Abstract
To improve the tribology properties of the polymer coating under elevated temperature, the epoxy coating was reinforced with nano graphene. The micro-hardness, heat conductivity, and thermo-gravimetric properties of the coating were enhanced as filled graphene. The friction and wear properties of the polymer coating were studied using a pin-on-disc tribo-meter under room and elevated temperatures. The results showed that under room temperature, the friction coefficient and the wear rate of the coating adding 4.0 wt % graphene was 80% and 76% lower than that of the neat epoxy coating, respectively. As the test temperature increased, the friction coefficient of the graphene/polymer coatings decreased at first and then slightly increased. The friction coefficient was at its lowest value under 150 °C and then increased as the temperature rose to 200 °C. By adding 4.0 wt % graphene, the friction coefficient and wear rate of the polymer coating were further reduced, especially at elevated temperatures.
1. Introduction
In space environments, large frictional heat is difficult to dissipate from sliding surfaces. Additionally, a protective oxide film is difficult to form on contact surfaces during the rubbing process. These issues harm the adhesive and the adhesive wear can lead to failure of moving parts in certain conditions. In addition, the liquid lubricants are easily evaporated under high vacuum and high temperature conditions [1], which made the liquid lubricant hard to maintain on the contact area in order to provide an effective long term lubrication performance. The liquid lubricants are limited under extremely harsh working conditions such as high vacuum or high and/or low temperature [2]. Therefore, the reliability of solid or liquid lubricants to improve the lubrication performance of the moving parts is of great significance for long-life spacecraft. Polymer composite coatings have many advantageous behaviors, such as being able to operate with good oxidation resistance, being able to withstand acid and alkali due to corrosion resistance, and having chemical stability and anti-friction lubricity. As such, polymer composite coatings are often employed in the machinery of bearings, gears, and other moving parts in the space vehicle such as satellite antenna drive system and solar panel equipment.
The major setbacks of polymer composite coatings are usually their high friction coefficient and poor wear resistance. Such poor tribological performance of polymers can be improved by adequately incorporating nano or micro particles and fibers into the polymer matrix. Our previous work [3] showed the possible improvement of polymer tribological behaviors by appropriately embedding graphite and MoS2 particles. Jitendra [4] improved the friction and wear behavior of polymer composite by adding talc and graphite powders and showed that the friction coefficient and wear rate of SU-8 composites decreased as comprehensive usage of talc and graphite. Wan [5] utilized Ag nanoparticles to improve tribological properties of polyimide/epoxy resin-polytetrafluoroethylene (denoted as PI/EP-PTFE) coating, and confirmed the friction reduction and the enhancement of wear resistance of PI/EP-PTFE coating by the addition of Ag nanoparticles. A large number of available research studies indicate that the type and size of fillers, as well as the test conditions, had strongly influenced tribological performances of polymer composites [6,7]. However, these fillers usually aggregate with a relatively large size and are poorly dispersed in the polymer matrix, which is unfavorable for enhancing the mechanical properties of polymer coatings [8]. Some polymer coatings also have disadvantages of low hardness and high temperature creep. Due to this, the thermostability and tribological properties are clearly deteriorate in extreme environments.
Graphene is a two-dimensional crystal consisting of carbon atoms that has excellent mechanical, thermal, and tribology properties. Additionally, the nano size with properties of larger surface areas and rich oxygen containing functional groups can enhance the adhesive between the fillers and the chains in the polymer matrix [9], which is beneficial for improving the thermostability and wear resistance of the polymer composite. Meanwhile, graphene can form a self-lubrication transfer film on the contact interfaces during the friction process, which endows the graphene/polymer composite with a low and stable friction coefficient and wear rate [10,11,12].
When Liu [13] added graphene into the polyimide, the thermal stability and the hardness of the polyimide were significantly improved. With the addition of graphene content, the adhesive strength of the transfer film was increased. Compared with the neat polyimide, when the graphene content reached 3.0 wt %, the friction coefficient and wear rate decreased 21.3% and 26.3%, respectively. Ren [14] synthesized functionalized graphene and employed it as filler to improve the anti-wear property and load-carrying capacity of fabric/phenolic composites. It was found that the 2.0 wt % graphene filled fabric/phenolic composite exhibited excellent tribological properties. Lahiri [15] reinforced the tribological behavior of ultrahigh molecular weight polyethylene by coupled with graphene platelet. The wear resistance was enhanced more than four times as increasing graphene content from 0.1 to 1.0 wt %. Recently, Masood [16] added graphene and PTFE to improve the tribological response of nylon-based composites, and an optimal graphene content (0.5% in weight) could synergistically improve the friction coefficient and wear rate of Nylon 66. Numerous studies showed that graphene had excellent lubrication and anti-wear performance, and graphene was widely used as filler to improve the mechanical property and tribological performance of the polymer composites [17,18,19]. The enhancement on the wear property of the composite was mainly due to the self-lubrication of graphene and the easily-formed transfer film on the counterpart surface. However, the tribological mechanisms of graphene/polymer coating are not well understood and thus require further investigation. Thermo-stability and the tribological properties are important properties of polymers. The full exploration of lubrication behaviors of polymer coating and the understanding of their tribological applications under high temperatures are very meaningful and significant.
