 7, no. 7: 67. https://doi.org/10.3390/fib7070067
APA StyleRoy, M., Hollmann, C., & Wille, K. (2019). Influence of Fiber Volume Fraction and Fiber Orientation on the Uniaxial Tensile Behavior of Rebar-Reinforced Ultra-High Performance Concrete. Fibers, 7(7), 67. https://doi.org/10.3390/fib7070067

