The Influence of Aspect Ratio of Steel Fibers on the Conductive and Mechanical Properties of Compound Cement Reactive Powder Concrete
Abstract
1. Introduction
2. Experimental
2.1. Raw Materials
2.2. Specimen Preparation
2.3. Measurement Method
2.3.1. The Experiments of Mechanical Strengths
2.3.2. The Experiments of Flexural Toughness
2.3.3. The Experiments of Electrical Properties
2.3.4. The Experiments of Micro Analysis
3. Results and Discussions
3.1. Mechanical Performance Analysis
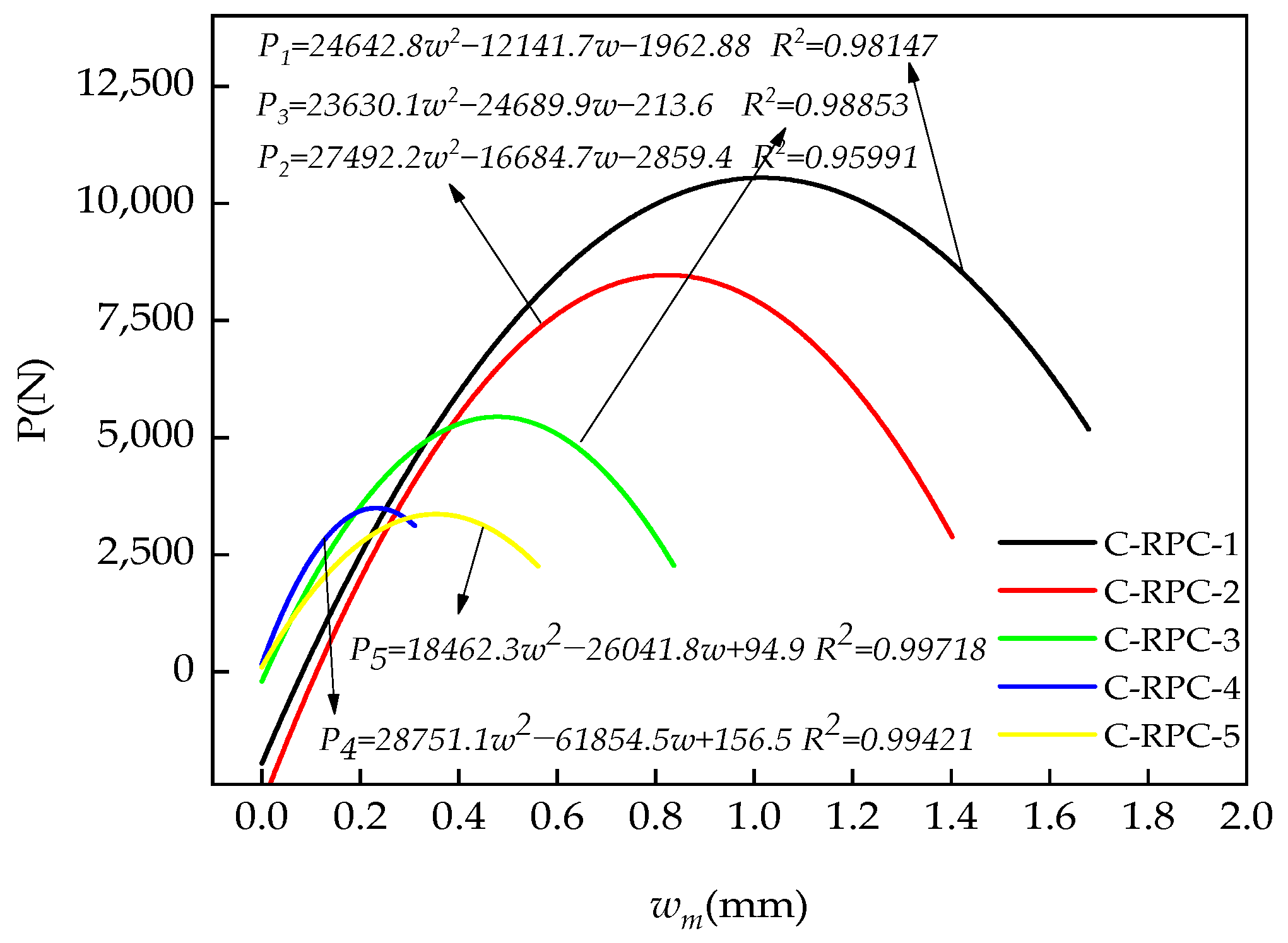
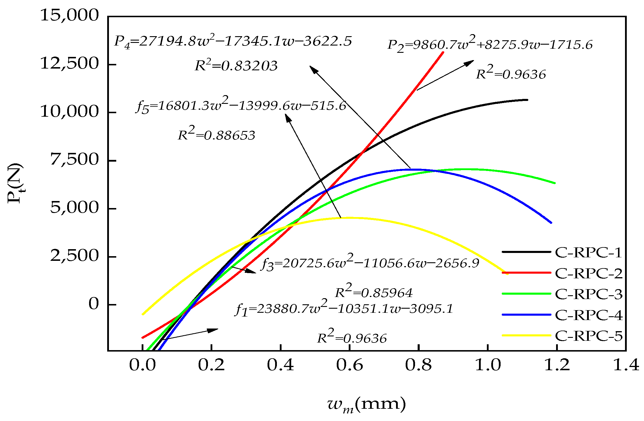
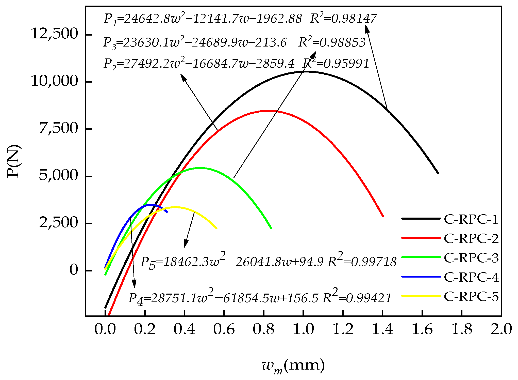
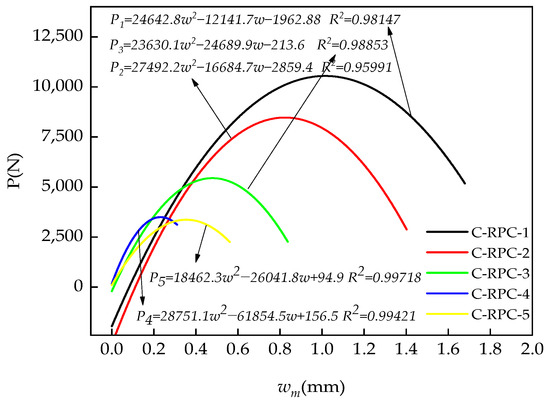
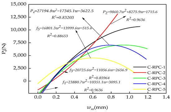
3.2. Flexural Toughness Analysis
3.3. Electrical Performance Analysis
3.4. Micro Analysis
4. Conclusions
Author Contributions
Funding
Institutional Review Board Statement
Informed Consent Statement
Data Availability Statement
Conflicts of Interest
References
- Sun, J.; Wang, X.; Yin, X.; Wang, W.; Chen, B.; Xiong, J. Future trends and development characteristics of cement industry. China Cement. 2021, 9, 66–69. [Google Scholar]
- Zhang, G. Emergency Repair treatment of cement concrete bridge deck open to traffic damage. Commun. Sci. Technol. Heilongjiang 2016, 39, 160. [Google Scholar]
- Li, C.; Ye, Q. Corrosion status of concrete bridges at home and abroad. Highw. Transp. Technol. 2016, 2, 31–36. [Google Scholar]
- Nemati, M.K.; Uhlmeyer, J.S. Accelerated construction of urban intersections with Portland Cement Concrete Pavement (PCCP). Case Stud. Constr. Mater. 2021, 14, e00499. [Google Scholar] [CrossRef]
- Liang, R.; Zhu, C. Study on basic mechanical properties of hybrid fiber recycled concrete for rapid pavement repair. Jilin Water Resour. 2021, 6, 38–41. [Google Scholar]
- Fu, T.; Guo, B.; Luo, Y.; Zhang, J. Study on ultra high early strength sulphoaluminate cement concrete in concrete pavement repair. Concrete 2018, 02, 140–144. [Google Scholar]
- Aku, S.; Milad, H.; Mohammad, P.; Qiu, X. Electrical impedance tomography-based sensing skin. Dam Saf. 2016, 03, 77–82. [Google Scholar]
- He, L.; Chen, Q.; Jiang, Z. Hydration Based Dynamic Calculation Model for Electric Conductivity of Hardened Cement Paste. J. Build. Mater. 2022, 09, 99–100. [Google Scholar]
