Mechanical Properties of Asymmetric Woven Bamboo Structure from Bamboo Strips
Abstract
1. Introduction
2. Materials and Methods
2.1. Uniaxial Tensile Test of Bamboo Strips
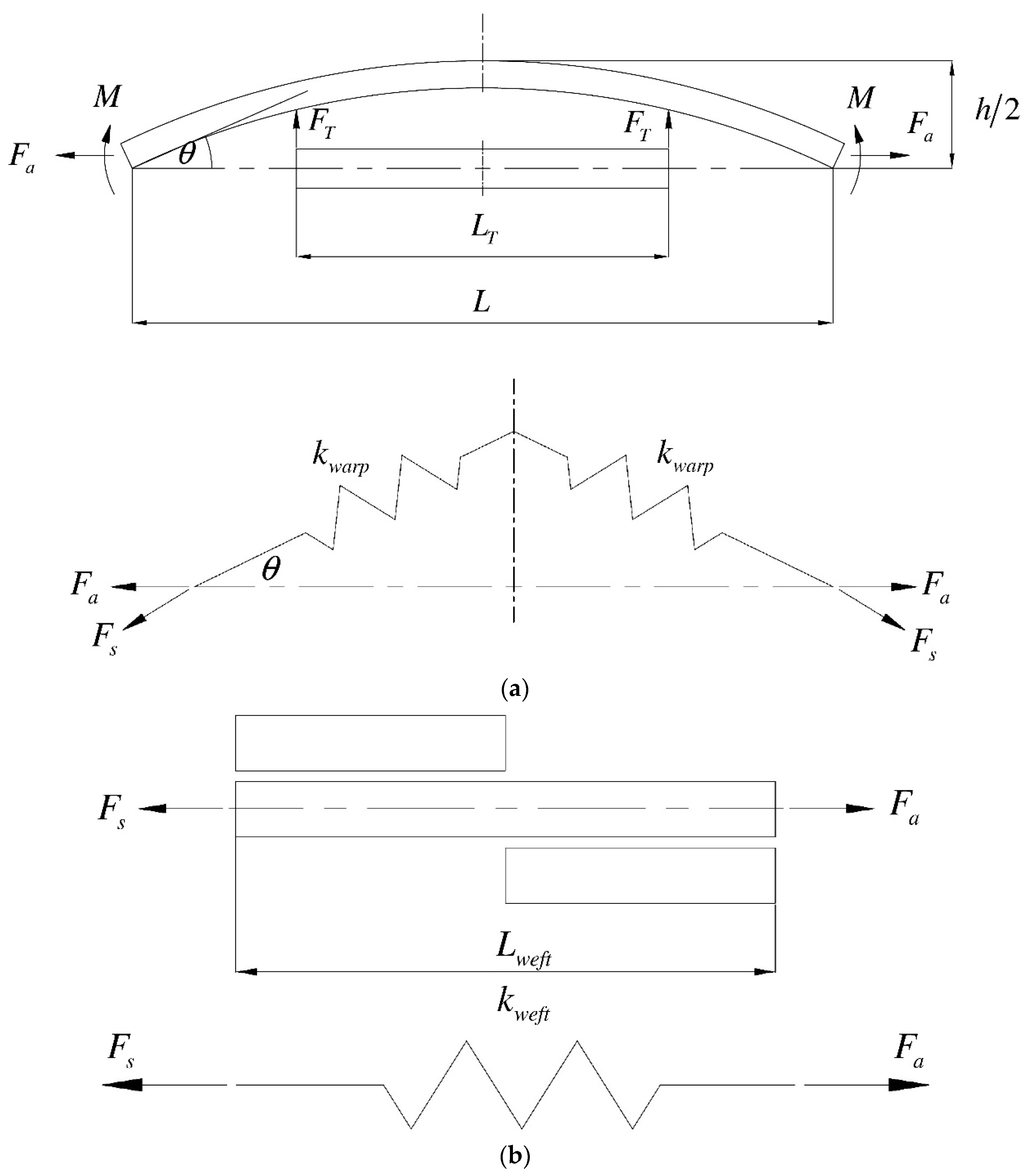
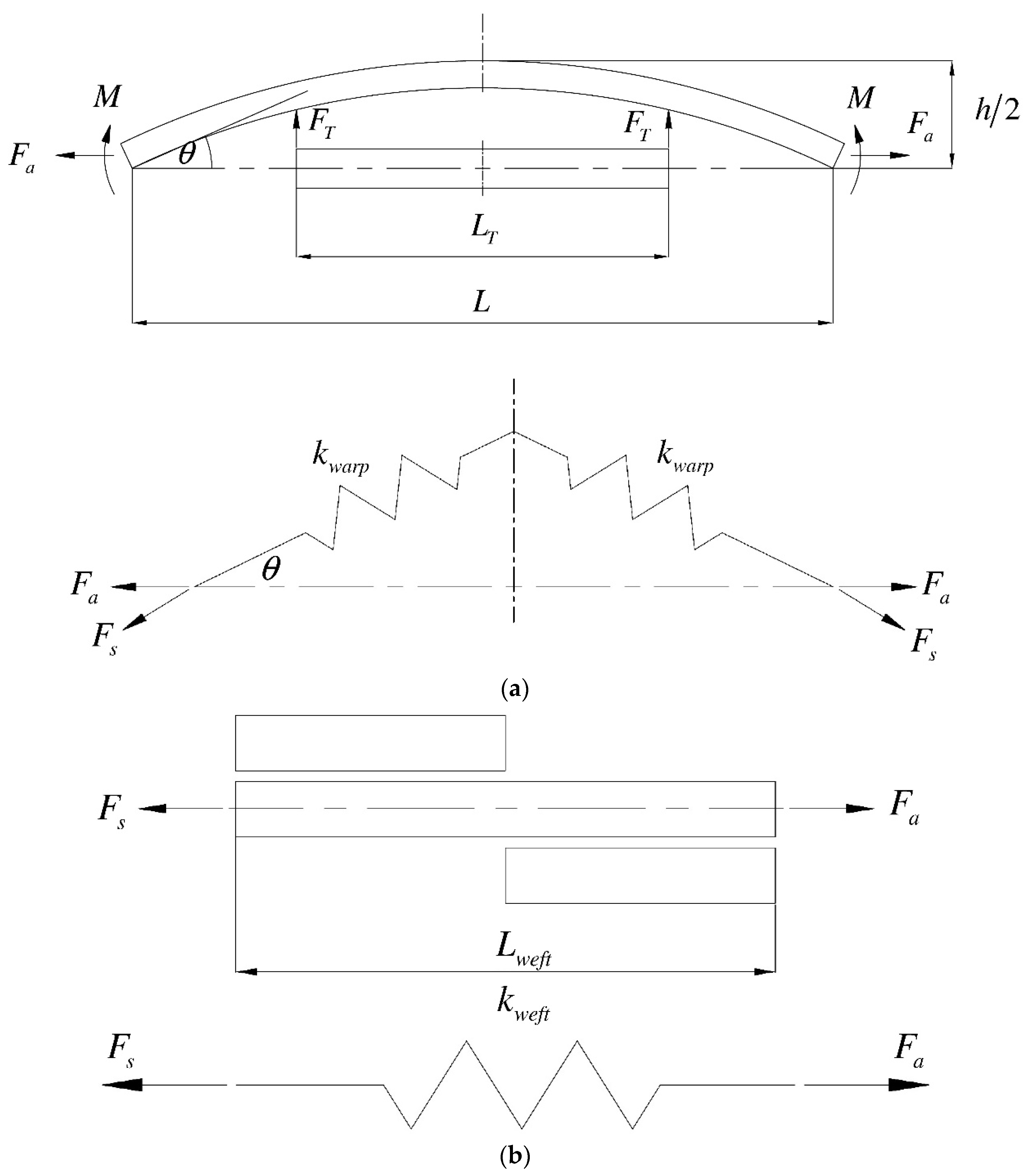
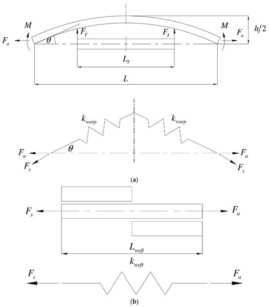
2.2. Uniaxial Tensile Test of Woven Bamboo Sheet
2.3. Picture Frame Shear Test of Woven Bamboo Sheet
2.4. Puncture Test of Woven Bamboo Sheet
2.5. Finite Element Simulation of Woven Bamboo Sheet
3. Results and Discussions
3.1. Results of Uniaxial Tensile Test of Bamboo Strips
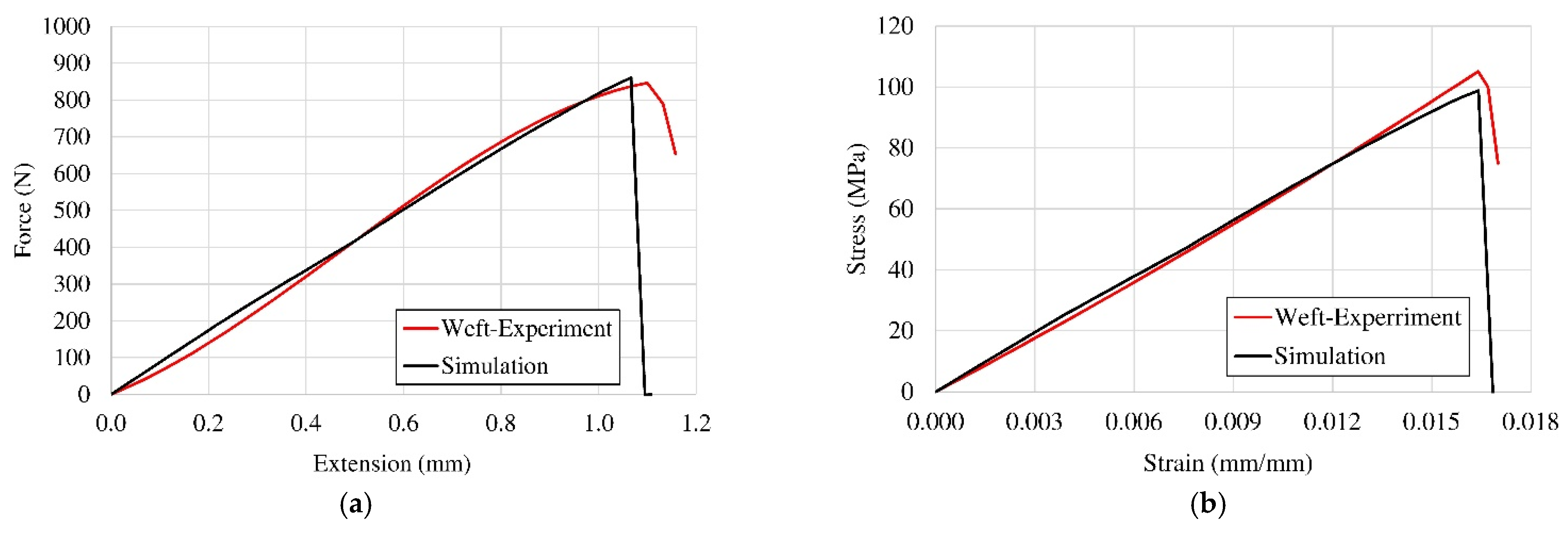
3.2. Results of Uniaxial Tensile Test of Woven Bamboo Sheet
