Abstract
Thermal aging is one of the main reasons for the degradation of insulation properties of high voltage cable. Dielectric properties and breakdown strength are important parameters to reflect the insulation performance of the cable insulation materials. In the work, the influence of thermal aging on dielectric and breakdown performance of the cable insulation layer was studied. Firstly, XLPE cable insulation samples were prepared and the thermal aging treatment was carried out. Secondly, the microstructure and molecular structure of XLPE samples under different thermal aging time were analyzed. The dielectric properties and breakdown characteristics of XLPE samples under different thermal aging times were characterized in macro aspect. Finally, the effects of different temperatures on the molecular microstructure of XLPE were studied. The results show that with the extension of thermal aging time, the microstructure of XLPE molecule is destroyed, the macromolecular chain is gradually cleaved, and the carbonyl absorption intensity increases. At power frequency, the breakdown strength decreases from 75.37 kV/mm to 62.18 kV/mm, the relative permittivity increases from 2.44 to 2.51, and the dielectric loss increases from 1.47 × 10−4 to 3.10 × 10−3. The free volume rate of XLPE molecules increases with the increasing temperature, and the mean square displacement gradually increases. The work has good guiding significance for the safe operation and condition assessment of high-voltage cables.
1. Introduction
Cross-Linked Polyethylene (XLPE) has been widely used in high-voltage power supply systems because of its excellent mechanical and electrical properties [1,2,3,4]. In engineering applications, the cable core heating, the eddy current loss and dielectric loss will cause the cable insulation to heat up. The cable insulation XLPE is susceptible to aging due to thermal stress, resulting in a decline in the electrical properties of the insulation material, which can cause insulation breakdown in severe cases and affect the operation of the power system [5,6,7,8,9]. Therefore, it is of great significance to study the variation law of electrical properties of XLPE in the process of thermal aging for the stable operation of the power system.
Thermal aging is one of the main reasons for the degradation of insulating materials of high-voltage cables [10,11]. The electrical properties and microstructure of XLPE insulation after thermal aging has been studied extensively. Boukezzi et al. studied the effect of thermal aging on the change of crystallinity of XLPE by X-ray diffraction, and the changing pattern of crystallinity during thermal aging at different temperatures was analyzed [12]. Meng et al. studied the law of physicochemical and electrical properties of XLPE cable insulation under the effect of thermal aging and compared the changes in crosslinking by-product content, breakdown and resistivity properties of XLPE samples with different aging times [13]. Alghamdi et al. studied the change of mechanical properties of XLPE samples after accelerated thermal aging to establish the life-stress relationship by Arrhenius model to evaluate the cable life [14]. Li et al. conducted accelerated thermal aging experiments on XLPE insulated cables at different temperatures to test the antioxidant content, crystallinity, thermal degradation characteristics and mechanical properties of the aging samples by FTIR analysis, differential scanning calorimetry, X-ray diffraction, thermogravimetric analysis and tensile tests [15]. Zhang et al. studied the effect of crystallinity and antioxidant content on the dielectric strength of XLPE cable insulation in accelerated thermal aging [16]. Kim et al. studied the change of the Weibull statistical parameters characterizing the dielectric breakdown of thermally aged XLPE cable samples with different aging degrees [17]. He et al. studied the change of mechanical properties and dielectric strength of 10kV crosslinked polyethylene insulated cables at different aging stages [18]. Kemari et al. studied the physicochemical and dielectric properties of cross-linked polyethylene insulation samples at four different temperatures ranging from 80 to 140 °C and different aging times [19]. Thermal aging will affect the microstructure of the cable insulation materials, which will lead to changes in macroscopic dielectric and breakdown properties.
In summary, there are more studies on the physicochemical and electrical properties of the cable insulation after thermal aging, but there are few reports on the analysis of the commercial cable insulation and effect of the molecular motion on the electrical insulation properties. In this paper, the XLPE insulation properties under different thermal aging times were characterized using Scanning Electron Microscopy (SEM), Fourier-Transform Infrared Spectroscopy (FTIR), breakdown and dielectric testing devices. The changes in micro-structure, internal functional groups, breakdown and dielectric properties of cable insulation materials under the effect of thermal aging were evaluated. Meanwhile, the crystal structure state was analyzed by building a molecular structure model to simulate the change of XLPE free volume rate at different temperatures. The work has important application value to the insulation condition evaluation and fault analysis of high voltage cable.