- Wang, H.; Cai, X.; Rao, C.; Wang, K.; Wang, J. Mechanical and Electrical Properties of Rapid-Strength Reactive Powder Concrete with Assembly Unit of Sulphoaluminate Cement and Ordinary Portland Cement. Materials 2022, 15, 3371. [Google Scholar] [CrossRef]
- Ren, X. Application of nondestructive testing technology in road and bridge detection. Heilongjiang Sci. 2019, 09, 90–91. [Google Scholar]
- Sirtoli, D.; Wyrzykowski, M.; Riva, P.; Tortelli, S.; Marchi, M.; Lura, P. Shrinkage and creep of high-performance concrete based on calcium sulfoaluminate cement. Cem. Concr. Compos. 2019, 98, 61–73. [Google Scholar] [CrossRef]
- Gołaszewska, M.; Klemczak, B.; Gołaszewski, J. Thermal Properties of Calcium Sulphoaluminate Cement as an Alternative to Ordinary Portland Cement. Materials 2021, 14, 7011. [Google Scholar] [CrossRef] [PubMed]
- Feng, H.; Chen, G.; Hadi, M.; Sheikh, M.; Zhou, B. Mechanical behaviour of micro-fifine steel fifibre reinforced sulphoaluminate cement composite. Constr. Build. Mater. 2018, 170, 91–100. [Google Scholar] [CrossRef]
- Zemir, I.; Debieb, F.; Kenai, S.; Ouldkhaoua, Y.; Irki, I. Strengthening of ordinary vibrated concrete using steel fibers self-compacting concrete. J. Adhes. Sci. Technol. 2020, 34, 1556–1571. [Google Scholar] [CrossRef]
- Ju, Y.; Zhao, J.; Wang, D.; Song, Y. Experimental study on flexural behaviour of reinforced reactive powder concrete pole. Constr. Build. Mater. 2021, 312, 125399. [Google Scholar] [CrossRef]
- Kou, J.; Liu, Y.; Zhang, B. Experimental study on mechanical property and durability of reactive powder concrete. Build. Struct. 2018, 48, 48–54+47. [Google Scholar]
- Wang, Y.; Zhong, C.; Zhang, Y.; Wang, J. Early cracking resistance of reactive powder concrete mixed with steel fiber. J. Jilin Jianzhu Univ. 2022, 39, 12–16. [Google Scholar]
- Li, K.; Li, D.; Liu, Y. Meso-scale investigations on the effective thermal conductivity of multi-phase materials using the finite element method. Int. J. Heat Mass Transf. 2020, 151, 119383. [Google Scholar] [CrossRef]
- Wang, Y.; He, Y.; He, S.; Hong, W.; He, W. Effects of the mixed optimization of PCE on pore structure evolution of cement mortar. New Build. Mater. 2021, 48, 100–105. [Google Scholar]
- Hong, J.; Qiu, J. Performance Research on the Sulfoaluminate Cement Based Rapid Repairing Materials. Sci. Technol. Ind. 2021, 21, 270–273. [Google Scholar]
