Design and Optimization of Interface Morphology of Thermal Barrier Coatings Based on Regulation of Residual Stress: A Finite Element Simulation Study
Abstract
:1. Introduction
2. Coupled Transient Thermomechanical Simulations
2.1. The Numerical Model, Boundary Conditions, and Meshing
2.2. Section Geometry of Laser Surface Texture
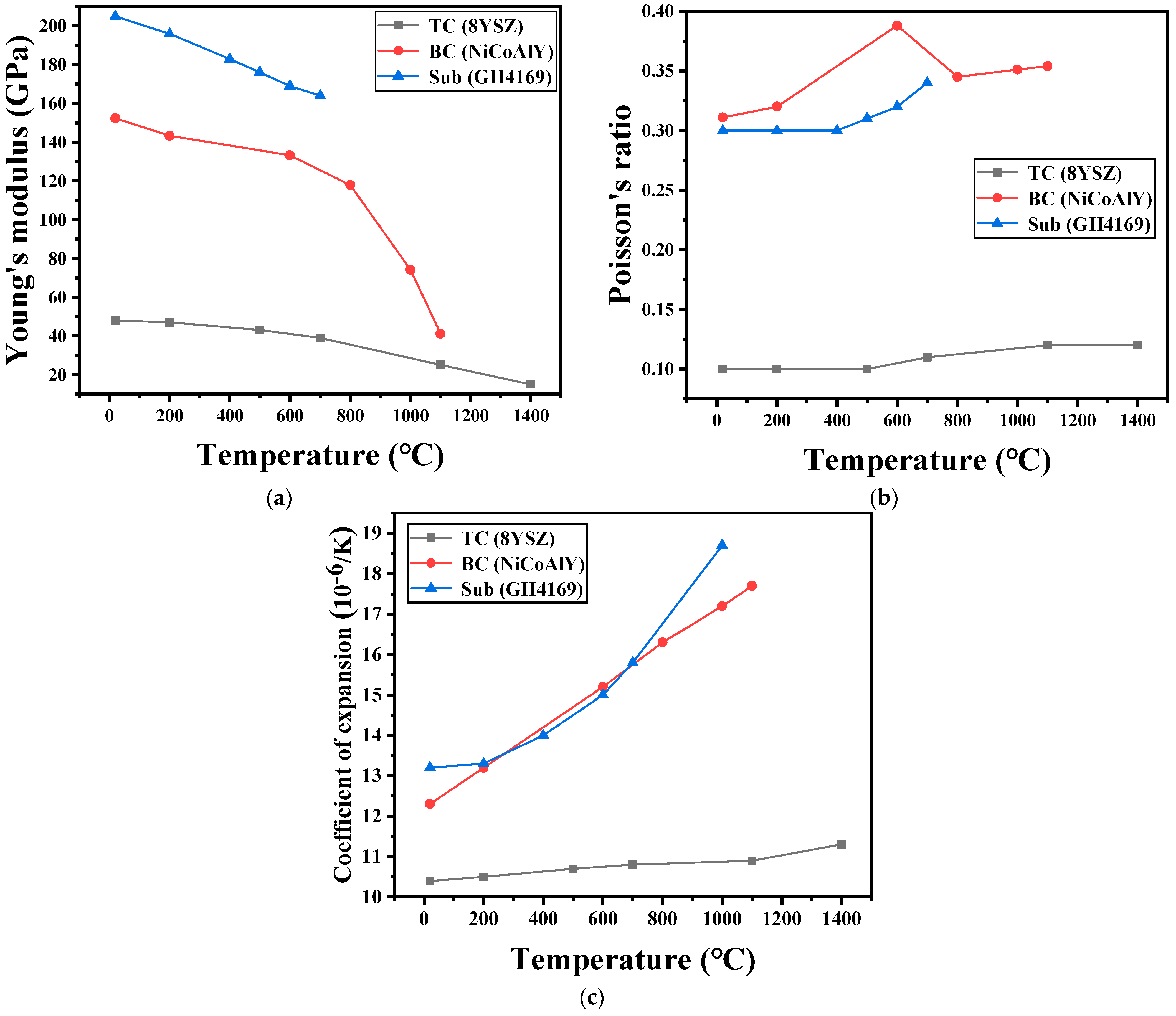
2.3. Temperature-Dependent Material Properties
2.4. Thermal Cycling
3. Results and Discussions
3.1. Distribution of Prestress Field
3.2. Stress Field Distribution after a Thermal Cycle
3.3. Effect of Texture on Morphology
4. Conclusions
- The presence of texture would subject the TC layer mostly to vertical tensile stress in the prestress field, whereas texture in the BC layer would exhibit compressive stress on both sides and tensile stress at the bottom. The shear stress magnitude and direction were essentially symmetrical about a 45° oblique axis. This indicates that the residual stress distribution in the coating is changed due to the existence of interface texture during the cooling process, so that the stress is uniformly and orderly distributed along the texture.
