Direct Measurement of Effective Electrical Capacitance in Systems with a Constant-Phase Element Behavior Using the Example of Barrier Coatings
Abstract
1. Introduction
2. Background
3. Materials and Methods
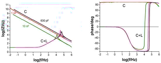
4. Results and Discussion
- Real circuits contain resistance that broadens the resonance peak, making the resonant frequency harder to measure accurately.
- Stray capacitance in cables, connectors, switches, or the inductor itself can add to the unknown capacitance.
- Parasitic inductances in wiring and fixtures disturb the intended resonant condition.
- The method requires a known, stable inductor value.
- Any tolerance or frequency-dependent variation in inductance directly affects the computed capacitance.
- Magnetic core inductors can change inductance with temperature, current, and frequency.
- Accurate determination of the resonant frequency requires precise instrumentation.
- At very high frequencies: parasitic reactances, skin effect, and component self-resonance limits accuracy.
- At very low frequencies: inductor size becomes impractical, and resonance may be too weak to measure.
- Very small capacitances require extremely high resonant frequencies, making measurement error-prone.
- Very large capacitances require bulky inductors or very low frequencies.
- Resonance frequency can be measured very precisely with modern instruments.
- In low resistance systems, the resonance peak is sharp, allowing very accurate determination of resonant frequency, and therefore effective capacitance.
- Simple and straightforward measurement procedure-only the resonant frequency needs to be measured.
- Requires only one known component (the inductor)-reduces the need for complex calibration or multiple known standards.
- Suitable for a wide range of frequencies.
- The SUT is not subjected to high voltage or high current stress during testing–non-destructive method.
- Small capacitances produce high resonant frequencies, which can be measured very precisely.
- Can be implemented with impedance meter or simple instruments.
5. Conclusions
- Although traditionally dominated by electrochemical impedance spectroscopy (EIS), emerging resonant techniques offer advantages such as higher sensitivity to dielectric changes, reduced measurement time, and potential for in situ structural health monitoring. Future developments are expected to significantly enhance their applicability in both laboratory and industrial contexts.
- One major direction involves the integration of high-frequency resonant sensors, capable of detecting subtle variations in dielectric properties associated with early water uptake, plasticization, or microdefect formation.
- Another important perspective concerns the use of machine learning to interpret resonant frequency shifts. Because dielectric behavior in polymer coatings is inherently non-linear and influenced by complex physicochemical processes, data-driven models may provide more reliable correlations between resonance features and coating capacitance than traditional analytical formulas.
- A further promising direction lies in the development of multi-modal hybrid methods, in which resonant measurements are combined with EIS, gravimetry, or spectroscopic techniques. Such integrated approaches could correct for limitations inherent to each technique, enabling more accurate estimation of coating properties under varying environmental conditions. This is particularly relevant for systems exposed to cyclic humidity, temperature fluctuations, or mechanical stress.
Funding
Institutional Review Board Statement
Informed Consent Statement
Data Availability Statement
Acknowledgments
Conflicts of Interest
References
- Macdonald, J.R. Impedance Spectroscopy: Emphasizing Solid Materials and Systems; Wiley-Interscience: New York, NY, USA, 1987. [Google Scholar]
- Mansfeld, F. Use of electrochemical impedance spectroscopy for the study of corrosion protection by polymer coatings. J. Appl. Electrochem. 1995, 25, 187–202. [Google Scholar] [CrossRef]
- Barsoukov, E.; Macdonald, J.R. (Eds.) Impedance Spectroscopy: Theory, Experiment, and Applications, 2nd ed.; Wiley-Interscience: Hoboken, NJ, USA, 2005. [Google Scholar]
- Miszczyk, A.; Darowicki, K. Multivariate analysis of impedance data obtained for coating systems of varying thickness applied on steel. Prog.Org. Coat. 2014, 77, 2000–2006. [Google Scholar] [CrossRef]
- Ogihara, N.; Itou, Y.; Sasaki, T.; Takeuchi, Y. Impedance Spectroscopy Characterization of Porous Electrodes under Different Electrode Thickness Using a Symmetric Cell for High-Performance Lithium-Ion Batteries. J. Phys. Chem. C 2015, 119, 4612–4619. [Google Scholar] [CrossRef]
