Next Article in Journal
Direct Measurement of Effective Electrical Capacitance in Systems with a Constant-Phase Element Behavior Using the Example of Barrier Coatings
Previous Article in Journal
Study on the Room-Temperature Rapid Curing Behavior and Mechanism of HDI Trimer-Modified Epoxy Resin
 
 
Font Type:
Arial Georgia Verdana
Font Size:
Aa Aa Aa
Line Spacing:
Column Width:
Background:
Article

First-Principles Study on the Effect of Si/O Doping on the Stability of the Fe/Zn Interface

1
Carbon Steel Sheet Factory, Jiuquan Iron and Steel (Group) Co., Ltd., Jiayuguan 735100, China
2
State Key Laboratory of Advanced Processing and Recycling of Non-Ferrous Metals, School of Materials Science and Engineering, Lanzhou University of Technology, Lanzhou 730050, China
*
Authors to whom correspondence should be addressed.
Coatings 2025, 15(12), 1428; https://doi.org/10.3390/coatings15121428
Submission received: 2 November 2025 / Revised: 27 November 2025 / Accepted: 3 December 2025 / Published: 5 December 2025

Abstract

In this study, first-principles calculations were employed to analyze the effect of Si and O doping on the electronic structure of the Fe/Zn interface, aiming to reveal the mechanism underlying the degradation of its interfacial stability. Through detailed analysis of bond population, charge density, differential charge density, as well as total density of states (TDOS) and partial density of states (PDOS), the following findings were obtained: After Si and O doping, the charge distribution at the Fe/Zn interface exhibits local aggregation or sparsity. The differential charge density shows a redistribution of charges, and the charge density in the Fe-Zn bonding region changes. In terms of density of states, the contribution of orbitals related to Fe and Zn atoms to the density of states near the Fermi level is altered. The hybridization between the orbitals of Si/O atoms and those of Fe/Zn atoms affects the electronic interaction. Comprehensive analysis indicates that the degradation of Fe/Zn interfacial stability caused by Si and O doping is mainly attributed to the following factors: it modifies the chemical bonding, induces lattice distortion which generates internal stress, enhances the inhomogeneity of charge distribution, and weakens the bonding force between Fe and Zn atoms. This research provides a theoretical basis for the performance regulation of related material systems.

1. Introduction

In recent years, hot-dip galvanizing technology has become one of the mainstream processes for surface protection of steel materials due to its excellent corrosion resistance and cost-effectiveness. It is widely used in industries such as automotive, construction, home appliances, energy, and infrastructure [1,2,3]. The galvanized coating not only isolates the intrusion of corrosive media but also extends the service life of the substrate through the sacrificial anode effect [4,5]. During the hot-dip galvanizing process, complex interfacial reactions occur between the steel surface and molten zinc, forming a metallurgical bonding layer composed of Fe-Zn intermetallic compounds. Common phases include Γ(Fe3Zn10), Γ1(Fe11Zn40), δ(FeZn7), ζ(FeZn13), and η(Zn) [6,7]. The iron content of these phases decreases sequentially from the inner layer to the outer layer, and their thickness, morphology, and arrangement directly determine the adhesion, corrosion resistance, and mechanical stability of the coating [1]. To promote the industrial application of 3rd Generation Advanced High-Strength Steel (3rd Gen AHSS), the development of hot-dip galvanized coatings with excellent bonding interfaces and stable phase structures is particularly crucial [8].
However, ordinary low-alloy steels usually contain a certain amount of silicon (Si). As a strengthening element and deoxidizer, Si is widely used in steel smelting [9], but it exerts significant adverse effects during the hot-dip galvanizing process [10,11]. Studies have shown that Si has a strong tendency for surface segregation; during the annealing process prior to hot-dip galvanizing, it easily migrates to the steel surface together with Mn, forming a stable Si-rich or Si-Mn mixed oxide film [12,12]. This oxide film is characterized by high continuity, good thermal stability, and poor wettability, which significantly inhibits the interfacial reaction between the steel substrate and molten zinc, hinders the normal growth of Fe-Zn intermetallic compounds, prevents uniform coverage of the zinc coating, and thereby reduces the adhesion and compactness of the coating [5,11]. In addition, Si can dissolve into the δ phase, triggering supersaturated decomposition of the δ phase and precipitating Si-rich nanoparticles or FeSi phases, which complicates the interface structure and increases its brittleness [13]. When the Si content exceeds 0.2 wt.%, the coating tends to exhibit problems such as abnormal coarsening of the ζ phase, weakened interlayer bonding force, and even overall peeling of the coating [13,14]. This phenomenon, known as the “Sandelin peak,” is regarded as one of the core challenges in the quality control of current hot-dip galvanizing processes [12].
Although numerous experimental studies have revealed the macroscopic effects of Si on interfacial reactions and coating quality during hot-dip galvanizing—such as Si’s tendency to avoid interfacial segregation, its preferential partitioning into the Fe matrix, and its extremely high partitioning energy (0.86–1.01 eV) into Cu precipitates—its segregation behavior is dominated by chemical interactions rather than lattice distortion. As an alloying element, Si participates in the formation of compounds such as Fe2TiSi and Fe2ZrSi, forming polar covalent bonds with Fe, Ti, and Zr. These characteristics endow such alloys with a narrow band gap, specific elastic modulus, and low minimum thermal conductivity, rendering them potential low-cost thermoelectric materials. However, the underlying mechanisms at the atomic scale have not been systematically elucidated. Particularly during the initial stage of interface formation, the migration pathways of Si atoms from the Fe matrix to the Zn liquid interface, their segregation behavior, interfacial adsorption energy, and the regulatory mechanisms of Si on the electronic structure still lack clear theoretical support. In recent years, first-principles calculation methods (based on Density Functional Theory, DFT) have become effective tools for studying intermetallic interfacial reactions, element segregation behavior, and phase stability [15,16]. By constructing an atomic-scale Fe/Zn interface model and simulating the segregation state, binding energy, and charge density distribution of Si atoms with different concentrations near the interface, the influence law of Si on the interfacial structure and performance of hot-dip galvanizing can be revealed from the microscopic perspective, providing a theoretical basis for understanding Si-induced interface brittleness and coating failure. Moreover, most existing studies have focused on interface reaction changes induced by single elements (e.g., Si or Mn), while the synergistic segregation of Si/O and their combined effects on the interfacial electronic structure and bonding modes remain lack of systematic reports. In addition, by combining the analysis of interfacial density of states (DOS) and differential charge density, the regulatory effects of Si/O on the electronic coupling characteristics and bonding strength between Fe-Zn phases can be further explored.
Therefore, based on the framework of DFT, this study adopts first-principles calculation methods to systematically investigate the segregation behavior of Si in Fe-based steel toward the Fe(110)/Zn(101) interface and its influence on the interfacial structure and bonding performance. Firstly, by constructing an ideal Fe/Zn interface model, the interface segregation energy under conditions of Si occupying different sites (via substitution) is calculated to quantify the segregation driving force, precipitation path, and stable segregation sites of Si atoms. Furthermore, to simulate the potential influence of the Si oxide film on the interfacial bonding performance, an interface model with coexisting O and Si is introduced to explore the effect of the Fe-Si-O composite oxide layer on interface stability. Secondly, based on analyses of bond population, interface density of states (DOS), and charge density difference, the regulatory effect of Si and O on the electronic structure at the interface and the mechanism by which they interfere with chemical bond strength are revealed. Finally, combined with the existing experimental laws of microstructural evolution at the hot-dip galvanizing interface and experimental observation results, the intrinsic influence of Si and O segregation in different configurations on coating adhesion and interface reliability is comprehensively evaluated. This study aims to clarify the intrinsic mechanism of interface instability caused by Si and O segregation at the atomic scale and provide predictive basis and material design ideas for the control of alloying elements and process optimization of steels for hot-dip galvanizing. By establishing the coupling relationship among element segregation, electronic structure, and interface bonding, this research can provide theoretical support for the future development of hot-dip galvanizing-specific steel grades with high compatibility and high adhesion.