3.3. Results of Picture Frame Shear Test of Woven Bamboo Sheet
3.4. Results of Puncture Test of Woven Bamboo Sheet
3.5. Results of Finite Element Simulation
3.5.1. Validations of the In-Plane Parameters
3.5.2. Model Prediction of Puncture Test
4. Conclusions
Author Contributions
Funding
Data Availability Statement
Acknowledgments
Conflicts of Interest
References
- Li, M.; Pu, Y.; Thomas, V.M.; Yoo, C.G.; Ozcan, S.; Deng, Y.; Nelson, K.; Ragauskas, A.J. Recent advancements of plant-based natural fiber–reinforced composites and their applications. Compos. Part B Eng. 2020, 200, 108254. [Google Scholar] [CrossRef]
- Singh, M.K.; Tewari, R.; Zafar, S.; Rangappa, S.M.; Siengchin, S. A comprehensive review of various factors for application feasibility of natural fiber-reinforced polymer composites. Results Mater. 2023, 17, 100355. [Google Scholar] [CrossRef]
- Wang, X.; Yu, S.; Deng, S.; Xu, R.; Chen, Q.; Xu, P. Effect of Bamboo Nodes on the Mechanical Properties of Phyllostachys iridescens. Forests 2024, 15, 1740. [Google Scholar] [CrossRef]
- Tran, V.T. Bambusa nghiana sp. nov. (Poaceae: Bambusoideae), a new species from Thanh Hoa Province, Vietnam. Adansonia 2021, 43, 217–221. [Google Scholar] [CrossRef]
- Forest Research and Development Office. Available online: http://forprod.forest.go.th (accessed on 15 May 2022).