- Grammatikos, S.A.; Ball, R.J.; Evernden, M.; Jones, R.G. Impedance spectroscopy as a tool for moisture uptake monitoring in construction composites during service. Compos. Part A 2018, 105, 108–117. [Google Scholar] [CrossRef]
- Vadhva, P.; Hu, J.; Johnson, M.J.; Stocker, R.; Braglia, M.; Brett, D.J.L.; Rettie, J.E. Electrochemical Impedance Spectroscopy for All-Solid-State Batteries: Theory, Methods and Future Outlook. ChemElectroChem 2021, 8, 1930–1947. [Google Scholar] [CrossRef]
- Drozda, M.; Miszczyk, A. Selection of Organic Coating Systems for Corrosion Protection of Industrial Equipment. Coatings 2022, 12, 523. [Google Scholar] [CrossRef]
- Lazanas, A.C.; Prodromidis, M.I. Electrochemical Impedance Spectroscopy A Tutorial. ACS Meas. Sci. Au 2023, 3, 162–193. [Google Scholar] [CrossRef] [PubMed]
- Azizpour, A.; Bagovic, N.; Ploumis, N.; Mylonas, K.; Hoxha, D.; Kienberger, F.; Al-Zubaidi-R-Smith, N.; Gramse, G. Electrochemical Analysis of Carbon-Based Supercapacitors Using Finite Element Modeling and Impedance Spectroscopy. Energies 2025, 18, 1450. [Google Scholar] [CrossRef]
- Kotlarski, G.; Stoeva, D.; Dechev, D.; Ivanov, N.; Ormanova, M.; Mateev, V.; Marinova, I.; Valkov, S. Review on Metal (-Oxide, -Nitride, -Oxy-Nitride) Thin Films: Fabrication Methods, Applications, and Future Characterization Methods. Coatings 2025, 15, 869. [Google Scholar] [CrossRef]
- Cole, K.S.; Cole, R.H. Dispersion and absorption in dielectrics I. J. Chem. Phys. 1941, 9, 341–351. [Google Scholar] [CrossRef]
- Hsu, C.H.; Mansfeld, F. Technical note: Concerning the conversion of the constant phase element parameter Y0 into a capacitance. Corrosion 2001, 57, 747–748. [Google Scholar] [CrossRef]
- Lasia, A. Electrochemical Impedance Spectroscopy and Its Applications; Springer: New York, NY, USA; Heidelberg, Germany; Dordrecht, The Netherland; London, UK, 2014. [Google Scholar]
- Lasia, A. The Origin of the Constant Phase Element. J. Phys. Chem. Lett. 2022, 13, 580–589. [Google Scholar] [CrossRef]
- Gateman, S.M.; Gharbi, O.; de Melo, H.G.; Ngo, K.; Turmine, M.; Vivier, V. On the use of a constant phase element (CPE) in electrochemistry. Curr. Opin. Electrochem. 2022, 36, 101133. [Google Scholar] [CrossRef]
- Kendig, M.; Scully, J. Basic Aspects of Electrochemical Impedance Application for the Life Prediction of Organic Coatings on Metals. Corrosion 1990, 46, 22–29. [Google Scholar] [CrossRef]
- Bierwagen, G.P. Evaluation of organic coatings with EIS: Problems and possibilities. J. Coat. Technol. 1996, 68, 71–75. [Google Scholar]
- Nguyen, T.; Hubbard, J.B.; Miller, D.J. Understanding the degradation of organic coatings through impedance measurements. J. Coat. Technol. 2002, 74, 45–56. [Google Scholar]
- Deflorian, F.; Fedrizzi, L.; Rossi, S. Use of EIS to evaluate water uptake in organic coatings on metals. Electrochim. Acta 1999, 44, 4243–4249. [Google Scholar] [CrossRef]
- Miszczyk, A.; Darowicki, K. Water uptake in protective organic coatings and its reflection in measured coating impedance. Prog. Org. Coat. 2018, 124, 296–302. [Google Scholar] [CrossRef]
- Brug, G.J.; van den Eeden, A.L.G.; Sluyters-Rehbach, M.; Sluyters, J.H. The analysis of electrode impedances complicated by the presence of a constant phase element. J. Electroanal. Chem. 1984, 176, 275–295. [Google Scholar] [CrossRef]
- Brasher, D.M.; Kingsbury, A.H. Electrical measurements in the study of immersed paint coatings on metal. 1. Comparison between capacitance and gravimetric methods of estimating water-uptake. J. Appl. Chem. 1954, 4, 62–72. [Google Scholar] [CrossRef]
- Hirschorn, B.; Orazem, M.E.; Tribollet, B.; Vivier, V.; Musiani, M.; Diard, J.P. Determination of effective capacitance and film thickness from constant-phase-element parameters. Electrochim. Acta 2010, 55, 6218–6227. [Google Scholar] [CrossRef]
- Harrington, D.A.; Devine, T.M. Analysis of passive films on metals using capacitance models: A comparison. Corrosion 2008, 64, 222–229. [Google Scholar]
- Bird, J. Electrical and Electronic Principles and Technology, 6th ed.; Routledge; Taylor & Francis Group: London, UK, 2017. [Google Scholar]
- Boukamp, B.A. A Linear Kroning-Kramers Transform Test for Immitance Data Validation. J. Electrochem. Soc. 1995, 142, 1885–1894. [Google Scholar] [CrossRef]
- Boukamp, B.A. Electrochemical Impedance spectroscopy in Solid State Ionics; Recent Advances. Solid State Ion. 2004, 169, 65–73. [Google Scholar] [CrossRef]
- Boukamp, B.A. Kramers-Kronig Test for Windows. Available online: https://www.utwente.nl/en/tnw/ims/publications/downloads/ (accessed on 1 December 2025).