2. Computational Details

The calculations were performed using the CASTEP (MS 2023V) (Cambridge Serial Total Energy Package) software package, which is based on the plane-wave pseudopotential method within the framework of DFT [17,18]. The Perdew-Burke-Ernzerhof (PBE) algorithm under the Generalized Gradient Approximation (GGA) was adopted to describe the exchange-correlation energy [19,20,21]. The Broyden–Fletcher–Goldfarb–Shanno (BFGS) method was used to optimize the positions of all atoms, aiming to minimize the structural energy. The convergence criteria for the geometric optimization were as follows: the total energy convergence threshold was set at 5.0 × 10−6 eV/atom, the force on each atom was required to be less than 0.01 eV/Å, the stress deviation was limited to less than 0.02 GPa, the maximum tolerance for atomic displacement was less than 5.0 × 10−4 Å, and the self—consistent field (SCF) convergence energy was set at 1.0 × 10−6 eV/atom. Furthermore, during the modeling of surfaces and interfaces, periodic boundary conditions can cause interactions between neighboring elements, which may compromise the accuracy of the calculations. To effectively separate adjacent phase structures and reduce the impact of surface interactions, a vacuum layer of 15 Å was introduced into the corresponding surface and interface models [22].
The crystal structure models of body-centered cubic iron (bcc-Fe) and hexagonal close-packed zinc (hcp-Zn) were searched from the Materials Project.org database and imported into the Materials Studio software (2023V). As shown in Figure 1a,b, each unit cell of Fe contains two Fe atoms, and each unit cell of Zn contains two Zn atoms.
Before performing geometric optimization on the crystal model, to ensure the accuracy of subsequent calculation results, computational efficiency, and verify the rationality of the model, a parameter convergence test is conducted here. This test needs to cover two aspects: plane-wave cutoff energy (Ecut) and k-point grid density. The control variable method is adopted to select the appropriate Ecut and k-point grid density based on the convergence trend of the optimized energy.
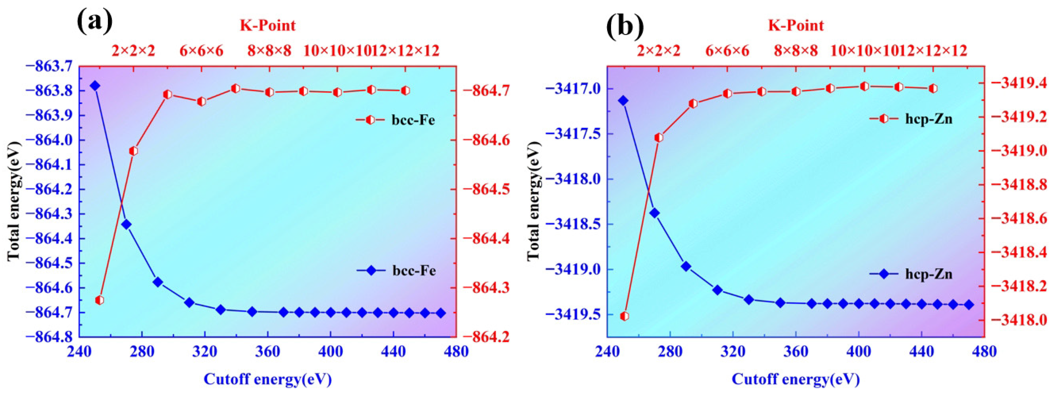
The curves depicting the variation in single-point energies of bcc-Fe (body-centered cubic iron) and hcp-Zn (hexagonal close-packed zinc) with cut-off energy are shown as the blue curves in Figure 2 As the cut-off energy increases, the total energies of the two unit cell systems exhibit an overall decreasing trend. When the cut-off energy reaches 380 eV, the total energies of both unit cells tend to converge—meaning that as the cut-off energy continues to rise, the decrease in single-point energy becomes gradual. Considering the convergence results of the single-point energy and the available computational resources, the cut-off energy is set to 380 eV in this thesis.
The convergence test results of the single-point energies of bcc-Fe and hcp-Zn unit cells with respect to the k-point sampling interval are presented as the red curves in Figure 2 As the k-point interval decreases, the single-point energies of the two unit cell systems gradually reduce, which indicates that the systems become more stable. When the k-point grid is set to 8 × 8 × 8 (corresponding to a specific k-point interval), the total energy of the system tends to stabilize. Based on the convergence test results and computational resources, the k-point grid is set to 8 × 8 × 8 in this thesis.
The Fe structural models before and after optimization are shown in Figure 3a and Figure 3b, respectively. The Zn structural models before and after optimization are shown in Figure 3b and Figure 3d, respectively. Although the structural models of Fe and Zn have been constructed, these models are built based on idealization and still differ from the actual Fe and Zn. In addition, during the process of establishing the 3D models, there will be certain errors in the lattice parameters, which affect the accuracy of subsequent calculations and lead to unsatisfactory analysis results. Therefore, it is necessary to perform geometric optimization in the Materials Studio software to provide data support and theoretical basis for further research.