2. Sample Preparation and Experimental Methods
2.1. The Preparation of the Insulation Layer Sample
Firstly, the XLPE insulation base material used for commercial high-voltage cables was placed in a drying oven for 30 min to remove the moisture. Secondly, the insulation base material was evenly placed in a 10 mm × 10 mm mold and preheated at 130 °C for 6 min using a flat plate vulcanizing machine and then cross-linked at 180 °C for 15 min. Finally, the insulation material was cooled and molded at 25 °C. The XLPE samples with a thickness of 0.3 mm were prepared.
2.2. Thermal Aging Treatment
A thermal aging system was used to perform thermal aging treatment on the sample. In order to make the sample uniformly heated, the sample was placed in the way of vertical suspension. The aging temperature was set to 120 °C, and the aging time was set to 0 h, 168 h, 720 h, and 1440 h, respectively.
Figure 1 shows the flowchart of XLPE insulation sample preparation and thermal aging process. It can be seen from the figure that the color of XLPE insulation sample gradually changes from transparent to dark brown as the aging time increases.
Figure 1.
XLPE insulation layer preparation and thermal aging flowchart.
2.3. SEM Testing
The micro-structure of sample at different aging time was observed by Scanning Electron Microscope (Phenom-World, Eindhoven, The Netherlands). First, the sample was brittle in liquid nitrogen, and then the section was sprayed with gold by an ion-sputtering instrument (Haifuda, Beijing, China). Finally, the micro-structure was observed under the scanning electron microscope.
2.4. Infrared Spectroscopy Testing
An FTIR spectrometer (Bruker, Saarbrücken, Germany) was adopted to test the functional group structures of XLPE sample under different aging time. The samples were cleaned with anhydrous ethanol to remove impurities before the experiment; the samples were placed in an oven at 60 °C to eliminate the moisture. The test spectra were in the range of 500~4000 cm−1.
2.5. Breakdown Strength Testing
In this paper, an AC voltage with a step-up rate of 500 V/s was used. According to IEC60243-1-2013, “When measuring the short-time electrical strength of a solid insulation layer at industrial frequency, the voltage should be stepped up continuously at 50 Hz AC until breakdown of the sample occurs, and the breakdown voltage value should be recorded”. In order to prevent tip discharge during the experiment, XLPE samples were made into 100 mm diameter circles using a punching machine before the test. Simultaneously, the samples were placed in the drying oven at 60 °C to reduce the moisture. During the experiment, the sample was completely placed in dimethyl silicone oil to prevent the air breakdown, and the boost rate was set at 500 V/s. Each group of aging samples was tested ten times to measure the thickness of the breakdown point and calculate the power frequency breakdown strength. Two-parameter Weibull distribution was used to analyze the breakdown test results. Where the expression of the two-parameter Weibull distribution density function is [20]:
where, t is the variable, which is the experimentally acquired breakdown strength. α is the scale parameter, which represents the breakdown strength at a failure probability of 63.2%. β is the shape parameter, which characterizes the range of the measured data.
F(t;α,β) = 1−exp[(t/α)^β]
2.6. Frequency Domain Dielectric Properties Testing
The dielectric properties of XLPE sample under different aging time were tested using a broadband dielectric impedance spectrometer (Novocontrol, Frankfurt, Germany) at different frequencies and temperatures. The sample was cleaned with anhydrous ethanol before testing and placed in an oven at 60 °C for drying. The sample diameter was 20 mm, the thickness was 0.3 mm, the testing frequency was 10−1~106 Hz, and the testing temperature was 25 °C.
3. Experimental Results and Analysis
3.1. Micro-Structure Analysis
The micro-structure of the insulation layer of XLPE with different aging times is shown in Figure 2. The micro-structure of XLPE with unaged treatment is shown in Figure 2a, which reveals that the cross-section of the insulation layer is uneven, and there are more cross-linked and crystal zones with complete and continuous cross-chain structures. The micro-structure of XLPE after aging for 168 h and 720 h is presented in Figure 2b,c. With the increase in aging time, the convex part decreases gradually and the chain structure becomes sparse. The micro-structure of XLPE aged for 1440 h is shown in Figure 2d, thermal aging leads to the destruction of the chain structure integrity of the insulation sample. When using liquid nitrogen low temperature brittle fracture and observing the insulation sample section, the brittleness of the insulation samples increases due to the long aging time. The texture of the fracture surface of the insulation sample that resulted in aging for 1440 h was less than that of the other aging times. The integrity of the crystal zones is destroyed and the spacing between the crystal zones is increased. This illustrates that thermal aging destroys the internal cross-linked network of XLPE, which results in a cracked and sparsely dispersed molecular chain structure.