- Following thermal cycling, the stress value was increased, the direction was contrary to the result of the prestress field, and the geometric mutations were at stress concentration sites. The textures were more prone to vertical cracks than transverse cracks. Cracks could easily propagate along the cusp leading to TC/BC interface failure, and could also easily propagate from the valley of the BC layer to the Sub layer leading to BC/Sub interface failure. The results show that the crack growth in the coating is limited by the interface texture, which will not only affect the initiation of the initial crack, but also change the direction of propagation. In general, the existence of texture will make the crack propagation more complex, and it will take more time before failure, which is expected to improve the service life of the coating.
- The maximum value of the stress was projected to increase with the increase in texture diameter and depth, while modifying texture spacing was expected to decrease. However, the three had no effect on the stress . This demonstrates that the interface texture primarily influences the principal stress in the coating, and choosing the appropriate texture size can reduce the stress level in the coating, whereas relevant studies show that deeper texture can increase the bonding strength between layers, so it must be balanced in practical applications.
Author Contributions
Funding
Institutional Review Board Statement
Informed Consent Statement
Data Availability Statement
Conflicts of Interest
References
- Meng, X.; Zhang, K.; Guo, X.; Wang, C.; Sun, L. Preparation of micro-textures on cemented carbide substrate surface by plasma-assisted laser machining to enhance the PVD tool coatings adhesion. J. Mater. Process. Technol. 2021, 288, 116870. [Google Scholar] [CrossRef]
- Man, H.C.; Chiu, K.Y.; Guo, X. Laser surface micro-drilling and texturing of metals for improvement of adhesion joint strength. Appl. Surf. Sci. 2010, 256, 3166–3169. [Google Scholar] [CrossRef]
- Son, M.-K.; Choe, H.-C. Evaluation of Interfacial Bonding Strength between Laser Textured Metal Coping and Porcelain. Procedia Eng. 2011, 10, 2286–2291. [Google Scholar] [CrossRef] [Green Version]
- Wang, L.; Di, Y.; Wang, H.; Zhao, Y.; Li, S. On crack evolution with texturization of bonding layer in thermal barrier coating. J. Eur. Ceram. Soc. 2021, 41, 6567–6577. [Google Scholar] [CrossRef]
- Kromer, R.; Costil, S.; Cormier, J.; Courapied, D.; Berthe, L.; Peyre, P.; Boustie, M. Laser surface patterning to enhance adhesion of plasma sprayed coatings. Surf. Coat. Technol. 2015, 278, 171–182. [Google Scholar] [CrossRef]
- Dhineshkumar, S.R.; Duraiselvam, M.; Natarajan, S.; Panwar, S.S.; Jena, T.; Khan, M.A. Enhancement of strain tolerance of functionally graded LaTi2Al9O19 thermal barrier coating through ultra-short pulse based laser texturing. Surf. Coat. Technol. 2016, 304, 263–271. [Google Scholar] [CrossRef]
- Tan, N.; Xing, Z.-G.; Wang, X.-L.; Wang, H.-D.; Jin, G.; Xu, B.-S. Investigation of sprayed particle filling qualities within the texture on the bonding behavior of Ni-based coating. Surf. Coat. Technol. 2017, 330, 131–139. [Google Scholar] [CrossRef]
- Zhang, H.; Liu, Z.; Yang, X.; Xie, H. Interface failure behavior of YSZ thermal barrier coatings during thermal shock. J. Alloy. Compd. 2019, 779, 686–697. [Google Scholar] [CrossRef]
