The Acoustical Durability of Thin Noise Reducing Asphalt Layers
Abstract
:1. Introduction
- A semi-generic temperature correction coefficient of −0.06 dB(A)/°C as proposed by [21];
- For dense asphalt mixtures, −0.10 dB(A)/°C, and for porous asphalt mixtures, −0.06 dB(A)/°C [22];
- A generic temperature correction coefficient of −0.10 dB(A)/°C was used for all road surfaces in [23];
- For dense asphalt mixtures, −0.10 dB(A)/°C, and for porous asphalt mixtures, −0.05 dB(A)/°C [24].
2. Test Sections and Measurement Methods
2.1. Description of the Test Sections
2.2. Statistical Pass-By Method
2.3. Close-ProXimity Method
2.4. Texture Measurements
3. Results
3.1. SPB
3.2. CPX
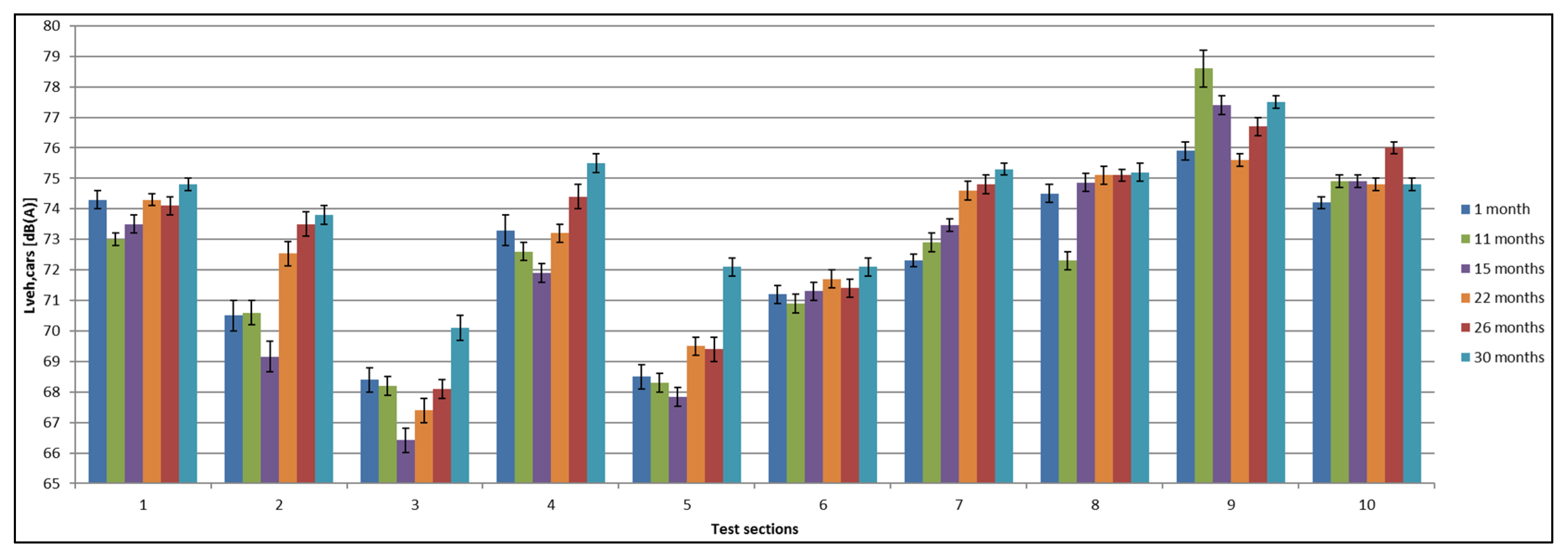
3.2.1. Cars
3.2.2. Heavy Vehicles
3.2.3. Cars vs. Heavy Vehicles
3.2.4. CPX Third Octave Band Spectra
3.3. Texture
4. Discussion
4.1. SPB Results
4.2. CPX Results
4.2.1. Cars
4.2.2. Heavy Vehicles
4.2.3. Cars vs. Heavy Vehicles
4.2.4. CPX Third Octave Band Spectra
4.2.5. Correlation between CPX and SPB
4.3. Texture Measurement Results
5. Conclusions
Acknowledgments
Author Contributions
Conflicts of Interest
Abbreviations
| AWV | Flemish Agency for Roads and Traffic | 
| BRRC | Belgian Road Research Centre | 
| CPB | Controlled Pass-By method | 
| CPX | Close-ProXimity method | 
| DPAC | Double-layer Porous Asphalt Concrete | 
| EMIB | Energy and Materials in Infrastructure and Buildings (research group of UAntwerp) | 
| ISO | International Organization for Standardization | 
| LNE | Environment, Nature and Energy Department of the Flemish government | 
| PAC 8 | Porous Asphalt Concrete with a maximum aggregate size of 8 mm | 
| SMA | Stone Mastic Asphalt | 
| SMN | Division Surface characteristics-Markings-Noise of BRRC | 
| SPB | Statistical Pass-By method | 
| SRTT | Standard Reference Test Tire | 
| T&E | The European Federation for Transport and Environment | 
| UAntwerp | University of Antwerp | 
| VTAC 8 | A thin layer with a maximum aggregate size of 8 mm | 
| WHO | World Health Organization | 
References
- WHO Regional Office for Europe. Burden of Disease from Environmental Noise—Quantification of Healthy Life Years Lost in Europe. 2011. Available online: http://www.who.int/quantifying_ehimpacts/publications/e94888/en/ (accessed on 16 May 2016).