3. Result and Discussion

3.1. Surface Model

First, the surface models of the bcc-Fe(110) plane and hcp-Zn(101) plane were constructed, respectively. When the bcc-Fe is cut along the (110) surface, there are two different terminations, namely a and b; when the hcp-Zn is cut along the (101) surface, there are three different terminations, namely c, d, and f. To ensure that atoms deep in the surface possess the characteristics of bulk-phase atoms, a sufficiently thick number of atomic layers is required. Therefore, for both bcc-Fe and hcp-Zn, surface construction was carried out with 3, 5, 7, and 9 atomic layers, respectively. Based on the different layer numbers and terminations, 8 surface models were built for bcc-Fe, which are 3-a, 3-b, 5-a, 5-b, 7-a, 7-b, 9-a, and 9-b; and 12 surface models were constructed for hcp-Zn, namely 3-c, 3-d, 3-f, 5-c, 5-d, 5-f, 7-c, 7-d, 7-f, 9-c, 9-d, and 9-f. Considering the limitation of interface matching degree, the supercell method with periodic boundary conditions was adopted in the surface construction process. A 15 Å vacuum layer was added to the surface models to prevent charge interactions between the atoms of the models.
As the number of atomic layers gradually increases, the required computing power will increase significantly. Therefore, it is necessary to determine the optimal number of atomic layers by conducting surface energy tests on different numbers of atomic layers. The surface energy of a solid-phase crystal refers to the energy required to split the crystal in half along a crystal plane to form a new surface [23], which can be used to judge the stability of the surface. Thus, in this study, surface energy convergence tests will be conducted to determine the number of atomic layers. By calculating the surface energy of different layer numbers and observing their convergence trends, the optimal number of atomic layers for the surface model will be finally determined. The surface energies of bcc-Fe and hcp-Zn can be transformed and calculated using the following formula [24,25]:
E F e = [ E s l a b ( n ) n Δ E ] / 2 A
where Eslab(n) denotes the total energy of the Fe surface slab model, n is the number of Fe atoms in the surface slab model, ∆E represents the energy increment determined by E s l a b n E s l a b n 2 , and A is the area of the surface slab model. By converting the energy difference between surface models into that between the surface model and the bulk, the following applicable formula is obtained:
E S = [ E s l a b N E bulk ] / 2 A
Which, Eslab represents the energy of the surface slab, Ebulk represents the total energy of the bulk, N denotes the ratio of the number of atoms in the surface slab to that in the bulk, and A stands for the area of the surface slab.
As shown in Figure 4a,b, the Surface Energy Analysis of bcc-Fe, at the surface corresponding to the abscissa “3-a”, the surface energy of bcc-Fe is at a relatively high level, approximately 2.880 J/m2. This indicates that under this specific surface condition, the surface has high energy due to factors such as the high degree of coordination unsaturation of surface atoms and the presence of numerous dangling bonds. As the abscissa transitions from “3-a” to “3-b”, the surface energy decreases sharply, and near “5-a”, it drops to a range of approximately 2.855 J/m2 to 2.860 J/m2. After that, the change in surface energy tends to be gentle. This suggests that with further changes in the surface state, the coordination of surface atoms is gradually improved, the impact of newly added surface state changes on surface energy is gradually reduced, and the surface energy gradually approaches a relatively stable value.
Surface Energy Analysis of hcp-Zn: At the surface corresponding to the abscissa “3-d”, the surface energy of hcp-Zn is approximately 2.9 J/m2, which is higher than the initial surface energy of bcc-Fe. This may be related to the crystal structure of hcp-Zn and the atomic arrangement of this surface, resulting in a higher degree of instability of surface atoms and thus higher surface energy. Starting from “3-d”, the surface energy decreases significantly: near “5-f”, it drops to approximately 2.0 J/m2, and then continues to decrease, approaching 1.0 J/m2 at the end of the abscissa. This indicates that the surface energy of hcp-Zn is more sensitive to changes in the surface state; as the surface state changes, the coordination environment of surface atoms is greatly improved, thereby significantly reducing the surface energy.
The surface energies of bcc-Fe (body-centered cubic iron) and hcp-Zn (hexagonal close-packed zinc) both change with variations in surface layer number and termination. Due to the differences in their crystal structures (bcc vs. hcp), there are significant disparities in the numerical values of their surface energies and their variation patterns. The crystal structure, surface layer number, and termination collectively influence the energy state of surface atoms. A relatively stable surface model was selected based on surface energy analysis. Since the surface energy differences among the 5-layer, 7-layer, and 9-layer structures of bcc-Fe are small, and the surface energy difference between the 7-layer and 9-layer structures of hcp-Zn is also small, the 5-a and 5-b surface models of bcc-Fe, as well as the 7-c, 7-d, and 7-f surface models of hcp-Zn, were chosen, as shown in Figure 5.

3.2. Interface Model

As shown in Figure 6, By constructing 5-layer surface models of bcc-Fe (labeled as 5-a and 5-b) and 7-layer surface models of hcp-Zn (labeled as 7-c, 7-d, and 7-f), the bcc-Fe/hcp-Zn interface models were further established using the supercell method with periodic boundary conditions (PBCs). A vacuum layer of 15 Å was still introduced into the interface models to avoid interatomic charge interactions between adjacent periodic images.
The model of the disordered solid solution consisting of the Fe matrix and Zn coating was adopted as part of the bonding interface. To clarify the optimal interfacial orientation relationship, extensive exploration and investigation of numerous potential crystallographic directions were conducted, with consideration given to the magnitude of interfacial misfit. Ultimately, the Fe(110)/Zn(101) interface model was selected in this study. Since misfit stress cannot be reduced merely by supercell expansion, a surface model reconstruction approach via redefining lattice parameters was employed to mitigate the misfit. Herein, the misfit degree is denoted as μ, calculated by the following formula [26]:
u = 1 2 Ω A 1 + A 2
wherein Ω denotes the interfacial coincidence area with a value of 30.55 Å2; A1 and A2 represent the surface areas of the two phases composing the interface. After lattice reconstruction, the in-plane lattice lengths (u and v) of the Fe(110) surface structure are 11.287155 Å and 2.706237 Å, respectively, while those of the Zn(101) surface structure are 10.9173 Å and 2.8649 Å, respectively, with a 90° angle between u and v. Thus, the in-plane lattice parameters of Zn were constrained, resulting in a misfit degree of 1.18% for the Fe(110)/Zn(101) interface (a misfit degree less than 5% indicates a coherent interface). Additionally, the residual strain ultimately generated between the Fe layer and Zn layer is 0.24.
For the 6 constructed interface models, the interface spacing was manually adjusted to 1 Å, 1.2 Å, 1.4 Å, 1.6 Å, 1.8 Å, 2 Å, 2.2 Å, 2.4 Å, 2.6 Å, 2.8 Å, 3 Å, 3.2 Å, and 3.4 Å, respectively. The single-point energy of each of the 6 models was calculated under different spacing conditions, and finally, 6 stable interface models under the optimal spacing were obtained.
The work of adhesion (Wsep) is an indicator for measuring the interfacial bonding strength between two materials. It represents the reversible work required to separate an interface from a bonded state into two independent free surfaces [27]. A larger value of the work of adhesion indicates that the atoms at the interface are bonded more tightly, the bonding interaction between interfacial atoms is stronger, and the stability of the interface is higher. The calculation can be performed using the following formula [28]:
w sep = E α + E β E α / β A
in which Eα and Eβ represent the total energy of the free surfaces of the two phases after relaxation, Eα/β represents the total energy of the relaxed interface, and A represents the interface area.
The interfacial energy (γint) is the increment of the free energy per unit interface system. A higher interfacial energy indicates that more energy is required to form the interface, and the interface is more unstable; therefore, a smaller interfacial energy corresponds to a more stable interface [29]. The calculation can be performed using the following formula [30,31]:
γ int = γ α + γ β w s e p
in which γα and γβ represent the surface energies of the cross-sections of the α-phase and β-phase, respectively, and wsep represents the work of adhesion at the interface formed by the α-phase and β-phase.
As shown in Figure 7a, the adhesion work of the six interface models exhibits an overall trend of first remaining stable and then rising rapidly from Model 1 to Model 6. Combined with Table 1, the adhesion work values of Models 1–3 stabilize at approximately 2.07 J/m2, indicating that the adhesive interaction at the Fe-Zn interface is relatively stable for these three models. Starting from Model 3 to Model 4, the adhesion work increases sharply, and the subsequent Models 4–6 show a continuous upward trend. This reflects that the variation in the models has a significant impact on the bonding force at the Fe-Zn interface, enhancing the adhesion.
As shown in Figure 7b, the interfacial energy of the six interface models exhibits an overall trend of first remaining stable and then decreasing rapidly from Model 1 to Model 6. Combined with Table 1, the interfacial energy of Models 1–3 remains at approximately 1.8 J/m2, a relatively stable value, indicating that the energy state of the Fe-Zn interface is stable under these three models, with minimal changes in interaction energy. Starting from Model 3 to Model 4, the interfacial energy decreases rapidly, and Models 4–6 show a continued downward trend, which suggests that the modification of the models promotes the Fe-Zn interface to tend toward a more stable state. a specific alloy phase with a special atomic configuration and ordered atomic arrangement are formed at the interface, which changes the energy state and makes the interface more stable. Meanwhile, the difficulty of separation increases. Therefore, Model 6, which has the highest Wsep and the lowest γint, is selected.