Epoxy resin is widely used for composite coating, and the polymer coating with good adhesion performance can be conveniently prepared on the surface by a spray process. However, under a poor heat dissipation condition, huge frictional heat is hard to dissipate in time, which influences the lifetime of the polymer coating. In this work, in order to enhance the high temperature tribological performance of polymer coating, graphene was prepared and incorporated into epoxy resin matrix. The main objective of this study was to investigate the influences of graphene content and test temperature on tribological properties of the polymer coating, as well as to discuss their corresponding lubrication and wear mechanisms.
2. Materials and Methods
2.1. Preparation of Polymer Composite Coating
The detailed process of synthesis graphene was as follows. Graphene oxide was first prepared by the oxidation–deoxidization method according to a modified Hummer’s method [20]. To fabricate graphene oxide:(i) 120 mL sulfuric acid with 98% concentration was added into the beaker and cooled in the ice bath, then 5 g flake graphite (300 mesh) and 2.5 g NaNO3 were slowly added in the sulfuric acid solution, and then 15 g KMnO₄ was gradually joined in the solution, the magnetic agitation was applied during the reaction for 1.5 h; (ii) the beaker was heated to 35 °C in a warm bath, meanwhile 200 ml distilled water was slowly add into the mixture and heated 1 h; (iii) the mixture was heated to 95 °C, the reaction was lasted for 30 min to get tan precipitation, which was the graphene oxide (GO). Finally, graphene oxide was ultrasonic cleaning in deionized water, and dried in vacuum oven.
For graphene: (i) 6.5 g GO (graphene oxide) was added into 1000 mL deionized water and later ultrasonic dispersed for 2 h to obtain a stable graphene oxide solution; (ii) pre-measured 60 mL ammonia (acted as a complexing agent) and 65 mL 85% hydrazine hydrate (acted as a reducing agent) were added dropwise to the graphene oxide solution, respectively. The obtained solution was heated at 80 °C for 2 h, and then the reaction system was cooled down to room temperature after the reaction completed; (iii) the obtained graphene was washed five times with deionized water by centrifugation at 3000 rpm over 15 min, then the solution was frozen in the refrigerator for 72 h until the graphene was freeze dried.
GCr15 steel with a diameter of 30 mm and a thickness of 5 mm was applied as a substrate specimen, and the disc specimen had hardness of HRC 60–63. The specimens were polished with 100 grain size sand paper to increase the surface roughness. The disc specimens to be coated with polymer coating were cleaned in an ultrasonic bath with acetone for 10 min successively three times so as to ensure the proper removal of residual pollutants. Then the specimens were dried at 100 °C before spraying the coating. The polymer coating was achieved by spraying epoxy matrix filled with graphene, the epoxy matrix was high purity E51 epoxy resin with an epoxide equivalent weight of 210–250 g/eq. 650 type low molecular polyamine (with amine value of 180–220 mg KOH/g) was employed as the curing agent for the epoxy monomer.
The graphene (content increases from 0.0% to 4.0% in weight) were slowly added into the E51 epoxy resin at 70 °C and uniformly stirred. Then the curing agent was introduced into the mixture at 60 °C, and the solution was continuously mixed for 10 min and diluted with ethyl alcohol. The prepared graphene–epoxy solution was then sprayed on the GCr15 substrate, and it was followed by curing at room temperature for 24 h. Finally, the composite coating with a thickness 30 μm and surface roughness Ra of 0.5 μm was prepared.
2.2. Characterization
Micro-hardness of the polymer coating was performed by using a TMVS-1 hardness tester (TIMES Group, Beijing, China). For each specimen, five measurements were conducted under load of 50 gf and lasting 15 s. Thermal gravimetric analysis (TG) of the polymer coatings filled with different contents of graphene were evaluated using a TG apparatus (Netzsch Sta 409 PC/PG, Netzsch, Selb, Germany). 3.5 mg specimen was heated from 25 to 750 °C at a heating rate of 10 °C/min in nitrogen atmosphere. Thermal conductivity of the polymer composite was carried out using a LFA 447 Nanoflash (Netzsch, Selb, Germany), according to ASTM E1461 standard [21]. The sample was prepared with a size of 10 mm diameter and 1 mm thickness. Before each experiment, a thin graphite layer was coated on two sides to increase emission/absorption behavior. The test was performed at a room temperature of 25 °C, the thermal diffusivity values (cm2/s) of the composites were recorded.
To evaluate the tribological properties of polymer coating from room temperature to 200 °C, the disc specimen was heated and carried out on UMT-2 tribometer (CETR Corporation Ltd., Campbell, CA, USA). Linearly reciprocating ball-on-disk sliding tests were performed according to ASTM G133-05 [22], the lower specimen was the polymer coating and the upper specimen was a GCr15 ball with diameter of 9.5 mm and hardness of 62 HRC. Before the tests, the ball specimens were ultrasonically cleaned in deionized water for 5 min and the disc specimens were cleaned with alcohol wipes, and then dried in hot air. The test conditions were as follows: applied load of 4 N, reciprocating sliding frequency of 6 Hz, with a liner stroke of 6 mm, and sliding time of 60 min. The friction tests were carried out under 25, 100, 150, and 200 °C, respectively, and each test was repeated three times. After the friction tests, the wear scars were observed by a scanning electron microscope (SEM, JSM-6460, JEOL, Tokyo, Japan).
