Abstract
Electrodeposition is commonly employed to coat materials. The effectiveness and endurance of coatings depend on specific process conditions. The characterization of coatings is a costly endeavor, requiring specialized knowledge and expertise. This study presents a novel methodology for analyzing surfaces coated with copper, utilizing computer vision techniques to complement traditional surface characterizations such as the contact angle. The coating under investigation was produced through electrodeposition using a ChCl:2EG:0.1CuCl·2H2O electrolyte. Our findings demonstrate the feasibility of the vision-based method for evaluating superficial copper electrodeposition on sandblasted 304 SS. The proposed vision method holds the potential to expedite the development of new coatings and facilitate the analysis of their characteristics. This, in turn, could enhance the durability of materials and devices across a range of applications.
1. Introduction
In the electrodeposition process, Deep Eutectic Solvents (DES) are commonly used because they allow high solubility of metal salts, electrochemical stability, and a wide potential window compared to aqueous solutions [1,2,3,4,5,6,7]. New studies have reported good results using DES/water mixtures [8]. These studies consider the presence of water in DES as a secondary HBD (hydrogen donor) or cosolvent, establishing the DES–aqueous transition [1,8]. Steel-coated materials could exhibit not only increased wear resistance, high toughness, and a low friction coefficient but also improved corrosion resistance. This has directed the application of the DES–aqueous system toward improved electrochemical characteristics in metal electrodeposition processes, for instance, a greater electrical conductivity [9] and a reduction in the viscosity of the electrolyte.
Surface analysis in this type of research is of paramount importance because the properties defined by the microstructure are closely linked to device performance. The images obtained by microscopy help to understand the composition, morphology, and dynamic behavior of these types of coatings, which are fundamental for the quality control of products and the development of new materials [2,6,10]. Unfortunately, the specialized equipment used to measure the microstructural properties is expensive and might not be available in some laboratories. To overcome this need, computer vision methods have emerged in Material Science [11,12], facilitating the development of new materials by providing characterization tools with significantly lower costs. Vision-based methods have thus become an option to accelerate the implementation of new coatings in steel, contributing to the automation of the analysis and the characterization process [11,13].
This paper proposes a new methodology for analyzing a copper-coated surface, using computer vision methods to complement canonical methods of surface characterization, such as optical micrography. A database was specially designed for this work by collecting images of coatings under 500 magnifications. The coatings were selected from a study of the variation of copper electrodeposition on sandblasted AISI 304 SS using a solvent based on choline chloride (ChCl) and ethylene glycol (EG), and through the incorporation of a small amount of water as a secondary HBD from the starting hydrate CuCl2·H2O. Our computer vision method allowed us to study surface properties such as uniformity and approximate the concentration of the electrodeposited material, with the potential to reduce costs and time in future design processes of copper-coated disks.
2. Materials and Methods
The crystalline phases on the surface of the metallic copper coating were determined through XRD using a Bruker AXS D8 Advance diffractometer (Bruker, Karlsruhe, Germany). The operating conditions were a CuK alpha wavelength of 1.5418 A, a voltage of 40 kV, a current density of 30 mA, and an aperture of 0.02° per second in 2.
2.1. Surface Preparation
The AISI 304 SS disks of a 1 cm area were subjected to sandblasting with silica (SiO) for 5 s at a pressure of 60 psi. Repeated impacts deformed the surface of the substrate and removed material, allowing the hard surface to be homogenized, shaped, and cleaned. The incrustation of blast particles was a side effect of the technique. Sandblasting was carried out using compressed air in an “NSKI Twin-Pen Sandblaster”. Sandblasting was applied, as it is a method widely used in industry for increasing the adhesion of coatings on different substrates [14,15,16,17,18].
2.2. Surface Image Acquisition
Images with depth composition at 500 magnifications were acquired via a digital microscope of the Keyence brand (Mexico City, Mexico) VHX-6000 model.
2.3. Contact Angle Measurement
Hydrophobic properties were evaluated through the measurement of the static contact angle using the SI-CAM2000D instrument (LabGeni, Guangzhou, China).
2.4. Electrochemical Characterization
The cyclic voltammetry (CV) and chronoamperometry were carried out in a 25-mL electrochemical cell, with a configuration of three electrodes (a Ag/Ag+ reference electrode, a platinum counter electrode, and an AISI 304 SS working electrode). The distance between the working and counter electrodes was 5 cm. The mixture of choline chloride with ethylene glycol in a molar ratio of 1:2 was prepared at 70 °C under stirring until the formation of a clear and colorless liquid. This liquid was used to dissolve 0.1 mol of CuCl2H2O under stirring for 1 h at the same temperature. However, since the starting crystalline hydrate was not dried before use, it incorporated 2 wt% water as a secondary HBD into the electrolyte, thus forming a DES–aqueous mixture. DES such as ethaline are hydrophilic and stable in water; when water is added in small amounts (<5 wt%), this liquid is absorbed into the DES structure by forming H bonds with the ions and HBD; beyond that amount of >5 wt% water, it dampens intramolecular interactions in DES, leading to drastic changes in properties [19]. The incorporation of water molecules into the DES intermolecular lattices implies that viscosity decreases rapidly, expanding the volume of fluids, and favoring the diffusion of molecules. This breaks hydrogen bonds between components and forms new bonds such as HBD–choline ion, choline–water ion, HBD–chloride ion, HBD–HBD, HBD–water, and chloride ion water bonds, which are formed between the ethaline and water components, without losing the original structure of DES [20]. HBD bonds, choline ion, and water without chloride activate mass transfer during metallic electrodeposition on the surface. As long as the hydration limit of DES is not exceeded (causing the complete dissociation of its components), the HBD, chloride ion, and water bonds oxidize the coated surface, forming oxides preferentially when adding a high concentration of water [21,22]. The weight percentage of water in the CEG-Cu solution used to create all samples in this article was 2 wt%.
