Doped PANI Coated Nano-Ag Electrode for Rapid In-Situ Detection of Bromide in Seawater
Abstract
1. Introduction
2. Experimental
2.1. Reagents and Apparatus
2.2. Preparation of Nano Silver
2.3. Bromide Ion Doped PANI Film
2.4. Characterization
3. Results and Discussion
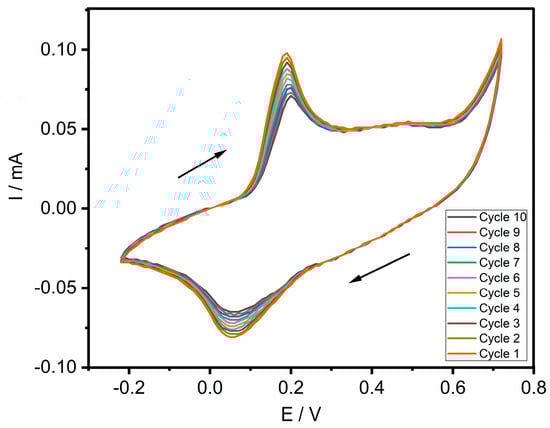
3.1. Electro-Polymerization of PANI and Bromine Ion Doped PANI
3.2. Scanning Electron Microscopy (SEM), Energy-Dispersive Spectroscopy (EDS), and Contact Angle Measurement
3.3. Electrochemical Impedance Spectroscopy (EIS)
3.4. Electrode Calibration, Nernst Response, Linear Range, and Detection Limit in Freshwater
3.5. Response Time and Stability
3.6. Effect of pH and Selectivity
3.7. Reproducibility, Repeatability and Lifespan
4. Application
5. Conclusions
Author Contributions
Funding
Acknowledgments
Conflicts of Interest
References
- Vainikka, P.; Hupa, M. Review on bromine in solid fuels. Part 1: Natural occurrence. Fuel 2012, 95, 1–14. [Google Scholar] [CrossRef]
- Leri, A.C.; Hakala, J.A.; Marcus, M.A.; Lanzirotti, A.; Reddy, C.M.; Myneni, S.C.B. Natural organobromine in marine sediments: New evidence of biogeochemical Br cycling. Glob. Biogeochem. Cycle. 2010, 24, GB4017. [Google Scholar] [CrossRef]
- He, G.; Chen, Q. Effect of bromine production in brine by air blowing method on seasalt production. J. Salt Chem. Ind. 2016, 4, 30–31. (In Chinese) [Google Scholar]
- Sanemasa, I.; Yoshida, M.; Abe, A. Uptake of iodine and bromine by ion-exchange resins in aqueous solution. Anal. Sci. 2008, 24, 921–924. [Google Scholar] [CrossRef] [PubMed][Green Version]
- Ensafi, A.A.; Eskandari, H. Selective extraction of bromide with liquid organic membrane. Sep. Sci. Technol. 2001, 36, 81–89. [Google Scholar] [CrossRef]
- Ohata, M.; Miura, T. Accurate determination and certification of bromine in plastic by isotope dilution inductively coupled plasma mass spectrometry. Anal. Chim. Acta 2014, 837, 23–30. [Google Scholar] [CrossRef]
- Kim, I.J.; Lee, K.S.; Hwang, E.; Min, H.S.; Yim, Y.H. Accurate measurement of bromine contents in plastic samples by instrumental neutron activation analysis. Anal. Chim. Acta 2013, 769, 22–29. [Google Scholar] [CrossRef]
- Fu, L.; Li, C.; Li, Y.; Chen, S.; Long, Y.; Zeng, R. Simultaneous determination of iodide and bromide using a novel lspr fluorescent ag nanocluster probe. Sens. Actuators B Chem. 2017, 240, 315–321. [Google Scholar] [CrossRef]
- Izgi, B.; Kayar, M. Determination of bromine and tin compounds in plastics using laser ablation inductively coupled plasma mass spectrometry (LA-ICP-MS). Talanta 2015, 139, 117–122. [Google Scholar] [CrossRef]
- Pashkova, G.V.; Aisueva, T.S.; Finkelshtein, A.L.; Ivanov, E.V.; Shchetnikov, A.A. Analytical approaches for determination of bromine in sediment core samples by X-ray fluorescence spectrometry. Talanta 2016, 160, 375–380. [Google Scholar] [CrossRef]