Cross-sectional profile of the wear scar was measured using a surface profilometer (TR3000, TIMES Group, Beijing, China), and the wear rate was calculated as the ratio of its wear volume and the corresponding sliding distance and applied load. From the profile curves, this allowed estimation of the sectional area of the wear trace and the average wear width. The average wear width was used to calculate the average worn volume V, and the corresponding wear rate k was calculated in the following equation [23].
where k is the wear rate (mm3/N·m), V is the wear volume (mm3), r is the ball radius (3 mm), D is the diameter of wear track (10 mm), L is the width of wear scar (mm), S is the sliding distance (m), and P is the applied load (N).
3. Results and Discussion
3.1. Characterization of the Composite Coating
The surface morphology of graphene is characterized using a JSM-6460 scanning electron microscope (SEM), as shown in Figure 1a. It shows that the lateral dimensions of the graphene are layered with a nano-scale thickness. However, some graphene particles agglomerate with each other, and form a corrugated structure. The fracture surface of the composite coating filled with graphene is shown in Figure 1b. This shows that the graphene is tightly combined in the epoxy matrix without loosening even after the fracture. The graphene has a larger specific surface area, which assures strong anchoring and increases the inter-facial contact between the graphene and polymer. It indicates that the presence of well-dispersed graphene in the polymer composite can lead to desirable bearing properties and improve the tribological performance.
Figure 1.
SEM images of (a) graphene and (b) the fracture surface of polymer coating (4.0 wt % graphene).
Figure 2 shows the micro-hardness of polymer coating depending on various graphene contents. The hardness is gradually increased when the content of graphene increases from 0.0 to 4.0 wt %. When the graphene content is higher than 2.0 wt %, the micro-hardness increases slightly with the increase of graphene content. The lowest hardness of the neat epoxy coating is 20.4 Hv, while the hardness is 37 Hv as the graphene content increases to 4.0 wt %. The increase in graphene content caused hardness to rise, this result is consistent with previous works [24]. The addition of a coupling agent can effectively enhance the adhesive strength between epoxy matrix and fillers [25]. Homogeneous dispersion of fillers improves the hardness of the polymer coating. The improvement in hardness is mainly due to the formation of a three-dimensional network by the uniform and staggered distribution of graphene in a polymer matrix. When increasing graphene content in the polymer matrix, it is beneficial to enhance the wear resistance of the composite.
Figure 2.
Effect of graphene content on the micro-hardness of the polymer composite coatings.
The thermal conductivities of the polymer composite measured by the laser flash method are plotted in Figure 3. It shows that the thermally conductive coefficient of the polymer composite is significantly enhanced to 2.36 W/m·K by adding 4.0 wt % graphene, which is 12 times higher than that of neat epoxy. The theoretical thermal conductivity of graphene is reported to be as high as 5000 W/m·K [26]. Therefore, it is reasonable to assume graphene is suitable for fabricating the epoxy nanocomposite with high thermal conductivity. It also indicates that there is an obvious increment for the thermal conductivity as an increase of graphene content. Because heat propagation in the polymer is mainly due to acoustic phonons, a uniform network in the polymer matrix may result in an increase in thermal conductivity in the composites [27]. With the increasing graphene content, the graphene particles connect to each other and the thermally conductive network is easily formed. For a high content of graphene, polymer composite possesses better interfacial compatibility, which favors phonon transport [28], and thus increases thermal conductivity. Similar conclusions in thermal conductivity of epoxy matrix was previously reported by [27,29].