- Wang, H.; Gao, X.; Liu, J.; Ren, M.; Lu, A. Multi-functional properties of carbon nanofiber reinforced reactive powder concrete. Constr. Build. Mater. 2018, 187, 699–707. [Google Scholar] [CrossRef]
- Han, B.; Zhang, L.; Zhang, C.; Wang, Y.; Yu, X.; Ou, J. Reinforcement effect and mechanism of carbon fibers tomechanical and electrically conductive properties of cement-based materials. Constr. Build. Mater. 2016, 125, 479–489. [Google Scholar] [CrossRef]
- Yavaş, A.; Hasgul, U.; Turker, K.; Birol, T. Effective fiber type investigation on the shear behavior of ultrahigh-performance fiber-reinforced concrete beams. Adv. Struct. Eng. 2019, 22, 1591–1605. [Google Scholar] [CrossRef]
- Qian, X. Study on improving frost thaw resistance and corrosion resistance of bridge concrete with carbon nanofibers. Synth. Fiber China 2022, 51, 54–57+62. [Google Scholar]
- Ma, F.; Chang, Q.; Wang, X. Application of polyacrylonitrile fiber in improving concrete performance. Chem. Ind. 2011, 29, 26–28. [Google Scholar]
- Wang, J. Study on the influence of different amount of steel fiber on mechanical properties of concrete. Jiangxi Build. Mater. 2021, 7, 35–36. [Google Scholar]
- Zhu, H.; Zhou, H.; Gou, H. Evaluation of carbon fiber dispersion in cement-based materials using mechanical properties, conductivity, mass variation coefficient, and microstructure. Constr. Build. Mater. 2021, 266, 120891. [Google Scholar] [CrossRef]
- Jia, E.; Mou, H.; Liu, Z.; Wang, J.; Zeng, L.; Yang, X.; Liu, P. Surface hydrophilic modification of polypropylene fibers and their application in fiber-reinforced cement-based materials. J. Macromol. Sci. 2020, 60, 286–298. [Google Scholar] [CrossRef]
- Hu, L. Research on factors affecting the strength of high performance concrete. Jiangxi Build. Mater. 2015, 19, 177. [Google Scholar]
- Tan, L. Application and research progress of steel fiber reinforced concrete. China Concr. Cem. Prod. 2018, 24, 160. [Google Scholar]
- Niu, L.; Zhang, S.; Wei, Y. The influence of steel fiber content on mechanical properties of concrete. China Concr. Cem. Prod. 2019, 3, 51–54. [Google Scholar]
- Ke, G.; Zhang, J.; Xie, S.; Pei, T. Rheological behavior of calcium sulfoaluminate cement paste with supplementary cementitious materials. Constr. Build. Mater. 2020, 243, 118234. [Google Scholar] [CrossRef]
- GB/T17671-1999; Method of Testing Cements-Determination of Strength. The State Bureau of Quality and Technical Supervision: Beijing, China, 1919.