- LNE. Actieplan Wegverkeerslawaai. 2010. Available online: http://www.lne.be/themas/hinder-en-risicos/geluidshinder/beleid/eu-richtlijn/actieplannen/actieplannen (accessed on 16 May 2016).
- Den Boer, L.C.; Schroten, A. Traffic Noise Reduction in Europe—Health Effects, Social Costs and Technical and Policy Options to Reduce Road and Rail Traffic Noise, Report for T & E by CE Delft. 2007. Available online: http://www.cedelft.eu/publicatie/traffic_noise_reduction_in_europe/821 (accessed on 16 May 2016).
- Miljković, M.; Radenberg, M. Thin noise-reducing asphalt pavements for urban areas in Germany. Int. J. Pavement Eng. 2012, 13, 569–578. [Google Scholar] [CrossRef]
- Li, M.; van Keulen, W.; van de Ven, M.; Molenaar, A.; Tang, G. Investigation on material properties and surface characteristics related to tyre-road noise for thin layer surfacings. Constr. Build. Mater. 2014, 59, 62–71. [Google Scholar] [CrossRef]
- Ho, K.-Y.; Hung, W.-T.; Ng, C.-F.; Lam, Y.-K.; Leung, R.; Kam, E. The effects of road surface and tyre deterioration on tyre/road noise emission. Appl. Acoust. 2013, 74, 921–925. [Google Scholar] [CrossRef]
- Freitas, E.F. The effect of time on the contribution of asphalt rubber mixtures to noise abatement. Noise Control Eng. 2012, 60. [Google Scholar] [CrossRef]
- Freitas, E.F.; Mendonça, C.; Santos, J.A.; Murteira, C.; Ferreira, J.P. Traffic noise abatement: how different pavements, vehicle speeds and traffic densities affect annoyance levels. Transp. Res. D 2012, 17, 321–326. [Google Scholar] [CrossRef]
- Skov, R.S.H.; Andersen, B.; Bendtsen, H.; Cesbron, J. Laboratory measurements on noise reducing PERS test slabs. In Proceedings of the Forum Acusticum 2014, Krakow, Poland, 7–12 September 2014; p. 7.
- Praticò, F.G.; Anfosso-Lédée, F. Trends and issues in mitigating traffic noise through quiet pavements. Procedia Soc. Behav. Sci. 2012, 53, 203–212. [Google Scholar] [CrossRef]
- SILVIA Homepage. Available online: http://www.transport-research.info/project/sustainable-road-surfaces-traffic-noise-control (accessed on 16 May 2016).
- SILENCE Homepage. Available online: http://www.silence-ip.org/site/index.html (accessed on 16 May 2016).
- OPTHINAL Final Report. Available online: http://vti.diva-portal.org/smash/get/diva2:674028/FULLTEXT02.pdf (accessed on 16 May 2016).
- PERSUADE Homepage. Available online: http://persuade.fehrl.org/ (accessed on 16 May 2016).