The cyclic voltammetry (CV) and chronoamperometry measurements were fundamental decision points that allowed for the identification of the optimal values of the electric potential and electrodeposition time (Figure 1). Cyclic voltammetry analysis of sandblasted AISI 304 SS disks in the CEG-Cu electrolyte made it possible to determine the electroactive events in the cathode region where metallic coating occurred. The CV was carried out between −2.00 V and 2.00 V, starting from the Open Circuit Potential with a potential sweep from right to left and vice versa.
Figure 1.
Electrochemical decision points of reduction behaviors of Cu(II). (a) Cyclic voltammetry and (b) chronoamperograms of CC-X samples on stainless steel 304 sandblasted disks in the base electrolyte.
Figure 1a shows the reduction zones obtained for copper, from which the electrodeposition conditions were established. Due to the oxidation state of copper in the starting hydrate (Cu(II)), two state changes could be observed before reaching metallic reduction (Cu(0)). The first reduction R took place in an interval ranging from −0.46 to −0.70 V and corresponded to the change in state from Cu(II) to Cu(I), whereas the second reduction R from Cu(I) to Cu(0), in an interval ranging from of −0.82 to −1.50 V, corresponded to the change in state required to obtain the metallic coating. Once the region of copper metallic reduction (R) was identified, the voltages within the interval were evaluated using the resulting chronoamperograms for each disk. The voltage selection process consisted of taking a group of 3 voltage values: one near the lower limit of the interval, another in the middle of the interval, and the last one near the upper limit of the interval. For each of these voltages, three chronoamperograms were performed, varying the electrodeposition times (15, 20, and 25 min), resulting in a matrix of micrographs of the copper coating, taken with the optical microscope. The red line in Figure 1a indicates the optimal voltage parameter, −1.25 V, obtained from the first taken micrographs.
Figure 1b shows the chronoamperograms obtained by varying the electrodeposition time from 25 to 60 min (in increments of 5 min) at the optimum voltage value (−1.25 V) for copper deposition. To evaluate the effect of time on the quality of the electrodeposited coatings, we generated eight samples within this time range. Since time is a crucial factor that significantly impacts the coating quality in electrodeposition techniques, we set a 60 min time limit as the upper threshold for copper coatings, which is a considerable duration [23]. However, based on preliminary experiments, we found that 25 min was sufficient to obtain a uniform coating visible to the naked eye, and we set it as the lower limit. To create the database, we used eight disks and obtained 24 micrographs. We abbreviated the copper-coated disks as CC and assigned a number indicating the minutes of electrodeposition in the nomenclature as CC-t, where t = 25, 30, 35, 40, 45, 50, 55, 60 min, as illustrated in Figure 1b.
Current transients corresponding to chronoamperograms can provide helpful information on the kinetics of electrodeposition, nucleation, and growth [24]. All the transients of the different copper electrodeposition times showed a maximum current that is characteristic of a typical nucleation process. Therefore, we can define that within the interval −1.60 mA −1.33 mA, the nucleation of metallic copper begins and growth continues until the time defined in each case is fulfilled. Due to the current decay exhibited in all cases, the growth of the copper coating was continuous but not uniform due to the sandblasted surface.
2.5. Database
The modification of AISI 304 SS disks was carried out at different levels. The first level in Figure 2 shows how the steel was modified through sandblasting, without adding any type of coating, performing only a sand abrasion procedure. The process allowed the fixation of the metallic coatings with greater effectiveness [25], modifying the smooth surface of the steel.
Figure 2.
Diagram of the protective coating based on copper on AISI 304 stainless steel disks modified by sandblasting.
The copper-coated surface is shown in the second level in Figure 2. The samples obtained at this level changed their hue to a coppery red from the silvery gray characteristic of stainless steel. Copper has been selected as a coating material due to its biocidal properties, which could favor the antibiocorrosion properties of the AISI 304 steel surface, previously reported and evaluated for multiple applications in the maritime industry [26,27,28].
In order to create the database, micrographs, cyclic voltammetries (CVs), and chronoamperograms were used as decision points. The starting material was AISI 304 SS disks, which, according to the ASTM B322-99(2020)e1 standard [29], must be cleaned and degreased. This first procedure on stainless steel disks did not modify the composition and topography of their surface [29], and the micrographs acquired at this level did not represent significant variations in the disks. The sandblasting process was applied to AISI 304 SS disks, modifying their surfaces and improving their properties to fix the following layer. Samples obtained after the sandblasting process did not receive any electrochemical treatment.
The second level in Figure 2 depicts the copper layer. Copper was added by varying the time of the electrodeposition, which was initially 15 min, then was increased to 20 min, and finally, the most uniform layer visible to the naked eye was achieved at 25 min. All initial samples were synthesized using the exact same substances but with varying electrodeposition times. Electrochemical behavior was described using the CV and chronoamperogram results. Both decision points are fundamental in determining the optimal voltages and minimum duration of each electrodeposition process. These factors were established based on empirical knowledge and the literature consulted, taking into account the electrochemical properties of the element deposited on the surface. However, it is important to note that the minimum duration may not always be the optimal value [23,30]. To create the micrograph database, eight disks were considered: CC-25, CC-30, CC-35, CC-40, CC-45, CC-50, CC-55, and CC-60, where the number in CC-x refers to the electrodeposition time. Three pictures of each sample were collected by the optical microscope with magnifications of 500×, for a total of 8 micrographs, which are analyzed and described in the present work.