Figure 3.
Effect of graphene content on the thermal conductivity of the polymer composite coatings.
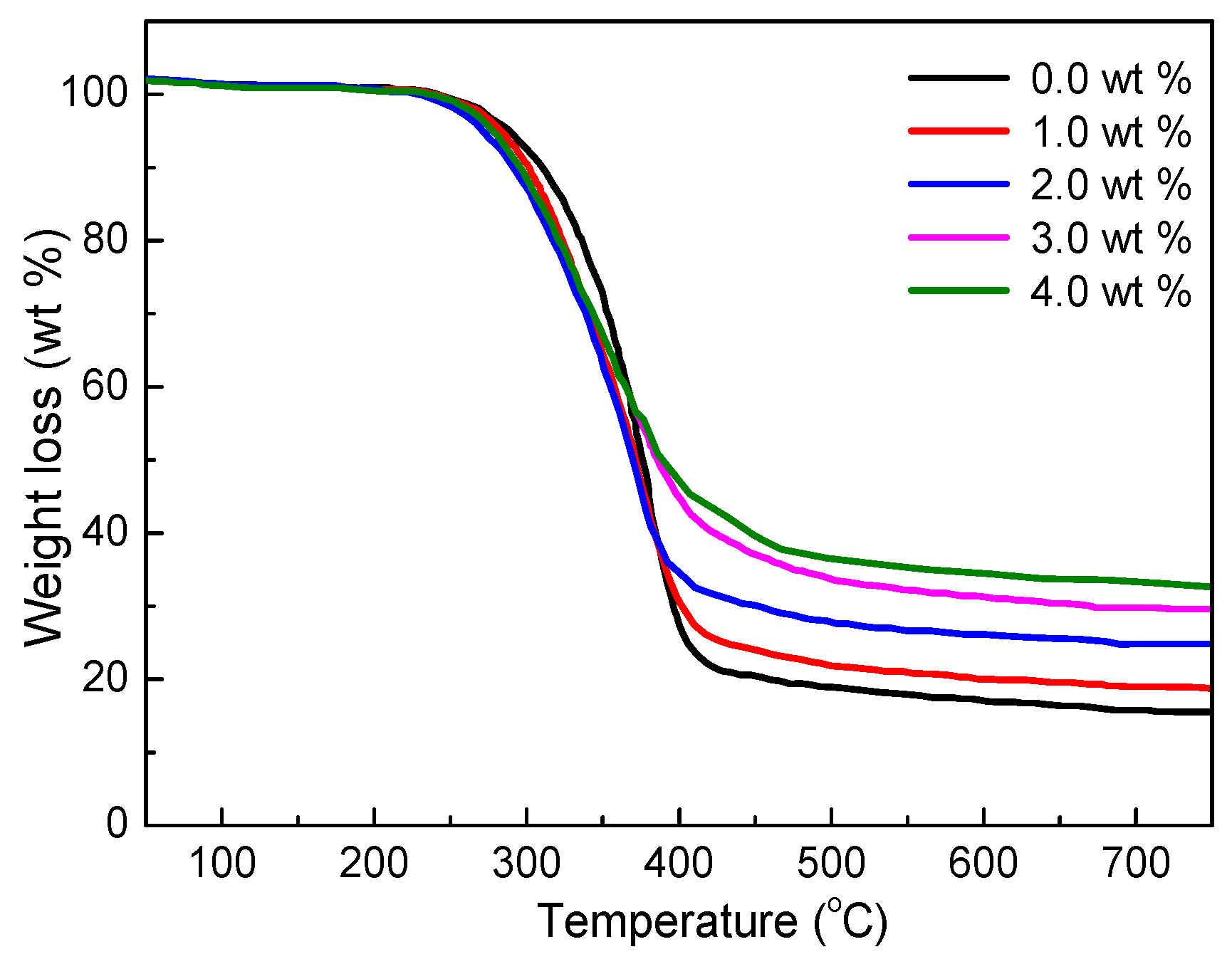
Thermal properties of polymer coating with various graphene content by thermal gravimetric (TG) analysis is shown in Figure 4. When the specimen is heated, there are two main stages of mass loss of polymer composite during the thermal gravimetric analysis. In the temperature range of 50–300 °C, all the TG curves of the specimens present almost the same change trend, the weight is slowly decreased with a rise in temperature, which is caused by the volatilization of trace amounts of water and organic matter in the matrix. When the temperature is 300–400 °C, the weight loss increases rapidly as the temperature rises. Decomposition tendencies with temperature are similar, this is due to thermal decomposition of main chain of epoxy. In the range of 400–700 °C, the decomposition speeds are slow, and the weight loss is significantly different. The decomposition rate of epoxy resin with 4.0 wt % graphene is slow, and the residue yields of degradation are highest at the temperature of 700 °C, which shows that the heat resistant properties of epoxy resin with 4.0 wt % graphene are superior. With the increase of graphene content, the heat resistant performance of polymer coating gradually improves. It indicates that the graphene is effective for enhancing the thermal stability of epoxy resin. The enhancement of thermal stability can be explained in terms of the dispersion of graphene and interfacial interaction with the epoxy matrix [30]. As such, the addition of graphene is helpful for improving the thermal stability of the polymer matrix in the high temperature stage.
Figure 4.
TG curves of polymer composite coatings filled with various grapheme contents.
3.2. Effect of Graphene Content on the Tribological Properties
The effect of the graphene on the tribological properties of the reinforced polymer coating was investigated by determining the value of the friction coefficient and wear rate with various graphene contents (1.0–4.0 wt %, respectively).
Figure 5a shows the friction coefficient curves of the polymer coatings with various content of graphene at room temperature. The friction coefficient of neat epoxy coating is 0.41 at the start-up stage, and then quickly increases to 0.50 after running for 100 s. The increment rises slowly when the sliding continues, the friction coefficient rises to 0.60 at the end of the test. The friction coefficients of composite coatings are significantly reduced and more stable when adding graphene. For example, in the case of adding 1.0 wt % graphene, the friction coefficient of coating reduces to 0.25, which is 50% lower than that of neat epoxy coating. It also confirms that the friction coefficient gradually decreases as the content of graphene increases. Furthermore, when the graphene content is 4.0 wt %, the friction coefficient (with the lowest value of 0.11) is significantly lower than that of the other coatings. Figure 5b illustrates that the wear rate of the polymer coating varies with the content of graphene at room temperature. The wear rate of the neat epoxy coating is as high as 6.54 × 10−6 mm3/N·m. When the graphene content is 1.0 wt %, its wear rate is reduced by 59% when compared with neat epoxy coating, this indicates an effective improvement for wear resistance of the polymer composite at a relatively low content. In addition, it can be seen that the wear rate gradually decreases as the graphene content increases.
Figure 5.
Tribology properties of polymer composite coatings: (a) friction coefficient and (b) wear rate.
The significant decrease in the friction coefficient and wear rate for polymer composite coating can be associated with the self-lubrication of graphene. When the embedded graphene in the polymer matrix is extruded and it forms solid stable transfer films on the relative sliding surfaces, which can prevent the sliding occurring between the rough surface of composite coatings and steel counterpart, it endows a self-lubricating characteristic of the polymer composite [31,32].