- De Gois, J.S.; Pereira, E.R.; Welz, B.; Borges, D.L.G. Simultaneous determination of bromine and chlorine in coal using electrothermal vaporization inductively coupled plasma mass spectrometry and direct solid sample analysis. Anal. Chim. Acta 2014, 852, 82–87. [Google Scholar] [CrossRef]
- Nikolskii, B.P.; Materova, E.A. Solid contact in membrane ion-selective electrodes. Ion-Sel. Electrode Rev. 1985, 7, 3–39. [Google Scholar] [CrossRef]
- Migdalski, J.; Błaż, T.; Lewenstam, A. Conducting polymers-mechanisms of cationic sensitivity and the methods of inducing thereof. Electrochim. Acta 2014, 133, 316–324. [Google Scholar] [CrossRef]
- Vanamo, U.; Bobacka, J. Electrochemical control of the standard potential of solid-contact ion-selective electrodes having a conducting polymer as ion-to-electron transducer. Electrochim. Acta 2014, 122, 316–321. [Google Scholar] [CrossRef]
- Jarvis, J.M.; Guzinski, M.; Pendley, B.D.; Lindner, E. Poly(3-octylthiophene) as solid contact for ion-selective electrodes: contradictions and possibilities. J. Solid State Electrochem. 2016, 20, 3033–3041. [Google Scholar] [CrossRef]
- Wang, W.D.; Lin, X.Q.; Zhao, H.B.; Lv, Q.F. Nitrogen-doped graphene prepared by pyrolysis of graphene oxide/polyaniline composites as supercapacitor electrodes. J. Anal. Appl. Pyrolysis 2016, 120, 27–36. [Google Scholar] [CrossRef]
- Zhybak, M.; Beni, V.; Vagin, M.Y.; Dempsey, E. Creatinine and urea biosensors based on a novel ammonium ion-selective copper-polyaniline nano-composite. Biosens. Bioelect. 2016, 77, 505–511. [Google Scholar] [CrossRef]
- Song, E.; Choi, J.W. Conducting polyaniline nanowire and its applications in chemiresistive sensing. Nanomaterials 2013, 3, 498–523. [Google Scholar] [CrossRef]
- Malik, R.; Zhang, L.; Mcconnell, C. Three-dimensional, free-standing polyaniline/carbon nanotube composite-based electrode for high-performance supercapacitors. Carbon 2017, 116, 579–590. [Google Scholar] [CrossRef]
- Si, W.; Lei, W.; Han, Z.; Hao, Q.; Zhang, Y.; Xia, M. Selective sensing of catechol and hydroquinone based on poly(3,4-ethylenedioxythiophene)/nitrogen-doped graphene composites. Sens. Actuators B Chem. 2014, 199, 154–160. [Google Scholar] [CrossRef]
- Wang, Z.L.; Xu, D.; Wang, H.G.; Wu, Z.; Zhang, X.B. In situ fabrication of porous graphene electrodes for high-performance energy storage. ACS Nano 2013, 7, 2422. [Google Scholar] [CrossRef]
- Peng, S.; Yan, X.; Zhang, D.; Wu, X.; Luo, Y.; He, G. A H3PO4 preswelling strategy to enhance the proton conductivity of a H2SO4-doped polybenzimidazole membrane for vanadium flow batteries. RSC Adv. 2016, 6, 23479–23488. [Google Scholar] [CrossRef]