Figure 2.
Micro-structure of the insulation layer under different aging time. (a) The unaged insulation layer; (b) the insulation layer aged for 168 h; (c) the insulation layer aged for 720 h; (d) the insulation layer aged for 1440 h.
3.2. Fourier Infrared Spectroscopy
The FTIR spectra of the insulation layer at different thermal aging times is shown in Figure 3a. Symmetric and asymmetric stretching vibrational peaks of methylene at wavenumbers 2915 cm−1 and 2848 cm−1. The carbon-hydrogen bending vibration peaks in the wavenumber 1500~400 cm−1. The shear vibration peaks of methylene at 1462 cm−1 and 1472 cm−1. At 720 cm−1 is the plane rocking vibration peak of methylene. The peaks of these three absorption peaks increase significantly with the expansion of thermal aging time, implying that the carbon-hydrogen bonds within XLPE are broken under the action of thermal aging, producing methylene groups and leading to the growth of absorption peaks. The double bond stretching vibration region is within the wave number 2000~1500 cm−1, and the obvious carbonyl (C=O) stretching vibration peak appears at 1727 cm−1 after 168 h of aging. Owing to the thermal aging process, XLPE is subjected to thermal action and oxidation reaction, weak bonds of molecules are broken, and the oxidation reaction produces peroxide radicals as well as hydrogen peroxide, which further reacts to produce carbonyl groups.
Figure 3.
Changes of functional groups of the insulation layer under different aging time. (a) Infrared spectrum of insulation layer; (b) carbonyl index.
To characterize the aging state of XLPE sample at different aging times, the carbonyl index is used to describe it quantitatively. The carbonyl index is the ratio of the carbonyl stretching vibration peak at 1727 cm−1 to the intensity of the absorption peak at 2915 cm−1 [21]. The patterns of carbonyl index change in XLPE after thermal aging are shown in Figure 3b. The carbonyl index increases with aging time. The carbonyl index is 15.13% at 0 h and increases to 50.14% at 1440 h. This indicates that under the action of thermal aging, the weak bonds of XLPE macromolecular chains are broken and substances containing carbonyl groups are generated. Therefore, with a longer aging time, the more serious the thermal oxygen effect damages XLPE, and the larger the carbonyl index.
3.3. Effect of Thermal Aging on Breakdown Strength
The change in breakdown strength of XLPE at different aging times is shown in Figure 4. The Weibull distribution parameters of the XLPE breakdown strength at different thermal aging times are shown in Table 1. As can be seen from Figure 4, the breakdown strength of XLPE gradually decreases as the aging time increases. The breakdown strength of XLPE with unaged treatment is 75.37 kV/mm. The breakdown strength of XLPE at 168 h is 68.56 kV/mm, a reduction of 9.03%. The breakdown strength of XLPE at 720 h is 63.37 kV/mm, a reduction of 15.92%, and it is 62.18 kV/mm at 1440 h.
Figure 4.
Variation law of breakdown field strength of insulation layer under different aging time.
Table 1.
Weibull distribution parameters for XLPE breakdown strength at different thermal aging time.
As the aging time increases, the breakdown strength of XLPE gradually decreases. The reason for this is that thermal aging breaks the XLPE macromolecular chain, resulting in the destruction of the crystal zones in XLPE and its transformation into amorphous zones. Under the action of the electric field, the carriers in XLPE migrate mainly on the surface of the crystal zone and in the amorphous zone, and the disruption of the crystal zone makes it easier for the carriers to migrate, resulting in a significant decrease in the breakdown strength. The breakdown strength of the XLPE was tested by applying an AC electric field. When the applied voltage is at the negative half-cycle, the negative charges injected into the sample is trapped by the trap, and when the polarity is reversed, the positive charges injected into the sample compound with the negative charges to produce energy. As the thermal aging time increases, the molecular chains inside the XLPE sample break due to thermal oxygen ageing, the number of traps and traps levels in the dielectric increase, the field strength threshold required for charge injection is reduced. Therefore, it leads to an increase in the amount of injected charge, which makes the compound reaction of positive and negative charges become more intense, thus generating more energy and causing a significant decrease in the breakdown strength of the thermal aging XLPE sample.
