Amplifying the Sensitivity of Electrospun Polyvinylidene Fluoride Piezoelectric Sensors Through Electrical Polarization Process for Low-Frequency Applications
Abstract
1. Introduction
2. Materials and Methodology
2.1. Materials
2.2. Methodology
2.3. Characterization
3. Results and Discussion
3.1. Morphology and Porosity Analysis

3.2. β-Phase Fraction
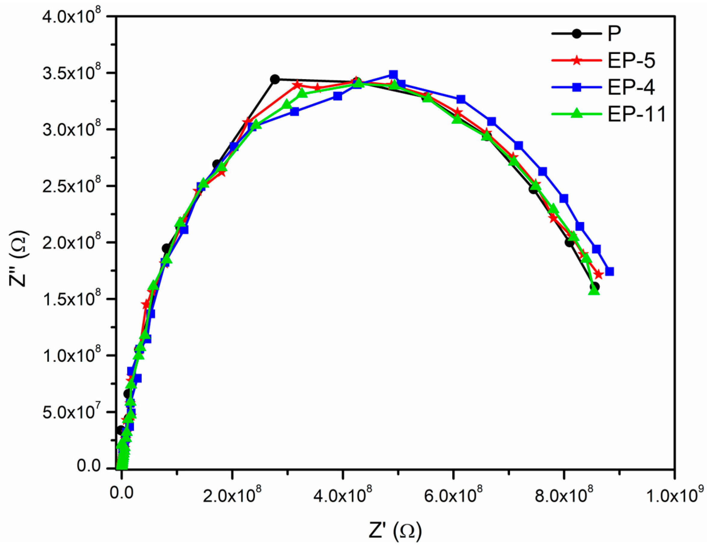
3.3. Impedance and Dielectric Properties
3.4. Piezoelectric Properties
4. Conclusions
Author Contributions
Funding
Data Availability Statement
Acknowledgments
Conflicts of Interest
References
- Mirjalili, S.; Tohidi Moghadam, T.; Sajedi, R.H. Facile and Rapid Detection of Microalbuminuria by Antibody-Functionalized Gold Nanorods. Plasmonics 2022, 17, 1269–1277. [Google Scholar] [CrossRef]
- Ding, Y.; Onyilagha, O.; Zhu, Z. 9—Electrospun nanofibers for tactile sensors. In Functional Tactile Sensors; Zhou, Y., Chou, H.-H., Eds.; Woodhead Publishing: Sawston, UK, 2021; pp. 159–196. [Google Scholar]
- Zhu, C.; Zheng, J.; Fu, J. Electrospinning Nanofibers as Stretchable Sensors for Wearable Devices. Macromol. Biosci. 2024, 24, 2300274. [Google Scholar] [CrossRef] [PubMed]
- Wang, Y.; Yokota, T.; Someya, T. Electrospun nanofiber-based soft electronics. NPG Asia Mater. 2021, 13, 22. [Google Scholar] [CrossRef]
- Li, Y.; Abedalwafa, M.A.; Tang, L.; Li, D.; Wang, L. Chapter 18—Electrospun Nanofibers for Sensors. In Electrospinning: Nanofabrication and Applications; Ding, B., Wang, X., Yu, J., Eds.; William Andrew Publishing: Norwich, NY, USA, 2019; pp. 571–601. [Google Scholar]
- Mondal, K.; Sharma, A. Recent advances in electrospun metal-oxide nanofiber based interfaces for electrochemical biosensing. RSC Adv. 2016, 6, 94595–94616. [Google Scholar] [CrossRef]
- Hsu, Y.-C.; Wu, C.-C.; Lee, C.-C.; Cao, G.; Shen, I. Demonstration and characterization of PZT thin-film sensors and actuators for meso-and micro-structures. Sens. Actuators A Phys. 2004, 116, 369–377. [Google Scholar] [CrossRef]
- Smith, G.L.; Pulskamp, J.S.; Sanchez, L.M.; Potrepka, D.M.; Proie, R.M.; Ivanov, T.G.; Rudy, R.Q.; Nothwang, W.D.; Bedair, S.S.; Meyer, C.D. PZT-based piezoelectric MEMS technology. J. Am. Ceram. Soc. 2012, 95, 1777–1792. [Google Scholar] [CrossRef]
- Chen, B.; Li, H.; Tian, W.; Zhou, C. PZT based piezoelectric sensor for structural monitoring. J. Electron. Mater. 2019, 48, 2916–2923. [Google Scholar] [CrossRef]
- Wang, X.; Zhou, J.; Song, J.; Liu, J.; Xu, N.; Wang, Z.L. Piezoelectric field effect transistor and nanoforce sensor based on a single ZnO nanowire. Nano Lett. 2006, 6, 2768–2772. [Google Scholar] [CrossRef]
- Tan, Y.; Yang, K.; Wang, B.; Li, H.; Wang, L.; Wang, C. High-performance textile piezoelectric pressure sensor with novel structural hierarchy based on ZnO nanorods array for wearable application. Nano Res. 2021, 14, 3969–3976. [Google Scholar] [CrossRef]