- Manalo, A.C.; Wani, E.; Zukarnain, N.A.; Karunasena, W.; Lau, K. Effects of alkali treatment and elevated temperature on the mechanical properties of bamboo fibre–polyester composites. Compos. Part B Eng. 2015, 80, 73–83. [Google Scholar] [CrossRef]
- Joshi, S.V.; Drzal, L.T.; Mohanty, A.K.; Arora, S. Are natural fiber composites environmentally superior to glass fiber reinforced composites? Compos. Part A Appl. Sci. Manuf. 2004, 35, 371–376. [Google Scholar] [CrossRef]
- Xu, D.; He, S.; Leng, W.; Chen, Y.; Wu, Z. Replacing Plastic with Bamboo: A Review of the Properties and Green Applications of Bamboo-Fiber-Reinforced Polymer Composites. Polymers 2023, 15, 4276. [Google Scholar] [CrossRef] [PubMed]
- Amjad, A.I. Bamboo fibre: A sustainable solution for textile manufacturing. Adv. Bamboo Sci. 2024, 7, 100088. [Google Scholar] [CrossRef]
- Chen, H.; Cheng, H.; Wang, G.; Yu, Z.; Shi, S.Q. Tensile properties of bamboo in different sizes. J. Wood Sci. 2015, 61, 552–561. [Google Scholar] [CrossRef]
- Rao, K.M.M.; Rao, K.M. Extraction and tensile properties of natural fibers: Vakka, date and bamboo. Compos. Struct. 2007, 77, 288–295. [Google Scholar] [CrossRef]
- Jain, S.; Kumar, R.; Jindal, U.C. Mechanical behaviour of bamboo and bamboo composite. J. Mater. Sci. 1992, 27, 4598–4604. [Google Scholar] [CrossRef]
- Awais, H.; Nawab, Y.; Amjad, A.; Anjang, A.; Akil, H.M.; Zainol Abidin, M.S. Environmental benign natural fibre reinforced thermoplastic composites: A review. Compos. Part C Open Access 2021, 4, 100082. [Google Scholar] [CrossRef]
- Doddamani, S.; Kulkarni, S.M.; Joladarashi, S.; TS, M.K.; Gurjar, A.K. Analysis of light weight natural fiber composites against ballistic impact: A Review. Int. J. Lightweight Mater. Manuf. 2023, 6, 450–468. [Google Scholar] [CrossRef]
- Kim, W.; Lee, H.E.; Kim, W.T.; Jo, H.; Kim, S.S. Effects of yarn interlacement in diamondtriaxial braid on its patterns and tensile properties. Compos. Sci. Technol. 2024, 254, 110678. [Google Scholar] [CrossRef]
- Lobo, A.; Haseebuddin, M.R.; Harsha, S.; Acharya, K.G.; Balaji, G.; Pal, B. Mechanical behavior of disposed fiberglass filled bamboo mat reinforced polyester composite. Mater. Today Proc. 2021, 46, 6004–6011. [Google Scholar] [CrossRef]
- Wasti, S.; Kore, S.; Yeole, P.; Tekinalp, H.; Ozcan, S.; Vaidya, U. Bamboo fiber reinforced polypropylene composites for transportation applications. Front. Mater. 2022, 9, 967512. [Google Scholar] [CrossRef]
- Wang, B.J.; Young, W.B. The Natural Fiber Reinforced Thermoplastic Composite Made of Woven Bamboo Fiber and Polypropylene. Fibers Polym. 2022, 23, 155–163. [Google Scholar] [CrossRef]
- Hosseini, A.; Kashani, M.H.; Sassani, F.; Milani, A.S.; Ko, F.K. Identifying the distinct shear wrinkling behavior of woven composite preforms under bias extension and picture frame tests. Compos. Struct. 2018, 185, 764–773. [Google Scholar] [CrossRef]
- Liu, S.; Liu, L.; Yang, K.; Yuan, Z.; Li, X.; Li, C.; Meng, S. Reinforcing the mechanical properties of bamboo fiber/low density polyethylene composites with modified bamboo-woven structure. J. Mater. Sci. 2023, 58, 10359–10369. [Google Scholar] [CrossRef]