- Sandberg, U. Road traffic noise—The influence of the road surface and its characterization. Appl. Acoust. 1987, 21, 97–118. [Google Scholar] [CrossRef]
- Liao, G.; Sakhaeifar, M.S.; Heitzman, M.; West, R.; Waller, B.; Wang, S.; Ding, Y. The effects of pavement surface characteristics on tire-pavement noise. Appl. Acoust. 2014, 76, 14–23. [Google Scholar] [CrossRef]
- Mun, S. Sound absorption characteristics of porous asphalt concrete pavements. Can. J. Civil Eng. 2010, 37, 273–278. [Google Scholar] [CrossRef]
- Peeters, B.; Ammerlaan, I.; Kuijpers, A. Noise reduction by absorbing road surfaces—Destroying the horn effect. In Proceedings of the International Conference on Noise and Vibration Engineering (ISMA), Leuven, Belgium, 20–22 September 2010; pp. 4053–4064.
- Li., M.; van Keulen, M.; Ceylan, H.; Cao, D.; van de Ven, M.L.; Molenaar, A. Pavement stiffness measurements in relation to mechanical impedance. Constr. Build. Mater. 2016, 102, 455–461. [Google Scholar] [CrossRef]
- Freitas, E.; Dias Rodrigues, J.; Araújo, J.; Silva, H.M.R.D. Innovative low noise surfaces—Comparison of damping and absorption. In Proceedings of the 43rd International Congress on Noise Control Engineering (Inter-Noise 2014), Melbourne, Australia, 16–19 November 2014.
- Sandberg, U. Semi-generic temperature corrections for tyre/road noise. In Proceedings of the Inter-Noise 2004, Prague, Czech Republic, 22–25 August 2004; p. 628.
- Anfosso-Lédée, F.; Pichaud, Y. Temperature effect on tyre-road noise. Appl. Acoust. 2007, 68, 1–16. [Google Scholar] [CrossRef]
- Bühlmann, E.; Ziegler, T. Temperature effects on tyre/road noise measurements and the main reasons for their variation. In Proceedings of the Inter-Noise 2013, Innsbruck, Austria, 15–18 September 2013; p. 7.
- Bühlmann, E.; van Blokland, G. Temperature effects on tyre/road-noise—A review of empirical research. In Proceedings of Forum Acusticum 2014, Kraków, Poland, 7–12 September 2014; p. 6.
- Bergiers, A.; de Visscher, J.; Denolf, K.; Destree, A.; Vanhooreweder, B.; Vuye, C. Test sections to study the acoustical quality of thin noise reducing asphalt layers. In Proceedings of the International Conference on Noise and Vibration Engineering (ISMA), Leuven, Belgium, 15–17 September 2014; pp. 1707–1722.
- De Visscher, J.; Denolf, K.; Estrée, A.; Vanelstraete, A.; Vansteenkiste, S.; Piérard, N. Validatie van prestatieproeven voor dunne toplagen op de proefvakken N19 Kasterlee. In Proceedings of the 22nd Belgisch Wegencongres, Luik, Belgium, 11–13 September 2013. (In Dutch)
- Vanhooreweder, B.; Bergiers, A.; Goubert, L. Stille dunne toplagen: Proefproject N19 Kasterlee. In Proceedings of the 22nd Belgisch Wegencongres, Luik, Belgium, 11–13 September 2013. (In Dutch)
- ISO 11819-1-Acoustics—Measurement of the Influence of Road Surfaces on Traffic Noise—Part 1: Statistical Pass-By Method; International Organization for Standardization: Geneva, Switzerland, 1997.
- Vercauteren, T. Studie van de Akoestische Kwaliteit van Stille Deklagen en Dubbellaags Zeer Open Asphalt. Master’s Thesis, University of Antwerp, Antwerp, Belgium, 2014. [Google Scholar]
- Devroye, G.; Stuer, W. Studie van Stille Wegdekken: Dunne Deklagen, Dubbellaags Zeer Open Asfalt en PERS. Master’s Thesis, University of Antwerp, Antwerp, Belgium, 2015. [Google Scholar]
- ISO/DIS 11819-2-Acoustics—Measurement of the Influence of Road Surfaces on Traffic Noise—Part 2: The Close-Proximity Method (Draft Version); International Organization for Standardization: Geneva, Switzerland, 2012.