3.3. Effect of Elevated Temperature on the Tribological Properties
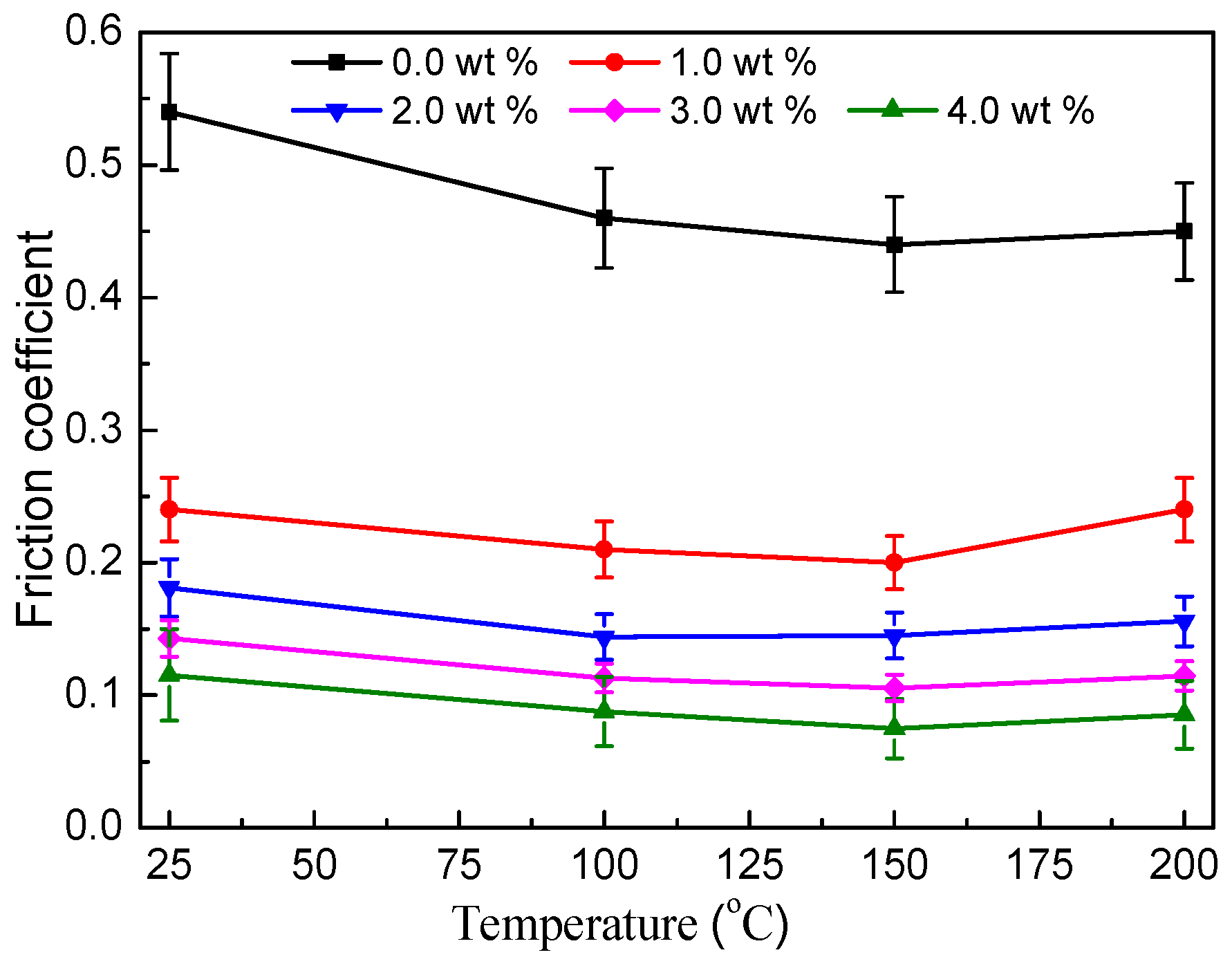
Figure 6 shows the average friction coefficient of the polymer coating with various graphene contents slid against the GCr15 steel ball with temperatures varying from 25 to 200 °C.
Figure 6.
Influence of temperature on the friction coefficient of the polymer composite coatings.
It can be seen that the neat epoxy coating has the highest friction coefficient, and the friction coefficient first reduces and then increases as the test temperature rises. The friction coefficient is lowest (0.44) at 150 °C and then increases to 0.48 as the temperature rises to 200 °C. It is also found that the friction coefficient of the coating containing 1.0 wt % graphene is stable with a rise in test temperature, the average friction coefficient is in the range of 0.25–0.28, which is distinctly lower than the neat epoxy coating. In addition, the graphene content further increases to 3.0 wt %, the friction coefficient declines while the reduction rate slows down as the test temperature increases, the lowest friction coefficient is 0.07 at the test temperature of 150 °C. Furthermore, when the graphene content increases to 4.0 wt %, the friction coefficient is lower than the coating contents of 3.0 wt % graphene under the same test conditions. Generally, high graphene content benefits the high temperature tribological performance of polymer coating, whereas higher test temperature leads to a higher friction coefficient.
The wear rate of polymer coating with various graphene contents under a test temperature range from 25 to 200 °C, which is shown in Figure 7. It indicates that polymer coating without graphene has the highest wear rate, and the wear rate reduces and then increases with temperature increases, the minimum wear rate is 5.62 × 10−6 mm3/N·m at 100 °C, and the wear rate reaches the highest value (9.75 × 10−6 mm3/N·m) at 200 °C. When the graphene content increases to 1.0 wt %, the wear rate is significantly lower than neat epoxy coating. Particularly, the wear rate of the coating with a graphene content of 4.0 wt % is lowest in the four grapheme-containing polymer coatings. In the given contents, the wear resistance of the polymer coating is better under higher graphene content. Thus, the graphene improves the wear resistance of polymer coating under higher temperature. When graphene is intercalated in epoxy resin, and the organic-inorganic hybrid structure is formed, this prevents the heat flow to the epoxy resin and reduces the thermal decomposition of composite matrix, so the wear resistance is significantly enhanced at high temperature stages. Prior study also found that adding graphene in the epoxy matrix could enhance the bearing capacity and the fatigue strength of the polymer [15].