- Dixon, P.G.; Gibson, L.J. The structure and mechanics of Moso bamboo material. J. R. Soc. Interface 2014, 11, 20140321. [Google Scholar] [CrossRef]
- Wang, W.; Wu, Y.; Liu, W.; Fu, T.; Qiu, R.; Wu, S. Tensile Performance Mechanism for Bamboo Fiber-Reinforced, Palm Oil-Based Resin Bio-Composites Using Finite Element Simulation and Machine Learning. Polymers 2023, 15, 2633. [Google Scholar] [CrossRef] [PubMed]
- Osterberger, J.; Maier, F.; Hinterhölzl, R.M. Application of the Abaqus *Fabric Model to Approximate the Draping Behavior of UD Prepregs Based on Suited Mechanical Characterization. Front. Mater. 2022, 9, 865477. [Google Scholar] [CrossRef]
- Ismail, S.O.; Akpan, E.; Dhakal, H.N. Review on natural plant fibres and their hybrid composites for structural applications: Recent trends and future perspectives. Compos. Part C Open Access 2022, 9, 100322. [Google Scholar] [CrossRef]
- Bunnag, S.; Boonyuen, S.; Phuangchik, T. A Study on Physical Characteristics of Some Bamboo. Thai J. Sci. Technol. 2021, 10, 316–326. [Google Scholar]
- Li, L.; Zhao, Y.; Vuong, H.; Chen, Y.; Yang, J.; Duan, Y. In-plane shear investigation of biaxial carbon non-crimp fabrics with experimental tests and finite element modeling. Mater. Des. 2014, 63, 757–765. [Google Scholar] [CrossRef]
- Verma, C.S.; Chariar, V.M. Development of layered laminate bamboo composite and their mechanical properties. Compos. Part B Eng. 2012, 43, 1063–1069. [Google Scholar] [CrossRef]
- British Standards Institution. Plastics: Determination of Tensile Properties. Pt. 5; British Standards Institution: London, UK, 2009. [Google Scholar]
- Pineda, H.; Hu, Y.; Semple, K.; Chen, M.; Dai, C. Computer simulation of the mat formation of bamboo scrimber composites. Compos. Part A Appl. Sci. Manuf. 2021, 149, 106542. [Google Scholar] [CrossRef]
- Alavudeen, A.; Rajini, N.; Karthikeyan, S.; Thiruchitrambalam, M.; Venkateshwaren, N. Mechanical properties of banana/kenaf fiber-reinforced hybrid polyester composites: Effect of woven fabric and random orientation. Mater. Des. (1980–2015) 2015, 66, 246–257. [Google Scholar] [CrossRef]
- Kheng, E.; D’Mello, R.; Waas, A. A multi-scale model for the tensile failure of twill textile composites. Compos. Struct. 2023, 307, 116614. [Google Scholar] [CrossRef]
- Xie, H.; Li, W.; Fang, H.; Zhang, S.; Yang, Z.; Fang, Y.; Yu, F. Flexural behavior evaluation of a foam core curved sandwich beam. Compos. Struct. 2024, 328, 117729. [Google Scholar] [CrossRef]
- Zhang, X.; Fu, X. Theoretical and numerical analysis on elastic-plastic bending responses of honeycomb beams. Compos. Struct. 2024, 334, 117948. [Google Scholar] [CrossRef]
- Porras, A.; Maranon, A. Development and characterization of a laminate composite material from polylactic acid (PLA) and woven bamboo fabric. Compos. Part B Eng. 2012, 43, 2782–2788. [Google Scholar] [CrossRef]
- ASTM-D8067; Standard Test Method for In-Plane Shear Properties of Sandwich Panels Using a Picture Frame Fixture. American Society for Testing and Materials (ASTM): West Conshohocken, PA, USA, 2017.