- Duan, S.; Wu, J.; Xia, J.; Lei, W. Innovation Strategy Selection Facilitates High-Performance Flexible Piezoelectric Sensors. Sensors 2020, 20, 2820. [Google Scholar] [CrossRef] [PubMed]
- Li, X.; Zhang, Z.; Peng, Z.; Yan, X.; Hong, Y.; Liu, S.; Lin, W.; Shan, Y.; Wang, Y.; Yang, Z. Fast and versatile electrostatic disc microprinting for piezoelectric elements. Nat. Commun. 2023, 14, 6488. [Google Scholar] [CrossRef] [PubMed]
- Ai, Y.; Gu, Z.X.; Wang, P.; Tang, Y.Y.; Chen, X.G.; Lv, H.P.; Li, P.F.; Jiang, Q.; Xiong, R.G.; Zhang, J.J.; et al. Biodegradable Ferroelectric Molecular Plastic Crystal HOCH(2)(CF(2))(7)CH(2)OH Structurally Inspired by Polyvinylidene Fluoride. Adv. Mater. 2024, 36, e2405981. [Google Scholar] [CrossRef] [PubMed]
- Wan, X.; Cong, H.; Jiang, G.; Liang, X.; Liu, L.; He, H. A review on PVDF nanofibers in textiles for flexible piezoelectric sensors. ACS Appl. Nano Mater. 2023, 6, 1522–1540. [Google Scholar] [CrossRef]
- Nalwa, H.S. Ferroelectric Polymers: Chemistry: Physics, and Applications; CRC Press: Boca Raton, FL, USA, 1995. [Google Scholar]
- Lovinger, A.J.; Furukawa, T.; Davis, G.; Broadhurst, M. Crystallographic changes characterizing the Curie transition in three ferroelectric copolymers of vinylidene fluoride and trifluoroethylene: 1. As-crystallized samples. Polymer 1983, 24, 1225–1232. [Google Scholar] [CrossRef]
- Kaur, S.; Kumar, A.; Sharma, A.L.; Singh, D.P. Influence of annealing on dielectric and polarization behavior of PVDF thick films. J. Mater. Sci. Mater. Electron. 2017, 28, 8391–8396. [Google Scholar] [CrossRef]
- Lovinger, A.J. Annealing of poly (vinylidene fluoride) and formation of a fifth phase. Macromolecules 1982, 15, 40–44. [Google Scholar] [CrossRef]
- Roopa, T.; Murthy, H.N.; Harish, D.; Jain, A.; Angadi, G. Properties of PVDF films stretched in machine direction. Polym. Polym. Compos. 2021, 29, 198–206. [Google Scholar] [CrossRef]
- Zhu, Y.; Ye, H.; Yang, L.; Jiang, L.; Zhen, L.; Huang, J.; Jiao, Z.; Sun, J. Effect of annealing temperatures and time on structural evolution and dielectric properties of PVDF films. Polym. Polym. Compos. 2016, 24, 167–172. [Google Scholar] [CrossRef]
- Riquelme, S.A.; Ramam, K. Dielectric and piezoelectric properties of lead free BZT-BCT/PVDF flexible composites for electronic applications. Mater. Res. Express 2019, 6, 116331. [Google Scholar] [CrossRef]
- Zhang, C.; Sun, H.; Zhu, Q. Preparation and Property Enhancement of Poly(Vinylidene Fluoride) (PVDF)/Lead Zirconate Titanate (PZT) Composite Piezoelectric Films. J. Electron. Mater. 2021, 50, 6426–6437. [Google Scholar] [CrossRef]
- Ye, Y.; Jiang, Y.; Wu, Z.; Zeng, H. Phase transitions of poly (vinylidene fluoride) under electric fields. Integr. Ferroelectr. 2006, 80, 245–251. [Google Scholar] [CrossRef]