- Luo, L.; Shan, X.; Guo, Y.; Zhao, C.; Wang, X.; Zhao, X.; Guo, F.; Xiao, P. Thermal barrier coatings with interface modified by 3D mesh patterns: Failure analysis and design optimization. J. Am. Ceram. Soc. 2018, 101, 2084–2095. [Google Scholar] [CrossRef] [Green Version]
- Luo, L.; Chen, Y.; Zhou, M.; Shan, X.; Lu, J.; Zhao, X. Progress update on extending the durability of air plasma sprayed thermal barrier coatings. Ceram. Int. 2022, 48, 18021–18034. [Google Scholar] [CrossRef]
- Tang, S.; Wang, C.; Hua, C.; Yang, L.; Wu, Y.; Sun, X.; Song, P.; Huang, B. Surface texture of substrates prepared by femtosecond laser for improving the thermal cycle life of TBCs. Ceram. Int. 2022, 48, 5775–5786. [Google Scholar] [CrossRef]
- Huang, Z.; Ou, J.; Pan, C.; Huang, P.; Si, P.; Zhou, J.; Li, X. Synthesis of PPy–ZnO coatings on laser textured W substrates for ameliorating the adhesion strength of the interface. Appl. Surf. Sci. 2022, 573, 151614. [Google Scholar] [CrossRef]
- Kromer, R.; Cormier, J.; Costil, S.; Courapied, D.; Berthe, L.; Peyre, P. High temperature durability of a bond-coatless plasma-sprayed thermal barrier coating system with laser textured Ni-based single crystal substrate. Surf. Coat. Technol. 2018, 337, 168–176. [Google Scholar] [CrossRef] [Green Version]
- Thakare, J.G.; Pandey, C.; Mulik, R.S.; Mahapatra, M.M. Mechanical property evaluation of carbon nanotubes reinforced plasma sprayed YSZ-alumina composite coating. Ceram. Int. 2018, 44, 6980–6989. [Google Scholar] [CrossRef]
- Busso, E.P.; Qian, Z.Q.; Taylor, M.P.; Evans, H.E. The influence of bondcoat and topcoat mechanical properties on stress development in thermal barrier coating systems. Acta Mater. 2009, 57, 2349–2361. [Google Scholar] [CrossRef]
- Xiao, Y.Q.; Yang, L.; Zhu, W.; Zhou, Y.C.; Pi, Z.P.; Wei, Y.G. Delamination mechanism of thermal barrier coatings induced by thermal cycling and growth stresses. Eng. Fail. Anal. 2021, 121, 105202. [Google Scholar] [CrossRef]
- Wang, L.; Li, Z.; Ding, K.; Deng, C.; Zhang, S.; Zheng, R.; Yang, L.; Lin, X. Effects of TGO growth on the stress distribution and evolution of three-dimensional cylindrical thermal barrier coatings based on finite element simulations. Ceram. Int. 2022, 48, 7864–7875. [Google Scholar] [CrossRef]
- Gu, L.; Fan, X.; Zhao, Y.; Zou, B.; Wang, Y.; Zhao, S.; Cao, X. Influence of ceramic thickness on residual stress and bonding strength for plasma sprayed duplex thermal barrier coating on aluminum alloy. Surf. Coat. Technol. 2012, 206, 4403–4410. [Google Scholar] [CrossRef]
- Weng, W.-X.; Zheng, Z.-H.; Li, Q. Cracking evolution of atmospheric plasma-sprayed YSZ thermal barrier coatings subjected to isothermal heat treatment. Surf. Coat. Technol. 2020, 402, 125924. [Google Scholar] [CrossRef]
- Burov, A.; Fedorova, E. Modeling of interface failure in a thermal barrier coating system on Ni-based superalloys. Eng. Fail. Anal. 2021, 123, 105320. [Google Scholar] [CrossRef]
- Xing, Y.; Wang, X.; Du, Z.; Zhu, Z.; Wu, Z.; Liu, L. Synergistic effect of surface textures and DLC coatings for enhancing friction and wear performances of Si3N4/TiC ceramic. Ceram. Int. 2022, 48, 514–524. [Google Scholar] [CrossRef]
- Białas, M. Finite element analysis of stress distribution in thermal barrier coatings. Surf. Coat. Technol. 2008, 202, 6002–6010. [Google Scholar] [CrossRef]
- Busso, E.; Wright, L.; Evans, H.; McCartney, L.; Saunders, S.; Osgerby, S.; Nunn, J. A physics-based life prediction methodology for thermal barrier coating systems. Acta Mater. 2007, 55, 1491–1503. [Google Scholar] [CrossRef] [Green Version]