- Dangora, L.M.; Hansen, C.J.; Mitchell, C.J.; Sherwood, J.A.; Parker, J.C. Challenges associated with shear characterization of a cross-ply thermoplastic lamina using picture frame tests. Compos. Part A Appl. Sci. Manuf. 2015, 78, 181–190. [Google Scholar] [CrossRef]
- Zhu, B.; Yu, T.; Tao, X. An experimental study of in-plane large shear deformation of woven fabric composite. Compos. Sci. Technol. 2007, 67, 252–261. [Google Scholar] [CrossRef]
- Gürgen, S. Numerical modeling of fabrics treated with multi-phase shear thickening fluids under high velocity impacts. Thin-Walled Struct. 2020, 148, 106573. [Google Scholar] [CrossRef]
- ASTM International 7136M; Standard Test Method for Measuring the Damage Resistance of a Fiber-Reinforced Polymer Matrix Composite to a Drop-Weight Impact Event. American Society for Testing and Materials (ASTM): West Conshohocken, PA, USA, 2012. [CrossRef]
- ABAQUS User Subroutines Reference Manual (v6.6). Available online: https://classes.engineering.wustl.edu/2009/spring/mase5513/abaqus/docs/v6.6/books/sub/default.htm?startat=ch01s02asb04.html (accessed on 17 July 2022).
- Al-Rukaibawi, L.S.; Omairey, S.L.; Károlyi, G. A numerical anatomy-based modelling of bamboo microstructure. Constr. Build. Mater. 2021, 308, 125036. [Google Scholar] [CrossRef]
- Ma, Y.; Hong, X.; Lei, Z.; Bai, R.; Liu, Y.; Yang, J. Shear response behavior of STF/kevlar composite fabric in picture frame test. Polym. Test. 2022, 113, 107652. [Google Scholar] [CrossRef]
- Guan, S.; Zhao, J.; Zong, X.; Tian, L.; Zhang, S.; Zhao, H. Study of quasi-static tensile and compressive behaviors of laminated bamboo under service temperature. Compos. Sci. Technol. 2024, 254, 110663. [Google Scholar] [CrossRef]



























| Bamboo Strip | ||||
|---|---|---|---|---|
| Specification | Max | Min | Avg. | S.D. |
| Density (kg/m3) | 332.22 | 301.65 | 318.9 | 13.8 |
| Maximum tensile force (N) | 984.9 | 863.98 | 920.36 | 55.41 |
| Maximum extension (mm) | 1.77 | 1.63 | 1.72 | 0.06 |
| Maximum stress (MPa) | 109.07 | 86.88 | 97.97 | 9.11 |
| Maximum strain (mm/mm) | 0.018 | 0.0163 | 0.0166 | 0.0008 |
| , GPa) | 7.75 | 5.34 | 6.6 | 1.0 |
| Cross-sectional area of sample (mm2) | 9.95 | 9.03 | 9.42 | 0.42 |
| , N/mm) | 712.10 | 501.79 | 595.0 | 104.15 |
| Woven Bamboo Sheet | ||||||||
|---|---|---|---|---|---|---|---|---|
| Specification | Warp (5 Strips) | Weft (4 Strips) | ||||||
| Max. | Min. | Avg. | S.D. | Max. | Min. | Avg. | S.D. | |
| Density (kg/m3) | 303.24 | 286.24 | 295.01 | 8.2 | 302.29 | 287.14 | 296.13 | 7.1 |
| Maximum tension force (N) | 1258.27 | 1049.79 | 1146.80 | 96.0 | 993.64 | 820.71 | 846.24 | 83.7 |
