Review of Preparing Low-Dielectric Epoxy Resin Composites
Abstract
1. Introduction
2. Influential Factors on the Dielectric Performance of Low-Dielectric Epoxy Resins
3. Reducing Polarization Rate to Prepare Low-Dielectric Epoxy Resin
3.1. Preparation of the Low-Dielectric Epoxy Resin Through Fluorine Doping
3.2. Preparation of the Low-Dielectric Epoxy Resin by Adding Low-Polarity Functional Modifiers to Epoxy Resin Matrices
3.2.1. Addition of Low-Polarity Nano-Fillers
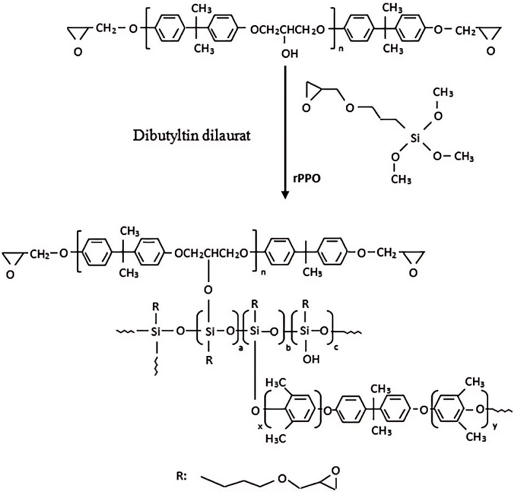
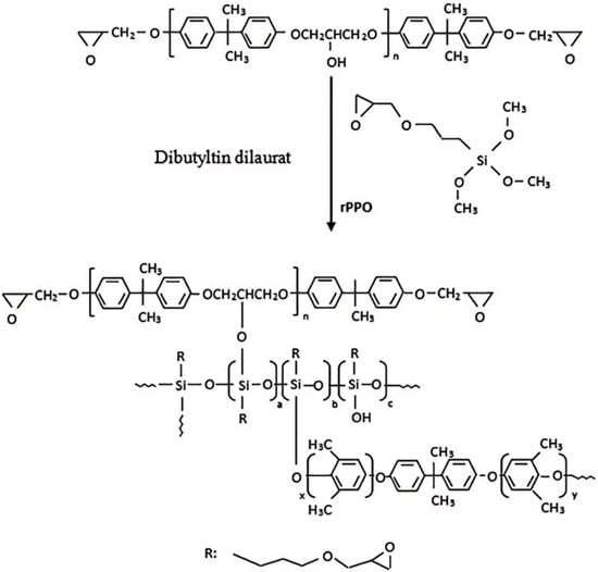
3.2.2. Incorporation of Low-Polarity Polymers
4. Reduction in Material Density to Prepare Low-Dielectric Epoxy Resin
5. Summary of Dielectric Performance for Representative Strategies
6. Conclusions
- Molecular Architecture Design: This involves tailoring the polymer network through the introduction of short side chains, flexible linkages, or bulky substituents. These modifications increase free volume, restrict chain mobility and intermolecular interactions, and dilute the concentration of polar groups, collectively leading to reduced polarizability.
- Incorporation of Low-Polarity Components: This strategy focuses on embedding inherently low-polarity atoms (e.g., fluorine) or chemical moieties into the epoxy matrix. These components induce steric constraints and possess low intrinsic polarizability, which synergistically suppresses dipole orientation and electronic polarization.
- Density Reduction through Porosity Engineering: This method entails compositing epoxy with porous or hollow micro-/nanofillers to decrease its effective density. The introduction of air-filled pores (k ≈ 1) directly lowers the composite’s permittivity according to effective medium theories, often concurrently reducing the dielectric loss and material cost.
- Developing cost-effective, scalable low-dielectric epoxy resins compatible with industrial manufacturing processes.
- Conducting a systematic study on the influence of filler morphology and size on the dielectric properties of epoxy composites.
- Enhancing the dielectric stability of epoxy resins under high-temperature and variable-frequency conditions while simultaneously minimizing the dielectric constant and loss.
7. Research Prospects and Application Prospects
- Multi-scale Simulation-Guided Design: Computational modeling of polarization mechanisms, interface interactions, and pore morphology can accelerate the discovery of optimal compositions and structures, reducing experimental trial-and-error.
