Abstract
On the basis of guaranteeing the reliability of the coating, thermal-spray zinc coating has been verified by the industry to have a lifespan of more than 20 years. It is an anti-corrosion coating with excellent performance. Inorganic zinc-rich coating being a new coating technology has a certain degree of influence on its popularization and application in the field of anti-corrosion; this is due to the lack of relevant comparison data on its anti-corrosion performance and service life. It is necessary to compare and analyze the service life and corrosion resistance of the two coatings, so as to obtain the best application scenarios for the two coatings and provide a reference for the selection of the most economical coating. Based on coating reliability, 7500 h of accelerated salt-spray tests of inorganic zinc-rich coating and of the thermal-spray coating of steel structures were carried out. Electrochemical and salt-spray tests on inorganic zinc-rich coating and thermal-spray zinc coating were carried out. The micro-corrosion morphology, corrosion rate and corrosion mechanism of the two coatings and the factors affecting the corrosion rate were obtained. An interfacial corrosion-thinning and weight-loss equation was established to predict the service life of inorganic zinc-rich coating by comparing it with that of the thermal-spray zinc coating salt-spray test; they suggested that inorganic zinc-rich coating has a longer service life. The results are of practical guiding significance for the selection of a zinc coating and the rapid selection and design of a supporting scheme, and can also provide a reference for the service-life prediction of other types of coatings.
1. Introduction
Large-scale steel structures, such as offshore oil production platform facilities, ship hulls and nuclear power plant steel structures, generally have a design life of 70–110 years. Exposed to highly corrosive environments such as marine and industrial atmospheres for extended periods, they must achieve anti-corrosion through their coating systems. At present, their coating systems have a corrosion protection period of about 20~30 years. Considering other factors, including the product life cycle, manufacturing cost and maintenance cost, long-acting coating protection is currently the best solution. As verified by industrial practice, thermal-spray zinc coating has a service life of more than 20 years as long as the reliability of the coating is ensured. This suggests that thermal-spray zinc coating is an anti-corrosion coating with excellent performance, and its lifespan is widely recognized in the heavy-duty anti-corrosion field. Inorganic zinc-rich coating, which is a new coating technology, has higher corrosion resistance than thermal-spray zinc coating, as is proven by laboratory evaluation; however, owing to the lack of long-term service-life verification, its popularization and application in the heavy-duty anti-corrosion field is affected to some extent [,].
The service-life prediction of the coating is an important index that can be used to evaluate the durability of the coating, concerning its service life and safety. At present, scholars at home and abroad focus on the preparation method of zinc coatings, the resin synthesis, the performance improvement of coatings, etc.; however, research is not as focused on coating service-life prediction. The method of service-life prediction of coatings mentioned in the domestic and foreign literature was put forward by the National Aeronautics and Space Administration Center in the 1980s [,]. This method is limited to a service life prediction model built under laboratory conditions. The above method has been developed into the Weibull life-prediction model, fatigue curve model, theoretical prediction model, etc. However, the life-prediction model based on the above method is greatly different from the anti-corrosion failure mechanism of the coating under actual working conditions. This is because the method is based on thermal stress and interface oxidation, which are critical to ensuring coating effectiveness. Therefore, the results are inconvincible if the above models are used to predict the service life of inorganic zinc-rich coating.
