Improving Mechanical and Tribological Behaviors of GLC Films on NBR under Water Lubrication by Doping Ti and N
Abstract
:1. Introduction
2. Experimental Details
2.1. Deposition Method
2.2. Experiment Methods
3. Results and Discussion
3.1. Surface Morphology and Topography
3.2. Bonding Structure and Chemical Composition
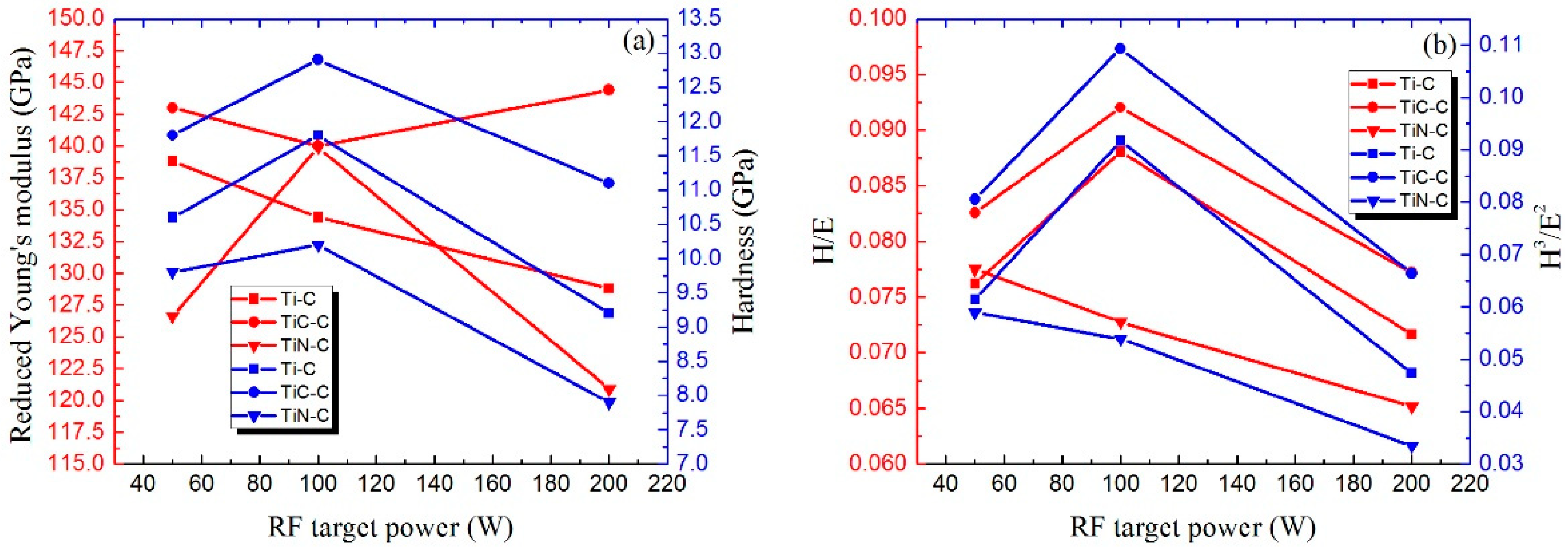
3.3. Mechanical Properties
3.4. Friction Behavior
3.5. Wear Behavior
4. Conclusions
- (a)
- For Ti-C and TiC-C series, at low RF power, the incorporation of Ti and N has little effect on the connectivity of the amorphous carbon matrix. Additionally, newly formed dopant groups like TiO2, TiC and Ti(C,N), etc., have a strengthening effect on the structure of GLC films, thereby optimizing the surface topology, improving the mechanical properties (H = 9.2 Gpa~12.9 GPa, E = 128.8 Gpa~143.0 GPa) and maintaining good adhesion to NBR substrate. In return, better surface and mechanical properties can impressively optimize the lubrication and reduce the wear under mixed (CoF = 0.061~0.072 and K = 6.4 × 10−8 mm3/Nm~10.5 × 10−8 mm3/Nm) and boundary (CoF = 0.090~0.137 and K = 13.6 × 10−8 mm3/Nm~20.8 × 10−8 mm3/Nm) lubrication.