- Nasef, M.M.; Saidi, H.; Dahlan, K.Z.M. Investigation of electron irradiation induced-changes in poly (vinylidene fluoride) films. Polym. Degrad. Stab. 2002, 75, 85–92. [Google Scholar] [CrossRef]
- Huang, Y.-Z.; Liu, Z.; Li, L.-W.; He, H.-Z.; Wang, Z.L.; Qu, J.-P.; Chen, X.; Huang, Z.-X. Giant Piezoelectric Coefficient of Polyvinylidene Fluoride with Rationally Engineered Ultrafine Domains Achieved by Rapid Freezing Processing. Adv. Mater. 2024, e2412344. [Google Scholar] [CrossRef]
- Salimi, A.; Yousefi, A. Analysis method: FTIR studies of β-phase crystal formation in stretched PVDF films. Polym. Test. 2003, 22, 699–704. [Google Scholar] [CrossRef]
- Debili, S.; Gasmi, A.; Bououdina, M. Synergistic effects of stretching/polarization temperature and electric field on phase transformation and piezoelectric properties of polyvinylidene fluoride nanofilms. Appl. Phys. A 2020, 126, 309. [Google Scholar] [CrossRef]
- Qin, S.; Zhang, X.; Yu, Z.; Zhao, F. Polarization study of poly(vinylidene fluoride) films under cyclic electric fields. Polym. Eng. Sci. 2020, 60, 645–656. [Google Scholar] [CrossRef]
- Pang, Z.; Li, Y.; Zheng, H.; Qin, R. Microscopic Mechanism of Electrical Aging of PVDF Cable Insulation Material. Polymers 2023, 15, 1286. [Google Scholar] [CrossRef]
- Chatterjee, A.; Das, A.; Saha, K.; Jeong, U. Nanofiller-Induced Enhancement of PVDF Electroactivity for Improved Sensing Performance. Adv. Sensor Res. 2023, 2, 2200080. [Google Scholar] [CrossRef]
- Bhattacharya, D.; Bayan, S.; Mitra, R.K.; Ray, S.K. Flexible Biomechanical Energy Harvesters with Colossal Piezoelectric Output (∼2.07 V/kPa) Based on Transition Metal Dichalcogenides-Poly (vinylidene fluoride) Nanocomposites. ACS Appl. Electron. Mater. 2020, 2, 3327–3335. [Google Scholar] [CrossRef]
- Sasmal, A.; Patra, A.; Devi, P.S.; Sen, S. Hydroxylated BiFeO3 as efficient fillers in poly (vinylidene fluoride) for flexible dielectric, ferroelectric, energy storage and mechanical energy harvesting application. Dalton Trans. 2021, 50, 1824–1837. [Google Scholar] [CrossRef] [PubMed]
- Parker, A.; Ueda, A.; Marvinney, C.; Hargrove, S.; Williams, F.; Mu, R. Structural and thermal treatment evaluation of electrospun PVDF nanofibers for sensors. J. Polym. Sci. Appl. 2018, 2, 1–4. [Google Scholar]
- Tariq, A.; Behravesh, A.H.; Utkarsh; Rizvi, G. Statistical Modeling and Optimization of Electrospinning for Improved Morphology and Enhanced β-Phase in Polyvinylidene Fluoride Nanofibers. Polymers 2023, 15, 4344. [Google Scholar] [CrossRef] [PubMed]
- Kaura, T.; Nath, R.; Perlman, M. Simultaneous stretching and corona poling of PVDF films. J. Phys. D Appl. Phys. 1991, 24, 1848. [Google Scholar] [CrossRef]