- Wang, H.; Shi, F.; Shen, J.; Zhang, A.; Zhang, L.; Huang, H.; Liu, J.; Jin, K.; Feng, L.; Tang, Z. Research on the self-sensing and mechanical properties of aligned stainless steel fiber reinforced reactive powder concrete. Cem. Concr. Compos. 2021, 119, 104001. [Google Scholar] [CrossRef]
- Li, F.; Li, X.; Tang, H.; Mu, B.; Jiang, Y.; Feng, L. Experimental Study on Mechanical Properties of Hybrid Fiber UHPC. China Concr. Cem. Prod. 2022, 316, 56–59. [Google Scholar]
- Wang, Y. Experimental Research on Flexural Toughness of Steel Fiber Reinforced Concrete. North. Commun. 2022, 356, 21–25. [Google Scholar]
- Wei, X.; Xiao, L.; Li, Z.; Sui, T. Conductive mechanism and hydration property of cement-based materials with steel fibers. Concrete 2006, 4, 11–13+51. [Google Scholar]
- Wang, R.; He, F.; An, X.; Chen, C. Effect of Dispersion of AC Impedance Spectroscopy of Cement-based Materials with Fly Ash. Bull. Chin. Ceram. Soc. 2016, 35, 1877–1882. [Google Scholar]
- Cui, L.; Wang, H. Research on the Mechanical Strengths and the Following Corrosion Resistance of Inner Steel Bars of RPC with Rice Husk Ash and Waste Fly Ash. Coatings 2021, 11, 1480. [Google Scholar] [CrossRef]














| Particle Size (%) | 0.3 | 0.6 | 1 | 4 | 8 | 64 | 360 | |
|---|---|---|---|---|---|---|---|---|
| Types | ||||||||
| OPC | 0 | 0.34 | 2.67 | 15.00 | 28.76 | 93.60 | 100 | |
| SAC | 0 | 0.34 | 1.90 | 16.37 | 30.13 | 95.16 | 100 | |
| GGBS | 0.026 | 0.2 | 3.54 | 19.65 | 35.05 | 97.7 | 100 | |
| SF | 31.1 | 58.5 | 82.1 | 100 | 100 | 100 | 100 | |
| Types | Chemical Composition (%) | ||||||
|---|---|---|---|---|---|---|---|
| SiO2 | Al2O3 | Fe2O3 | MgO | CaO | SO3 | Ti2O | |
| OPC | 20.90 | 5.46 | 3.93 | 1.71 | 62.22 | 5.78 | / |
| SAC | 13.96 | 22.45 | 2.66 | 2.93 | 42.01 | 14.33 | 1.64 |
| GGBS | 35.62 | 14.75 | 0.25 | 9.72 | 35.91 | 0.24 | 3.50 |
| Types | H2O | OPC | SAC | SF | GGBS | Sand | Water-Reducing Agent | Li2SO4 | Calcium Formate | Tartaric Acid | Defoamer | Aspect Ratio of 75 Steel Fibers | Aspect Ratio of 30 Steel Fibers |
|---|---|---|---|---|---|---|---|---|---|---|---|---|---|
| C-RPC-1 | 244.42 | 740.7 | 740.7 | 370.3 | 111.1 | 977.9 | 20.3 | 0.6 | 2.6 | 1.9 | 0.6 | 15.8 | 0 |
| C-RPC-2 | 244.42 | 740.7 | 740.7 | 370.3 | 111.1 | 977.9 | 20.3 | 0.6 | 2.6 | 1.9 | 0.6 | 11.85 | 3.95 |