- Multifunctional Hybrid Systems: Future composites should aim to integrate low dielectric loss with high thermal conductivity, mechanical toughness, and environmental stability. For example, epoxy composites incorporating aligned boron nitride nanosheets within a porous matrix could achieve anisotropic dielectric and thermal management.
- Sustainable and Scalable Processing: Developing water-based, solvent-free, or UV-curable formulations with bio-derived modifiers (e.g., plant oil epoxies, lignin derivatives) will address environmental concerns while maintaining low dielectric performance.
- Frequency- and Temperature-Stable Materials: Systematic studies on the dielectric behavior under extreme conditions (e.g., −196 °C to 300 °C, up to THz frequencies) are essential for aerospace, quantum computing, and next-generation RF devices.
- Integration with Additive Manufacturing: 3D printing of low-dielectric epoxy composites enables the fabrication of geometrically complex, lightweight components for phased-array antennas, embedded passives, and high-density interconnections.
Funding
Institutional Review Board Statement
Informed Consent Statement
Data Availability Statement
Conflicts of Interest
References
- Eyann, L.; Fatah Muhamed Mukhtar, M.A.; Saad, A.A.; Jaafar, M. Epoxy molding compounds for high-performance electronic packaging: A review on recent studies. Mater. Sci. Semicond. Process. 2025, 197, 109665. [Google Scholar] [CrossRef]
- Islam, M.Z.; Fu, Y.; Deb, H.; Hasan, M.K.; Dong, Y.; Shi, S. Polymer-based low dielectric constant and loss materials for high-speed communication network: Dielectric constants and challenges. Eur. Polym. J. 2023, 200, 112543. [Google Scholar] [CrossRef]
- Cao, Y.; Kobayashi, N.; Wang, C.; Takahashi, S.; Maekawa, S.; Masumoto, H. Novel Dielectric Nanogranular Materials with an Electrically Tunable Frequency Response. Adv. Electron. Mater. 2023, 9, 2201218. [Google Scholar] [CrossRef]
- Tang, L.; Zhang, J.; Tang, Y.; Kong, J.; Liu, T.; Gu, J. Polymer matrix wave-transparent composites: A review. J. Mater. Sci. Technol. 2021, 75, 225–251. [Google Scholar] [CrossRef]
- Treichel, H. Low Dielectric Constant Materials. J. Electron. Mater. 2001, 30, 290–298. [Google Scholar] [CrossRef]
- Cai, L.; Deng, J.; Shi, J.; Jiang, Z.H.; Hong, W. An optically transparent, broadband, and highly efficient dual-mode Huygens’ transmit-array antenna based on a single-layer low-loss dielectric substrate. Mater. Des. 2025, 113982. [Google Scholar] [CrossRef]
- Yu, X.; Zhou, Q.; Papageorgiou, D.; Zhang, H.; Yan, H.; Reece, M.; Yang, M.; Bilotti, E. Review of enhancing thermal conductivity in polymer-based dielectrics as passive components. Prog. Polym. Sci. 2025, 169, 102025. [Google Scholar] [CrossRef]
- Jin, F.L.; Li, X.; Park, S.J. Synthesis application of epoxy resins: A review. J. Ind. Eng. Chem. 2015, 29, 1–11. [Google Scholar] [CrossRef]
- Shi, H.; Liu, X.; Lou, Y. Materials and micro drilling of high frequency and high speed printed circuit board: A review. Int. J. Adv. Manuf. Technol. 2018, 100, 827–841. [Google Scholar] [CrossRef]
- Kalaš, D.; Šíma, K.; Kadlec, P.; Polanský, R.; Soukup, R.; Řeboun, J.; Hamáček, A. FFF 3D printing in electronic applications: Dielectric and thermal properties of selected polymers. Polymers 2021, 13, 3702. [Google Scholar] [CrossRef] [PubMed]
- Wang, L.; Yang, J.; Cheng, W.; Zou, J.; Zhao, D. Progress on polymer composites with low dielectric constant and low dielectric loss for high-frequency signal transmission. Front. Mater. 2021, 8, 774843. [Google Scholar] [CrossRef]