The industry has recognized that the service life of the coating depends on the thickness of the zinc layer and the dissolution rate of zinc, i.e., the oxidation rate of the zinc coating. The effect of inorganic zinc-rich coating remains unchanged, i.e., the metal components are prevented from being corroded through zinc oxidation for the sacrificial anode. Considering that coating failure affects the safety of the equipment, as well as the structures and the normal operation of the system, it is necessary to demonstrate and analyze the service life and microstructure of the coating during the corrosion process so as to offer guidance on the development and selection of engineering coatings. The homogeneous corrosion rate and microstructure characteristics of the zinc coating are important parameters for service-life evaluation and can be used to provide critical support for the maintenance of steel structures, as well as the rapid selection and design of coating formulations []. Minliang Pan conducted a reliability evaluation of the oxidation failure model of the spherical interface thermal barrier coating. By establishing the oxidation failure model of thermal barrier coating, and calculating the sensitivity factor using mathematical theory, it was concluded that the thickness, interface morphology radius, and thermal expansion coefficient difference were the key factors affecting coating failure, and the interaction of these factors determined the coating service life []. Xiaoqiang Liu et al. conducted a reliability evaluation on the aging problem of inorganic zinc (IOZ) coating applied to the containment of passive nuclear power plants. After a reliability demonstration and analysis, it was concluded that, in order to ensure the safe use of the coating during normal service life, attention must be paid to the construction of the coating and it must be supervised during the actual production, to ensure that the quality and performance of the coating meet the requirements of production and use []. Nicard elaborated on the effect of Zn and Mg alloying on microstructures and the anticorrosion mechanisms of Al-Si based coatings for high-strength steel []. Timashev proposed the Markov approach to early diagnostics, reliability assessment, the residual life, and the optimal maintenance of pipeline systems []. There are relatively few studies on coating reliability evaluation, and there is insufficient attention paid to the related research fields. However, like coating life prediction, coating reliability evaluation is related to the safe use of coatings during service, and greater attention must be paid to it.
In this paper, combined with electrochemical analysis, the surface morphology and corrosion products of the coating before and after corrosion were analyzed, and the corrosion resistance of thermal-spray zinc coating and inorganic zinc-rich coating were compared. The results showed that inorganic zinc-rich coating forms a stable and dense chelate attached to the surface of the steel structure during coating curing process, which not only reduces the conductivity of the system, but also inhibits the diffusion of chloride ions. The thinning rates of two kinds of zinc coatings were obtained through the salt-spray accelerated test, and the corrosion rate equation of two kinds of zinc coatings were obtained using a mathematical fitting method. The obtained corrosion rate equation can provide a reference for the subsequent in-depth study of coating service lifespan [,].
2. Experiment
2.1. Sample Preparation and Coating Formulation
For the surface treatment process before painting, the same technology was applied to the two types of coatings. First, the surface pretreatment of coatings was carried out (base material surface defects were treated; surface rust and thick rust were removed using a mechanical method; and steel surface defects such as pits and interlayers were repaired using a grinding wheel or welding). Second, solvent or gasoline was used to remove oil stains on steel surface. The final step was de-rusting by sandblasting. In order to ensure the quality of sandblasting, the relative humidity was less than 75%. The temperature of the base material was 3 °C higher than the dew-point temperature during sandblasting. The surface of the base material reached ISOSa2.5, and the roughness ranged from 30 to 75 μm after sandblasting. After the surface treatment was completed, the samples were checked, and the treated surface was coated within 4 h.
All surfaces of the steel plates were painted with a zinc coating. The thermal-spray zinc construction process (electric arc spraying) involved the following: The main equipment for the thermal-spray zinc construction process included the zinc spraying machine and air compressor (Shanghai Xinye Spray Dope Machinery Co., Ltd., Shanghai, China). The entire construction process of thermal-spray zinc coating was as follows: surface treatment → zinc spraying → quality inspection. The zinc-spraying machine adopted a three-phase alternating current (380 V), which was rectified into the direct current through the rectifier. The anode and cathode were connected to the spray gun and zinc wire, respectively; the zinc wire melted under the action of the strong current; and the compressed air was controlled by the solenoid valve to spray the molten zinc on the metal surface, which then formed a zinc film attached to the metal surface with the decrease in the zinc temperature. The inorganic zinc-rich construction process involved the following: An airless high-pressure spraying machine and PM025 electronic plunger pump airless spraying machine (Shanghai Miaojia Mechanical and Electrical Co., Ltd., Shanghai, China) were adopted. The high-pressure pump driven by compressed air was used to suck in and pressurize the coating from 10 to 25 MPa, and then the coating was sprayed from the nozzle through a high-pressure hose and a spray gun.
The coating formulation involved the following: Thermal-spray zinc coating is a material obtained by spraying 1.2–2.0-mm zinc wires (purity > 99.9%) onto a steel plate in an arc spraying process. The inorganic zinc-rich coating was formed using high-pressure airless spraying technology. The reference coating consisted of component A and zinc powder (1000 mesh, Umicore Hunan Fuhong Zinc Chemicals Co., Ltd, Hunan, China) mixed in a mass ratio of 1:2, in which component A was mixed with ethyl silicate hydrolysate (30–40 wt%, Yejian New Material Co., Ltd., Changzhou, China), silica powder (30–35 wt.%, Huzhou Jiulihuafei Silicon Powder Co., Ltd., Huzhou, China), linear resin (1.5–2 wt.%, Shandong Dongda Commerce Co., Ltd., Jinan, China) and alcohol ether solvent (30–40 wt.%, Shanghai king chemical Co., Ltd., Shanghai, China). After coating formation, the zinc content was >80%, while the content of other organic and inorganic substrates (ethyl silicate, silica powder, etc.) was <20%.