| Maximum extension (mm) | 1.8 | 1.10 | 1.46 | 0.31 | 1.30 | 0.93 | 1.11 | 0.15 |
| Stiffness of woven region (, N/mm) | 2862.82 | 2425.61 | 2605.94 | 170.75 | 2459.67 | 2212.52 | 2335.06 | 92.98 |
| Maximum stress (MPa) | 115.87 | 90.89 | 97.76 | 10.50 | 118.19 | 91.36 | 106.10 | 10.7 |
| Maximum strain (mm/mm) | 0.0277 | 0.0175 | 0.0210 | 0.0046 | 0.0185 | 0.0148 | 0.0167 | 0.0014 |
| Modulus of elasticity (, GPa) | 8.29 | 5.32 | 6.73 | 1.1 | 8.69 | 5.73 | 7.10 | 1.35 |
| Section Region | Specification | Warp | Weft |
|---|---|---|---|
| Strip-only | , GPa) | 6.6 | |
| , mm2) | 9.91 | 8.53 | |
| Analytical stiffness of bamboo strip (N/mm) | 642.16 | 642.16 | |
| Woven region | Analytical stiffness of woven region (N/mm) | 2736.73 | 2522.67 |
| Analytical modulus of elasticity of woven region (GPa) | 6.91 | 7.3 | |
| Specification | Max. | Min. | Avg. | S.D. |
|---|---|---|---|---|
| , N) | 177.01 | 99.69 | 144.43 | 36.89 |
| Maximum shear stress (, MPa) | 2.00 | 1.09 | 1.57 | 0.38 |
| Maximun shear strain (, rad) | 0.629 | - | 0.629 | - |
| , MPa) | 2.88 | 1.50 | 2.26 | 0.54 |
| , N/rad) | 281.41 | 158.49 | 229.62 | 58.64 |
| , mm2) | 99.35 | 85.78 | 91.7 | 5.34 |
| , MPa) | 2.60 | 1.42 | 2.12 | 0.49 |
Disclaimer/Publisher’s Note: The statements, opinions and data contained in all publications are solely those of the individual author(s) and contributor(s) and not of MDPI and/or the editor(s). MDPI and/or the editor(s) disclaim responsibility for any injury to people or property resulting from any ideas, methods, instructions or products referred to in the content. |
© 2025 by the authors. Licensee MDPI, Basel, Switzerland. This article is an open access article distributed under the terms and conditions of the Creative Commons Attribution (CC BY) license (https://creativecommons.org/licenses/by/4.0/).
Share and Cite
Phongphinittana, E.; Klangtup, N.; Jearanaisilawong, P. Mechanical Properties of Asymmetric Woven Bamboo Structure from Bamboo Strips. Fibers 2025, 13, 18. https://doi.org/10.3390/fib13020018
Phongphinittana E, Klangtup N, Jearanaisilawong P. Mechanical Properties of Asymmetric Woven Bamboo Structure from Bamboo Strips. Fibers. 2025; 13(2):18. https://doi.org/10.3390/fib13020018
Chicago/Turabian StylePhongphinittana, Ekkarin, Navapon Klangtup, and Petch Jearanaisilawong. 2025. "Mechanical Properties of Asymmetric Woven Bamboo Structure from Bamboo Strips" Fibers 13, no. 2: 18. https://doi.org/10.3390/fib13020018
APA StylePhongphinittana, E., Klangtup, N., & Jearanaisilawong, P. (2025). Mechanical Properties of Asymmetric Woven Bamboo Structure from Bamboo Strips. Fibers, 13(2), 18. https://doi.org/10.3390/fib13020018