- Ghafari, E.; Lu, N. Self-polarized electrospun polyvinylidene fluoride (PVDF) nanofiber for sensing applications. Compos. Part B Eng. 2019, 160, 1–9. [Google Scholar] [CrossRef]
- Fortunato, M.; Tamburrano, A.; Bracciale, M.P.; Santarelli, M.L.; Sarto, M.S. Enhancement of the piezoelectric coefficient in PVDF-TrFe/CoFe2O4 nanocomposites through DC magnetic poling. Beilstein J. Nanotechnol. 2021, 12, 1262–1270. [Google Scholar] [CrossRef]
- Zhu, R.; Wang, Z. 9—Piezoelectric one- to two-dimensional nanomaterials for vibration energy harvesting devices. In Emerging 2D Materials and Devices for the Internet of Things; Tao, L., Akinwande, D., Eds.; Elsevier: Amsterdam, The Netherlands, 2020; pp. 221–241. [Google Scholar]
- Lang, C.; Fang, J.; Shao, H.; Ding, X.; Lin, T. High-sensitivity acoustic sensors from nanofibre webs. Nat. Commun. 2016, 7, 11108. [Google Scholar] [CrossRef]
- Ghasemi-Mobarakeh, L.; Semnani, D.; Morshed, M. A novel method for porosity measurement of various surface layers of nanofibers mat using image analysis for tissue engineering applications. J. Appl. Polym. Sci. 2007, 106, 2536–2542. [Google Scholar] [CrossRef]
- Kalimuldina, G.; Turdakyn, N.; Abay, I.; Medeubayev, A.; Nurpeissova, A.; Adair, D.; Bakenov, Z. A review of piezoelectric PVDF film by electrospinning and its applications. Sensors 2020, 20, 5214. [Google Scholar] [CrossRef]
- Hosseini, S.M.; Yousefi, A.A. Piezoelectric sensor based on electrospun PVDF-MWCNT-Cloisite 30B hybrid nanocomposites. Org. Electron. 2017, 50, 121–129. [Google Scholar] [CrossRef]
- Samadi, A.; Hosseini, S.M.; Mohseni, M. Investigation of the electromagnetic microwaves absorption and piezoelectric properties of electrospun Fe3O4-GO/PVDF hybrid nanocomposites. Org. Electron. 2018, 59, 149–155. [Google Scholar] [CrossRef]
- Cho, S.; Lee, J.S.; Jang, J. Poly (vinylidene fluoride)/NH2-treated graphene nanodot/reduced graphene oxide nanocomposites with enhanced dielectric performance for ultrahigh energy density capacitor. ACS Appl. Mater. Interfaces 2015, 7, 9668–9681. [Google Scholar] [CrossRef]
- Satthiyaraju, M.; Ramesh, T. Effect of annealing treatment on PVDF nanofibers for mechanical energy harvesting applications. Mater. Res. Express. 2019, 6, 105366. [Google Scholar] [CrossRef]
- Li, H.; Ye, L.; Zhang, Y.; Ran, C.; Yan, T.; Liao, H.; Zhang, J.; Ma, S. Effects of heat treatment on the dielectric and energy storage properties of BT-PVDF nanocomposite films. Polym. Compos. 2024, 45, 3010–3018. [Google Scholar] [CrossRef]
- Martins, P.; Lopes, A.C.; Lanceros-Mendez, S. Electroactive phases of poly(vinylidene fluoride): Determination, processing and applications. Prog. Polym. Sci. 2014, 39, 683–706. [Google Scholar] [CrossRef]
- Gowdhaman, P.; Annamalai, V.; Thakur, O. Piezo, ferro and dielectric properties of ceramic-polymer composites of 0–3 connectivity. Ferroelectrics 2016, 493, 120–129. [Google Scholar] [CrossRef]