3.3. Si Element Doping

Based on the most stable bcc-Fe(110)/hcp-Zn(101) interface model (i.e., Interface 6) obtained in the previous section, the alloying element Si was doped at the interface. To facilitate calculations during the construction of the doped interface, alloy atoms were chosen to be doped into the interface through atomic substitution. Considering that atoms farther from the interface have a smaller impact on the interface, the first three atomic layers close to the interface were selected for Si atomic substitution at different positions. The substitution positions, namely Position 1, Position 2, Position 3, and Position 4, are shown in Figure 8, depending on the specific atomic substitution sites.
Segregation energy refers to the amount of change in system energy when solute atoms deviate from a uniformly distributed state and enrich in specific regions (such as grain boundaries, dislocations) in an alloy or solid solution. It is a key energy indicator for determining whether solute atoms are prone to segregation [29]. By calculating the segregation energy, the optimal substitution position of Si element in the bcc-Fe(110)/hcp-Zn(101) interface matrix is identified. The lower the segregation energy, the more likely segregation is to occur. The calculation formula of the heat of segregation can be transformed by the following equation [32,33,34]:
Δ E seg = 1 n ( E n x - d o p e d int e r E c l e a n int e r + E C u E n x )
E nx - d o p e d int e r : total energy of the clean SiC/Cu interface. E clean int e r : total energy of the SiC/Cu interface doped with element X. ECu: energy of a single Cu atom in the bulk Cu. Enx: energy of a single X atom in the bulk X (X = Fe, W, Zr, Ti). By virtue of the relation that “chemical potential is equivalent to the energy of a single atom in the bulk phase”, the “expression based on total energy difference” is transformed into the “expression based on chemical potential difference”. The applicable calculation formula for the heat of segregation is as follows:
Δ E seg = E α / β X + n ( u s u x ) E int e r f a c e
in which E α / β X denotes the total energy of the interface after doping with X atoms (X = Si or O); Einterface denotes the total energy of the interface without Si and O doping; n is the number of doped atoms; us and ux are the chemical potentials of the substituted atom and the doped atom, respectively.
The calculation results of the segregation energy of Si element at different positions are shown in Figure 8. It can be seen that the segregation energies of Si element are all negative, indicating that Si element tends to segregate at the interface. This is because the crystal structure, atomic radius, and electronic structure of Si element are similar to those of bcc-Fe. Position 1: The segregation energy is −1.59706 eV, meaning the segregation tendency of Si at this position is relatively weak. Position 2: The segregation energy is −1.78592 eV, the most negative among the four positions. This indicates that after Si substitutes Fe atoms at this Fe-Zn interface position, the segregation driving force is the largest, making it the easiest position for Si to segregate to. Position 3: The segregation energy is −1.64487 eV, showing that Si has a certain segregation tendency at this position, with the degree between that of Position 1 and Position 2. Position 4: The segregation energy is −1.6494 eV; the segregation tendency of Si at this position is close to that of Position 3 and slightly stronger than that of Position 1. it reflects that after Si substitutes different Fe positions, its segregation tendency at the Fe-Zn interface varies, and Position 2 is the most favorable for Si segregation. To reveal the local electronic structure effect, this study further investigates the bond population, differential charge density, and electronic properties of the doped models.

3.4. O Element Doping

Based on the crystal model of Position 2 doped with Si, the interstitial doping of O around Si was performed to simulate the oxide film structure of Si. According to the different doping positions of O atoms, their Position 5, Position 6, Position 7 and Position 8 are shown in Figure 9.
In Figure 9b, the segregation energy of Position 5 is −1.95566 eV, and that of Position 6 reaches −1.9903 eV, both of which are significantly negative and close to each other. This indicates that O atoms have a strong tendency to segregate at these two positions. Position 7 is −0.76973 eV and Position 8 is −0.76184 eV. The absolute values of the negative values are much smaller than those of the first two positions, and the two values are close to each other. The segregation driving force of O atoms at these two positions is weak, and the thermodynamic tendency of atomic enrichment is low. The chemical environment and atomic arrangement at the interface have little “binding force” on O, so O atoms are more likely to diffuse away or only segregate in small amounts. By analyzing Figure 9c, it is found that the work of adhesion of the interface after doping is much smaller than that without doping. This indicates that the interfacial bonding force after doping is reduced, and the interfacial stability is decreased. Since the focus of this paper lies in the changes in interfacial stability, the reconstruction of the electronic structure before and after doping, and the bonding weakening mechanisms (such as charge density, bond population, DOS/PDOS, etc.), the core physical processes are mainly dominated by the changes in interfacial chemical bonding and orbital hybridization rather than the local magnetic moment of Fe. Furthermore, in the actual hot-dip galvanizing process, the contents of Si and O at the interface are usually extremely low, manifested primarily as local segregation. However, if the model is constructed strictly according to this extremely low actual concentration in first-principles calculations, it will require establishing an interfacial supercell with a huge size, leading to excessively high computational cost and extremely low efficiency. Therefore, single-atom substitution or interstitial doping is commonly adopted in DFT studies to simulate the local segregation behavior near the interface. Following this approach, the purpose of single-atom doping in this paper is not to replicate the overall compositional content in practical experiments, but to reveal the influence mechanisms of doping atoms on the electronic structure, bonding mode, and local stability within the interfacial microregion, including charge redistribution, changes in orbital hybridization, and perturbations in bond length and bond population. Thus, the core focus of the computational model is to investigate the local action mechanism of doping atoms rather than to simulate the global concentration level of real alloys. To reveal the local electronic structure effects, this paper further explores the bond population, differential charge density, and electrical properties of the doping models.