- Rius-Ruiz, F.X.; Kisiel, A.; Michalska, A.; Maksymiuk, K.; Riu, J.; Rius, F.X. Solid-state reference electrodes based on carbon nanotubes and polyacrylate membranes. Anal. Bioanal. Chem. 2011, 399, 3613–3622. [Google Scholar] [CrossRef]
- Ruiz, D.; del Rosal, B.; Acebrón, M.; Palencia, C.; Sun, C.; Cabanillas-González, J.; López-Haro, M.; Hungría, A.B.; Jaque, D.; Juarez, B.H. Ag/Ag2S nanocrystals for high sensitivity near-infrared luminescence nanothermometry. Adv. Funct. Mater. 2017, 27, 1604629. [Google Scholar] [CrossRef]
- Tabata, M.; Katayama, Y.; Mannan, F.; Seichi, A.; Suzuki, K.; Goda, T.; Matsumoto, A.; Miyahara, Y. Label-free and electrochemical detection of nucleic acids based on isothermal amplification in combination with solid-state pH sensor. Proced. Eng. 2016, 168, 419–422. [Google Scholar] [CrossRef]
- Peng, S.; Fan, L.; Wei, C.; Liu, X.; Zhang, H.; Xu, W. Flexible polypyrrole/copper sulfide/bacterial cellulose nanofibrous composite membranes as supercapacitor electrodes. Carbohydr. Polym. 2017, 157, 344–352. [Google Scholar] [CrossRef]
- Huang, Y.; Li, J.; Yin, T.; Jia, J.; Ding, Q.; Zheng, H.; Chen, C.T.A.; Ye, Y. A novel all-solid-state ammonium electrode with polyaniline and copolymer of aniline/2,5-dimethoxyaniline as transducers. J. Electroanal. Chem. 2015, 741, 87–92. [Google Scholar] [CrossRef]
- Xing, L.; Kang, Y.; Zhou, Y.; Ye, Y.; Zhang, X.; Huang, Y.; Chen, C.-T.A.; Qin, H. Determination of sulfate in seawater by a novel all-solid-state sulfate sensor with H2SO4 doped polyaniline as sensitive membrane. Int. J. Electrochem. Sci. 2017, 12, 1506–1520. [Google Scholar] [CrossRef]
- Zhao, Y.; Han, C.; Huang, Y.; Qin, W.; Zhang, X.; Kan, Y.; Ye, Y. New all-solid-state carbonate ion-selective electrode with Ag2CO3–BaCO3 as sensitive films. Chem. Res. Chin. Uninv. 2016, 32, 655–660. [Google Scholar] [CrossRef]
- Ye, Y.; Huang, X.; Pan, Y.W.; Han, C.H.; Zhao, W. In-situ measurement of the dissolved S2− in seafloor diffuse flow system: sensor preparation and calibration. J. Zhejiang Uni. Sci. 2008, 9, 423–428. [Google Scholar] [CrossRef]
- Šljukić, B.; Baron, R.; Salter, C.; Crossley, A.; Compton, R.G. Combinatorial electrochemistry using metal nanoparticles: From proof-of-concept to practical realisation for bromide detection. Anal. Chim. Acta 2007, 590, 67–73. [Google Scholar] [CrossRef]
- Milikić, J.; Stoševski, I.; Krstić, J.; Kačarević-Popović, Z.; Miljanić, Š.; Šljukić, B. Electroanalytical sensing of bromides using radiolytically synthesized silver nanoparticle electrocatalysts. J. Anal. Methods Chem. 2017, 2, 67–73. [Google Scholar] [CrossRef]
- Nyachhyon, A.R.; Manandhar, K.; Pradhananga, R.R. Electrochemical characterization of laboratory fabricated bromide ion selective electrode. J. Inst. Sci. Technol. 2016, 21, 76–81. [Google Scholar] [CrossRef]