| C-RPC-3 | 244.42 | 740.7 | 740.7 | 370.3 | 111.1 | 977.9 | 20.3 | 0.6 | 2.6 | 1.9 | 0.6 | 7.9 | 7.9 |
| C-RPC-4 | 244.42 | 740.7 | 740.7 | 370.3 | 111.1 | 977.9 | 20.3 | 0.6 | 2.6 | 1.9 | 0.6 | 3.95 | 11.85 |
| C-RPC-5 | 244.42 | 740.7 | 740.7 | 370.3 | 111.1 | 977.9 | 20.3 | 0.6 | 2.6 | 1.9 | 0.6 | 0 | 15.8 |
| Tpyes | C-RPC-1 | C-RPC-2 | C-RPC-3 | C-RPC-4 | C-RPC-5 |
|---|---|---|---|---|---|
| Zr | 230.11 | 582.2 | 803.2 | 953.5 | 2033.9 |
| Part | C | O | Si | S | Al | Ca | Te | K | Mg |
|---|---|---|---|---|---|---|---|---|---|
| A | 11.57 | 48.44 | 1.29 | 1.40 | 2.73 | 30.08 | 4.49 | - | - |
| B | 12.42 | 53.71 | 0.22 | - | 0.72 | 32.93 | - | - | - |
| C | 7.12 | 49.93 | 25.08 | 0.90 | 5.03 | 9.36 | 0.74 | 1.20 | 0.64 |
| D | 7.12 | 49.93 | 25.08 | 0.90 | 5.03 | 10.10 | - | 1.20 | 0.64 |
Disclaimer/Publisher’s Note: The statements, opinions and data contained in all publications are solely those of the individual author(s) and contributor(s) and not of MDPI and/or the editor(s). MDPI and/or the editor(s) disclaim responsibility for any injury to people or property resulting from any ideas, methods, instructions or products referred to in the content. |
© 2023 by the authors. Licensee MDPI, Basel, Switzerland. This article is an open access article distributed under the terms and conditions of the Creative Commons Attribution (CC BY) license (https://creativecommons.org/licenses/by/4.0/).
Share and Cite
Liang, Z.; Peng, X.; Wang, H. The Influence of Aspect Ratio of Steel Fibers on the Conductive and Mechanical Properties of Compound Cement Reactive Powder Concrete. Coatings 2023, 13, 331. https://doi.org/10.3390/coatings13020331
Liang Z, Peng X, Wang H. The Influence of Aspect Ratio of Steel Fibers on the Conductive and Mechanical Properties of Compound Cement Reactive Powder Concrete. Coatings. 2023; 13(2):331. https://doi.org/10.3390/coatings13020331
Chicago/Turabian StyleLiang, Zhao, Xi Peng, and Hui Wang. 2023. "The Influence of Aspect Ratio of Steel Fibers on the Conductive and Mechanical Properties of Compound Cement Reactive Powder Concrete" Coatings 13, no. 2: 331. https://doi.org/10.3390/coatings13020331
APA StyleLiang, Z., Peng, X., & Wang, H. (2023). The Influence of Aspect Ratio of Steel Fibers on the Conductive and Mechanical Properties of Compound Cement Reactive Powder Concrete. Coatings, 13(2), 331. https://doi.org/10.3390/coatings13020331