- Maex, K.; Baklanov, M.R.; Shamiryan, D.; Lacopi, F.; Brongersma, S.H.; Yanovitskaya, Z.S. Low dielectric constant materials for microelectronics. J. Appl. Phys. 2003, 93, 8793–8841. [Google Scholar] [CrossRef]
- Wang, H.; Du, Z.; Cheng, Z.; Cao, Z.; Ye, Y.; Wang, Z.; Wei, J.; Wei, S.; Meng, X.; Song, L.; et al. Ultralow-Dielectric-Constant Atomic Layers of Amorphous Carbon Nitride Topologically Derived from MXene. Adv. Mater. 2023, 35, 2301399. [Google Scholar] [CrossRef]
- Ma, B.; Lii, J.H.; Allinger, N.L. Molecular polarizabilities and induced dipole moments in molecular mechanics. J. Comput. Chem. 2000, 21, 813–825. [Google Scholar] [CrossRef]
- James, M. A physical interpretation of Cole–Cole equations and their ambiguous time constants for induced polarization models. Geophys. J. Int. 2025, 243, ggaf362. [Google Scholar] [CrossRef]
- Elwakil, A.S.; Al-Ali, A.A.; Maundy, B.J. Extending the double-dispersion Cole–Cole, Cole–Davidson and Havriliak–Negami electrochemical impedance spectroscopy models. Eur. Biophys. J. 2021, 50, 915–926. [Google Scholar] [CrossRef] [PubMed]
- Hardoň, Š.; Kúdelčík, J.; Janek, M.; Baran, A.; Kozáková, A.; Dérer, T. Halloysite nanotube enhanced polyurethane nanocomposites for advanced electroinsulating applications. Nanotechnol. Rev. 2025, 14, 20250248. [Google Scholar] [CrossRef]
- Simpson, J.O.; St.Clair, A.K. Fundamental insight on developing low dielectric constant polyimides. Thin Solid Film. 1997, 308–309, 480–485. [Google Scholar] [CrossRef]
- Sasaki, S.; Nakamura, K. Syntheses properties of cured epoxy resins containing the perfluorobutenyloxy group, I. Epoxy resin cured with perfluorobutenyloxyphthalic anhydride. J. Polym. Sci. Polym. Chem. Ed. 1984, 22, 831–840. [Google Scholar] [CrossRef]
- Tao, Z.; Yang, S.; Ge, Z.; Chen, J.; Fan, L. Synthesis and properties of novel fluorinated epoxy resins based on 1,1-bis(4-glycidylesterphenyl)-1-(3′-trifluoromethylphenyl)-2,2,2-trifluoroethane. Eur. Polym. J. 2007, 43, 550–560. [Google Scholar] [CrossRef]
- Lee, J.R.; Jin, F.L.; Park, S.J.; Park, J.M. Study of new fluorine-containing epoxy resin for low dielectric constant. Surf. Coat. Technol. 2004, 180–181, 650–654. [Google Scholar] [CrossRef]
- Na, T.; Jiang, H.; Liu, X.; Zhao, C. Preparation properties of novel fluorinated epoxy resins cured with 4-trifluoromethyl phenylbenzimidazole for application in electronic materials. Eur. Polym. J. 2018, 100, 96–102. [Google Scholar] [CrossRef]
- Riddle, B.; Baker-Jarvis, J.; Krupka, J. Complex permittivity measurements of common plastics over variable temperatures. IEEE Trans. Microw. Theory Tech. 2003, 51, 727–733. [Google Scholar] [CrossRef]
- Mumby, S.J.; Johnson, G.E.; Anderson, E.W. Dielectric properties of some PTFE-reinforced thermosetting resin composites. In Proceedings of the 19th Electrical Electronics Insulation Conference, Chicago, IL, USA, 25–28 September 1989; pp. 263–267. [Google Scholar]
- Duan, H.; Xu, X.; Leng, K.; Zhang, S.; Han, Y.; Gao, J.; Yu, Q.; Wang, Z. A (4-fluorophenyl)(phenyl)phosphine oxide-modified epoxy resin with improved flame-retardancy, hydrophobicity, and dielectric properties. J. Appl. Polym. Sci. 2021, 138, 50792. [Google Scholar] [CrossRef]
- Yang, R.; Sheng, M.; Zhang, Y.; Gong, H.; Lin, X.; Pei, Y.; Zhang, X. Thermal and dielectric properties of epoxy-based composites filled with flake and whisker type hexagonal boron nitride materials. High Perform. Polym. 2020, 33, 417–428. [Google Scholar] [CrossRef]