3.4. Effect of Thermal Ageing on The Dielectric Properties
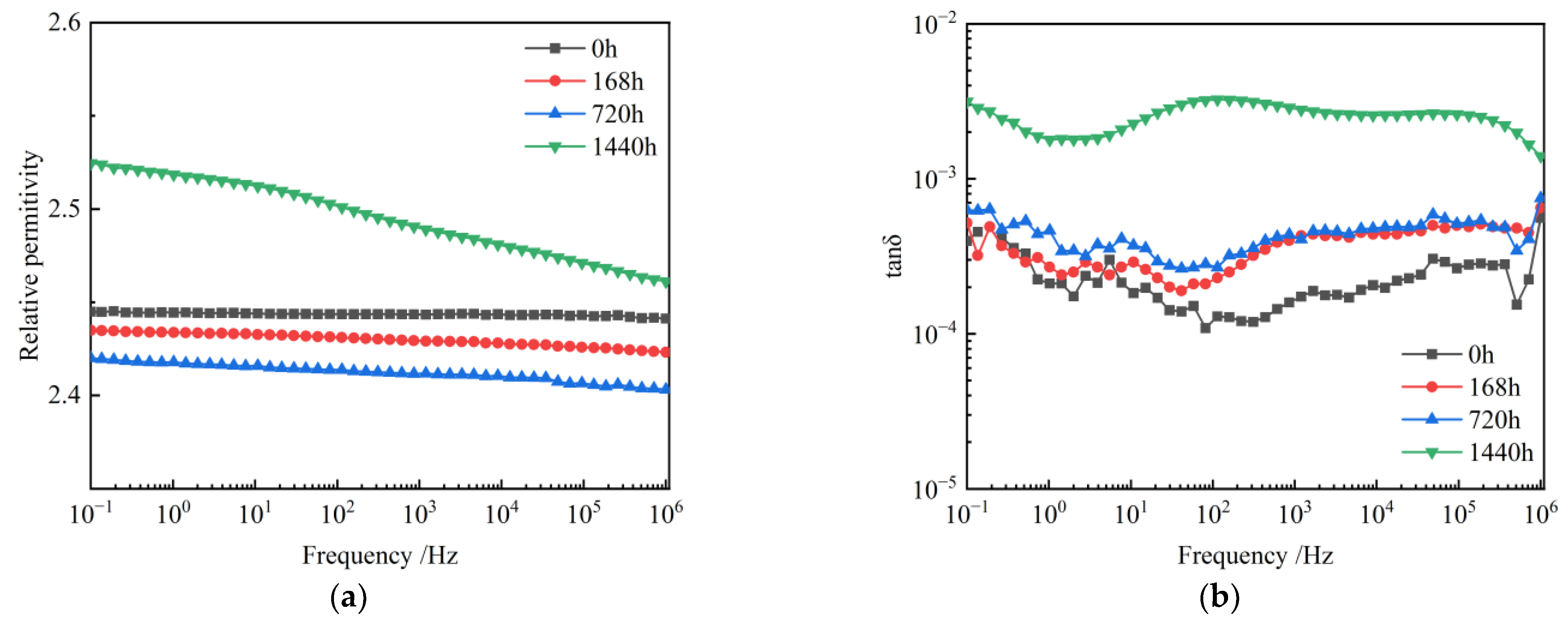
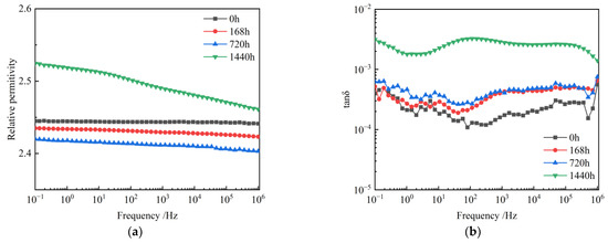
The change rule in the relative permittivity of the insulation layer at different aging times is shown in Figure 5a. The relative permittivity of the insulation layer tends to decrease slightly with the increasing aging time until 720 h. The relative permittivity of XLPE at 50 Hz is used as a comparison and the relative permittivity at 0 h is 2.44. The relative permittivity of the XLPE sample at 168 h is 2.42, a reduction of about 0.82%. The relative permittivity of the XLPE sample at 720 h is 2.41. The relative permittivity of the XLPE sample at 1440 h is 2.51. It can be concluded that the relaxational polarization intensity of the XLPE sample does not change significantly before 720 h. The relative permittivity constant of XLPE is essentially unchanged. The relative permittivity of the XLPE sample at 1440 h increases significantly at lower frequencies and decreases rapidly with increasing frequency. This is because thermal aging causes a large number of polar groups to be generated in XLPE, which increases the strength of the relaxational polarization and leads to an increase in the relative permittivity. As the relaxational polarization needs takes a long time to establish, with the increase in electric field frequency, the relaxational polarization is not established in time at high frequencies, resulting in a large increase in the relative permittivity of the 1440 h at lower frequencies and an insignificant increase in the relative permittivity at higher frequencies.