- (b)
- For Ti-C and TiC-C series, when RF power grows to 200 W, the dopant groups grow, along with the emergence of more dopant oxides. The connectivity and stability of amorphous carbon structures are destroyed, resulting in the deterioration of mechanical and surface properties. The worse surface and mechanical properties lead to fatigue delamination of films in water and a combination of adhesive and abrasive wear under boundary lubrication. Consequently, the friction coefficient and wear rate both grow under mixed (CoF = 0.075~0.087 and K = 10.9 × 10−8 mm3/Nm~11.2 × 10−8 mm3/Nm) and boundary (CoF = 0.152~0.180 and K = 23.7 × 10−8 mm3/Nm~30.5 × 10−8 mm3/Nm) lubrication.
- (c)
- Unlike the Ti-C and TiC-C films, the incorporated TiN hardly bonds to amorphous carbon atoms and survives as a solid solution in the carbon matrix. The dopant TiN and oxide destroy the connectivity and stability of the amorphous carbon structure and grow larger with RF power, which increases the internal stress of the film, resulting in poor adhesion and mechanical properties. More surface defects and degraded mechanical properties make (Ti:N)-GLC films suffer from severe fatigue delamination under water lubrication, meanwhile more wear debris aggravates adhesive and abrasive wear, leading to film failure eventually. Therefore, (Ti:N)-GLC films of the TiN-C series take no advantage over GLC films under water lubrication (CoF = 0.080~0.230 and K = 11.6 × 10−8 mm3/Nm~49.6 × 10−8 mm3/Nm), and even worse in the case of higher RF power (CoF > 0.250 and K > 52.0 × 10−8 mm3/Nm).
Author Contributions
Funding
Institutional Review Board Statement
Informed Consent Statement
Data Availability Statement
Acknowledgments
Conflicts of Interest
References
- Zaghloul, M.M.Y.; Zaghloul, M.M.Y. Influence of Flame Retardant Magnesium Hydroxide on the Mechanical Properties of High Density Polyethylene Composites. J. Reinf. Plast. Compos. 2017, 36, 1802–1816. [Google Scholar] [CrossRef]
- Zaghloul, M.M.Y.; Mohamed, Y.S.; El-Gamal, H. Fatigue and Tensile Behaviors of Fiber-Reinforced Thermosetting Composites Embedded with Nanoparticles. J. Compos. Mater. 2019, 53, 709–718. [Google Scholar] [CrossRef]
- Fuseini, M.; Zaghloul, M.M.Y.; Elkady, M.F.; El-Shazly, A.H. Evaluation of Synthesized Polyaniline Nanofibres as Corrosion Protection Film Coating on Copper Substrate by Electrophoretic Deposition. J. Mater. Sci. 2022, 57, 6085–6101. [Google Scholar] [CrossRef]
- Mahmoud Zaghloul, M.Y.; Yousry Zaghloul, M.M.; Yousry Zaghloul, M.M. Developments in Polyester Composite Materials—An in-Depth Review on Natural Fibres and Nano Fillers. Compos. Struct. 2021, 278, 114698. [Google Scholar] [CrossRef]
- Zaghloul, M.M.Y.; Zaghloul, M.Y.M.; Zaghloul, M.M.Y. Experimental and Modeling Analysis of Mechanical-Electrical Behaviors of Polypropylene Composites Filled with Graphite and MWCNT Fillers. Polym. Test. 2017, 63, 467–474. [Google Scholar] [CrossRef]