- Zhang, J.; Wang, D.; Wang, L.; Zuo, W.; Zhou, L.; Hu, X.; Bao, D. Effect of Terminal Groups on Thermomechanical and Dielectric Properties of Silica–Epoxy Composite Modified by Hyperbranched Polyester. Polymers 2021, 13, 2451. [Google Scholar] [CrossRef] [PubMed]
- Wang, Z.; Meng, G.; Wang, L.; Tian, L.; Chen, S.; Wu, G.; Kong, B.; Cheng, Y. Simultaneously enhanced dielectric properties and through-plane thermal conductivity of epoxy composites with alumina and boron nitride nanosheets. Sci. Rep. 2021, 11, 2495. [Google Scholar] [CrossRef]
- Guo, N.; Zhang, J.; Liu, L.; Zhang, T.; Zhang, X. Effect of interface polarization on dielectric properties in nanocomposite compounded with epoxy and montmorillonite. In Proceedings of the 2013 IEEE International Conference on Solid Dielectrics (ICSD), Bologna, Italy, 30 June–4 July 2013; pp. 840–842. [Google Scholar]
- Pavlidou, S.; Papaspyrides, C.D. A review on polymer–layered silicate nanocomposites. Prog. Polym. Sci. 2008, 33, 1119–1198. [Google Scholar] [CrossRef]
- Qin, J.; Zhang, W.; Yang, R. Synthesis of novel phosphonium bromide-montmorillonite nanocompound and its performance in flame retardancy and dielectric properties of epoxy resins. Polym. Compos. 2021, 42, 362–374. [Google Scholar] [CrossRef]
- Lin, J.; Zhou, Y.; Zhang, Z.; Xing, Z.; Yang, W.; He, S.; Bian, X. Preparation and Electrical Properties of Organic montmorillonite/Epoxy Composites. In Proceedings of the 2018 IEEE 2nd International Electrical and Energy Conference (CIEEC), Beijing, China, 4–6 November 2018; pp. 625–628. [Google Scholar]
- Chen, X.; Wang, Q.; Huang, X.; Awais, M.; Paramane, A.; Ren, N. Investigation of Electrical and Thermal Properties of Epoxy Resin/Silicon Carbide Whisker Composites for Electronic Packaging Materials. IEEE Trans. Compon. Packag. Manuf. Technol. 2022, 12, 1109–1121. [Google Scholar] [CrossRef]
- Li, H.; Bao, F.; Li, S.; Li, Y.; Li, X.; Mu, K.; Wang, M.; Zhu, C.; Xu, J. Preparation of fluorinated polyimides with low dielectric constants and low dielectric losses by combining ester groups and triphenyl pyridine structures. Polym. Chem. 2024, 15, 22–29. [Google Scholar] [CrossRef]
- Kim, B.Y.; Park, S.-D.; Yoo, M.J.; Yang, H. Graft Architectured Poly(phenylene oxide)-Based Flexible Films with Superior Dielectric Properties for High-Frequency Communication Above 100 GHz. ACS Appl. Polym. Mater. 2024, 6, 4708–4717. [Google Scholar] [CrossRef]
- Liao, L.Y.; Ruan, W.H.; Zhang, M.Q.; Weihao, L. Improving the Dimensional Stability of Polyphenylene Oxide without Reducing Its Dielectric Properties for High-Frequency Communication Applications. Ind. Eng. Chem. Res. 2023, 62, 7007–7016. [Google Scholar] [CrossRef]
- Hwang, H.J.; Hsu, S.W.; Chung, C.L.; Wang, C.S. Low dielectric epoxy resins from dicyclopentadiene-containing poly(phenylene oxide) novolac cured with dicyclopentadiene containing epoxy. React. Funct. Polym. 2008, 68, 1185–1193. [Google Scholar] [CrossRef]
- Weng, L.; Zhang, Y.; Zhang XLiu, L.; Zhang, H. Synthesis and properties of cured epoxy mixed resin systems modified by polyphenylene oxide for production of high-frequency copper clad laminates. Polym. Compos. 2018, 39, E2334–E2345. [Google Scholar] [CrossRef]
- Ma, P.; Dai, C.; Jiang, S. Thioetherimide-Modified Cyanate Ester Resin with Better Molding Performance for Glass Fiber Reinforced Composites. Polymers 2019, 11, 1458. [Google Scholar] [CrossRef] [PubMed]