- ISO 13473-2-Characterization of Pavement Texture by Use of Surface Profiles—Part 2: Terminology and Basic Requirements Related to Pavement Texture Profile Analysis; International Organization for Standardization: Geneva, Switzerland, 2002.
- ISO 13473-3-Characterization of Pavement Texture by Use of Surface profiles—Part 3: Specification and Classification of Profilometers; International Organization for Standardization: Geneva, Switzerland, 2002.
- ISO/TS 13473-4-Characterization of Pavement Texture by Use of Surface Profiles—Part 4: Spectral Analysis of Surface Profiles; International Organization for Standardization: Geneva, Switzerland, 2008.
- Bergiers, A.; Goubert, L. An international round robin test to assess the accuracy of the Statistical Pass By method and its “backing board” variant. In Proceedings of the ICSV17, Cairo, Egypt, 18–22 July 2010.
- Vanhooreweder, B. Luidheid van Belgische wegdekken. In Proceedings of the Silent Roads Symposium, Mechelen, Belgium, 14 October 2014.
- Gardziejczyk, W. The effect of time on acoustic durability of low noise pavements—The case studies in Poland. Transp. Res. D 2016, 44, 93–104. [Google Scholar] [CrossRef]
- Bendtsen, H.; Kohler, E.; Lu, Q.; Rymer, B. California-Denmark study on acoustic aging of road pavements. Transp. Res. Rec. 2010, 2158, 122–128. [Google Scholar] [CrossRef]
- Van Blokland, G.; Tollenaa, C.; van Loon, R. Report on Acoustic Aging of Road Surfaces, Deliverable D2.2, QUESTIM. Available online: http://www.questim.org/questim.org/downloads (accessed on 16 May 2016).
- Muiread, M.; Morris, L.; Stait, R.E. The Performance of Quieter Surfaces over Time; Published Project Report PPR485; Transport Research Laboratory: Wokingham, UK, 2010. [Google Scholar]
- Andersen, B.; Bendtsen, H. Noise from heavy vehicles on thin noise reducing surfaces. In Proceedings of the Inter-Noise 2013, Innsbruck, Austria, 15–18 September 2013; p. 129.
- Bergiers, A.; Vanhooreweder, B.; Vercauteren, T.; Vuye, C. Pilot study of the acoustical quality of thin noise reducing asphalt layers. In Proceedings of the Inter-Noise 2013, Innsbruck, Austria, 15–18 September 2013.
- ROSANNE Homepage. Available online: http://rosanne-project.eu/ (accessed on 16 May 2016).
- Kragh, J.; Skov, R.; Oddershede, J.; Anfosso-Ledée, F.; Bartolomaeus, W.; Zöller, M.; Berge, T.; Bergiers, A.; Muirhead, M.; Wehr, R. Report on the Analysis and Comparison of Existing Noise Measurement Methods for Noise Properties of Road Surfaces; ROSANNE Deliverable D2.3; ROSANNE: Brussels, Belgium, 2015. [Google Scholar]





















| Property | Max. Aggregate Size (mm) | Type of TAL | Voids Percentage (%) | 
|---|---|---|---|
| SMA-10 | 10 | – | 7 | 
| Test Section 2 | 4 | Porous-type | 25 | 
| Test Section 3 | 4 | Porous-type | 25 | 
| Test Section 4 | 6.3 | SMA-like | 11 | 
| DPAC top layer | 6.3 | – | 23 | 
| DPAC bottom layer | 14 | – | 21 | 
| Test Section 6 | 6.3 | SMA-like | 15 | 
| Test Section 7 | 6.3 | SMA-like | 11 | 
| Test Sections 8 and 9 | 6.3 | SMA-like | 11 | 
| Test Section 10 | 8 | SMA-like | 14 | 
| Measurement | AWV | BRRC | 