- Qiang, L.; Bai, C.; Gong, Z.; Liang, A.; Zhang, J. Microstructure, Adhesion and Tribological Behaviors of Si Interlayer/Si Doping Diamond-like Carbon Film Developed on Nitrile Butadiene Rubber. Diam. Relat. Mater. 2019, 92, 208–218. [Google Scholar] [CrossRef]
- Wang, Y.; Wang, L.; Xue, Q. Improving the Tribological Performances of Graphite-like Carbon Films on Si3N4 and SiC by Using Si Interlayers. Appl. Surf. Sci. 2011, 257, 10246–10253. [Google Scholar] [CrossRef]
- Lubwama, M.; McDonnell, K.A.; Kirabira, J.B.; Sebbit, A.; Sayers, K.; Dowling, D.; Corcoran, B. Characteristics and Tribological Performance of DLC and Si-DLC Films Deposited on Nitrile Rubber. Surf. Coat. Technol. 2012, 206, 4585–4593. [Google Scholar] [CrossRef]
- Lubwama, M.; Corcoran, B.; McDonnell, K.A.; Dowling, D.; Kirabira, J.B.; Sebbit, A.; Sayers, K. Flexibility and Frictional Behaviour of DLC and Si-DLC Films Deposited on Nitrile Rubber. Surf. Coat. Technol. 2014, 239, 84–94. [Google Scholar] [CrossRef]
- Wang, Y.; Wang, L.; Wang, S.C.; Zhang, G.; Wood, R.J.K.; Xue, Q. Nanocomposite Microstructure and Environment Self-Adapted Tribological Properties of Highly Hard Graphite-like Film. Tribol. Lett. 2010, 40, 301–310. [Google Scholar] [CrossRef]
- Kulikovsky, V.; Bohac, P.; Franc, F.; Deineka, A.; Vorlicek, V.; Jastrabik, L. Hardness, intrinsic stress, and structure of the a-C and a-C:H films prepared by magnetron sputtering. Diam. Relat. Mater. 2001, 10, 1076–1081. [Google Scholar] [CrossRef]
- Field, S.K.; Jarratt, M.; Teer, D.G. Tribological Properties of Graphite-like and Diamond-like Carbon Coatings. Tribol. Int. 2004, 37, 949–956. [Google Scholar] [CrossRef]
- Masami, I.; Haruho, M.; Tatsuya, M.; Junho, C. Low Temperature Si-DLC Coatings on Fluoro Rubber by a Bipolar Pulse Type PBII System. Surf. Coat. Technol. 2011, 206, 999–1002. [Google Scholar] [CrossRef]
- Nakahigashi, T.; Tanaka, Y.; Miyake, K.; Oohara, H. Properties of Flexible DLC Film Deposited by Amplitude-Modulated RF P-CVD. Tribol. Int. 2004, 37, 907–912. [Google Scholar] [CrossRef]
- Bui, X.L.; Pei, Y.T.; Mulder, E.D.G.; De Hosson, J.T.M. Adhesion Improvement of Hydrogenated Diamond-like Carbon Thin Films by Pre-Deposition Plasma Treatment of Rubber Substrate. Surf. Coat. Technol. 2009, 203, 1964–1970. [Google Scholar] [CrossRef] [Green Version]
- Niiyama, Y.; Shimizu, N.; Kuwayama, A.; Okada, H.; Takeno, T.; Kurihara, K.; Adachi, K. Friction and Delamination Properties of Self-Mating Diamond-Like Carbon Coatings in Water. Tribol. Lett. 2016, 62, 3–9. [Google Scholar] [CrossRef]
- Wang, Y.; Li, J.; Shan, L.; Chen, J.; Xue, Q. Tribological Performances of the Graphite-like Carbon Films Deposited with Different Target Powers in Ambient Air and Distilled Water. Tribol. Int. 2014, 73, 17–24. [Google Scholar] [CrossRef]
- Wang, Y.; Wang, L.; Xue, Q. Controlling Wear Failure of Graphite-like Carbon Film in Aqueous Environment: Two Feasible Approaches. Appl. Surf. Sci. 2011, 257, 4370–4376. [Google Scholar] [CrossRef]