- Zhang, X.; Gu, A.; Liang, G.; Zhuo, D.; Yuan, L. Liquid crystalline epoxy resin modified cyanate ester for high performance electronic packaging. J. Polym. Res. 2011, 18, 1441–1450. [Google Scholar] [CrossRef]
- Li, C.P.; Chuang, C.M. Thermal and Dielectric Properties of Cyanate Ester Cured Main Chain Rigid-Rod Epoxy Resin. Polymers 2021, 13, 2197. [Google Scholar] [CrossRef]
- Fu, F.; Zhou, X.; Shen, M.; Wang, D.; Xu, X.; Shang, S.; Song, Z.; Song, J. Preparation of Hydrophobic Low-k Epoxy Resins with High Adhesion Using a Benzocyclobutene-Rosin Modifier. ACS Sustain. Chem. Eng. 2023, 11, 5973–5985. [Google Scholar] [CrossRef]
- Hrubesh, L.W.; Keene, L.E.; Latorre, V.R. Dielectric properties of aerogels. J. Mater. Res. 1993, 8, 1736–1741. [Google Scholar] [CrossRef]
- Zhang, J.Y.; Boyd, I.W. Low dielectric constant porous silica films formed by photo-induced sol-gel processing. Mater. Sci. Semicond. Process. 2000, 3, 345–349. [Google Scholar] [CrossRef]
- Yung, K.; Zhu, B.; Yue, T.; Xie, C. Preparation and properties of hollow glass microsphere-filled epoxy-matrix composites. Compos. Sci. Technol. 2009, 69, 260–264. [Google Scholar] [CrossRef]
- Lin, J.; Wang, X. Preparation, microstructure, and properties of novel low-κ brominated epoxy/mesoporous silica composites. Eur. Polym. J. 2008, 44, 1414–1427. [Google Scholar] [CrossRef]
- Yamashita, Y.; Kurimoto, M.; Kato, T.; Funabashi, T.; Suzuoki, Y. Specific gravity and dielectric permittivity characteristics of mesoporous-silica/epoxy composites. In Proceedings of the 2014 IEEE Conference on Electrical Insulation and Dielectric Phenomena (CEIDP), Des Moines, IA, USA, 19–22 October 2014; pp. 760–763. [Google Scholar]
- Jiang, J.; Phillips, O.; Keller, L.; Kohl, P.A. Porous Epoxy Film for Low Dielectric Constant Chip Substrates and Boards. In Proceedings of the 2018 IEEE 68th Electronic Components and Technology Conference (ECTC), San Diego, CA, USA, 29 May–1 June 2018; pp. 33–39. [Google Scholar]
- Thirukumaran, P.; Parveen, A.S.; Sarojadevi, M. Synthesis of eugenol-based polybenzoxazine-POSS nanocomposites for low dielectric applications. Polym. Compos. 2015, 36, 1973–1982. [Google Scholar] [CrossRef]
- Jiao, J.; Wang, L.; Lv, P.; Cui, Y.; Miao, J. Improved dielectric mechanical properties of silica/epoxy resin nanocomposites prepared with a novel organic–inorganic hybrid mesoporous silica: POSS–MPS. Mater. Lett. 2014, 129, 16–19. [Google Scholar]
- Nagendiran, S.; Alagar, M.; Hamerton, I. Octasilsesquioxane-reinforced DGEBA and TGDDM epoxy nanocomposites: Characterization of thermal, dielectric and morphological properties. Acta Mater. 2010, 58, 3345–3356. [Google Scholar] [CrossRef]
- Wang, Y.Z.; Chen, W.Y.; Yang, C.C.; Lin, C.L.; Chang, F.C. Novel epoxy nanocomposite of low Dk introduced fluorine-containing POSS structure. J. Polym. Sci. Part B Polym. Phys. 2007, 45, 502–510. [Google Scholar] [CrossRef]
- Jiang, J.; Keller, L.; Kohl, P.A. Low-Dielectric Constant Nanoporous Epoxy for Electronic Packaging. J. Electron. Packag. 2019, 142, 011006. [Google Scholar] [CrossRef]
- Fu, F.; Xu, Y.; Shen, M.; Xu, X.; Liu, H. Strategies for developing low dielectric epoxy materials. Eur. Polym. J. 2025, 240, 114355. [Google Scholar] [CrossRef]



| Material Category | Typical εr Range | Remarks |
|---|---|---|
| Air/Vacuum | 1.0 | Theoretical lower limit. |
| Commercial High-Frequency Polymers | 2.0–2.5 | e.g., PTFE, cyclo-olefin polymers (COP). Industry benchmark for high-speed substrates. |