- Shamsipur, M.; Ershad, S.; Samadi, N.; Moghimi, A.; Aghabozorg, H. A novel chemically modified carbon paste electrode based on a new mercury(II) complex for selective potentiometric determination of bromide ion. J. Solid State Electrochem. 2005, 9, 788–793. [Google Scholar] [CrossRef]
- Ganjali, M.R.; Tahami, M.; Poursaberi, T.; Pazoukian, A.R.; Javanbakht, M.; Shamsipur, M.; Baezat, M.R. Novel bromide liquid membrane electrode. Anal. Lett. 2003, 36, 347–360. [Google Scholar] [CrossRef]
- Shamsipur, M.; Rouhani, S.; Mohajeri, A.; Ganjali, M.R.; Rashidi-Ranjbar, P. A bromide ion-selective polymeric membrane electrode based on a benzo-derivative xanthenium bromide salt. Anal. Chim. Acta 2000, 418, 197–203. [Google Scholar] [CrossRef]
- Ofer, D.; Crooks, R.M.; Wrighton, M.S. Potential dependence of the conductivity of highly oxidized polythiophenes, polypyrroles, and polyaniline: Finite windows of high conductivity. J. Am. Chem. Soc. 1990, 112, 7869–7879. [Google Scholar] [CrossRef]
- Epstein, A.J.; Macdiarmid, A.G. Novel concepts in electronic polymers: Polyaniline and its derivatives. Macromol. Symp. 1991, 51, 217–234. [Google Scholar] [CrossRef]
- Yin, B.; Ma, H.; Wang, S.; Chen, S. Electrochemical synthesis of silver nanoparticles under protection of poly(N-vinylpyrrolidone). J. Phys. Chem. B 2003, 107, 8898–8904. [Google Scholar] [CrossRef]
- Yu, L.; Zhang, Y. Preparation of nano-silver flake by chemical reduction method. Rare Met. Mater. Eng. 2010, 39, 401–404. (In Chinese) [Google Scholar]
- Itaya, K.; Takahashi, H.; Uchida, I. Electrodeposition of Pt ultramicroparticles in nafion films on glassy carbon electrodes. J. Electroanal. Chem. Interfacial Electrochem. 1986, 208, 373–382. [Google Scholar] [CrossRef]
- Rouleau, J.F.; Goyette, J.; Bose, T.K.; Singh, R.; Tandon, R.P. Transport studies in H3PO4-doped polyaniline. Phys. Rev. B Condens. Matter 1995, 52, 4801–4805. [Google Scholar] [CrossRef] [PubMed]
- Stafström, S.; Bredas, J.L.; Epstein, A.J.; Woo, H.S.; Tanner, D.B.; Huang, W.S.; MacDiarmid, A.G. Polaron lattice in highly conducting PANI: Theoretical and optical studies. Phys. Rev. Lett. 1987, 59, 1464–1467. [Google Scholar] [CrossRef]
- Koziel, K.; Łapkowski, M. Influence of the doping anion concentration on the mechanism of redox reactions of polyaniline. Synth. Met. 1993, 55, 1005–1010. [Google Scholar] [CrossRef]
- Tawde, S.; Mukesh, D.; Yakhmi, J. Redox behavior of PANI as influenced by aromatic sulphonate anions: cyclic voltammetry and molecular modeling. Synth. Met. 2001, 125, 401–413. [Google Scholar] [CrossRef]
- Macdiarmid, A.G.; Epstein, A.J. The concept of secondary doping as applied to polyaniline. Synth. Met. 1994, 65, 103–116. [Google Scholar] [CrossRef]