- Chen, J.; Wang, Y.; Li, H.; Ji, L.; Wu, Y.; Lv, Y.; Liu, X.; Fu, Y.; Zhou, H. Microstructure, Morphology and Properties of Titanium Containing Graphite-like Carbon Films Deposited by Unbalanced Magnetron Sputtering. Tribol. Lett. 2013, 49, 47–59. [Google Scholar] [CrossRef]
- Wang, Y.; Li, H.; Ji, L.; Liu, X.; Wu, Y.; Lv, Y.; Fu, Y.; Zhou, H.; Chen, J. Synthesis and Characterization of Titanium-Containing Graphite-like Carbon Films with Low Internal Stress and Superior Tribological Properties. J. Phys. D Appl. Phys. 2012, 45, 295301. [Google Scholar] [CrossRef]
- Wang, L.; Guan, X.; Zhang, G. Friction and Wear Behaviors of Carbon-Based Multilayer Coatings Sliding against Different Rubbers in Water Environment. Tribol. Int. 2013, 64, 69–77. [Google Scholar] [CrossRef]
- Chen, T.; Wu, X.; Ge, Z.; Ruan, J.; Lv, B.; Zhang, J. Achieving Low Friction and Wear under Various Humidity Conditions by Co-Doping Nitrogen and Silicon into Diamond-like Carbon Films. Thin Solid Film. 2017, 638, 375–382. [Google Scholar] [CrossRef]
- Ray, S.C.; Pong, W.F.; Papakonstantinou, P. Iron, Nitrogen and Silicon Doped Diamond like Carbon (DLC) Thin Films: A Comparative Study. Thin Solid Film. 2016, 610, 42–47. [Google Scholar] [CrossRef]
- Mabuchi, Y.; Higuchi, T.; Weihnacht, V. Effect of Sp2/Sp3 Bonding Ratio and Nitrogen Content on Friction Properties of Hydrogen-Free DLC Coatings. Tribol. Int. 2013, 62, 130–140. [Google Scholar] [CrossRef]
- Baker, M.A.; Hammer, P. Study of the Chemical Composition and Microstructure of Ion Beam-Deposited CNx Films Including an XPS C 1s Peak Simulation. Surf. Interface Anal. 1997, 25, 301–314. [Google Scholar] [CrossRef]
- Pei, Y.T.; Bui, X.L.; Van Der Pal, J.P.; Martinez-Martinez, D.; Zhou, X.B.; De Hosson, J.T.M. Flexible Diamond-like Carbon Films on Rubber: On the Origin of Self-Acting Segmentation and Film Flexibility. Acta Mater. 2012, 60, 5526–5535. [Google Scholar] [CrossRef] [Green Version]
- Lubwama, M.; Corcoran, B.; Sayers, K.; Kirabira, J.B.; Sebbit, A.; McDonnell, K.A.; Dowling, D. Adhesion and Composite Micro-Hardness of DLC and Si-DLC Films Deposited on Nitrile Rubber. Surf. Coat. Technol. 2012, 206, 4881–4886. [Google Scholar] [CrossRef]
- D3359-17; Standard Test Methods for Measuring Adhesion by Tape Test 1. ASTM International: West Conshohocken, PA, USA, 2012; pp. 1–8.
- Cui, J.; Qiang, L.; Zhang, B.; Ling, X.; Yang, T.; Zhang, J. Mechanical and Tribological Properties of Ti-DLC Films with Different Ti Content by Magnetron Sputtering Technique. Appl. Surf. Sci. 2012, 258, 5025–5030. [Google Scholar] [CrossRef]
- Liu, J.Q.; Wu, Z.Y.; Cao, H.T.; Wen, F.; Pei, Y.T. Effect of Bias Voltage on the Tribological and Sealing Properties of Rubber Seals Modified by DLC Films. Surf. Coat. Technol. 2019, 360, 391–399. [Google Scholar] [CrossRef]
- Bai, W.Q.; Li, L.L.; Wang, X.L.; He, F.F.; Liu, D.G.; Jin, G.; Tu, J.P. Effects of Ti Content on Microstructure, Mechanical and Tribological Properties of Ti-Doped Amorphous Carbon Multilayer Films. Surf. Coat. Technol. 2015, 266, 70–78. [Google Scholar] [CrossRef]