3.5. Bond Population

The bond population reflects the “strength” of bonding between atoms or the “degree of electron cloud overlap”. The degree of electron cloud overlap, namely the Mulliken overlap population, is intended to more intuitively characterize the variations in the strength of interatomic bonding as revealed by the Mulliken bond population. A positive bond population indicates an effective bonding interaction between atoms (good electron cloud overlap and stable bonding); a negative bond population usually means a weak interaction between atoms or even a repulsive interaction (poor electron cloud overlap and unstable bonding).
As shown in Figure 10, the bond population of Fe-O shows a “weakening” trend (the positive layout decreases, or even approaches a negative value), which indicates that the bonding interaction between Fe and O is destroyed and the degree of electron cloud overlap decreases. The bond population of Si-Fe is a small positive value (or close to zero), suggesting that the bonding interaction between Si and Fe is weak and cannot effectively “anchor” the interface atoms. The core interface bonds Zn-Zn and Fe-Fe are the core interactions that maintain the stability of the Fe/Zn interface. After doping, the bond populations of Zn-Zn and Fe-Fe fluctuate (even negative layouts appear), which implies that the bonding interaction between interface atoms is disturbed and the electron cloud overlap deteriorates.
Bond length is negatively correlated with bonding strength: the longer the bond length, the weaker the bonding. The red curve in the figure represents the bond length. After doping, the bond lengths of key bonds (such as Fe-O and Si-Fe) increase, and the bonding strength of these bonds decreases—characterized by low electron cloud overlap and weakened binding force between atoms.
Interface stability depends on the “strong and ordered” bonding interaction between atoms (effective overlap of electron clouds to form a stable bonding network). After Si and O doping, the original bonding network of the Fe/Zn interface is destroyed (abnormal layout and length of core bonds); the newly formed bonds such as Si-Fe and Fe-O have weak interactions (low layout and long bond length) and cannot replace the stabilizing effect of the original bonds; the overall degree of electron cloud overlap between atoms decreases, and the “stability contribution” of bonding is insufficient. Eventually, the binding force between interface atoms weakens, leading to a reduction in interface stability.

3.6. Differential Charge

Charge density maps reflect the charge distribution within a system. In the pure Fe/Zn interface region, the charge distribution is relatively uniform, and there exists a certain charge interaction between Fe and Zn atoms, which maintains the stability of the interface. As shown in Figure 11, after Si and O doping, observations of the charge density maps reveal localized regions of charge accumulation or depletion in the originally uniform charge distribution. Differential charge density maps can more clearly show the changes in charge before and after doping: red regions represent charge accumulation, while blue regions represent charge depletion. It can be seen from the figures that after Si and O doping, significant charge redistribution occurs around the doped atoms. The charge distribution in the region of charge interaction between Fe and Zn atoms changes; specifically, the charge density in the region where effective charge bonding originally existed between Fe and Zn atoms is altered. The charge transfer and redistribution patterns differ from those of the pure interface.
In the pure Fe/Zn interface, there are certain metallic bonds between Fe and Zn atoms. This interaction enables tight bonding between atoms and ensures interface stability. When Si and O are doped into the interface, they form new chemical bonds with surrounding Fe or Zn atoms. From the differential charge density maps in Figure 11, it can be seen that the mode and strength of charge interaction between Si/O atoms and Fe/Zn atoms differ from those between Fe and Zn atoms. For example, O atoms attract surrounding charge, which affects the charge transfer between Fe and Zn atoms. The original distribution of bonding electron clouds between Fe and Zn is disrupted, leading to weakened bonding between Fe and Zn atoms. Meanwhile, the atomic radii of Si and O differ from those of Fe and Zn. The mismatch between the atomic radii of Si/O and Fe/Zn causes lattice distortion at the Fe/Zn interface after doping, generating internal stress. This internal stress disrupts the regularity of atomic arrangement at the interface, destabilizes the bonding between interface atoms, and thereby reduces the stability of the Fe/Zn interface. After doping, the differential charge density maps show an increase in the inhomogeneity of charge distribution. The emergence of charge accumulation and depletion regions destroys the balance of charge distribution at the interface—a balance that is crucial for interface stability. Imbalanced charge distribution weakens the interaction between interface atoms, further reducing the stability of the Fe/Zn interface. Si and O doping reduce the stability of the Fe/Zn interface by altering the chemical bonding at the interface, causing lattice distortion, and enhancing the inhomogeneity of charge distribution.

3.7. Electrical Properties

As shown in Figure 12, before optimization (a), the following occurs: The total density of states exhibits a relatively high distribution near the Fermi level. This indicates that there are abundant electronic states around the Fermi level, and behaviors such as electron transitions near the Fermi level are relatively active. The electronic structure of the system provides a certain basis for electronic interactions to maintain interface stability. After optimization (b), the following occurs: Compared with that before optimization, the density of states near the Fermi level decreases, and the distribution shape of the density of states also changes. This means that after optimization, the number of electronic states near the Fermi level is reduced, and the electronic interactions around the Fermi level are weakened. Since the electronic states near the Fermi level are crucial for interactions such as bonding between atoms, this change will affect the stability of the interface.
As shown in Figure 12, the partial density of states diagrams show the contribution of different atomic orbitals (s, p, d orbitals) to the density of states. Before optimization (c): The d orbital (blue curve) makes a significant contribution to the density of states near the Fermi level, while the s (black curve) and p (red curve) orbitals also make certain contributions. The d orbital of Fe atoms plays an important role in interactions such as metallic bonding. The distribution of these orbitals, especially the d orbital, near the Fermi level enables strong interactions between Fe and Zn atoms through orbital hybridization, thereby maintaining interface stability. After optimization (d): The contribution of the d orbital to the density of states near the Fermi level decreases significantly, and the contributions of the s and p orbitals also change. After Si and O doping, orbital interactions occur between Si/O atoms and Fe/Zn atoms, which alters the original density of states distribution of Fe and Zn atomic orbitals (especially the d orbital). As a result, the bonding interaction based on orbital hybridization between Fe and Zn atoms is weakened.
From the total density of states diagram, it can be observed that after optimization, the density of states near the Fermi level decreases, and interactions such as electron transitions around the Fermi level are weakened. However, interactions like bonding between atoms are closely related to the behavior of electrons near the Fermi level; the weakening of electron interactions leads to a reduction in the binding force between atoms. Meanwhile, the partial density of states diagrams show that after doping, the density of states distribution of orbitals such as the d-orbitals of Fe atoms near the Fermi level changes. Additionally, the hybridization between the orbitals of Si and O atoms (e.g., the p-orbitals of Si and the p-orbitals of O) and the orbitals of Fe and Zn atoms is altered. This disrupts the original effective orbital hybridization between Fe and Zn atoms, resulting in weakened chemical bonding interactions between atoms. Combined with the previous analysis related to charge density, Si and O doping causes charge redistribution, which further affects the electron cloud overlap between Fe and Zn atoms and the formation of chemical bonds. This leads to loose bonding between atoms at the interface, thereby reducing the stability of the Fe/Zn interface.
The partial density of states (PDOS) for each element is shown in Figure 13. For Fe, in the PDOS distributions of the 4s, 3p, and 3d orbitals, the 3d orbital makes a significant contribution to the density of states near the Fermi level, while the 4s and 3p orbitals also contribute to some extent. At the Fe/Zn interface, the d orbitals of Fe play a key role in interactions such as metallic bonding; the distribution and interaction of their electrons are important factors in maintaining interface stability. For O, the PDOS distribution of the 2s and 2p orbitals shows that the 2p orbital exhibits a high density-of-states peak in the region below the Fermi level. As a dopant atom, the 2p orbitals of O interact with the orbitals of neighboring Fe and Zn atoms, thereby influencing the electronic structure at the interface. The PDOS distribution of Si’s 3s and 3p orbitals is relatively complex. The 3p orbital displays a density-of-states distribution over a wide energy range and also contributes moderately near the Fermi level. After Si doping, its 3p orbitals interact with the orbitals of Fe and Zn atoms—including hybridization—thereby modifying the electronic states at the interface. For Zn, in the PDOS distributions of the 4s, 3p, and 3d orbitals, the 3d orbital exhibits a distinct density-of-states peak near the Fermi level, while the 4s orbital also makes a certain contribution. The orbital electrons of Zn interact with those of Fe, collectively maintaining the stability of the Fe/Zn interface.
The 2p orbitals of O and the 3p orbitals of Si hybridize with the 3d orbitals of Fe, and the 3d and 4s orbitals of Zn. From the density of states (DOS) plots, the orbital DOS of O and Si overlap with those of Fe and Zn near the Fermi level. Such hybridization modifies the original orbital hybridization between Fe and Zn atoms. Originally, Fe and Zn atoms formed metallic bonding and other interactions through hybridization of their own orbitals (e.g., Fe 3d with Zn 3d and 4s). However, the introduction of O and Si orbitals disrupts these interactions, leading to a weakening of interatomic bonding. The DOS of Fe’s 3d orbitals near the Fermi level, as well as that of Zn’s 3d and 4s orbitals near the Fermi level, interact with the orbitals of O and Si after doping, thereby reducing the effective electron interactions in this energy region. The electronic states near the Fermi level are crucial for interatomic bonding; a reduction in electron interactions directly results in weaker bonding between interfacial atoms. In combination with charge density analysis, O and Si doping induces a redistribution of charge at the interface. O, with its high electronegativity, attracts surrounding charge. Si also differs in electronegativity from Fe and Zn. These differences cause changes in the electron cloud distribution between Fe and Zn atoms, reducing the overlap of electron clouds in the original chemical bonds (such as metallic bonds) between Fe and Zn, weakening the bond strength, and consequently lowering the stability of the Fe/Zn interface.
Electronic structure analysis reveals that the segregation of Si and O weakens the interfacial Fe–Zn bonding, reduces the work of adhesion, and induces local charge redistribution and orbital hybridization disruption. These microscale changes are consistent with common macroscopic defects in hot-dip galvanized coatings, such as decreased interfacial adhesion, increased coating spallation tendency, and enhanced brittleness. It is evident that the weakening of the interfacial electronic structure caused by Si/O doping is a crucial microstructural reason for the deterioration of coating bonding performance, providing theoretical support for understanding the failure mechanism of hot-dip galvanized interfaces.