2.6. Automatic Vision-Based Characterization
The present study involved the analysis of micrographs obtained from different copper-coated steel samples, denoted by the nomenclature CC-t, where t represents the deposition time. All images of the CC-t samples were fixed to a size of 1600 × 1099 pixels and were organized according to their respective nomenclature. The initial micrographs obtained from the non-modified AISI 304 SS disks and the sandblasted samples were highly similar, indicating that the experiment was conducted under reproducible and random temperature, humidity, and atmospheric pressure conditions. However, the micrographs corresponding to the CC-t samples presented variations in coverage due to the differences in the deposition time. The images presented in Figure 3 illustrate the difficulty of distinguishing between disks with copper coatings that were deposited for more than 25 min. The similarity in color and the presence of silver-colored areas corresponding to the sandblasting process on the steel surface make it challenging for even the expert eye to differentiate between these samples. These findings underscore the need for accurate characterization techniques to study the effects of deposition time on the morphology and properties of copper coatings [23].
Figure 3.
Images from the optical microscope of CC-t samples. (a) CC-25, (b) CC-30, (c) CC-35, and (d) CC-40.
The differences in the tonalities and sandblasted areas in the micrographs corresponding to the CC-25 (Figure 3a) and CC-30 (Figure 3b) samples are minimal, so it is difficult to determine which coating is more uniform and which will exhibit better characteristics. The micrographs in Figure 3c,d reveal a similar behavior, where samples CC-35 and CC-40 depict sandblasting marks (in silver) that resemble each other. Here, a computer vision algorithm may help experts determine which sample surfaces exhibit the best uniformity, which could, in turn, be related to anticorrosive properties. To this end, vision segmentation techniques were applied to the generated micrograph dataset.
2.6.1. Copper-Coating Segmentation Based on k-Means
In order to characterize the deposition of the copper coating, a k-means-based color segmentation was developed. The k-means algorithm is an unsupervised machine learning algorithm used for finding groups of data that share similarities. This is achieved by calculating the Euclidean distance between each data point and each centroid (initialization parameter that determines the number of clusters), thus assigning the point to the cluster with the minimum distance. Iteratively, the position of the centroids is updated until convergence is reached, which occurs when there are no more changes in the assignment of data points or centroids [31]. In the context of semantic segmentation, this is useful to define groups of pixels that share color features, since each pixel can be represented as a data point according to the coordinates of the color space in which it is represented [32,33].
Figure 3 shows that the micrographs exhibit wide coppery red tonalities, as well as relatively high illuminance values. These features could be properly represented in the YCbCr color space, as it separates the illuminance in the Y channel and the chromaticity of the red and blue colors in the Cb and Cr channels, respectively [34].
The proposed methodology for segmenting the copper coating in the micrographs is shown in Figure 4. First, the images were converted to the YCbCr color space through a linear transformation of the RGB primary colors. Then, each pixel of the YCbCr color space was represented in the three-dimensional Euclidean space, with the aim of dividing the n pixels into k clusters that share color features using the k-means algorithm. The optimal number of clusters k is defined using the elbow method, which is determined by analyzing how the Within-Cluster Sum of Squares (WCSS) changes as we vary the number of clusters. The optimal number represents a balance between having enough clusters to capture the range of colors in the micrographs and avoiding too many clusters that could overfit the data or make clustering complex [35].
Figure 4.
Flowchart of copper-coating segmentation. The k-means algorithm is used to cluster the coppery red tonalities in the YCbCr color space.
Algorithm 1 depicts how the identification of clusters that share color features was carried out. The input to the algorithm is the clusters . In line 2, the mode M of each cluster is calculated. Lines 3 to 4 express the upper bound and lower bound , respectively. These boundaries are computed from the means and standard deviations of the color masks , obtained using a fixed threshold via the Matlab® Color Thresholder application. From lines 5 to 9, the algorithm identifies s clusters that define the copper color in the micrographs. The result of the cluster grouping is the copper-coating segmentation in .
| Algorithm 1 Cluster_grouping (). |
|
The proposed segmentation for the copper coating was compared to a fixed-threshold segmentation, manually determined using the Matlab® Color Thresholder application in the HSV color space, which allows for a visual assessment of the variations in the hue, saturation, and intensity values of an image pixel. Figure 5 shows this comparison using the CC-25 micrograph (see Figure 4), with Figure 5a being the fixed-threshold segmentation sample and Figure 5c being the sample segmented using the proposed k-means color clustering. The differences between the segmentations performed using the fixed-threshold method and our method are detailed in Figure 5b and Figure 5d, respectively. The zoomed-in regions of the samples highlighted with red frames show the capability of the proposed method to preserve only the coppery red tonalities. This may be explained by the fact that k-means minimizes variations between colors (clusters), conferring adaptability to our method, unlike using a fixed threshold (in which some tonalities of coppery red end up being suppressed). The zoomed-in regions highlighted with green and yellow frames show that our method is able to discriminate between gray tonalities. Finally, in Figure 5d, the zoomed-in regions highlighted with blue frames show the sensitivity of our segmentation technique to preserving even light copper tones.