- Agudelo, L.C.; Ospina, R.; Castillo, H.A.; Devia, A. Synthesis of Ti/TiN/TiCN Coatings Grown in Graded Form by Sputtering Dc. Phys. Scr. T 2008, T131, 014006. [Google Scholar] [CrossRef]
- Cai, Y.; Wang, R.Y.; Liu, H.D.; Luo, C.; Wan, Q.; Liu, Y.; Chen, H.; Chen, Y.M.; Mei, Q.S.; Yang, B. Investigation of (Ti:N)-DLC Coatings Prepared by Ion Source Assisted Cathodic Arc Ion-Plating with Varying Ti Target Currents. Diam. Relat. Mater. 2016, 69, 183–190. [Google Scholar] [CrossRef]
- Lewin, E.; Persson, P.O.; Lattemann, M.; Stüber, M.; Gorgoi, M.; Sandell, A.; Ziebert, C.; Schäfers, F.; Braun, W.; Halbritter, J.; et al. On the Origin of a Third Spectral Component of C1s XPS-Spectra for Nc-TiC/a-C Nanocomposite Thin Films. Surf. Coat. Technol. 2008, 202, 3563–3570. [Google Scholar] [CrossRef]
- Wang, Q.; Zhou, F.; Zhou, Z.; Yang, Y.; Yan, C.; Wang, C.; Zhang, W.; Li, L.K.Y.; Bello, I.; Lee, S.T. Influence of Carbon Content on the Microstructure and Tribological Properties of TiN(C) Coatings in Water Lubrication. Surf. Coat. Technol. 2012, 206, 3777–3787. [Google Scholar] [CrossRef]
- Raman, K.H.T.; Kiran, M.S.R.N.; Ramamurty, U.; Rao, G.M. Structure and Mechanical Properties of TiC Films Deposited Using Combination of Pulsed DC and Normal DC Magnetron Co-Sputtering. Appl. Surf. Sci. 2012, 258, 8629–8635. [Google Scholar] [CrossRef]
- Oliver, W.C.; Pharr, G.M. An Improved Technique for Determining Hardness and Elastic Madulus Using Load and Displacement. J. Mater. Res. 1992, 7, 1564–1583. [Google Scholar] [CrossRef]
- Wang, Q.; Zhou, F.; Zhou, Z.; Yang, Y.; Yan, C.; Wang, C.; Zhang, W.; Li, L.K.Y.; Bello, I.; Lee, S.T. Influence of Ti Content on the Structure and Tribological Properties of Ti-DLC Coatings in Water Lubrication. Diam. Relat. Mater. 2012, 25, 163–175. [Google Scholar] [CrossRef]



















| RF Target | Power (W) | C (at.%) | Ti (at.%) | N (at.%) | O (at.%) |
|---|---|---|---|---|---|
| Ti | 50 | 68.4 | 5.6 | 10.4 | 15.6 |
| 100 | 59.0 | 12.5 | 11.0 | 17.5 | |
| 200 | 54.3 | 17.0 | 12.0 | 16.7 | |
| TiC | 50 | 69.0 | 8.5 | 10.7 | 10.8 |
| 100 | 64.9 | 13.0 | 9.0 | 12.1 | |
| 200 | 62.4 | 16.2 | 7.9 | 13.5 | |
| TiN | 50 | 61.0 | 8.0 | 20.4 | 10.6 |
| 100 | 58.0 | 10.0 | 20.2 | 11.8 | |
| 200 | 52.4 | 17.7 | 16.3 | 13.6 |
| Power (W) | Total Volume Fraction of Bonds (%) | ||||||
|---|---|---|---|---|---|---|---|
| Bonds | Ti-O | TiC | Ti(C,N) | Ti*-C | TiN | Ti-N-O | |
| Peak Position/eV | 458.6/464.5 ± 0.1 | 454.7 ± 0.1/460.6 | 456.9/462.9 | 455.90/462.0 | 455.5/461.4 | 457.0/463.1 | |
| Ti | 50 | 88.9 | 3.6 | 7.5 | |||
| 100 | 80.3 | 6.2 | 13.5 | ||||
| 200 | 64.1 | 20.5 | 15.4 | ||||
| TiC | 50 | 5.2 | 74.5 | 20.3 | |||
| 100 | 8.7 | 70.1 | 21.2 | ||||
| 200 | 14.4 | 68.8 | 16.8 | ||||
| TiN | 50 | 8.1 | 64.5 | 27.4 | |||
| 100 | 10.9 | 74.3 | 14.8 | ||||
| 200 | 11.2 | 75.8 | 13.0 | ||||
| Power (W) | Total Volume Fraction of Bonds (%) | ||||||