Figure 7.
Wear rate of the polymer composite coatings under various test temperatures.
Neat epoxy polymer is viscoelastic material, the friction mainly depends on the adhesion of the epoxy and steel on the contact area. The relaxation of the branched chain of epoxy resin [33] is occurred under proper heat, and shear slip of the epoxy takes place under the rubbing process along the sliding direction and decreases friction. Therefore, friction coefficient of neat epoxy under 150 °C is lower than that under 25 °C. However, as the temperature continues to rise, the hardness declines and the real contact area also increases, which causes severe wear and results in further increase of the friction coefficient of neat polymer.
However, the friction coefficient of the polymer composite coating with the addition of graphene is slowly decreased or increased as the increase of test temperatures. This can be attributed to the embedded particles are free to roll, since the viscous polymer cannot hold them under higher temperature. The rolling particles could significantly reduce friction and temperature in the contact area [34,35]. Furthermore, the graphene also forms a transfer film on the counterpart surfaces. As a result, both the frictional coefficient and the wear rate of the polymer composite coating are effectively reduced.
3.4. Analysis of Wear Morphology
Figure 8 shows SEM micrographs of the worn surface of epoxy coating with various graphene contents. For the neat epoxy coating, a large amount of micro-cracking and material breaking off are observed on the wear track, which indicates a typical fatigue wear type of the neat epoxy coating under room temperature (Figure 8a). As graphene is added into the epoxy matrix, the damage of the wear decreases because the contact stress is supported by the graphene. When the content of graphene is 1.0 wt %, the wear scratch on the surface gets smoother and shows no surface defects, and only a smooth and very shallow furrow. When the content of graphene is 3.0 and 4.0 wt %, the worn surfaces of polymer coating (Figure 8d,e) can be characterized similarly, which is a wear feature of the surface that exhibited plastic deformation.
Figure 8.
SEM images of worn surfaces of epoxy coating with the graphene content of (a) 0.0 wt %, (b) 1.0 wt %, (c) 2.0 wt %, (d) 3.0 wt %, and (e) 4.0 wt %, respectively, at room temperature.
When graphene content is increased, the wear damage of the polymer coating decreases, the reason is that a high filing ratio of graphene in the epoxy matrix can form a well-dispersed graphene-epoxy structure, which facilitates good load transfer to the matrix network, resulting in improvement of tribologilcal properties of the epoxy coating.
The micrographs of their wear scars slid obtained under test temperature of 150 °C are compared to better understand the possible wear mechanisms of epoxy coating under high temperature. The SEM images of the worn surfaces are shown in Figure 9. The worn surface of the neat epoxy is composed of a loose debris layer, and a large number of micro cracks and peeling, which indicates that the neat epoxy coating experienced intense fatigue failure under high thermal stress (Figure 9a). When the graphene content increases to 1.0 wt %, it can be seen that wear debris are sheared by a micro convex body, and then roller compacted to form a transfer film on the worn surface, which can support the contact press. This also indicates that the continuous transfer film is hard to form under a low grapheme content. As shown in Figure 9c, for the graphene content of 3.0 wt %, the wear becomes relatively smooth and continuous transfer film is formed on the surface. The detection facilitates to deduce that in the sliding process, graphene can form a transfer film on the friction pair, and graphene in the polymer matrix can improve the thermal conduction performance, as well as avoid the initial failure of coating. Adding an appropriate amount of graphene can improve the wear resistance of polymer coating mainly because the graphene enhances the bearing strength of the coating. Therefore, the coating containing graphene can withstand a larger shear force. In addition, the micrographs of worn surface phenomena decrease with increasing graphene content.
Figure 9.
SEM images of worn surfaces of epoxy coating with the graphene content of (a) 0.0 wt %, (b) 1.0 wt %, (c) 2.0 wt %, (d) 3.0 wt %, and (e) 4.0 wt % respectively under 150 °C.
4. Conclusions
Graphene reinforced polymer coating was successfully deposited on a GCr15 steel surface by a spraying process. Investigation of micro-hardness, thermal characteristics, and high temperature tribological properties of the epoxy coating were conducted, and the effects of graphene on the mentioned performances had been discussed. The following conclusions were reached:
- When filling with various content of graphene, the micro-hardness, heat resistance, and thermal conductivity properties of epoxy resin coating are significantly enhanced.
- Under the room temperature condition, epoxy coating containing graphene has excellent tribological properties, the friction coefficient and wear rate of the neat epoxy coating is 0.55 and 6.54 × 10−6 mm3/N·m, the friction coefficient and wear rate is 0.11 and 1.52 × 10−6 mm3/N·m for the composite coating contains 4.0 wt % graphene. With the increase of graphene content, the friction coefficient and wear rate of the composite coating are gradually reduced.