Figure 5.
Variation of dielectric properties of the insulation layer under different aging time. (a) Relative permittivity; (b) dielectric loss.
The change rule in the dielectric loss of the insulation layer at different aging times is shown in Figure 5b. The dielectric loss of XLPE at 50 Hz is used as a comparison and the dielectric loss at 0 h is 1.47 × 10−4. The dielectric loss of the XLPE sample at 168 h is 2.02 × 10−4, an increase of about 37.41%. The dielectric loss of the XLPE sample at 720 h is 2.67 × 10−4, an increase of about 81.63%, and it is 3.10 × 10−3 at 1440 h. The dielectric loss of the insulation layer tends to increase slightly with the increasing aging time until 720 h. However, the dielectric loss is related to the conductivity loss of the free charge and the relaxational polarization process [22]. It can be seen that before 720 h, XLPE is in a re-crosslinked state and only part of the crystal region is disrupted. At this time, thermal oxygen aging has not yet produced more polar groups, the polarization phenomenon is not obvious, the influence on the dielectric loss of insulation is little. The dielectric loss of the XLPE sample at 1440 h increases significantly. This is because of the decrease in the crystal zone due to prolonged thermal aging, the weakening of the interaction forces after the breakage of macromolecular chains, the increase in the mobility of molecular chains, and the increase in the polarization strength due to the production of a large number of polar groups. Meanwhile, the free volume of XLPE molecules becomes larger, the ion mobility increases and the electrical conductivity gradually increases, which also leads to the increase of dielectric loss.
The dielectric loss of XLPE sample with the same aging time shows a trend of decreasing and then increasing with frequency. This is because at lower frequencies, electrons or ions in the XLPE under the action of electric field gather at the interface to form space charges thus causing interfacial polarization, which decreases with increasing frequency [23]. Meanwhile, as the frequency increases, the turning-direction polarization gradually cannot keep up with the change of electric field, and the electric dipole needs to overcome the intermolecular force when turning-direction, thus generating loss, but this loss is small at lower frequencies. Thus, interfacial polarization plays a dominant role in the dielectric loss of XLPE at lower frequencies, so at lower frequencies the dielectric loss gradually decreases with increasing frequency. When the frequency increases to a certain value, the relaxational polarization cannot keep up with the change in frequency and hysteresis occurs, and the relaxational polarization intensity increases significantly, leading to an increase in dielectric loss.
As the aging time increases, the dielectric constant and dielectric loss of XLPE will show an increasing trend. For the dielectric itself, some new functional groups will be generated after aging, resulting in an increase in the polarity of the dielectric. For high voltage cables, the increase in dielectric constant will lead to distortion of electric field, which will cause partial discharge. The increase in dielectric loss will generate a large amount of Joule heat. Due to the special characteristics of the cable structure, the heat cannot be dissipated in time, which will lead to a further increase in the internal temperature of the cable, accelerating the thermal aging of high-voltage cables, reducing the insulation performance of the insulation layer, thus affecting the service life of high-voltage cables. The quantitative relationship between the dielectric parameter variation and the cable life will be further studied.
3.5. Effect of XLPE Molecular Microstructure
The electrical properties of XLPE high voltage cables are closely related to the microstructure. In order to characterize the changing state of XLPE microscopic molecular structure at different temperatures, based on the XLPE molecular structure [24], the XLPE molecular structure model was established as shown in Figure 6a. To build a stable molecular structure, the XLPE model needs to be optimized in energy. From Figure 6b, it can be observed that the energy gradually decreases from 2920.97 kcal/mol with the increase of optimization steps and stabilizes around 40.29 kcal/mol, which indicates that the XLPE molecular structure reaches the most stable state.