- Li, S.; Bi, H.; Weinell, C.E.; Dam-Johansen, K. Non-destructive evaluations of water uptake in epoxy coating. J. Appl. Polym. Sci. 2024, 141, e54777. [Google Scholar] [CrossRef]
- Vosgien Lacombre, C.V.; Bouvet, G.; Trinh, D.; Mallarino, S.; Touzain, S. Water uptake in free films and coatings using the Brasher and Kingsbury equation: A possible explanation of the different values obtained by electrochemical Impedance spectroscopy and gravimetry. Electrochim. Acta 2017, 231, 162–170. [Google Scholar] [CrossRef]
- Yang, C.; Xing, X.; Li, Z.; Zhang, S. A Comprehensive Review on Water Diffusion in Polymers Focusing on the Polymer–Metal Interface Combination. Polymers 2020, 12, 138. [Google Scholar] [CrossRef]
- Castela, A.; Simoes, A. An impedance model for the estimation of water absorption in organic coatings. Part I: A linear dielectric mixture equation. Corros. Sci. 2003, 45, 1631–1646. [Google Scholar] [CrossRef]
- Kandeloos, A.J.; Attar, M.M. The diffusion and adhesion relationship between free films and epoxy coated mild steel. Prog. Org. Coat. 2023, 179, 107561. [Google Scholar] [CrossRef]
- Sabet-Bokati, K.; Plucknett, K. Water-induced failure in polymer coatings: Mechanisms, impacts and mitigation strategies—A comprehensive review. Polym. Degrad. Stab. 2024, 230, 111058. [Google Scholar] [CrossRef]
- Yuan, X.; Du, Y.; Lin, Z.; Liu, Z.; Gu, L. Effect of Water Uptake, Adhesion and Anti-Corrosion Performance for Silicone-Epoxy Coatings Treated with GLYMO on 2024 Al-Alloy. Polymers 2022, 14, 3076. [Google Scholar] [CrossRef] [PubMed]
- Hoseinpoor, M.; Prošek, T.; Babusiaux, L.; Mallégol, J. Simplified approach to assess water uptake in protective organic coatings by parallel plate capacitor method. Mater. Today Commun. 2021, 26, 101858. [Google Scholar] [CrossRef]


















| Nominal Value of Capacity | Accuracy Class (Tolerance) | Measured Value |
|---|---|---|
| 630 pF | 10% | 592.6 pF |
| 1 nF | 10% | 906.5 pF |
| 10 nF | 10% | 10.9 nF |
Disclaimer/Publisher’s Note: The statements, opinions and data contained in all publications are solely those of the individual author(s) and contributor(s) and not of MDPI and/or the editor(s). MDPI and/or the editor(s) disclaim responsibility for any injury to people or property resulting from any ideas, methods, instructions or products referred to in the content. |
© 2025 by the author. Licensee MDPI, Basel, Switzerland. This article is an open access article distributed under the terms and conditions of the Creative Commons Attribution (CC BY) license (https://creativecommons.org/licenses/by/4.0/).
Share and Cite
Miszczyk, A. Direct Measurement of Effective Electrical Capacitance in Systems with a Constant-Phase Element Behavior Using the Example of Barrier Coatings. Coatings 2025, 15, 1429. https://doi.org/10.3390/coatings15121429
Miszczyk A. Direct Measurement of Effective Electrical Capacitance in Systems with a Constant-Phase Element Behavior Using the Example of Barrier Coatings. Coatings. 2025; 15(12):1429. https://doi.org/10.3390/coatings15121429
Chicago/Turabian StyleMiszczyk, Andrzej. 2025. "Direct Measurement of Effective Electrical Capacitance in Systems with a Constant-Phase Element Behavior Using the Example of Barrier Coatings" Coatings 15, no. 12: 1429. https://doi.org/10.3390/coatings15121429
APA StyleMiszczyk, A. (2025). Direct Measurement of Effective Electrical Capacitance in Systems with a Constant-Phase Element Behavior Using the Example of Barrier Coatings. Coatings, 15(12), 1429. https://doi.org/10.3390/coatings15121429