Figure 5.
Comparison between fixed-threshold segmentation and segmentation using our proposed algorithm based on k-means. (a) Sample of copper-coating segmentation using a fixed threshold, and (b) its zoomed-in regions. (c) Sample of our proposed copper-coating segmentation, and (d) its zoomed-in regions. Pixels in black are not considered deposited copper.
2.6.2. Electrodeposition Factor
In this work, a methodology has been proposed to analyze micrographs, with the aim of extracting quantifiable data through a semi-quantitative analysis. Three main values were derived from the acquisition and processing of images from the CC-t samples for the semi-quantitative analysis. The proposed coefficients are the electrodeposition ratio (), horizontal profile coefficient (), and vertical profile coefficient (). The subscripts, denoted as k in all equations, refer to each of the eight disks obtained in the experiment, where k ranges from 1 to 8.
The electrodeposition ratio () was proposed as a measure of the amount of copper deposited on each of the eight analyzed disks. To obtain this ratio, masks were generated using Algorithm 1. The ratio () was calculated by dividing the number of pixels corresponding to the copper color segmentation by the total number of pixels in the image as follows:
The horizontal profile coefficient () and the vertical profile coefficient () were developed as new ways to evaluate the uniformity of copper deposition on steel. These coefficients were designed to complement the values () for the purposes of determining the uniformity of the deposition. By analyzing the concentration of pixels related to copper, it was found that copper deposition was not homogeneous in several pictures, with accumulations appearing at the top or extreme edges of the micrographs. To describe the way copper was distributed over the surface, we employed a Cartesian plane and analyzed the images along the horizontal and vertical directions. To this end, two vectors were used to store information obtained from the mask matrix. These vectors ( and ) counted the number of ones in each row and column of the matrix, representing the horizontal and vertical pathways, respectively, varying along the Y- and X-axes. Linear regression was performed using and , with the intercept representing the ideal unbiased average distribution. The calculation of the horizontal profile coefficient in each of the images involved computing the horizontal pathway and adjusting it to an interval that allows for values ranging from 0 to 1. Likewise, the vertical profile coefficient was determined using a similar approach. Equations (2) and (3) provide the expressions used to obtain the horizontal profile coefficient and the vertical profile coefficient. The subscripts i and j indicate the vertical and horizontal pathways, respectively. The Y-intercept in the equations is denoted as b for the horizontal analysis and b for the vertical analysis. Additionally, represents the width of the micrograph in pixels, which is fixed at 1099 for all images collected, whereas represents the height, which is fixed at 1600 pixels. and are calculated as follows:
The coefficients for , , and are real numbers ranging from 0 to 1. A value of zero for would indicate a non-coated surface, whereas a value of one would indicate a completely coated surface. For and , values close to one would indicate that the distribution of pixels associated with copper on the surface was uniformly distributed in the horizontal and vertical pathways. Conversely, if the values of these coefficients are close to zero, the distribution may present a bias toward the left or right directions of the micrograph for , and to the upper or lower directions for .
By calculating the average of these three coefficients (Equation (4)), we obtain the electrodeposition factor , a scalar that provides a semi-quantitative reference about the electrodeposition quality, which is calculated as:
The proposed factor was designed to indicate both the amount of copper deposited and the homogeneity of the horizontal and vertical distributions of the micrographs.
3. Results
3.1. Computer Vision Results
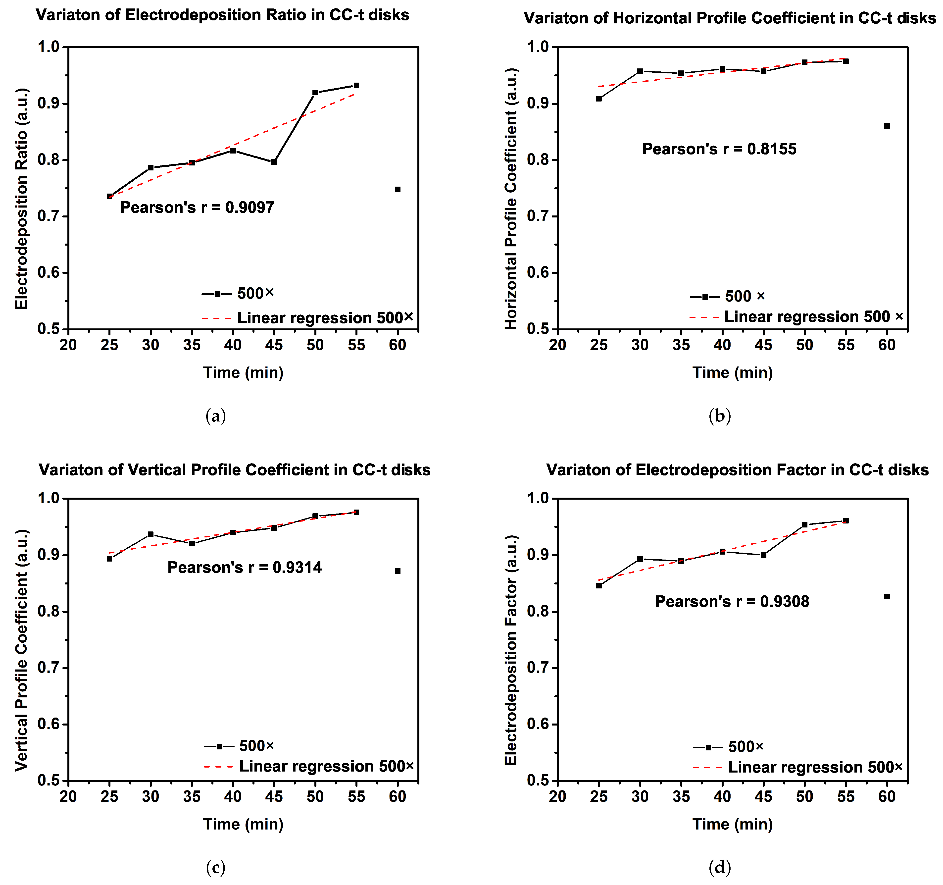
Figure 6 presents the results of the color segmentation procedure applied to the database of micrographs. Figure 6a displays the coefficient of the copper electrodeposition ratio. For this reason, it is suggested to use a magnification of 500× for a qualitative analysis of the surface, as it provides a more proportional representation of the copper coatings and bare stainless steel areas in pixels. The CC-t samples exhibited a linear trend, as can be observed in Figure 6d. The Pearson coefficient was significantly high when excluding the 60 min sample, which is illustrated as an outlier and deviates from the trend. This can be explained by a peeling process in the coating at the 60 min mark, resulting from an excessive electrodeposition time [23]. The Pearson’s r coefficients for the electrodeposition ratio , horizontal profile coefficient , vertical profile coefficient (), and electrodeposition factor () were 0.9097, 0.8155, 0.9314, and 0.9308, respectively. All Pearson’s coefficients suggest significant positive relationships between the respective variables, indicating that changes in one variable are associated with consistent changes in the other. These coefficients demonstrate the strength and direction of the linear relationships between the variables under consideration.