- Under high temperature conditions, graphene-enhanced composite coating shows better friction reduction and wear resistance than neat epoxy coating, and the values are reduced as the increase of graphene content. Meanwhile, the friction coefficient and the wear rate of the composite coatings containing graphene slightly decrease or increase with the increase of test temperature. Such phenomena are mainly caused by the formation of a transfer film on the surface which suppresses the huge heat and contact pressure.
Acknowledgments
This work was supported by the National Natural Science Foundation of China (No. 51605381), China Postdoctoral Science Foundation (2017M613171), Shaanxi Provincial Education Department (No. 16JK1540), and Natural Science Fund Plan of Shaanxi Province (No. 2017JQ5101).
Author Contributions
Dongya Zhang conceived and designed the experiments; Xian Wei performed the experiments for fabricating composite coatings; Shanjun Zhong analyzed the tribological experiment results; Yanchao Zhang and Jianlei Wang contributed analysis of the thermal performance of the coating; Dongya Zhang wrote the paper.
Conflicts of Interest
The authors declare no conflict of interest.
References
- Ke, H.; Huang, W.; Wang, X. Insights into the effect of thermocapillary migration of droplet on lubrication. Proc. Inst. Mech. Eng. Part J-J. Eng. Tribol. 2016, 230, 583–590. [Google Scholar] [CrossRef]
- Donnet, C.; Erdemir, A. Solid lubricant coatings: Recent developments and future trends. Tribol. Lett. 2004, 17, 389–397. [Google Scholar] [CrossRef]
- Zhang, D.-Y.; Zhang, P.-B.; Lin, P.; Dong, G.-N.; Zeng, Q.-F. Tribological properties of self-lubricating polymer-steel laminated composites. Tribol. Trans. 2013, 56, 908–918. [Google Scholar] [CrossRef]
- Katiyar, J.K.; Sinha, S.K.; Kumar, A. Friction and wear durability study of epoxy-based polymer (SU-8) composite coatings with talc and graphite as fillers. Wear 2016, 362–363, 199–208. [Google Scholar] [CrossRef]
- Wan, H.; Jia, Y.; Ye, Y.; Xu, H.; Cui, H.; Chen, L.; Zhou, H.; Chen, J. Tribological behavior of polyimide/epoxy resin-polytetrafluoroethylene bonded solid lubricant coatings filled with in situ-synthesized silver nanoparticles. Prog. Org. Coat. 2017, 106, 111–118. [Google Scholar] [CrossRef]
- Turssi, C.P.; Purquerio, B.M.; Serra, M.C. Wear of dental resin composites: Insights into underlying processes and assessment methods—A review. J. Biomed. Mater. Res. B 2003, 65, 280–285. [Google Scholar] [CrossRef] [PubMed]
- Bijwe, J.; Indumathi, J.; Ghosh, A.K. On the abrasive wear behaviour of fabric-reinforced polyetherimide composites. Wear 2002, 253, 768–777. [Google Scholar] [CrossRef]
- Bastani, D.; Esmaeili, N.; Asadollahi, M. Polymeric mixed matrix membranes containing zeolites as a filler for gas separation applications: A review. J. Ind. Eng. Chem. 2013, 19, 375–393. [Google Scholar] [CrossRef]
- Shen, X.-J.; Pei, X.-Q.; Fu, S.-Y.; Friedrich, K. Significantly modified tribological performance of epoxy nanocomposites at very low graphene oxide content. Polymer 2013, 54, 1234–1242. [Google Scholar] [CrossRef]
- Lin, J.; Wang, L.; Chen, G. Modification of graphene platelets and their tribological properties as a lubricant additive. Tribol. Lett. 2011, 41, 209–215. [Google Scholar] [CrossRef]
- Kandanur, S.S.; Rafiee, M.A.; Yavari, F.; Schrameyer, M.; Yu, Z.Z.; Blanchet, T.A.; Koratkar, N. Suppression of wear in graphene polymer composites. Carbon 2012, 50, 3178–3183. [Google Scholar] [CrossRef]
- Liu, D.; Zhao, W.S.; Liu, Q.; Cen, Q.; Xue, Q. Comparative tribological and corrosion resistance properties of epoxy composite coatings reinforced with functionalized fullerene C60 and graphene. Surf. Coat. Technol. 2016, 286, 354–364. [Google Scholar] [CrossRef]
- Liu, H.; Li, Y.; Wang, T.; Wang, Q. In situ synthesis and thermal, tribological properties of thermosetting polyimide/graphene oxide nanocomposites. J. Mater. Sci. 2012, 47, 1867–1874. [Google Scholar] [CrossRef]
- Ren, G.; Zhang, Z.; Zhu, X.; Ge, B.; Guo, F.; Men, X.; Liu, W. Influence of functional graphene as filler on the tribological behaviors of Nomex fabric/phenolic composite. Compos. Part A-Appl. Sci. Manuf. 2013, 49, 157–164. [Google Scholar] [CrossRef]
- Lahiri, D.; Hec, F.; Thiesse, M.; Durygin, A.; Zhang, C.; Agarwal, A. Nanotribological behavior of graphene nanoplatelet reinforced ultrahigh molecular weight polyethylene composites. Tribol. Int. 2014, 70, 165–169. [Google Scholar] [CrossRef]
- Muhammad, T.M.; Evie, L.P.; José, A.H.G.; Ilker, S.B.; Athanassi, A.; Luca, C. Graphene and polytetrafluoroethylene synergistically improve the tribological properties and adhesion of nylon 66 coatings. Carbon 2017, 123, 26–33. [Google Scholar]
- Shen, X.-J.; Pei, X.-Q.; Liu, Y.; Fu, S.-Y. Tribological performance of carbon nanotube–graphene oxide hybrid/epoxy composites. Compos. Part B-Eng. 2014, 57, 120–125. [Google Scholar] [CrossRef]
- Jiang, T.; Kuila, T.; Kim, N.H.; Ku, B.-C.; Lee, J.H. Enhanced mechanical properties of silanized silica nanoparticle attached graphene oxide/epoxy composites. Compos. Sci. Technol. 2013, 79, 115–125. [Google Scholar] [CrossRef]
- Golchin, A.; Wikner, A.; Emami, N. An investigation into tribological behaviour of multi-walled carbon nanotube/graphene oxide reinforced UHMWPE in water lubricated contacts. Tribol. Int. 2016, 95, 156–161. [Google Scholar] [CrossRef]
- Marcano, D.C.; Kosynkin, D.V.; Berlin, J.M.; Sinitskii, A.; Sun, Z.; Slesarev, A.; Alemany, L.B.; Lu, W.; Tour, J.M. Improved synthesis of graphene oxide. ACS Nano 2010, 4, 4806–4814. [Google Scholar] [CrossRef] [PubMed]
- ASTM E1461-01 Standard Test Method for Thermal Diffusivity by the Flash Method; ASTM International: West Conshohocken, CA, USA, 2001.