- Su, L.; Zhang, W.; Sun, Y.; Wang, T.J. Effect of TGO creep on top-coat cracking induced by cyclic displacement instability in a thermal barrier coating system. Surf. Coat. Technol. 2014, 254, 410–417. [Google Scholar] [CrossRef]
- Rösler, J.; Bäker, M.; Aufzug, K. A parametric study of the stress state of thermal barrier coatings. Acta Mater. 2004, 52, 4809–4817. [Google Scholar] [CrossRef]
- Aktaa, J.; Sfar, K.; Munz, D. Assessment of TBC systems failure mechanisms using a fracture mechanics approach. Acta Mater. 2005, 53, 4399–4413. [Google Scholar] [CrossRef]
- Han, M.; Huang, J.; Chen, S. Behavior and mechanism of the stress buffer effect of the inside ceramic layer to the top ceramic layer in a double-ceramic-layer thermal barrier coating. Ceram. Int. 2014, 40, 2901–2914. [Google Scholar] [CrossRef]
- Asghari, S.; Salimi, M. Finite element simulation of thermal barrier coating performance under thermal cycling. Surf. Coat. Technol. 2010, 205, 2042–2050. [Google Scholar] [CrossRef]
- Liang, L.H.; Liu, X.H.; Chen, L.F.; Wei, Y.G. Effect of ceramic coating thickness on fracture behaviour of coating structure under thermal shock cycles. Ceram. Int. 2022, 48, 11435–11444. [Google Scholar] [CrossRef]
- Mohammadi, M.; Poursaeidi, E.; Torkashvand, K. Finite element analysis of the effect of thermal cycles and ageing on the interface delamination of plasma sprayed thermal barrier coatings. Surf. Coat. Technol. 2019, 375, 243–255. [Google Scholar] [CrossRef]
- Wang, S.; Li, S.; Luo, L.; Zhao, Z.; Du, W.; Sundén, B. A high temperature turbine blade heat transfer multilevel design platform. Numer. Heat Transf. Part A Appl. 2020, 79, 122–145. [Google Scholar] [CrossRef]
- Wang, L.; Deng, C.; Ding, K.; Guo, S.; Li, Z.; Lin, X. Model construction and effect of thermally grown oxide dynamic growth on distribution of thermal barrier coatings. Ceram. Int. 2021, 47, 18385–18396. [Google Scholar] [CrossRef]











| Layer (Material) | ) | ) | |
|---|---|---|---|
| 1.8 | 640 | 5.28 × 103 | |
| 15 | 628 | 7.80 × 103 | |
| 13.4 | 437 | 8.24 × 103 |
Publisher’s Note: MDPI stays neutral with regard to jurisdictional claims in published maps and institutional affiliations. |
© 2022 by the authors. Licensee MDPI, Basel, Switzerland. This article is an open access article distributed under the terms and conditions of the Creative Commons Attribution (CC BY) license (https://creativecommons.org/licenses/by/4.0/).
Share and Cite
Wang, D.; Wang, L.; Wang, W.; Zhang, X.; Tu, S. Design and Optimization of Interface Morphology of Thermal Barrier Coatings Based on Regulation of Residual Stress: A Finite Element Simulation Study. Coatings 2022, 12, 940. https://doi.org/10.3390/coatings12070940
Wang D, Wang L, Wang W, Zhang X, Tu S. Design and Optimization of Interface Morphology of Thermal Barrier Coatings Based on Regulation of Residual Stress: A Finite Element Simulation Study. Coatings. 2022; 12(7):940. https://doi.org/10.3390/coatings12070940
Chicago/Turabian StyleWang, Dali, Liang Wang, Weize Wang, Xiancheng Zhang, and Shantung Tu. 2022. "Design and Optimization of Interface Morphology of Thermal Barrier Coatings Based on Regulation of Residual Stress: A Finite Element Simulation Study" Coatings 12, no. 7: 940. https://doi.org/10.3390/coatings12070940
APA StyleWang, D., Wang, L., Wang, W., Zhang, X., & Tu, S. (2022). Design and Optimization of Interface Morphology of Thermal Barrier Coatings Based on Regulation of Residual Stress: A Finite Element Simulation Study. Coatings, 12(7), 940. https://doi.org/10.3390/coatings12070940