2.2. Coating Reliability Evaluation
Coating reliability must be ensured to guarantee the normal service life of the coating. The panels were inspected for corrosion in accordance with ASTM D714-2009, ASTM D1654-2008 and ASTM D610-2012 to evaluate the degree of rusting on painted surfaces and to ensure coating reliability before continuing with the test.
2.3. Electrochemical Characterizations
An open circuit potential (OCP) evolution survey and potentiodynamic polarization experiments were performed in 3.5 wt.% NaCl aqueous solution, initially at pH7 (adjusted by a 0.5 M NaOH solution). A three-electrode cell thermostated at 25 ± 2 °C was used with a saturated calomel electrode (SCE) as the reference electrode, a platinum plate as the counter electrode and the coated steel as the working electrode. For polarization curves, the sequence was set to perform an OCP measurement followed by anodic or cathodic polarization, with a sweep rate of 1 mV s−1. The scanning range was −400 mV to +400 mV relative to the open circuit potential. Cathodic and anodic polarizations were performed separately on different samples with fresh electrolytes. Electrochemical impedance spectroscopy (EIS, Shanghai, China) was tested at open circuit potential in the frequency range of 105–10−2 Hz with an amplitude of 10 mV.
2.4. Microstructural Analysis
Phase identification was performed with X-Ray Diffraction (XRD) using a Bruker D8 FOCUS X-ray diffractometer (Karlsruhe, Germany) with Cu (Ka1) radiation, directly on the sample surface (Analyzed area approximately 60 mm2). The XRD was collected with an angular resolution of 0.02° over the angular range 7–80° (2θ), with a 0.2 s acquisition time per point. The spectra were treated using the DIFFRAC EVA software package (version V5.1) developed by Bruker and matched with the equipment, and completed with the International Centre for Diffraction Data (ICDD) Powder Diffraction File (PDF) database files (version 2020) for corrosion product identification. The PDF Database contained the “reference intensity ratio” (RIR) of each phase, that is, the intensity ratio of the highest peak of compound to that of α–Al2O3 (I/Icol). With the highest peak intensity and RIR of each phase in the spectra, EVA software was used for semi-quantitative calculation to obtain the proportion of each phase in the spectra.
For the scanning electron microscope (SEM) and energy dispersive spectrum (EDS), the HITACHI SU3500/OXFORD X-act instrument (Hitachi, Japan) was used, and its parameters were as follows: working voltage: 15 V; tube voltage: 40 kV; tube current: 40 mA; scanned area 2θ: 7–80°; step size: 0.02°; scanning speed: 1°/min−1; target: Cu; elemental analysis software: Oxford Instruments INCA. The surface morphology of the coating and the elements in micro-areas were qualitatively analyzed.
2.5. Accelerated Corrosion Tests
Accelerated cyclic corrosion tests were carried out according to procedure ASTM B 117—2011 in a salt-spray test chamber (ATLAS BCX3000 (850 L), ATLAS Engineering Machinery Co., Ltd., Karachi, Pakistan). The salt solution pH stayed between 6.5 and 7.2.
The original size and mass of each test block was measured and recorded before testing. Changes in the mass of the test blocks were also monitored before and after the test.
After they were placed according to the regulations, the thermal-spray zinc coating samples (sample dimensions: 90 mm × 50 mm × 6 mm; coating thickness: 80–150 μm) and inorganic zinc-rich coating samples (sample dimensions: 90 × 50 × 6 mm; coating thickness: 200–350 μm) underwent a salt-spray test at intervals of 500 h, 1200 h, 2000 h, 3500 h, 5000 h and 7500 h, respectively. Test blocks were taken out at each specified time point, with 5 test blocks for testing, 3 for an experiment and 2 for later use. The corrosion products were removed, and 2 samples taken out at each time point were weighed. After the removal of the corrosion products, mass monitoring was performed and the change in the mass of each test block was recorded.