Figure 6.
XLPE molecular model and optimization process. (a) Molecular structure model of XLPE; (b) energy changes in the molecular structure of XLPE.
XLPE is a semi-crystalline polymer and the percentage of crystal and amorphous zone affects its electrical properties. Therefore, the variation of the free volume rate of XLPE at different temperatures was investigated. The cell model of XLPE was established based on the optimized XLPE molecular chain, as shown in Figure 7a. According to the crystal cell model, different operating temperatures were set to 25 °C, 90 °C, and 120 °C, respectively. The variation pattern of the free volume rate at different temperatures is shown in Figure 7b, which shows that the free volume rate is 34.50%, 34.82%, and 35.06% at 25 °C, 90 °C, and 120 °C, respectively. The percentage of free volume of XLPE increases gradually with the increase in temperature. Since the melting temperature of XLPE is around 104 °C [25], the high temperature of 120 °C destroys the crystal structure of XLPE and leads to an increase in the free volume of XLPE molecules.
Figure 7.
Molecular simulation results. (a) Free volume model of XLPE; (b) free volume rate of XLPE molecules at different temperatures.
4. Discussion
Cable insulation material XLPE is a kind of high polymer with both crystalline and amorphous regions. It is susceptible to degradation by thermal aging, and the deterioration of XLPE will occur first in the weak bonds of macromolecules. The carbon and hydrogen bonds break first to produce hydrogen peroxide, which further reacts to produce carbonyl groups. Therefore, the change in carbonyl index can be used to determine the degree of aging of running XLPE cables. Meanwhile, the generation of carbonyl groups enhances the charge accumulation, resulting in enhanced interfacial polarization at low frequencies, so the larger the dielectric loss at low frequencies, the more serious the aging of the cable.
When the temperature of XLPE exceeds the melting temperature, the XLPE crystals melt, resulting in the transformation of the crystal zone into an amorphous zone. The color of XLPE insulation sample appearance after thermal aging gradually deepens with the growth of aging time, and the insulation sample becomes hard and brittle. It can also be judged from the reduction of texture in the fracture surface of XLPE after aging observed by SEM that the molecular chains of XLPE break after aging, the cross-linked structure is destroyed and the activation energy decreases.
In summary, XLPE undergoes degradation during thermal oxygen aging and generates new polar groups and the polar group is one of the factors affecting the dielectric properties, so the dielectric constant and dielectric loss increase at 1440 h of aging. Meanwhile, as the aging degree increases, the thermal decomposition reaction inside XLPE becomes more serious, and the molecular chain structure is broken and the crystal zone is destroyed, so that the breakdown strength decreases.
High-voltage XLPE insulating compounds mainly consist of low-density polyethylene (LDPE), base resin, dicumyl peroxide (DCP) and antioxidant. Additives have an important influence on the insulation performance of high-voltage cables. At present, more scholars have studied the effect of voltage stabilizers and antioxidants on the insulation performance of high-voltage cables. We will continue our research on the effect of additives on the aging characteristics of long-term operating cables in the future.
5. Conclusions
The microstructure, dielectric properties and breakdown strength of high voltage cable insulation materials with different aging degrees were studied, and the aging mechanism of cable materials was analyzed by molecular simulation. The conclusions are as follows.
- (1)
- In the early stage of sample aging, the chain structure is complete and continuous, and in the process of accelerated thermal aging, the chain structure gradually cracks and sparsely. At the same time, the absorption peaks of polarity in XLPE increased with the increase of aging time, and the carbonyl index increased.
- (2)
- In the process of thermal aging, the macromolecular chain of XLPE is broken, the crystal zone is destroyed, and the amorphous zone is increased, resulting in the breakdown strength decreasing with the increase of aging degree. The dielectric loss gradually increases with the increase of aging time. Meanwhile, long-term thermal aging causes an increase in polar groups, leading to an increase in the dielectric constant.
- (3)
- With the increase in temperature, the proportion of free volume of XLPE increases gradually. When the temperature is higher than the melting temperature of XLPE, the crystal structure of the sample is destroyed.
As an insulation system composed of multiple materials and multi-layer structures, the insulation safety of high-voltage cables is not only related to the main insulation materials, but also closely related to the semi-conductive shielding layer materials and multiple interface structures. In the future, the aging performance of high voltage cable insulation will be comprehensively evaluated from the multiple aspects such as the insulation material and the semi-conductive shielding material.