4. Conclusions

In this study, first-principles calculations were employed to systematically investigate the effect of Si and O doping on the stability of the Fe/Zn interface. From the perspectives of charge DOS, the changes in the electronic structure before and after doping were clarified. Charge density maps and differential charge density maps indicate that Si and O doping disrupt the originally uniform charge distribution at the interface and alter the charge interaction between Fe and Zn atoms, and the newly formed chemical bonds interfere with the original bonding mode. TDOS and PDOS show that the density of states near the Fermi level and the density of states distribution of each atomic orbital change, the orbital hybridization is disrupted, and the electronic interaction is weakened.
Doping with Si and O reduces the stability of the Fe/Zn interface mainly through three aspects: first, modifying chemical bonding and weakening the bonding interaction between Fe and Zn; second, inducing lattice distortion and internal stress due to differences in atomic radii, which destroys the regularity of atomic arrangement; third, enhancing the inhomogeneity of charge distribution, breaking the charge balance, and weakening the interactions between atoms. These weakening effects at the electronic level correspond macroscopically to the phenomena commonly observed in hot-dip galvanized steel, such as reduced interfacial adhesion, aggravated coating brittleness, and inhibited Fe–Zn reactions. For instance, the decrease in interfacial bonding strength directly impairs the bonding capacity between the coating and the substrate, thereby increasing the risk of spallation; meanwhile, the enhanced local brittleness caused by electronic structure disturbance is consistent with the coarsening of the ζ phase and increased interfacial fracture sensitivity observed in experiments. Therefore, the first-principles results of this study not only reveal the weakening mechanism of Si/O on interface stability at the microscale but also provide a theoretical explanation at the electronic structure level for macroscopic failure behaviors of hot-dip galvanized coatings, such as reduced adhesion and interfacial brittleness.

Author Contributions

Conceptualization, J.R. and X.T.; methodology, J.R. and H.W.; software, H.W. and Z.W.; validation, J.S.; formal analysis, J.S.; investigation, X.L.; data curation, J.S. and X.L.; writing—original draft preparation, Z.W. and H.W.; writing—review and editing, H.W.; visualization, X.L. and Z.W.; supervision, J.R. and X.T.; project administration, X.T.; funding acquisition, X.T. All authors have read and agreed to the published version of the manuscript.

Funding

This project is financially supported by the Jiayuguan City major science and technology special fund (23-01), Jiayuguan City key research and development plan (24-11).

Data Availability Statement

The original contributions presented in this study are included in the article. Further inquiries can be directed to the corresponding authors.

Conflicts of Interest

Haidong Wang was employed by Carbon Steel Sheet Factory, Jiuquan Iron and Steel (Group) Co., Ltd. The remaining authors declare that the research was conducted in the absence of any commercial or financial relationships that could be construed as a potential conflict of interest.