The corrosion products were removed at each salt-spray time point. After sampling, the corrosion test blocks were weighed and recorded. Then, the corrosion products on the test blocks were removed on the specialized cleansing table. After being cleaned, the test blocks were dried and left idle for 10 min. The test blocks were then weighed again with the weight data recorded. The corrosion weight loss per unit area at each sampling time point was calculated by comparison with the initial mass and the corrosion area of the test blocks. Finally, the corrosion weight loss of each test block was calculated. According to the weight-loss data, the life prediction equation of the zinc coating was fitted.
A corrosion product removal technique was selected prior to data acquisition (stripping refers to removing the salt stains, rust, and other corrosion products on the coating without damaging the coating or matrix themselves). To ensure the reliability of the data, the test was conducted repeatedly until the weight loss was minimized and stabilized. After repeated tests, the sodium-hydroxide method was selected as the corrosion product removal method for the thermal-spray zinc coating, while the ammonium chloride method was selected as the corrosion product removal method for the inorganic zinc-rich coating. The optimal process parameters determined for the above stripping technique were adopted for cleaning. This test was also conducted based on reference to HB 5257-1983 (the determination of the weight loss from the corrosion test results and the removal of corrosion products) and GB/T 16545-2015 (the removal of the corrosion products on the metal and alloy corrosion samples). The key process of accelerating the salt-spray experiment is revealed in Figure 1.
Figure 1.
Interfacial corrosion thinning and weight-loss test process.
3. Results and Discussion
3.1. Reliability Tests and Appearance of Corrosion Samples
As can be seen in Figure 2, it is obvious that after the salt-spray acceleration tests, both types of coatings show a flat surface; however, salt stains were more prone to adhering to the thermal-spray zinc coating surface, while the inorganic zinc-rich coating had a smoother surface with only a few salt stains. With fewer salt stains, the probability of contact with chloride ions is small, and the inorganic zinc-rich coating’s appearance suggests that it exhibited excellent corrosion resistance.
Figure 2.
Pictures of coating appearance after 1200 h salt-spray test.
As can be seen in Figure 3, after the salt-spray test and the removal of the corrosion products from the surface, corrosion stains appeared on the surface of the thermal-spray zinc coating, which was whitened; meanwhile, there were basically no changes to the surface of the inorganic zinc-rich coating, whose color remained unchanged. The surface of the two zinc coatings was free of defects such as bubbles, cracks, rust, etc., and the coating samples were intact, meeting the requirements of coating reliability.
Figure 3.
Appearance of the coating after removal of corrosion products after salt spray (3500/5000/7500 h from left to right, respectively): (a–c) the thermal-spray zinc coating; (d–f) inorganic zinc-rich coating.
As can be seen in Figure 4—with the basis of this study being the reliability of the coating—the coating maintained relative integrity without defects, an exposed bottom or other phenomena. Since both coatings were applied on the surface of the steel structure, the sample test in this paper was carried out on 3 mm-thick steel plates. As can be seen, the porosity of the thermal-spray zinc coating was greater than that of the inorganic zinc-rich coating, but both coatings were firmly attached to the steel plates.
Figure 4.
Analysis of the cross-sectional microstructure of the zinc coating: (a) thermal-spray zinc coating and (b) inorganic zinc-rich coating.
3.2. Electrochemical Characteristics
Figure 5 shows that the open circuit potential of steel substrate is −0.563 V (vs. SCE), and that of the thermal-spray zinc and inorganic zinc-rich coating are −1.078 V (vs. SCE) and −0.971 V (vs. SCE). The corrosion potentials of the two kinds of coatings are much lower than the open circuit potential of the substrate, which could provide cathodic protection for the substrate. The comparison of the two kinds of zinc coatings shows that the open circuit potential of inorganic zinc-rich coating is higher than that of the thermal-spray zinc coating. From the perspective of corrosion tendency, the thermal-spray zinc coating is more likely to corrode. Due to the addition of polymer materials, the conductivity of inorganic zinc-rich coating is poor; thus, corrosion does not occur so easily [,], and plays an anti-corrosion role under the function of providing cathodic protection. The data analysis of the open circuit potential provides a new idea for the formulation design of zinc coating. As for the role of cathode protection, it is necessary to coordinate the two important aspects of anode sacrifice and corrosion inhibition, so that the formula performance can be maximized.