- Chamankar, N.; Khajavi, R.; Yousefi, A.A.; Rashidi, A.; Golestanifard, F. An experimental model for predicting the piezo and dielectric constant of PVDF-PZT nanocomposite fibers with 0–3 and 1–3 connectivity. Ceram. Int. 2020, 46, 23567–23581. [Google Scholar] [CrossRef]
- Laschuk, N.O.; Easton, E.B.; Zenkina, O.V. Reducing the resistance for the use of electrochemical impedance spectroscopy analysis in materials chemistry. RSC Adv. 2021, 11, 27925–27936. [Google Scholar] [CrossRef]
- Khair, M.; Rashid, M.R.; Ahmed, S.; Susan, M.A.B.H. Silica fillers for enhancement of dielectric properties of poly (vinylidene fluoride) and its copolymer. Mater. Today Proc. 2020, 29, 1239–1245. [Google Scholar] [CrossRef]
- Dahan, R.; Arshad, A.; Hafiz, M.; Zulkefle, H.; Ismail, L.; Muhamad, N.; Rusop, M. Dielectric constant of PVDF/MgO nanocomposites thin films. In Proceedings of the 2012 IEEE Symposium on Business, Engineering and Industrial Applications, Bandung, Indonesia, 23–26 September 2012; pp. 18–22. [Google Scholar]
- Li, Y.; Krentz, T.M.; Wang, L.; Benicewicz, B.C.; Schadler, L.S. Ligand engineering of polymer nanocomposites: From the simple to the complex. ACS Appl. Mater. Interfaces 2014, 6, 6005–6021. [Google Scholar] [CrossRef]
- Wang, Q.; Che, J.; Wu, W.; Hu, Z.; Liu, X.; Ren, T.; Chen, Y.; Zhang, J. Contributing Factors of Dielectric Properties for Polymer Matrix Composites. Polymers 2023, 15, 590. [Google Scholar] [CrossRef] [PubMed]
- Qiu, J.; Gu, Q.; Sha, Y.; Huang, Y.; Zhang, M.; Luo, Z. Preparation and application of dielectric polymers with high permittivity and low energy loss: A mini review. J. Appl. Polym. Sci. 2022, 139, 52367. [Google Scholar] [CrossRef]
- Bruggeman, V.D. Berechnung verschiedener physikalischer Konstanten von heterogenen Substanzen. I. Dielektrizitätskonstanten und Leitfähigkeiten der Mischkörper aus isotropen Substanzen. Ann. Der Phys. 1935, 416, 636–664. [Google Scholar] [CrossRef]
- Sihvola, A.H. Electromagnetic Mixing Formulas and Applications; IET: London, UK, 1999. [Google Scholar]
- Šutka, A.; Sherrell, P.C.; Shepelin, N.A.; Lapčinskis, L.; Mālnieks, K.; Ellis, A.V. Measuring Piezoelectric Output—Fact or Friction? Adv. Mater. 2020, 32, 2002979. [Google Scholar] [CrossRef]
- Yong, Y.K.; Fleming, A.J. Note: An improved low-frequency correction technique for piezoelectric force sensors in high-speed nanopositioning systems. Rev. Sci. Instrum. 2017, 88, 046105. [Google Scholar] [CrossRef] [PubMed]
- Ruan, L.; Yao, X.; Chang, Y.; Zhou, L.; Qin, G.; Zhang, X. Properties and Applications of the β Phase Poly(vinylidene fluoride). Polymers 2018, 10, 228. [Google Scholar] [CrossRef] [PubMed]