Author Contributions
Conceptualization, B.L.; methodology, G.L. and B.L.; validation, G.L. and B.L.; formal analysis, R.L.; investigation, G.L., B.L., R.L., Q.Z., Z.L., L.T. and Z.W.; resources, G.L., B.L., R.L., Q.Z., Z.L., L.T. and Z.W.; data curation, Z.W., G.L. and R.L.; writing—original draft preparation, G.L., B.L., R.L. and Z.W.; writing—review and editing, B.L.; visualization, G.L. and B.L.; supervision, G.L. and B.L. All authors have read and agreed to the published version of the manuscript.
Funding
This research was funded by Project supported by Shandong Province universities Youth Innovation Technology Support Plan (Grant No. 2021KJ023).
Institutional Review Board Statement
Not applicable.
Informed Consent Statement
Not applicable.
Data Availability Statement
Not applicable.
Acknowledgments
The authors gratefully acknowledge the financial supports by Project supported by Shandong Province universities Youth Innovation Technology Support Plan.
Conflicts of Interest
The authors declare no conflict of interest.
References
- Li, W.; Zhang, C.; Yan, H.; Li, W.; Zhang, W. Crosslinking characteristic and mechanism of cross-linked polyethylene insu-lating materials used for high voltage direct current cables. High Volt. Eng. 2017, 43, 3599–3606. [Google Scholar]
- Lei, Q.; Zhang, Q.; Li, Y. Conductive properties of carbon black-polyethylene composites. HIET J. 1990, 1, 49–55. [Google Scholar]
- Li, S.; Cao, B.; Cui, Y.; Kang, Y.; Gao, S.; Li, H.; Dong, H. Terahertz-Based Insulation Delamination Defect Inspection of Vehicle Cable Terminals. IEEE Trans. Transp. Electrif. 2023, 9, 1765–1774. [Google Scholar] [CrossRef]
- Li, S.; Cao, B.; Kang, Y.; Cui, Y.; Dong, H. Nonintrusive Inspection of Moisture Damp in Composited Insulation Structure Based on Terahertz Technology. IEEE Trans. Instrum. Meas. 2021, 70, 3117360. [Google Scholar] [CrossRef]
- Hu, L.; Chen, J.; Li, C.; Zhang, Z.; Zhang, M. Accelerated thermal ageing characteristics of XLPE cable insulation. Insul. Mater. 2020, 53, 59–63. [Google Scholar]
- Zhang, C.; Li, H.; Yang, Y.; Wang, W.; Ren, C. Research progress in ageing, evaluation, and rejuvenation of XLPE cable in-sulation. Insul. Mater. 2020, 53, 1–11. [Google Scholar]
- Li, W.; Wu, L.; Zhang, X.; Zhao, A.; Wang, Y. Research progress in ageing and evaluation of XLPE cable. Insul. Mater. 2016, 49, 36–44+50. [Google Scholar]
- Liu, T.; Li, H.; Xu, L.; Yang, Z. Effects of thermal aging on microstructure and dielectric properties of XLPE. J. Shaanxi Univ. Technol. (Nat. Sci. Ed.) 2021, 37, 1–9+31. [Google Scholar]
- Tian, Y.; Guo, J.; Fu, M.; Hou, S.; Hui, B. Review on power transmission projects with UHVAC XLPE cables. South. Power Syst. Technol. 2016, 10, 30–36+48. [Google Scholar]
- Shao, Z.; Byler, M.I.; Liu, S.; Bowler, N.; Murphy, M.K. Dielectric response of cross-linked polyethylene (XLPE) cable insulation material to radiation and thermal aging. In Proceedings of the 2018 IEEE 2nd International Conference on Dielectrics, Budapest, Hungary, 17 January 2018. [Google Scholar]
- Li, H.; Li, J.; Ma, Y.; Yan, Q. Effects of thermal aging on the crystal structures of the XLPE cable insulating material at different temperatures. Proc. CSEE 2017, 37, 6740–6748. [Google Scholar]
- Boukezzi, L.; Boubakeur, A.; Lallouani, M. Effect of artificial thermal aging on the crystallinity of XLPE insulation cables: X-ray study. In Proceedings of the 2007 Annual Report-Conference on Electrical Insulation and Dielectric Phenomena, Vancouver, BC, Canada, 14–17 October 2007; pp. 65–68. [Google Scholar] [CrossRef]