|---|---|---|---|---|---|---|---|
| Bonds | C-Ti | C-Ti* | C=C | C-C | C=N | C-O | |
| Peak Position/eV | 282.0 | 282.8 | 284.0 | 284.8 | 286.1 ± 0.1 | 288.1 ± 0.1 | |
| Ti | 50 | 2.1 | 73.9 | 19.9 | 1.2 | 2.9 | |
| 100 | 3.9 | 77.5 | 15.5 | 1.5 | 1.6 | ||
| 200 | 5.3 | 76.3 | 10.7 | 4.6 | 3.1 | ||
| TiC | 50 | 4.5 | 3 | 68.8 | 17.5 | 4.9 | 1.3 |
| 100 | 11.4 | 5.7 | 63.3 | 15.8 | 3.2 | 0.6 | |
| 200 | 14.3 | 6.0 | 59.5 | 14.9 | 1.8 | 3.5 | |
| TiN | 50 | 73.9 | 18.4 | 5.7 | 2.0 | ||
| 100 | 73.0 | 19.0 | 5.8 | 2.2 | |||
| 200 | 82.6 | 14.0 | 1.7 | 1.7 | |||
| Power (W) | Total Volume Fraction of Bonds (%) | ||||||
|---|---|---|---|---|---|---|---|
| Bonds | Ti-N-O | Ti(C,N) | Ti-N | C-N | C=N | N-O | |
| Peak Position/eV | 396.0 | 396.9 | 397.2 ± 0.1 | 398.0 ± 0.1 | 399.1 | 400.7 402.0 | |
| Ti | 50 | 6.3 | 19.6 | 72.5 | 1.6 | ||
| 100 | 6.3 | 20.3 | 69.9 | 3.5 | |||
| 200 | 8.1 | 24.0 | 58.5 | 9.4 | |||
| TiC | 50 | 21.2 | 71.0 | 6.8 | |||
| 100 | 25.9 | 68.0 | 6.1 | ||||
| 200 | 42.8 | 51.5 | 5.7 | ||||
| TiN | 50 | 2.1 | 11.3 | 14.4 | 63.6 | 8.6 | |
| 100 | 6.8 | 27.6 | 11.3 | 45.2 | 9.1 | ||
| 200 | 4.3 | 39.2 | 13.7 | 36.5 | 6.3 | ||
| Adhesion Level | Performance |
|---|---|
| 5A | No peeling or removal occurs at all (absence of peeling) |
| 4A | Trace peeling or removal occurs along incisions (no peeling occurs at the intersect and little peeling observed at the X-cut) |
| 3A | Jagged removal along incisions occurs up to 1/16 in. (1.6 mm) on either side of the intersect of the X-cut |
| 2A | Jagged removal along incisions occurs up to 1/8 in. (3.2 mm) in either direction from the intersect of the X-cut |
| 1A | Most of the X-cut area peeled off with the adhesive tape |
| 0A | Removal beyond the X-cut area occurs |
Publisher’s Note: MDPI stays neutral with regard to jurisdictional claims in published maps and institutional affiliations. |
© 2022 by the authors. Licensee MDPI, Basel, Switzerland. This article is an open access article distributed under the terms and conditions of the Creative Commons Attribution (CC BY) license (https://creativecommons.org/licenses/by/4.0/).
Share and Cite
Zhou, Z.; Han, Y.; Qian, J. Improving Mechanical and Tribological Behaviors of GLC Films on NBR under Water Lubrication by Doping Ti and N. Coatings 2022, 12, 937. https://doi.org/10.3390/coatings12070937
Zhou Z, Han Y, Qian J. Improving Mechanical and Tribological Behaviors of GLC Films on NBR under Water Lubrication by Doping Ti and N. Coatings. 2022; 12(7):937. https://doi.org/10.3390/coatings12070937
Chicago/Turabian StyleZhou, Zhen, Yanfeng Han, and Jin Qian. 2022. "Improving Mechanical and Tribological Behaviors of GLC Films on NBR under Water Lubrication by Doping Ti and N" Coatings 12, no. 7: 937. https://doi.org/10.3390/coatings12070937
APA StyleZhou, Z., Han, Y., & Qian, J. (2022). Improving Mechanical and Tribological Behaviors of GLC Films on NBR under Water Lubrication by Doping Ti and N. Coatings, 12(7), 937. https://doi.org/10.3390/coatings12070937