- Tokarský, J.; Kulhánková, L.; Stýskala, V.; Kutláková, K.M.; Neuwirthová, L.; Matějka, V. High electrical anisotropy in hydrochloric acid doped polyaniline /phyllosilicate nanocomposites: Effect of phyllosilicate matrix, synthesis pathway and pressure. Appl. Clay Sci. 2013, 81, 126–132. [Google Scholar] [CrossRef]
- Lee, S.; An, R.; Hunt, A.J. Liquid glass electrodes for nanofluidics. Nat. Nanotechnol. 2010, 5, 412. [Google Scholar] [CrossRef]
- Kumar, R.; Kant, R. Theory of quasi-reversible charge transfer admittance on finite self-affine fractal electrode. Electrochim. Acta 2011, 56, 7112–7123. [Google Scholar] [CrossRef]
- Geddes, L.A. Historical evolution of circuit models for the electrode-electrolyte interface. Ann. Biomed. Eng. 1997, 25, 1. [Google Scholar] [CrossRef] [PubMed]
- Kim, L.T.T.; Gabrielli, C.; Perrot, H.; Garcia-Jareno, J.; Vicente, F. Redox switching of Prussian blue thin films investigated by ac-electrogravimetry. Electrochim. Acta 2012, 84, 35–48. [Google Scholar] [CrossRef][Green Version]
- Green, S.J.; Mahe, L.S.A.; Rosseinsky, D.R.; Winlove, C.P. Potential and pH dependence of photocurrent transients for boron-doped diamond electrodes in aqueous electrolyte. Electrochim. Acta 2013, 107, 111–119. [Google Scholar] [CrossRef]













| Ref. No. | Cl− | I− | F− | NO3− | NO2− | SO42− | SO32− | SCN− |
|---|---|---|---|---|---|---|---|---|
| 19 | 8 × 10−2 | 3.98 | – | – | – | – | – | – |
| 20 | 1.2 × 10−2 | 1.8 × 10−3 | 2 × 10−5 | 2 × 10−5 | 1 × 10−5 | 1.5 × 10−5 | 2 × 10−5 | 1 × 10−3 |
| 21 | 8.6 × 10−2 | 6.4 × 10−2 | 4.2 × 10−5 | 8.4 × 10−4 | 1.2 × 10−5 | 3.2 × 10−4 | – | 1 × 10−3 |
| 22 | 1.4 × 10−3 | 5.5 × 10−3 | 7.5 × 10−4 | 8.5 × 10−4 | 8 × 10−4 | 3 × 10−4 | 3.1 × 10−4 | 7.5 × 10−3 |
| 23 | 9.0 × 10−4 | 1 × 10−3 | 2.6 × 10−5 | 8 × 10−3 | 4 × 10−3 | 2 × 10−4 | – | 3 × 10−3 |
| 24 | 7.9 × 10−2 | 2 × 10−2 | – | 8.9 × 10−2 | 6 × 10−3 | 3 × 10−3 | – | 6.9 × 10−2 |
| This work | 4.7 × 10−4 | 3.7 × 10−3 | 6.8 × 10−5 | 3.4 × 10−4 | 5.2 × 10−4 | 4.3 × 10−5 | 6.5 × 10−5 | 7.3 × 10−3 |
| Days | Slope | Correlation Coefficient (R2) |
|---|---|---|
| 1 | −56.04 | 0.9992 |
| 3 | −56.46 | 0.9952 |
| 8 | −55.36 | 0.9929 |
| 21 | −56.02 | 0.9911 |
| 36 | −55.62 | 0.9954 |
| 50 | −54.76 | 0.999 |
| 68 | −54.54 | 0.9958 |
| 83 | −55.56 | 0.9993 |
| 90 | −54.41 | 0.9997 |
| Time Monitoring Site | Caiyangzi Bromine Factory | Haihua Group Bromine Factory | ||||
|---|---|---|---|---|---|---|
| Data by Br-ISE (No. 1), Nernst Equation y = −48.497x − 108.57 | Data by Artificial | Data by Br-ISE (No. 2), Nernst Equation y = −49.446x − 110.44 | Data by Artificial | |||
| E1 (mV) | C1 (mg/L) | C2 (mg/L) | E2 (mV) | C3 (mg/L) | C4 (mg/L) | |
| 8:00, Mar. 2nd, 2018 | 15.62 | 143.21 | 147.13 | 21.01 | 170.07 | 170.42 |