Figure 6.
Graphic representation of the coefficients in the proposed computer vision methodology. (a) Electrodeposition ratio. (b) Horizontal profile coefficient. (c) Vertical profile coefficient. (d) Electrodeposition factor.
The average of the three coefficients mentioned previously, designated as the electrodeposition factor and illustrated in Figure 6d, provides a comprehensive assessment of the surface characteristics, including the quantity of deposited material and its uniformity of distribution.
3.2. Contact Angle of Cu in CC-t Samples
According to Figure 7, the CC-t samples exhibited the property of superhydrophobicity, indicating a contact angle (CA) > 150° [36] using the contact-angle technique. Since the free energy of the surface is inverse to the contact angle, the higher the , the lower the energy needed to maintain the molecules of the material together. This means that superhydrophobic surfaces create a barrier that repels water, which is a desirable property in materials exposed to a marine environment. The highest among the CC-t samples corresponded to CC-50. Superhydrophobicity improves corrosion resistance by reducing the exposure of the substrate to corrosive agents and by retarding the corrosive process through the formation of a protective layer of air [37,38]. The reduction in the contact area between the substrate and corrosive agents, such as water and ions, limits the diffusion of these agents toward the substrate. The protective layer of air trapped in the rough structure of the surface acts as a barrier between the surface and the corrosive environment, preventing or delaying direct contact between the substrate and the corrosive agents. However, it is important to note that although superhydrophobicity provides significant improvements in corrosion resistance, it is not capable of providing complete protection on its own. Other factors, such as the chemical composition of the material, the presence of protective coatings, and environmental conditions, also play a crucial role in corrosion resistance [39,40].
Figure 7.
Graph of the contact angle CA for the variation of copper electrodeposition times in the CEG-Cu electrolyte in the CC-t samples. The attached images correspond to the photographs acquired directly from the measurement equipment.
In Figure 7, the conducted linear regression analysis reveals the association between the contact angle CA () and the varying durations of copper electrodeposition in the CC-t samples using the CEG-Cu electrolyte.
4. Discussion
4.1. Surface Properties Discussion
The characterization of the surface properties of AISI 304 stainless steel resulting from the deposition of metallic copper coating at various times (CC-t) is of great importance, as the properties are intrinsically related to performance and technological applications.
In Section 3, the metallic copper coating was characterized structurally and morphologically. The intended coating was successfully obtained by applying a potential of −1.25 V for a duration of 25 min at room temperature. Subsequently, contact angle measurements were conducted to assess the superhydrophobic properties of the proposed coating.
The resulting data were utilized to identify the optimal electrodeposition time that could yield the most desirable properties for more durable steel. The contact angle measurement provided a means of assessing the coated surface’s susceptibility to medium wettability. At high values (CA > 150°), the surface was categorized as superhydrophobic, which reduces the affinity of biological agents to adhere to the surface, thereby diminishing the likelihood of incrustations on the coating generated by the medium.
4.2. Vision-Based Characterization Discussion
A cumulative correlation plot is a data visualization tool that aids in the examination and analysis of the relationship between two variables. This method demonstrates the distribution of one variable based on another, enabling the detection of trends and patterns that might be difficult to discern from a scatter plot or correlation table. This approach is particularly useful for identifying non-linear relationships or thresholds in data. Furthermore, cumulative correlation plots can be utilized to compare the distribution of a variable across multiple groups. In this study, we employed cumulative correlation plots to investigate how the obtained values after applying color-based segmentation, i.e., the electrodeposition ratio at 500 magnifications () and the electrodeposition factor at 500 magnifications (), were related to the contact angle. The cumulative correlation plots are depicted in Figure 8. In order to analyze the results presented in the figure, it is important to note that the subindex indicates the magnification of the sample. Furthermore, 500× magnifications were chosen (as derived from Figure 6) due to the appropriate proportion between the amount of deposited copper and the exposed areas of the sandblasted steel, with respect to the level of pixels in each collected image.