Figure 5.
The open circuit potential-time curves of the steel substrate and two zinc coatings.
As shown by the data for corrosion current in Figure 6 and Table 1, at the initial salt-spray stage, the surface of the thermal-spray zinc coating is corroded evenly and the potential of the electrode is negative (−1.242 V vs. SCE); moreover, the corrosion dissolution rate is fast, with a corrosion current density of 1.69 × 10−3 A. After 1200 h of salt spray and the formation of corrosion products, the corrosion current decreases and the corrosion potential changes to −1.102 V (vs. SCE); however, the instability of the corrosion products causes the corrosion current data to be dispersed and to fluctuate within a certain range. Generally speaking, with the extension of salt-spray time, the corrosion potential of the thermal-spray zinc coating gradually moves forward, the dissolution rate of the zinc coating shows a downward trend, and the corrosion current gradually decreases. The possible reason is that after the zinc dissolves, new corrosion products are generated to cover the surface of the thermal-sprayed zinc, preventing further corrosion and dissolution of the zinc inside the coating. Finally, after 7500 h of salt spray, the corrosion potential increases to −0.824 V (vs. SCE) and the corrosion current decreases to 1.32 × 10−4 A [].
Figure 6.
Polarization curves of the thermal-spray zinc coating after different salt-spray time.
Table 1.
Fitting data of polarization curves for thermal-spray zinc coating after different salt-spray time.
The Tafel slope and corrosion current value data are modified and updated. The open circuit potential of thermal-spray zinc in the absence of salt spray is reduced after 500 h of accelerated salt-spray corrosion, which is caused by the coating construction process and self-curing characteristics of thermal-spray zinc. During the cooling process of zinc, the local surface of the coating is uneven, resulting in high porosity of the coating. The salt-spray environment accelerates corrosion; consequently, penetrative corrosive media such as chloride ions can pass through the pores quickly and penetrate into the interior of the thermal-spray zinc coating, and even the surface of the substrate, accelerating corrosion and increasing the damage to the paint film. Since pure zinc forms a coating with high porosity, which accelerates the corrosion rate in this time period, the corrosion potential of the coating is lower than that of the non-corroded coating in the early stage of the accelerated salt-spray test. After a period of accelerated corrosion, due to the formation of new corrosion products chelated on the coating surface, the corrosion products inhibit the diffusion of chloride ions, thus playing a blocking role and reducing the corrosion rate of zinc, as well as gradually increasing the corrosion potential.
The Nyquist curves of AC impedance in Figure 7 and Figure 8 show that the samples basically have the same trend after being salt sprayed for different durations. The Nyquist charts are composed of a high-frequency single-capacity reactance arc and a low-frequency Warburg impedance diffusion arc. The high-frequency impedance spectroscopy reflects the coating information, while the low-frequency impedance spectroscopy reflects the diffusion process of dissolved oxygen in the corrosion products or coating pores. The presence of the Warburg impedance diffusion tail indicates that the electrolyte solution penetrated the coating/metal interface at the very beginning of the salt-spray test, with an electrochemical reaction occurring at the interface. As the metal corrosion reaction or thermal-spray zinc dissolution reaction proceeded at the interface, the corrosion products would block the coating pores, thus rendering the corrosion reaction subject to the influence of the dissolved oxygen within the corrosion products [,]. However, since corrosion occurred on part of the surface, the phase angle of some diffusion tails was 45° off. As the salt-spray duration progressed, the radius of the capacity reactance arc in the high-frequency region increased, indicating that the corrosion rate of the thermal-spray zinc coating decreased; this had the effect of galvanic anode protection on the matrix being gradually reduced. There are three time constants at 5000 h, which may be caused by the formation of new corrosion products covering the coating surface.
Figure 7.
Nyquist charts of the thermal-spray zinc coating after being salt sprayed for 0–2000 h.
Figure 8.
Nyquist charts of the thermal-spray zinc coating after being salt sprayed for 3500–7500 h.