- Sencadas, V.; Gregorio, R., Jr.; Lanceros-Méndez, S. α to β Phase Transformation and Microestructural Changes of PVDF Films Induced by Uniaxial Stretch. J. Macromol. Sci. Part B 2009, 48, 514–525. [Google Scholar] [CrossRef]
- Clark, W.W.; Mo, C. Piezoelectric energy harvesting for bio mems applications. In Energy Harvesting Technologies; Springer: Berlin/Heidelberg, Germany, 2009; pp. 405–430. [Google Scholar]
- Parjansri, P.; Intatha, U.; Guo, R.; Bhalla, A.; Eitssayeam, S. Effect of Sb2O3 on the electrical properties of Ba0.9Ca0.1Zr0.1Ti0.9O3 ceramics fabricated using nanocrystals seed. Appl. Phys. A 2016, 122, 840. [Google Scholar] [CrossRef]
- Wang, A.; Chen, C.; Liao, L.; Qian, J.; Yuan, F.-G.; Zhang, N. Enhanced β-Phase in Direct Ink Writing PVDF Thin Films by Intercalation of Graphene. J. Inorg. Organomet. Polym. Mater. 2020, 30, 1497–1502. [Google Scholar] [CrossRef]
- Hu, P.; Yan, L.; Zhao, C.; Zhang, Y.; Niu, J. Double-layer structured PVDF nanocomposite film designed for flexible nanogenerator exhibiting enhanced piezoelectric output and mechanical property. Compos. Sci. Technol. 2018, 168, 327–335. [Google Scholar] [CrossRef]
- Li, R.; Zhou, J.; Liu, H.; Pei, J. Effect of Polymer Matrix on the Structure and Electric Properties of Piezoelectric Lead Zirconatetitanate/Polymer Composites. Materials 2017, 10, 945. [Google Scholar] [CrossRef]
- Yasar, M.; Hassett, P.; Murphy, N.; Ivankovic, A. β Phase Optimization of Solvent Cast PVDF as a Function of the Processing Method and Additive Content. ACS Omega 2024, 9, 26020–26029. [Google Scholar] [CrossRef] [PubMed]
- Kaeopisan, A.; Thanachayanon, C.; Wattanasarn, H. Tunable α-γ-phase of polyvinylidene fluoride to enhance piezoelectric coefficient. J. Polym. Res. 2022, 29, 235. [Google Scholar] [CrossRef]
- Zhou, Y.; Liu, J.; Hu, X.; Chu, B. Apparent piezoelectric response from the bending of non-poled PVDF. Appl. Phys. Express 2019, 12, 061006. [Google Scholar] [CrossRef]
- Heywang, W.; Lubitz, K.; Wersing, W. Piezoelectricity: Evolution and Future of a Technology; Springer Science & Business Media: Berlin/Heidelberg, Germany, 2008; Volume 114. [Google Scholar]



















| Concentration | Voltage | Flowrate | Drum Speed | Needle ID | Collector to Tip Distance |
|---|---|---|---|---|---|
| 23 wt.% | 20 kV | 1 mL/h | 1200 rpm | 0.26 mm | 13 cm |
| Unit | Level 1 | Level 2 | Level 3 | ||
|---|---|---|---|---|---|
| Control Factors | Heat Treatment Temperature (under 10% stretch for 30 min) | °C | 30 | 75 | 120 |
| Electric field | kV/cm | 1.5 | 2.5 | 3.5 | |
| Stretch Ratio | % | 10 | 20 | 30 | |
| Time | min | 20 | 50 | 80 | |
| Frequency | Assignment |
|---|---|
| 1400 cm−1 | C-H bending associated with methylene in aliphatic |
| 1280 cm−1 | C-F2 out-of-plane deformation due to the β-phase, |
| 1180 cm−1 | C-H rocking motion |
| 1070 cm−1 | Vibration due to C-H in-plane and out-of-plane deformation |