References

  1. Minenkov, A.; Arndt, M.; Knapp, J.; Hesser, G.; Gierl-Mayer, C.; Mörtlbauer, T.; Angeli, G.; Groiss, H. Interaction and evolution of phases at the coating/substrate interface in galvannealed 3rd Gen AHSS with high Si content. Mater. Des. 2024, 237, 112597. [Google Scholar] [CrossRef]
  2. Bhattacharya, D.; Cho, L.; Colburn, J.; van der Aa, E.; Pichler, A.; Pottore, N.; Ghassemi-Armaki, H.; Findley, K.; Speer, J. Silicon effect on retardation of Fe-Zn alloying behavior: Towards an explanation of liquid zinc embrittlement susceptibility of third generation advanced high strength steels. Corros. Sci. 2024, 235, 112161. [Google Scholar] [CrossRef]
  3. Miyata, M.; Fushiwaki, Y.; Suzuki, Y.; Nagano, H.; Nagataki, Y. Effect of Si/Mn ratio on galvannealing behavior of Si-added steel. ISIJ Int. 2018, 58, 1600–1607. [Google Scholar] [CrossRef]
  4. Grandhi, S.; Raja, V.S.; Parida, S. Effect of manganese addition on the appearance, morphology, and corrosion resistance of hot-dip galvanized zinc coating. Surf. Coat. Technol. 2021, 421, 127377. [Google Scholar] [CrossRef]
  5. Takata, N.; Hayano, K.; Suzuki, A.; Kobashi, M. Enhanced interfacial reaction of Fe-Si alloy sheets hot-dipped in Zn melt at 460 °C. ISIJ Int. 2018, 58, 1608–1615. [Google Scholar] [CrossRef]
  6. Bondareva, O.S.; Melnikov, A.A. Effect of the silicon content in steel on the hot-dip zinc coating microstructure formation. In Proceedings of the International Conference and Youth Scientific School on Materials and Technologies of New Generations in Modern Materials Science, Tomsk, Russia, 9–11 June 2016; Volume 156, p. 012015. [Google Scholar]
  7. Pradhan, D.; Mondal, A.; Chakraborty, A.; Manna, M.; Dutta, M. Microstructural investigation and corrosion behavior of hot-dipped Al-Si-Mg-Cu alloy coated steel. Surf. Coat. Technol. 2019, 375, 427–441. [Google Scholar] [CrossRef]
  8. Bhadhon, K.M.H.; Pallisco, D.M.; McDermid, J.R. Continuous Hot-Dip Galvanizing of Medium-Manganese Third-Generation Advanced High-Strength Steels. Steel Res. Int. 2023, 94, 2200898. [Google Scholar]
  9. Bhattacharya, D.; Cho, L.; Colburn, J.; Smith, D.; Marshall, D.; van der Aa, E.; Pichler, A.; Ghassemi-Armaki, H.; Pottore, N.; Findley, K.; et al. Influence of selected alloying variations on liquid metal embrittlement susceptibility of quenched and partitioned steels. Mater. Des. 2022, 224, 111356. [Google Scholar] [CrossRef]
  10. Park, H.; Kim, S.H.; Lee, J.-J.; Kwon, K.-H.; Kim, K.-W.; Lee, C.-H.; Park, Y.-D.; Lee, T.-H. Mechanism of interfacial Si enrichment in hindering Fe-Zn alloying and its morphological evolution during annealing in Zn-coated Si-bearing steels. J. Mater. Sci. Technol. 2025, 233, 239–254. [Google Scholar] [CrossRef]
  11. Minenkov, A.; Mörtlbauer, T.; Arndt, M.; Hesser, G.; Angeli, G.; Groiss, H. Towards a dependable TEM characterization of hot-dip galvanized steels with low and high Si content. Mater. Des. 2023, 227, 111684. [Google Scholar] [CrossRef]
  12. Tang, N.-Y. Control of silicon reactivity in general galvanizing. J. Phase Equilibria Diffus. 2008, 29, 337–344. [Google Scholar] [CrossRef]
  13. Shah, I.A.; Lv, P.; Ma, S.; Luo, Y.; Liu, Y.; Cui, X.; Guo, P.; Xing, J. Effect of Si and prolonged time on interfacial morphologies and cavitation erosion behavior of directionally solidified Fe-B alloy in flowing liquid zinc. Corros. Sci. 2024, 236, 112281. [Google Scholar] [CrossRef]
  14. Bhattacharya, D.; Cho, L.; Marshall, D.; Walker, M.; van der Aa, E.; Pichler, A.; Ghassemi-Armaki, H.; Findley, K.; Speer, J. Liquid metal embrittlement susceptibility of two Zn-Coated advanced high strength steels of similar strengths. Mater. Sci. Eng. A 2021, 823, 141569. [Google Scholar] [CrossRef]
  15. Wang, J.; Enomoto, M.; Shang, C. First-principles study on the interfacial segregation at coherent Cu precipitate/Fe matrix interface. Scr. Mater. 2020, 185, 42–46. [Google Scholar] [CrossRef]
  16. Jong, J.-Y.; Zhu, J.; Jon, M.-G.; Zhou, Y.; Kim, J.; Yan, J. Theoretical investigation of stabilities and physical properties of low cost Fe-based full-Heusler materials. J. Alloys Compd. 2017, 693, 462–467. [Google Scholar] [CrossRef]
  17. Peng, C.; Zeng, L.; Huang, F.; Zhong, M.; Liang, S.; Ran, X.; Zhou, L. Effects of alloying elements on mechanical and electronic properties of Cu by first-principles calculations. In Proceedings of the 3rd International Conference on Frontiers of Materials Synthesis and Processing (FMSP 2019), Sanya, China, 9–10 November 2019; Volume 772, p. 012064. [Google Scholar]
  18. Meng, Q.; Tan, M.; Guo, X.; Li, T.; Gu, S.; Chen, C.; Zhang, F. Investigation on the formation mechanism of composite inclusions by multi-scale characterization in high manganese steel with yttrium addition. Mater. Charact. 2024, 207, 113579. [Google Scholar] [CrossRef]
  19. Paez-Ornelas, J.I.; Fernández-Escamilla, H.N.; Takeuchi, N.; Sánchez, J.G. Adsorption and diffusion mechanisms of silver ad-atoms on Ag and Cu (110) surfaces: A first principles study. Mater. Today Commun. 2020, 25, 101461. [Google Scholar] [CrossRef]
  20. Constantin, L.A.; Perdew, J.P.; Pitarke, J.M. Exchange-correlation hole of a generalized gradient approximation for solids and surfaces. Phys. Rev. B—Condens. Matter Mater. Phys. 2009, 79, 075126. [Google Scholar] [CrossRef]
  21. Perdew, J.P.; Burke, K.; Wang, Y. Generalized gradient approximation for the exchange-correlation hole of a many-electron system. Phys. Rev. B 1996, 54, 16533. [Google Scholar] [CrossRef]
  22. Gan, M.; Lu, T.; Yu, W.; Feng, J.; Chong, X. Capturing and visualizing the phase transition mediated thermal stress of thermal barrier coating materials via a cross-scale integrated computational approach. J. Adv. Ceram. 2024, 13, 413. [Google Scholar] [CrossRef]
  23. Chugh, M.; Ranganathan, M. Surface energy and surface stress of polar GaN(0001). Appl. Surf. Sci. 2021, 566, 150627. [Google Scholar] [CrossRef]
  24. Han, Y.; Dai, Y.; Shu, D.; Wang, J.; Sun, B. First-principles calculations on the stability of Al/TiB2 interface. Appl. Phys. Lett. 2006, 89, 144107. [Google Scholar] [CrossRef]
  25. Cheng, M.; Liang, M.; Liao, H. First principles study of Ni3Al/Ni6Ta2 interface and electronic properties. Vacuum 2022, 203, 111241. [Google Scholar] [CrossRef]
  26. Liu, B.; Yang, J. Mg on adhesion of Al(111)/3C-SiC(111) interfaces from first principles study. J. Alloys Compd. 2019, 791, 530–539. [Google Scholar] [CrossRef]
  27. Surblys, D.; Leroy, F.; Yamaguchi, Y.; Müller-Plathe, F. Molecular dynamics analysis of the influence of Coulomb and van der Waals interactions on the work of adhesion at the solid-liquid interface. J. Chem. Phys. 2018, 148, 134707. [Google Scholar] [CrossRef] [PubMed]
  28. Feng, Y.; Chen, X.; Hao, Y.; Chen, B. Characterization and energy calculation of the S/Al interface of Al–Cu–Mg alloys: Experimental and first-principles calculations. Vacuum 2022, 202, 111131. [Google Scholar] [CrossRef]
  29. Ardell, A.J. Gradient energy, interfacial energy and interface width. Scr. Mater. 2012, 66, 423–426. [Google Scholar] [CrossRef]
  30. Christensen, M.; Dudiy, S.; Wahnström, G. First-principles simulations of metal-ceramic interface adhesion: Co/WC versus Co/TiC. Phys. Rev. B 2002, 65, 045408. [Google Scholar] [CrossRef]
  31. Lee, S.-J.; Lee, Y.-K.; Soon, A. The austenite/ε martensite interface: A first-principles investigation of the fcc Fe (1 1 1)/hcp Fe (0 0 0 1) system. Appl. Surf. Sci. 2012, 258, 9977–9981. [Google Scholar] [CrossRef]
  32. Zhang, D.; Wang, J.; Kong, Y.; Zou, Y.; Du, Y. First-principles investigation on stability and electronic structure of Sc-doped θ′/Al interface in Al−Cu alloys. Trans. Nonferrous Met. Soc. China 2021, 31, 3342–3355. [Google Scholar] [CrossRef]
  33. Chen, G.; Guo, S.; Zhang, H.; Xiong, H.; Gan, L. The effects of active elements on adhesion strength of SiC/Cu interface in SiC reinforced Cu-based composite: A first-principles investigation. Mater. Today Commun. 2022, 31, 103233. [Google Scholar] [CrossRef]
  34. Meng, Z.; Wang, C.; Wang, Y.; Liu, Y.; Shu, Y.; Yang, L. Screening and manipulation by segregation of dopants in grain boundary of Silicon carbide: First-principles calculations. Ceram. Int. 2023, 49, 32478–32489. [Google Scholar] [CrossRef]
Figure 1. Unit Cell Atomic Configuration Diagram: (a) bcc-Fe and (b) hcp-Zn structure.
Figure 1. Unit Cell Atomic Configuration Diagram: (a) bcc-Fe and (b) hcp-Zn structure.
Coatings 15 01428 g001
Figure 2. Convergence Test Curves of Cut-off Energy and K-point: (a) bcc-Fe and (b) hcp-Zn.
Figure 2. Convergence Test Curves of Cut-off Energy and K-point: (a) bcc-Fe and (b) hcp-Zn.
Coatings 15 01428 g002
Figure 3. The Structural Evolution of the Model Before and After Optimization: (a) bcc-Fe structure model before optimization; (b) bcc-Fe structure model after optimization; (c) hcp-Zn structure model before optimization; (d) hcp-Zn structure model after optimization.
Figure 3. The Structural Evolution of the Model Before and After Optimization: (a) bcc-Fe structure model before optimization; (b) bcc-Fe structure model after optimization; (c) hcp-Zn structure model before optimization; (d) hcp-Zn structure model after optimization.
Coatings 15 01428 g003
Figure 4. Surface Energy: (a) bcc-Fe surfaces; (b) hcp-Zn surfaces.
Figure 4. Surface Energy: (a) bcc-Fe surfaces; (b) hcp-Zn surfaces.
Coatings 15 01428 g004
Figure 5. Five surface models: (a,b) Fe slab and (ce) Zn slab.
Figure 5. Five surface models: (a,b) Fe slab and (ce) Zn slab.
Coatings 15 01428 g005
Figure 6. Six interface models. (1) Fe(a)/Zn(c) terminal; (2) Fe(a)/Zn(d) termina; (3) Fe(a)/Zn(f) termina; (4) Fe(b)/Zn(c) termina; (5) Fe(b)/Zn(d) termina; (6) Fe(b)/Zn(f) termina.
Figure 6. Six interface models. (1) Fe(a)/Zn(c) terminal; (2) Fe(a)/Zn(d) termina; (3) Fe(a)/Zn(f) termina; (4) Fe(b)/Zn(c) termina; (5) Fe(b)/Zn(d) termina; (6) Fe(b)/Zn(f) termina.
Coatings 15 01428 g006
Figure 7. Interface Structure Stability: (a) Work of Adhesion and (b) Interfacial Energy.
Figure 7. Interface Structure Stability: (a) Work of Adhesion and (b) Interfacial Energy.
Coatings 15 01428 g007
Figure 8. Analysis of Si Element Interface Doping: (a) Doping Sites and (b) Segregation Energy.
Figure 8. Analysis of Si Element Interface Doping: (a) Doping Sites and (b) Segregation Energy.
Coatings 15 01428 g008
Figure 9. Analysis of O Element Interface Doping: (a) Element Doping Sites; (b) Segregation Energy at Each Site; (c) Adhesion Work at Each Site.
Figure 9. Analysis of O Element Interface Doping: (a) Element Doping Sites; (b) Segregation Energy at Each Site; (c) Adhesion Work at Each Site.
Coatings 15 01428 g009
Figure 10. Atomic Charge bond population: (a) position 5; (b) position 6; (c) position 7; (d) position 8.
Figure 10. Atomic Charge bond population: (a) position 5; (b) position 6; (c) position 7; (d) position 8.
Coatings 15 01428 g010
Figure 11. Electron Distribution: (a,c,e,g) Charge Density Maps; (b,d,f,h) Charge Density Difference Maps.
Figure 11. Electron Distribution: (a,c,e,g) Charge Density Maps; (b,d,f,h) Charge Density Difference Maps.
Coatings 15 01428 g011
Figure 12. Electronic Structure Analysis: (a,b) Density of States (DOS) Before and After Optimization; (c,d) Partial Density of States (PDOS) Before and After Optimization.
Figure 12. Electronic Structure Analysis: (a,b) Density of States (DOS) Before and After Optimization; (c,d) Partial Density of States (PDOS) Before and After Optimization.
Coatings 15 01428 g012
Figure 13. Density of States (PDOS) of Each Element: (a) Fe; (b) O; (c) Si; (d) Zn.
Figure 13. Density of States (PDOS) of Each Element: (a) Fe; (b) O; (c) Si; (d) Zn.
Coatings 15 01428 g013
Table 1. The Work of Adhesion and Interfacial Energy of the Six Interface Models.
Table 1. The Work of Adhesion and Interfacial Energy of the Six Interface Models.
NumberInterfaceWsep (J/m2)γint (J/m2)d0 (Å)
1Fe5a-Zn7c2.081.802.21
2Fe5a-Zn7d2.061.822.21
3Fe5a-Zn7f2.071.812.21
4Fe5b-Zn7c2.621.272.00
5Fe5b-Zn7d3.300.582.00
6Fe5b-Zn7f3.400.492.00
Disclaimer/Publisher’s Note: The statements, opinions and data contained in all publications are solely those of the individual author(s) and contributor(s) and not of MDPI and/or the editor(s). MDPI and/or the editor(s) disclaim responsibility for any injury to people or property resulting from any ideas, methods, instructions or products referred to in the content.