Figure 8.
Graphic representation of the correlation between the electrodeposition ratio and the electrodeposition factor with the contact angle.
In Figure 8, a more pronounced correlation is evident between and the contact angle in comparison to . This discovery holds particular significance, as it illuminates the intricate relationship among the coating uniformity, contact angle, and quantity of electrodeposited copper. Notably, when analyzing the CC-55 sample, a substantial correlation of approximately 0.73 was observed for , signifying a robust association between the uniformity of the electrodeposited copper and the contact angle. The weak correlation observed between the electrodeposition ratio () and the contact angle can be attributed to a range of factors that influence the contact angle, including environmental conditions, contact time, and surface shape. The experimental findings strongly suggest that the surface shape exerts a significant impact on the samples during the 25 to 55 min period. Generally, rougher surfaces exhibit higher contact angles compared to smoother surfaces. The micrographs obtained at 500 magnifications suggest that the material conglomerates affect the uniformity of the coating, which can be determined using the coefficients of the horizontal and vertical profiles. This finding is evident in the evolution of in this Figure 8.
This study aimed to link the properties of the surfaces of disks, such as color and uniformity, obtained through automatic vision-based characterization, with their contact-angle properties. The optical microscope enabled the analysis of a large number of samples, making the method efficient and useful. The best samples were found to be CC-50 and CC-55 according to the vision methods applied.
5. Conclusions
Optimal values of the electrical potential for copper deposition were established by considering cyclic voltammetry and chronoamperometry. A computer vision-based automated analysis method was proposed, which considered the copper electrodeposition ratio coefficients, horizontal uniformity, and vertical uniformity for each micrograph. This method enabled the establishment of a parameter called the electrodeposition factor, which considers the three variables in a single term. The sample with the highest static contact angle was found to be CC-50, which was consistent with the results obtained from our vision-based automated analysis method. The use of computer vision techniques can enable the linking of surfaces with uniform static contact angles.
It is important to note that the sandblasting method will create uneven coatings, and thus micrographs of deposited copper on sandblasted substrates will result in cases where the visible deposited material is challenging to segment. This, in turn, will require the development of specialized computer vision methods, such as the one proposed in this article, that may not need to be applied on continuous or homogeneous coatings, but that may provide an automatic and useful tool for the complex problem of determining superficial coated areas directly from visual information in sandblasted surfaces.
In future work, we expect to develop new DES-based coatings by adding the computer vision tool to link characteristics such as color, uniformity, and particle size with determining properties such as anticorrosion or antifouling.
Author Contributions
Methodology, C.V., D.C., C.A., G.V. and M.C.; software, D.C., C.A. and M.C.; validation, C.V., G.V. and M.C.; formal analysis, C.V., D.C., C.A., G.V. and M.C.; resources, G.V. and M.C.; writing—original draft preparation, C.V., D.C. and C.A.; writing—review and editing, M.C. and G.V.; project administration, G.V. and M.C.; funding acquisition, G.V. and M.C. All authors have read and agreed to the published version of the manuscript.
Funding
This research was funded by Consejo Nacional de Humanidades Ciencias y Tecnologías (CONAHCYT), project 845101.
Institutional Review Board Statement
Not applicable.
Informed Consent Statement
Not applicable.
Data Availability Statement
The database and computer vision codes used in this paper are available on request via the corresponding author.
Acknowledgments
We wish to express our gratitude to the National Council of Humanities Science and Technology (CONAHCYT) for their support of Project 845101 “Accelerated Discovery of Antibiofouling Materials” as part of the Frontier Science Program in the Synergies Modality (2019). C.V. and C.A. also thank CONAHCYT for scholarships 777285 and 765760, respectively.
Conflicts of Interest
The authors declare no conflict of interest.