- Meng, F.-B.; Chen, X.; Dai, C.; Zhang, M.; Paramane, A.; Zheng, L.; Tanaka, Y. Effect of Thermal Ageing on Physico-Chemical and Electrical Properties of EHVDC XLPE Cable Insulation. IEEE Trans. Dielectr. Electr. Insul. 2021, 28, 1012–1019. [Google Scholar] [CrossRef]
- Alghamdi, A.S.; Desuqi, R.K. A study of expected lifetime of XLPE insulation cables working at elevated temperatures by applying accelerated thermal ageing. Heliyon 2020, 6, e03120. [Google Scholar] [CrossRef]
- Li, H.; Li, J.; Ma, Y.; Yan, Q.; Ouyang, B. Degradation trend of thermal and mechanical properties of XLPE cable insulation thermal ageing at different temperatures. Insul. Mater. 2018, 51, 57–63. [Google Scholar]
- Zhang, W.; Chu, X.; Shen, Z.; Luo, Z.; Chen, T.; Zhang, X.; Li, H.; Zhou, F.; Yu, Y.; Li, Q.; et al. Study on aggregation structure and dielectric strength of XLPE cable insulation in accelerated thermal-oxidative aging. Proc. CSEE 2016, 36, 4770–4778. [Google Scholar]
- Kim, C.; Jiang, P.; Liu, F.; Hyon, S.; Ri, M.-G.; Yu, Y.; Ho, M. Investigation on dielectric breakdown behavior of thermally aged cross-linked polyethylene cable insulation. Polym. Test. 2019, 80, 106045. [Google Scholar] [CrossRef]
- He, D.; Zhang, T.; Ma, M.; Gong, W.; Wang, W.; Li, Q. Research on Mechanical, Physicochemical and Electrical Properties of XLPE-Insulated Cables under Electrical-Thermal Aging. J. Nanomater. 2020, 2020, 3968737. [Google Scholar] [CrossRef]
- Kemari, Y.; Mekhaldi, A.; Teyssedre, G.; Teguar, M. Correlations between structural changes and dielectric behavior of thermally aged XLPE. IEEE Trans. Dielectr. Electr. Insul. 2019, 26, 1859–1866. [Google Scholar] [CrossRef]
- Zhao, W.; Zhang, Z.; Hu, L.; Yang, X.; Wang, S.; Zhong, L. Effects of 500 kV submarine cable factory joint insulation recovery on power frequency breakdown and crystalline morphology of XLPE. High Volt. Eng. 2019, 45, 3437–3444. [Google Scholar]
- Dai, X.; Hao, J.; Liu, Z.; Gao, Z.; Li, H.; Zheng, X. Frequency dielectric and breakdown characteristics of main insulation die-lectric for AC 500 kV cross-linked polyethylene submarine cable. Insul. Mater. 2020, 53, 50–58. [Google Scholar]
- Shen, Z.; Liu, B.; Wang, G.; Li, S.; Wang, J.; Huang, J.; Zhang, H.; Zhou, K. Accelerated electrical ageing characteristics of 10 kV XLPE cable. Insul. Mater. 2021, 54, 60–66. [Google Scholar]
- Lei, Q.; Liu, G. How to understand the two basic physical processes of polarization and conductance in engineering dielectrics and scientific principles and methods of their measurement. Proc. CSEE 2018, 38, 6769–6789+7113. [Google Scholar]
- Li, Y.; Hua, X.; Dai, Y.; Liu, Z.; Wang, C. Study on molecular structure change and micro-mechanism of electrical aging of XLPE dielectric materials under external electric fields. J. At. Mol. Phys. 2019, 36, 8. [Google Scholar]
- Zhang, Y. Research on Characteristics of XLPE after DC Electro-Thermal Aging. Master’s Thesis, North China Electric Power University, Beijing, China, 2018. [Google Scholar]
Disclaimer/Publisher’s Note: The statements, opinions and data contained in all publications are solely those of the individual author(s) and contributor(s) and not of MDPI and/or the editor(s). MDPI and/or the editor(s) disclaim responsibility for any injury to people or property resulting from any ideas, methods, instructions or products referred to in the content. |
© 2023 by the authors. Licensee MDPI, Basel, Switzerland. This article is an open access article distributed under the terms and conditions of the Creative Commons Attribution (CC BY) license (https://creativecommons.org/licenses/by/4.0/).