- ASTM G133-05 Standard Test Method for Linearly Reciprocating Ball-on-flat Sliding Wear; ASTM International: West Conshohocken, CA, USA, 2005.
- Zhang, D.; Dong, G.; Chen, Y.; Zeng, Q. Electrophoretic deposition of PTFE particles on porous anodic aluminum oxide film and its tribological properties. Appl. Surf. Sci. 2014, 290, 466–474. [Google Scholar] [CrossRef]
- Tai, Z.; Chen, Y.; An, Y.; Yan, X.; Xue, Q. Tribological behavior of UHMWPE reinforced with graphene oxide nanosheets. Tribol. Lett. 2012, 46, 55–63. [Google Scholar] [CrossRef]
- Naves, L.Z.; Santana, F.R.; Castro, C.G.; Valdivia, A.D.C.M.; da Mota, A.S.; Estrela, C.; Sobrinho, L.C.; Soares, C.J. Surface treatment of glass fiber and carbon fiber posts: SEM characterization. Microsc. Res. Tech. 2011, 74, 1088–1092. [Google Scholar] [CrossRef] [PubMed]
- Liu, L.H.; Yan, M. Functionalization of pristine graphene with perfluorophenyl azides. J. Mater. Chem. 2012, 21, 3273–3276. [Google Scholar] [CrossRef]
- Chatterjee, S.; Wang, J.W.; Kuo, W.S.; Tai, N.H.; Salzmann, C.; Li, W.L.; Hollertz, R.; Nüesch, F.A.; Chu, B.T.T. Mechanical reinforcement and thermal conductivity in expanded graphene nanoplatelets reinforced epoxy composites. Chem. Phys. Lett. 2012, 531, 6–10. [Google Scholar] [CrossRef]
- Lin, Z.; Mcnamara, A.; Liu, Y.; Moon, K.S.; Wong, C.P. Exfoliated hexagonal boron nitride-based polymer nanocomposite with enhanced thermal conductivity for electronic encapsulation. Compos. Sci. Technol. 2014, 90, 123–128. [Google Scholar] [CrossRef]
- Wang, F.; Drzal, L.T.; Qin, Y.; Huang, Z. Mechanical properties and thermal conductivity of graphene nanoplatelet/epoxy composites. J. Mater. Sci. 2015, 50, 1082–1093. [Google Scholar] [CrossRef]
- Ganguli, S.; Roy, A.K.; Anderson, D.P. Improved thermal conductivity for chemically functionalized exfoliated graphite/epoxy composites. Carbon 2008, 46, 806–817. [Google Scholar] [CrossRef]
- Pan, B.; Zhang, S.; Li, W.; Zhao, J.; Liu, J.; Zhang, Y.; Zhang, Y. Tribological and mechanical investigation of MC nylon reinforced by modified graphene oxide. Wear 2012, 294–295, 395–401. [Google Scholar] [CrossRef]
- Min, C.; Nie, P.; Song, H.J.; Zhang, Z.; Zhao, K. Study of tribological properties of polyimide/graphene oxide nanocomposite films under seawater-lubricated condition. Tribol. Int. 2014, 80, 131–140. [Google Scholar] [CrossRef]
- Feng, J.; Guo, Z. Temperature-frequency-dependent mechanical properties model of epoxy resin and its composites. Compos. Part B-Eng. 2016, 85, 161–169. [Google Scholar] [CrossRef]
- Li, C.; Zhong, Z.; Lin, Y.; Friedrich, K. Tribological properties of high temperature resistant polymer composites with fine particles. Tribol. Int. 2007, 40, 1170–1178. [Google Scholar]
- Rapoport, L.; Bilik, Y. Hollow nanoparticles of WS2 as potential solid-state lubricants. Nature 1997, 387, 791–793. [Google Scholar] [CrossRef]
© 2018 by the authors. Licensee MDPI, Basel, Switzerland. This article is an open access article distributed under the terms and conditions of the Creative Commons Attribution (CC BY) license (http://creativecommons.org/licenses/by/4.0/).