Abbreviations
The following abbreviations are used in this manuscript:
| AISI | American Iron and Steel Institute |
| CA | Contact Angle |
| CC-t | Copper-coated sample electrodeposited at t minutes |
| CEG-Cu | ChCl: 2EG: 0.1CuCl·2H2O |
| DES | Diethyl Ether Solvent |
| JCPDS | Joint Committee on Powder Diffraction Standards |
| SS | Stainless Steel |
References
- Abbott, A.P. Deep eutectic solvents and their application in electrochemistry. Curr. Opin. Green Sustain. Chem. 2022, 36, 100649. [Google Scholar] [CrossRef]
- Abbott, A.P.; Edler, K.J.; Page, A.J. Deep eutectic solvents—The vital link between ionic liquids and ionic solutions. J. Chem. Phys. 2021, 155, 150401. [Google Scholar] [CrossRef] [PubMed]
- Hansen, B.B.; Spittle, S.; Chen, B.; Poe, D.; Zhang, Y.; Klein, J.M.; Horton, A.; Adhikari, L.; Zelovich, T.; Doherty, B.W.; et al. Deep Eutectic Solvents: A Review of Fundamentals and Applications. Chem. Rev. 2020, 121, 1232–1285. [Google Scholar] [CrossRef] [PubMed]
- Rao, S.; Zou, X.; Wang, S.; Lu, Y.; Shi, T.; Hsu, H.Y.; Xu, Q.; Lu, X. Electrodeposition of Ni-Cu alloy films from nickel matte in deep eutectic solvent. Mater. Chem. Phys. 2019, 232, 6–15. [Google Scholar] [CrossRef]
- Jenkin, G.R.; Al-Bassam, A.Z.; Harris, R.C.; Abbott, A.P.; Smith, D.J.; Holwell, D.A.; Chapman, R.J.; Stanley, C.J. The application of deep eutectic solvent ionic liquids for environmentally-friendly dissolution and recovery of precious metals. Miner. Eng. 2016, 87, 18–24. [Google Scholar] [CrossRef]
- Abbott, A.P.; Ballantyne, A.; Harris, R.C.; Juma, J.A.; Ryder, K.S.; Forrest, G. A Comparative Study of Nickel Electrodeposition Using Deep Eutectic Solvents and Aqueous Solutions. Electrochim. Acta 2015, 176, 718–726. [Google Scholar] [CrossRef]
- Sebastián, P.; Vallés, E.; Gómez, E. Copper electrodeposition in a deep eutectic solvent. First stages analysis considering Cu(I) stabilization in chloride media. Electrochim. Acta 2014, 123, 285–295. [Google Scholar] [CrossRef]
- Hammond, O.S.; Bowron, D.T.; Edler, K.J. The Effect of Water upon Deep Eutectic Solvent Nanostructure: An Unusual Transition from Ionic Mixture to Aqueous Solution. Angew. Chem. Int. Ed. 2017, 56, 9782–9785. [Google Scholar] [CrossRef]
- Guo, Y.; Li, W.; Liu, X.; Sugio, K.; Ke, Y.; Wang, K.; Liu, W.; Sasaki, G. Effect of copper coating on interfacial properties, interfacial thermal resistance, microstructure evolution and mechanical properties of aluminum matrix composites. J. Alloys Compd. 2022, 917, 165376. [Google Scholar] [CrossRef]
- Kamachi Mudali, U. Chapter 3—Materials for Hostile Corrosive Environments. In Materials Under Extreme Conditions; Tyagi, A., Banerjee, S., Eds.; Elsevier: Amsterdam, The Netherland, 2017; pp. 91–128. [Google Scholar] [CrossRef]
- Oganov, A.R.; Saleh, G.; Kvashnin, A.G. (Eds.) Computational Materials Discovery; Royal Society of Chemistry: Cambridge, UK, 2018. [Google Scholar]
- DeCost, B.L.; Holm, E.A. Characterizing powder materials using keypoint-based computer vision methods. Comput. Mater. Sci. 2017, 126, 438–445. [Google Scholar] [CrossRef]
- De Luna, P. (Ed.) Accelerated Materials Discovery; De Gruyter STEM, De Gruyter: Berlin, Germany, 2022. [Google Scholar]
- Rudawska, A.; Danczak, I.; Müller, M.; Valasek, P. The effect of sandblasting on surface properties for adhesion. Int. J. Adhes. Adhes. 2016, 70, 176–190. [Google Scholar] [CrossRef]
- Bechikh, A.; Klinkova, O.; Maalej, Y.; Tawfiq, I.; Nasri, R. Sandblasting parameter variation effect on galvanized steel surface chemical composition, roughness and free energy. Int. J. Adhes. Adhes. 2020, 102, 102653. [Google Scholar] [CrossRef]
- Miturska-Barańska, I.; Rudawska, A.; Doluk, E. The Influence of Sandblasting Process Parameters of Aerospace Aluminium Alloy Sheets on Adhesive Joints Strength. Materials 2021, 14, 6626. [Google Scholar] [CrossRef] [PubMed]
- Krawczyk, J.; Bembenek, M.; Frocisz; Śleboda, T.; Paćko, M. The Effect of Sandblasting on Properties and Structures of the DC03/1.0347, DC04/1.0338, DC05/1.0312, and DD14/1.0389 Steels for Deep Drawing. Materials 2021, 14, 3540. [Google Scholar] [CrossRef]
- Qomariah, Q.; Rochman, T. On the Review of Utilization of Sandblasting Waste in Concrete: Cracks Propagation and Sem Results. Civ. Eng. Archit. 2023, 11, 101–113. [Google Scholar] [CrossRef]
- Ma, C.; Laaksonen, A.; Liu, C.; Lu, X.; Ji, X. The peculiar effect of water on ionic liquids and deep eutectic solvents. Chem. Soc. Rev. 2018, 47, 8685–8720. [Google Scholar] [CrossRef]
- Zhekenov, T.; Toksanbayev, N.; Kazakbayeva, Z.; Shah, D.; Mjalli, F.S. Formation of type III Deep Eutectic Solvents and effect of water on their intermolecular interactions. Fluid Phase Equilibria 2017, 441, 43–48. [Google Scholar] [CrossRef]
- Gamarra, J.D.; Marcoen, K.; Hubin, A.; Hauffman, T. Effect of excess hydrogen bond donors on the electrode-electrolyte interface between choline chloride-ethylene glycol based solvents and copper. J. Electroanal. Chem. 2020, 857, 113732. [Google Scholar] [CrossRef]