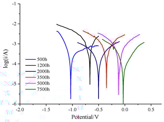
As shown by the corrosion current data in Figure 9 and Table 2: compared with the thermal-spray zinc coating, the corrosion potential and corrosion current of the inorganic zinc-rich coating show a similar change trend, that is, with the extension of salt-spray time, the corrosion potential moves forward and the corrosion current decreases. The difference is that the content of the active component, zinc, in the thermal-spray zinc coating is higher than that of the inorganic zinc-rich coating; the result is that the corrosion potential of the inorganic zinc-rich coating sample is more positive than that of the thermal-spray zinc sample, and the corrosion current is smaller [,]. On the other hand, with the extension of salt-spray duration, the corrosion current of the inorganic zinc-rich coating is more stable, and the reduction range is much smaller than that of the thermal-spray zinc coating. Compared with salt spraying for 500 h, the corrosion current decreases from 2.83 × 10−4 A to 1.26 × 10−4 A, and after salt spraying for 7500 h, decreases by 57.3%. In the same time period, the corrosion current of the thermal-spray zinc coating decreases by 94.9%. The possible reason is that in the inorganic zinc-rich coating, the zinc powder is evenly dispersed in the coating matrix, the corrosion dissolution is more uniform and stable, and the effect of sacrificing the anode to protect the cathode of the coating is more stable without the rapid decrease in protection performance.
Figure 9.
Polarization curves of inorganic zinc-rich coating after different salt-spray time.
Table 2.
Fitting data of polarization curves for inorganic zinc-rich coating after different salt-spray time.
In the early stage of accelerated salt-spray corrosion, zinc as the anode is sacrificed first, and then the zinc is gradually dissolved. With the extension of the corrosion time, the new corrosion products formed in the process will adhere to the coating surface. At the same time, due to the introduction of silicon compounds, linear resins, pigments and fillers, and other compounds, into the inorganic zinc coating formula, the coating can form stable and dense chelates that adhere to the surface of steel structures during coating curing. These two reasons lead to reduced compactness (porosity) of the coating, which not only reduces the conductivity of the system, but also inhibits the diffusion of chloride ions together with the corrosion products, blocking and reducing the corrosion rate of zinc. The corrosion resistance of the coating after 2000 h is, more importantly, reflected in the physical shielding and even isolation from chloride ions or corrosive media. As the passivation layer is formed due to the generation of corrosion products, the corrosion potential is higher than that of the steel substrate (Compare to Figure 5). This stage is the transition stage from cathodic protection to shielding protection.
As can be seen in Figure 10 and Figure 11, the inorganic zinc-rich coating at the initial stage (0 h) shows a single capacitance arc, indicating that the inorganic zinc-rich coating is more compact and the electrolyte solution cannot reach the coating/metal interface through the coating. After 500 h of salt spraying, a Warburg impedance diffusion arc appears at low frequency because of the penetration of electrolytes into the coating/metal interface. At the same time, an electrochemical reaction occurrs at the interface, which leads to an increase in the corrosion dissolution rate of the coating. With the extension of salt-spray time, the capacitance arc radius of the coating increases significantly after 2000 h. The oxidation reaction of metallic zinc in the interface area would generate corrosion products, which would cover the coating surface, thereby restricting the diffusion of dissolved oxygen in the corrosion products, finally leading to a decrease in the dissolution rate of the coating. This is consistent with the results of the polarization curve.
Figure 10.
Nyquist charts of inorganic zinc-rich coating after being salt sprayed for 0–2000 h.
Figure 11.
Nyquist chart of inorganic zinc-rich coating after being salt sprayed for 7500 h.
According to the comparison of electrochemical test results between the thermal-spray zinc coating and the inorganic zinc-rich coating, the self-corrosion potential of the thermal-spray zinc coating decreases more substantially than that of the inorganic zinc-rich coating, indicating that the performance of the thermal-spray zinc coating declines faster than that of the inorganic zinc-rich coating. The self-corrosion current of the thermal-spray zinc coating is higher than that of the inorganic zinc-rich coating, indicating that the reaction rate of the inorganic zinc-rich coating is lower than that of the thermal-spray zinc coating. In short, the inorganic zinc-rich coating features better performance than the thermal-spray zinc coating in terms of galvanic anode protection.