| 9:00, Mar. 2nd, 2018 | 15.31 | 145.52 | 147.45 | 21.23 | 168.30 | 170.47 |
| 10:00, Mar. 2nd, 2018 | 15.32 | 145.52 | 147.53 | 21.04 | 169.83 | 170.44 |
| 11:00, Mar. 2nd, 2018 | 15.41 | 144.75 | 147.60 | 21.21 | 168.46 | 170.47 |
| 12:00, Mar. 2rd, 2018 | 15.41 | 144.75 | 147.58 | 21.05 | 169.75 | 170.32 |
| 13:00, Mar. 2nd, 2018 | 15.60 | 143.21 | 146.90 | 21.12 | 169.18 | 170.38 |
| 14:00, Mar. 2nd, 2018 | 15.30 | 145.52 | 146.87 | 20.95 | 170.56 | 170.64 |
| 15:00, Mar. 2nd, 2018 | 15.32 | 145.52 | 146.78 | 20.89 | 171.04 | 170.54 |
| 16:00, Mar. 2nd, 2018 | 15.64 | 143.21 | 146.60 | 20.93 | 170.72 | 170.53 |
| 17:00, Mar. 2nd, 2018 | 15.63 | 143.21 | 146.79 | 21.15 | 168.94 | 170.65 |
| 18:00, Mar. 2nd, 2018 | 15.65 | 143.21 | 146.77 | 20.76 | 172.10 | 170.78 |
| 19:00, Mar. 2nd, 2018 | 15.42 | 144.75 | 146.66 | 21.22 | 168.38 | 170.67 |
| 20:00, Mar. 2nd, 2018 | 15.45 | 144.75 | 146.69 | 21.16 | 168.86 | 170.54 |
| Ref. No. | Slope (mV/Decade) | Linear Range (M) | Detection Limit (M) | Respond Time (s) | pH Range | Life Span (Weeks) |
|---|---|---|---|---|---|---|
| 19 | 58.0 | – | 1 × 10−5 | – | – | – |
| 20 | 61.0 | 1 × 10−2–1 × 10−5 | 4 × 10−6 | – | 4.0–8.3 | – |
| 21 | 59.2 | 1 × 10−1–2.2 × 10−6 | 1.4 × 10−6 | 20 | 3.5–9.5 | 12 |
| 22 | 59.0 | 1 × 10−1–7 × 10−6 | 6 × 10−6 | ≤15 | 3.0–9.0 | 9 |
| 23 | 59.1 | 1 × 10−1–1 × 10−5 | – | ≤20 | 4.0–9.5 | 8 |
| 24 | 61.0 | 1 × 10−1–3.2 × 10−5 | 2 × 10−5 | – | 4.5–8.5 | – |
| This work | 59.2 | 1 × 10−1–1 × 10−7 | 6.29 × 10−6 | <1 | 2.0–10.0 | 12 |
© 2019 by the authors. Licensee MDPI, Basel, Switzerland. This article is an open access article distributed under the terms and conditions of the Creative Commons Attribution (CC BY) license (http://creativecommons.org/licenses/by/4.0/).
Share and Cite
Wang, Q.; Zhou, Y.; Zhou, J.; Wu, R.; Wu, J.; Zheng, H.; Ye, Y.; Huang, Y. Doped PANI Coated Nano-Ag Electrode for Rapid In-Situ Detection of Bromide in Seawater. Coatings 2019, 9, 325. https://doi.org/10.3390/coatings9050325
Wang Q, Zhou Y, Zhou J, Wu R, Wu J, Zheng H, Ye Y, Huang Y. Doped PANI Coated Nano-Ag Electrode for Rapid In-Situ Detection of Bromide in Seawater. Coatings. 2019; 9(5):325. https://doi.org/10.3390/coatings9050325
Chicago/Turabian StyleWang, Qiujin, Yifan Zhou, Jixue Zhou, Rongrong Wu, Jianbo Wu, Hao Zheng, Ying Ye, and Yuanfeng Huang. 2019. "Doped PANI Coated Nano-Ag Electrode for Rapid In-Situ Detection of Bromide in Seawater" Coatings 9, no. 5: 325. https://doi.org/10.3390/coatings9050325
APA StyleWang, Q., Zhou, Y., Zhou, J., Wu, R., Wu, J., Zheng, H., Ye, Y., & Huang, Y. (2019). Doped PANI Coated Nano-Ag Electrode for Rapid In-Situ Detection of Bromide in Seawater. Coatings, 9(5), 325. https://doi.org/10.3390/coatings9050325