- May, P.M.; Ritchie, I.M.; Tan, E.T. The corrosion of copper in ethylene glycol-water mixtures containing chloride ions. J. Appl. Electrochem. 1991, 21, 358–364. [Google Scholar] [CrossRef]
- Lekka, M. Electrochemical Deposition of Composite Coatings. In Encyclopedia of Interfacial Chemistry; Elsevier: Amsterdam, The Netherlands, 2018; pp. 54–67. [Google Scholar] [CrossRef]
- Ramos-Lora, N.; Mendoza-Huizar, L.H.; Rios Reyes, C.H. Cobalt electrodeposition onto stainless steel 304 from ammonical solutions. J. Chil. Chem. Soc. 2011, 56, 631–634. [Google Scholar] [CrossRef]
- Steiner, R. ASM Handbook: ASM Handbook Volume 1: Irons, Steels and High-Performance Alloys; ASM Handbooks; ASM International: Detroit, MI, USA, 1990. [Google Scholar]
- Kyei, S.K.; Darko, G.; Akaranta, O. Chemistry and application of emerging ecofriendly antifouling paints: A review. J. Coat. Technol. Res. 2020, 17, 315–332. [Google Scholar] [CrossRef]
- Nurioglu, A.G.; Esteves, A.C.C.; de With, G. Non-toxic, non-biocide-release antifouling coatings based on molecular structure design for marine applications. J. Mater. Chem. 2015, 3, 6547–6570. [Google Scholar] [CrossRef] [PubMed]
- Qiu, H.; Feng, K.; Gapeeva, A.; Meurisch, K.; Kaps, S.; Li, X.; Yu, L.; Mishra, Y.K.; Adelung, R.; Baum, M. Functional polymer materials for modern marine biofouling control. Prog. Polym. Sci. 2022, 127, 101516. [Google Scholar] [CrossRef]
- ASTM International. Standard Guide for Cleaning Metals Prior to Electroplating; Technical Report, American Electroplaters’ Society Endorsed by National Association of Metal Finishers; ASM International: Detroit, MI, USA, 2020. [Google Scholar]
- Martinez-Monteagudo, S.I. Electrochemical Analysis. In Encyclopedia of Dairy Sciences; Elsevier: Amsterdam, The Netherlands, 2022; pp. 363–369. [Google Scholar] [CrossRef]
- Ahmed, M.; Seraj, R.; Islam, S.M.S. The k-means Algorithm: A Comprehensive Survey and Performance Evaluation. Electronics 2020, 9, 1295. [Google Scholar] [CrossRef]
- Zheng, X.; Lei, Q.; Yao, R.; Gong, Y.; Yin, Q. Image segmentation based on adaptive K-means algorithm. EURASIP J. Image Video Process. 2018, 2018, 68. [Google Scholar] [CrossRef]
- Vorobel, R.; Ivasenko, I.; Berehulyak, O.; Mandzii, T. Segmentation of rust defects on painted steel surfaces by intelligent image analysis. Autom. Constr. 2021, 123, 103515. [Google Scholar] [CrossRef]
- Sharif, J.M.; Miswan, M.F.; Ngadi, M.A.; Salam, M.S.H.; bin Abdul Jamil, M.M. Red blood cell segmentation using masking and watershed algorithm: A preliminary study. In Proceedings of the 2012 International Conference on Biomedical Engineering (ICoBE), Penang, Malaysia, 27–28 February 2012; IEEE: Manhattan, NY, USA, 2012. [Google Scholar] [CrossRef]
- Syakur, M.A.; Khotimah, B.K.; Rochman, E.M.S.; Satoto, B.D. Integration K-Means Clustering Method and Elbow Method For Identification of The Best Customer Profile Cluster. IOP Conf. Ser. Mater. Sci. Eng. 2018, 336, 012017. [Google Scholar] [CrossRef]
- Liu, E.; Yin, X.; Hu, J.; Yu, S.; Zhao, Y.; Xiong, W. Fabrication of a biomimetic hierarchical superhydrophobic Cu-Ni coating with self-cleaning and anti-corrosion properties. Colloids Surf. Physicochem. Eng. Asp. 2020, 586, 124223. [Google Scholar] [CrossRef]
- Zheng, L.; Luo, S. Fabrication of a durable superhydrophobic surface with corrosion resistance on copper. Int. J. Electrochem. Sci. 2023, 18, 100093. [Google Scholar] [CrossRef]
- Darband, G.B.; Aliofkhazraei, M.; Khorsand, S.; Sokhanvar, S.; Kaboli, A. Science and Engineering of Superhydrophobic Surfaces: Review of Corrosion Resistance, Chemical and Mechanical Stability. Arab. J. Chem. 2020, 13, 1763–1802. [Google Scholar] [CrossRef]
- Gupta, R.; Verma, R.; Kango, S.; Constantin, A.; Kharia, P.; Saini, R.; Kudapa, V.K.; Mittal, A.; Prakash, J.; Chamoli, P. A critical review on recent progress, open challenges, and applications of corrosion-resistant superhydrophobic coating. Mater. Today Commun. 2023, 34, 105201. [Google Scholar] [CrossRef]
- Jiang, F.; Zhu, T.; Kuang, Y.; Wu, H.; Li, S. Superhydrophobic copper coating with ultrahigh corrosion resistance by electrodeposition process in a deep eutectic solvent. Chem. Phys. Lett. 2023, 811, 140197. [Google Scholar] [CrossRef]
Disclaimer/Publisher’s Note: The statements, opinions and data contained in all publications are solely those of the individual author(s) and contributor(s) and not of MDPI and/or the editor(s). MDPI and/or the editor(s) disclaim responsibility for any injury to people or property resulting from any ideas, methods, instructions or products referred to in the content. |
© 2023 by the authors. Licensee MDPI, Basel, Switzerland. This article is an open access article distributed under the terms and conditions of the Creative Commons Attribution (CC BY) license (https://creativecommons.org/licenses/by/4.0/).