Share and Cite

MDPI and ACS Style

Wang, H.; Wang, Z.; Tang, X.; Ren, J.; Lu, X.; Sheng, J. First-Principles Study on the Effect of Si/O Doping on the Stability of the Fe/Zn Interface. Coatings 2025, 15, 1428. https://doi.org/10.3390/coatings15121428

AMA Style

Wang H, Wang Z, Tang X, Ren J, Lu X, Sheng J. First-Principles Study on the Effect of Si/O Doping on the Stability of the Fe/Zn Interface. Coatings. 2025; 15(12):1428. https://doi.org/10.3390/coatings15121428

Chicago/Turabian Style

Wang, Haidong, Zhiwan Wang, Xingchang Tang, Junqiang Ren, Xuefeng Lu, and Jie Sheng. 2025. "First-Principles Study on the Effect of Si/O Doping on the Stability of the Fe/Zn Interface" Coatings 15, no. 12: 1428. https://doi.org/10.3390/coatings15121428

APA Style

Wang, H., Wang, Z., Tang, X., Ren, J., Lu, X., & Sheng, J. (2025). First-Principles Study on the Effect of Si/O Doping on the Stability of the Fe/Zn Interface. Coatings, 15(12), 1428. https://doi.org/10.3390/coatings15121428

Note that from the first issue of 2016, this journal uses article numbers instead of page numbers. See further details here.

Article Metrics

Back to TopTop