| Target for Advanced Epoxy Composites | <3.0 | Desired performance range for next-generation epoxy-based materials. |
| Conventional Epoxy Resins (DGEBA-based) | 3.5–4.5 | Baseline material requiring modification. |
| Ceramics (e.g., SiO2, Al2O3) | 3.9–10 | High stiffness and thermal conductivity, but often high εr. |
| Modification Strategy | Primary Polarization Mechanism Regulated | Specific Method/Material (Loading) | Dielectric Constant (εr) | Loss Factor (tan δ) | Frequency (Hz) | Reference | Most Suitable Scenarios |
|---|---|---|---|---|---|---|---|
| Fluorination Modification | Suppresses dipolar orientation polarization & electronic polarization | Perfluorinated system (3-TFM EP/4-TFM BI) | 3.38 | 0.020 | 107 | [18] | High-performance RF substrates |
| 4-FPO modified epoxy | 2.74 | 0.01–0.02 | 106 | [21] | |||
| Epoxy with 35.3 vol% PTFE | 2.47 | 0.030 | 106 | [20] | |||
| Adding Low-Polarity Nanofillers | Restricts matrix dipole relaxation; weak interfacial polarization | MD simulated silica-g-HBPET (5 wt%) | 2.45 | – | 104 | [23] | Antenna substrates, packaging underfill materials |
| BNNS (2 wt%) | 4.2 | 0.0024 | 10−1 | [24] | |||
| Montmorillonite (1 wt%) | 3.26 | 0.008 | 102 | [28] | |||
| Nano SiC (1 wt%) | 3.8 | 0.01–0.02 | 106 | [29] | |||
| Blending with Low-Polarity Polymers | Dilutes dipolar orientation polarization; regulates network dynamics | PPO oligomer interpenetrating network | 2.63 | 0.0104 | 1 GHz | [33] | High-speed digital PCBs, laminate core materials |
| rPPO modified epoxy | 3.76 | 0.00211 | 107 | [34] | |||
| Cyanate ester/epoxy hybrid system (BP/B10 = 1:1) | 2.66 | ~0.004 | 104 | [37] | |||
| Benzocyclobutene-rosin modifier | 2.72 | <0.03 | 15 GHz | [38] | |||
| Introducing Porous/Hollow Structures | Reduces volumetric electronic polarization contribution | Hollow glass microspheres (51.3 vol%) | 2.84 | 0.0205 | 106 | [41] | Lightweight radomes, ultra-low dielectric interlayer dielectrics in packaging |
| Mesoporous silica (3 wt%) | 3.70 | – | 106 | [42] | |||
| Sacrificial polycarbonate (porosity 22.3%) | 2.83 | 0.012 | 2 × 105 | [44] | |||
| POSS-MPS (5 wt%) | 3.66 | 0.017 | 106 | [46] |
Disclaimer/Publisher’s Note: The statements, opinions and data contained in all publications are solely those of the individual author(s) and contributor(s) and not of MDPI and/or the editor(s). MDPI and/or the editor(s) disclaim responsibility for any injury to people or property resulting from any ideas, methods, instructions or products referred to in the content. |
© 2026 by the authors. Licensee MDPI, Basel, Switzerland. This article is an open access article distributed under the terms and conditions of the Creative Commons Attribution (CC BY) license.
Share and Cite
Liu, J.; Ming, P.; Zhou, Z.; Zhang, T.; Liu, Q.; Du, B. Review of Preparing Low-Dielectric Epoxy Resin Composites. Coatings 2026, 16, 118. https://doi.org/10.3390/coatings16010118
Liu J, Ming P, Zhou Z, Zhang T, Liu Q, Du B. Review of Preparing Low-Dielectric Epoxy Resin Composites. Coatings. 2026; 16(1):118. https://doi.org/10.3390/coatings16010118
Chicago/Turabian StyleLiu, Jingwei, Pingping Ming, Zijian Zhou, Tianyong Zhang, Qifeng Liu, and Bing Du. 2026. "Review of Preparing Low-Dielectric Epoxy Resin Composites" Coatings 16, no. 1: 118. https://doi.org/10.3390/coatings16010118
APA StyleLiu, J., Ming, P., Zhou, Z., Zhang, T., Liu, Q., & Du, B. (2026). Review of Preparing Low-Dielectric Epoxy Resin Composites. Coatings, 16(1), 118. https://doi.org/10.3390/coatings16010118