| 875 cm−1 | Amorphous PVDF |
| 840 cm−1 | C-H2 rocking in the β-phase and C-F2 asymmetric stretching due to β-phase |
| 760 cm−1 | C-F2 due to the α-phase |
| Sample | β-Phase (%) | (mV m/N) | |||||
|---|---|---|---|---|---|---|---|
| at 2 Hz | at 1 Hz | at 0.5 Hz | at 2 Hz | at 1 Hz | at 0.5 Hz | ||
| EP-3 | 85 | 10 | 7.8 | 5.5 | 2.4 | 1.8 | 1.3 |
| EP-4 | 89 | 23.2 | 22.01 | 20.9 | 6 | 5.68 | 5.4 |
| EP-5 | 95 | 39 | 32 | 27 | 10 | 8.5 | 7.34 |
| EP-11 | 81 | 5.6 | 4.9 | 3.3 | 1.3 | 1.0 | 0.75 |
| Non-polarized PVDF (P) | 75 | 4.8 | 3.4 | 2.7 | 1.1 | 0.76 | 0.62 |
| PVDF film in the literature | 30–50 [65,66] | 4.5 mV m/N Quasi-static testing [67] | 6 pC/N static testing [23] 2.5 pC/N Quasi-static testing (thickness of 0.6 mm) [67] | ||||
| Electrically poled PVDF in the literature | 70–81 [68] | 0.06 V m/N at 110 Hz loading frequency and poled at 75 kV/mm [69] | 6–8 pC/N depending on the temperature of measurements during Quasi-static testing (Poled at 150 MV/m) [70] 10 pC/N when poled at 300 kV/cm Quasi-static testing [28] | ||||
Disclaimer/Publisher’s Note: The statements, opinions and data contained in all publications are solely those of the individual author(s) and contributor(s) and not of MDPI and/or the editor(s). MDPI and/or the editor(s) disclaim responsibility for any injury to people or property resulting from any ideas, methods, instructions or products referred to in the content. |
© 2025 by the authors. Licensee MDPI, Basel, Switzerland. This article is an open access article distributed under the terms and conditions of the Creative Commons Attribution (CC BY) license (https://creativecommons.org/licenses/by/4.0/).
Share and Cite
Tariq, A.; Behravesh, A.H.; Tariq, M.; Rizvi, G. Amplifying the Sensitivity of Electrospun Polyvinylidene Fluoride Piezoelectric Sensors Through Electrical Polarization Process for Low-Frequency Applications. Fibers 2025, 13, 5. https://doi.org/10.3390/fib13010005
Tariq A, Behravesh AH, Tariq M, Rizvi G. Amplifying the Sensitivity of Electrospun Polyvinylidene Fluoride Piezoelectric Sensors Through Electrical Polarization Process for Low-Frequency Applications. Fibers. 2025; 13(1):5. https://doi.org/10.3390/fib13010005
Chicago/Turabian StyleTariq, Asra, Amir H. Behravesh, Muhammad Tariq, and Ghaus Rizvi. 2025. "Amplifying the Sensitivity of Electrospun Polyvinylidene Fluoride Piezoelectric Sensors Through Electrical Polarization Process for Low-Frequency Applications" Fibers 13, no. 1: 5. https://doi.org/10.3390/fib13010005
APA StyleTariq, A., Behravesh, A. H., Tariq, M., & Rizvi, G. (2025). Amplifying the Sensitivity of Electrospun Polyvinylidene Fluoride Piezoelectric Sensors Through Electrical Polarization Process for Low-Frequency Applications. Fibers, 13(1), 5. https://doi.org/10.3390/fib13010005