|---|---|---|
| Vehicle speed | Gatsometer type 24 | Kustom Signals KR10SP | 
| Sound pressure level | MCP 211 ½″ | B & K 4189 ½″ | 
| Test Section | Linear Regression Line | Correlation Coefficient R² | Increase per Month (dB) | Increase per Year (dB) | 
|---|---|---|---|---|
| 1 | y = 0.038x + 73.23 | 0.35 | 0.04 | 0.45 | 
| 2 | y = 0.141x + 69.04 | 0.64 | 0.14 | 1.70 | 
| 3 | y = 0.036x + 67.44 | 0.10 | 0.04 | 0.43 | 
| 4 | y = 0.080x + 71.99 | 0.43 | 0.08 | 0.96 | 
| 5 | y = 0.106x + 67.28 | 0.55 | 0.11 | 1.27 | 
| 6 | y = 0.020x + 71.13 | 0.29 | 0.02 | 0.24 | 
| 7 | y = 0.101x + 72.13 | 0.91 | 0.10 | 1.21 | 
| 8 | y = 0.047x + 73.71 | 0.23 | 0.05 | 0.56 | 
| 9 | y = 0.028x + 76.28 | 0.06 | 0.03 | 0.33 | 
| 10 | y = 0.061x + 73.64 | 0.49 | 0.06 | 0.73 | 
| Test Section | Linear Regression Line | Correlation Coefficient R² | Increase per Month (dB) | Increase per Year (dB) | 
|---|---|---|---|---|
| 1 | y = −0.008x + 98.28 | 0.17 | −0.01 | −0.10 | 
| 2 | y = 0.199x + 91.20 | 0.95 | 0.20 | 2.39 | 
| 3 | y = 0.112x + 92.27 | 0.86 | 0.11 | 1.34 | 
| 4 | y = 0.114x + 92.25 | 0.82 | 0.11 | 1.37 | 
| 5 | y = 0.204x + 91.24 | 0.95 | 0.20 | 2.45 | 
| 6 | y = 0.122x + 92.29 | 0.86 | 0.12 | 1.46 | 
| 7 | y = 0.109x + 93.46 | 0.92 | 0.11 | 1.31 | 
| 8 | y = 0.094x + 94.37 | 0.93 | 0.10 | 1.13 | 
| 9 | y = 0.083x + 94.93 | 0.93 | 0.08 | 1.00 | 
| 10 | y = 0.052x + 97.10 | 0.79 | 0.05 | 0.62 | 
| Test Section | Linear Regression Line | Correlation Coefficient R² | Increase per Month (dB) | Increase per Year (dB) | 
|---|---|---|---|---|
| 1 | y = 0.048x + 98.39 | 0.79 | 0.05 | 0.58 | 
| 2 | y = 0.129x + 94.90 | 0.90 | 0.13 | 1.55 | 
| 3 | y = 0.108x + 95.20 | 0.88 | 0.11 | 1.30 | 
| 4 | y = 0.112x + 95.40 | 0.89 | 0.11 | 1.34 | 
| 5 | y = 0.171x + 92.88 | 0.96 | 0.17 | 2.05 | 
| 6 | y = 0.086x + 93.67 | 0.85 | 0.09 | 1.03 | 
| 7 | y = 0.111x + 94.67 | 0.97 | 0.11 | 1.33 | 
| 8 | y = 0.127x + 94.97 | 0.95 | 0.13 | 1.52 | 
| 9 | y = 0.105x + 95.76 | 0.95 | 0.11 | 1.26 | 
| 10 | y = 0.108x + 96.67 | 0.94 | 0.11 | 1.30 | 
© 2016 by the authors; licensee MDPI, Basel, Switzerland. This article is an open access article distributed under the terms and conditions of the Creative Commons Attribution (CC-BY) license (http://creativecommons.org/licenses/by/4.0/).
Share and Cite
Vuye, C.; Bergiers, A.; Vanhooreweder, B. The Acoustical Durability of Thin Noise Reducing Asphalt Layers. Coatings 2016, 6, 21. https://doi.org/10.3390/coatings6020021
Vuye C, Bergiers A, Vanhooreweder B. The Acoustical Durability of Thin Noise Reducing Asphalt Layers. Coatings. 2016; 6(2):21. https://doi.org/10.3390/coatings6020021
Chicago/Turabian StyleVuye, Cedric, Anneleen Bergiers, and Barbara Vanhooreweder. 2016. "The Acoustical Durability of Thin Noise Reducing Asphalt Layers" Coatings 6, no. 2: 21. https://doi.org/10.3390/coatings6020021
APA StyleVuye, C., Bergiers, A., & Vanhooreweder, B. (2016). The Acoustical Durability of Thin Noise Reducing Asphalt Layers. Coatings, 6(2), 21. https://doi.org/10.3390/coatings6020021
 
         
                                                


 
       