3.3. Coating Microstructure and Corrosion Product Identification
As can be seen in Figure 12 and Figure 13—and as shown by the results of SEM and EDS, in the blank sample applied with thermal-spray zinc coating—due to the construction principle and technology, zinc failed to form a continuous and homogeneous coating in the cooling process, resulting in an uneven coating surface. After formation, the inorganic zinc coating was continuous and uniform. As can be seen, spherical zinc is closely arranged and flat, with very low roughness. The high density of the inorganic zinc-rich coatings might be due to the presence of Si–OH in the coating, complexing with zinc atoms, forming a highly dense physical cross-linking network. Therefore, for thermal-spray zinc coatings, permeable corrosive media, such as chloride ions, can quickly penetrate into the thermal-spray zinc coatings and even into the surface of the substrate through the pores, thus accelerating corrosion and increasing damage to the coating; for the inorganic zinc-rich coating, owing to its low porosity, it is difficult for chloride ions to reach the surface of the substrate quickly. This further confirms the conclusion of the AC impedance Nyquist curve—i.e., the thermal-spray zinc began to undergo an oxidation reaction at the interface when the test had just started, while for the inorganic zinc-rich coating, corrosion was not observed until 500 h later. After salt spraying, there were obviously more corrosion defects in the thermal-spray zinc coating, and the contact surface became larger, making the coating more susceptible to corrosion [,]. After the salt-spray test, the spherical zinc powder on the surface of the inorganic zinc-rich coating disappeared, while the coating remained flat and there were only a few wrinkles on it. According to the results of EDS, after salt spraying, new elements such as aluminum and chlorine came into being, suggesting that new, insoluble corrosion products are indeed formed during the accelerated salt-spray test [].
Figure 12.
Analysis of the surface microstructure of the inorganic zinc-rich coating: (a,b) SEM photograph and EDS pattern of inorganic zinc-rich coating without salt spray; (c,d) SEM photograph and EDS pattern of inorganic zinc-rich coating after salt spraying for 7500 h.

Figure 13.
Analysis of the surface microstructure of the thermal-spray zinc coating: (a,b) SEM photograph and EDS pattern of thermal-spray zinc coating without salt spray; (c,d) SEM photograph and EDS pattern of thermal-spray zinc coating after salt spraying for 7500 h.
The aluminum element appears in inorganic zinc-rich coating after salt spraying because kaolin is used as filler in the inorganic zinc-rich formula. Kaolin minerals are composed of kaolinite cluster minerals such as kaolinite. The crystal chemical formula of kaolinite is 2SiO2·Al2O3·2H2O, and its theoretical chemical composition is 46.54% SiO2, 39.5% Al2O3 and 13.96% water. Kaolin is exposed during the process of salt spraying with the corrosion of zinc, and new compounds are chelated in the salt-spray process. Therefore, the characteristic peak of aluminum appears in the EDS test []; however, the amount of such fillers added in the formulation of inorganic zinc-rich coatings is very small. A uniform film surrounded by zinc is formed when the salt spray is not carried out, so there is no aluminum element.
To further analyze the change in the material structure on the coating surface before and after salt-spray treatment, the substance composition of the two coatings before and after corrosion was analyzed. Figure 14 shows XRD spectra of the untreated surfaces of the thermal-spray zinc and inorganic zinc-rich coatings. According to the results of a comparison with the PDF Database, the composition and the approximate content ratio of the substances on the coating surface are confirmed. Pure zinc and zinc oxide are identified on the surface of thermal-spray zinc coating, with the approximate content ratio of the two substances being as follows: pure zinc: zinc oxide = 95:5. Pure zinc, zinc oxide and quartz are identified on the surface of the inorganic zinc-rich coating, with the approximate content ratio of the two substances being as follows: pure zinc: zinc oxide: quartz = 90:5:5. The inorganic zinc-rich coating sample also contains a small number of impurities (Zn5(OH)8Cl2·H2O, Zn4CO3(OH)6·H2O, etc.). This is because the inorganic zinc-rich coating can react with the water and CO2 in the air, generating a new chemical compound or complex during its own solidification [,].
Figure 14.
XRD patterns of thermal-spray zinc coating and inorganic zinc-rich coating without salt spray.
Figure 15 shows the results of XRD analysis of the two coating samples after 7500 h of salt spray, with the salt stains freely soluble in water and corrosion products on the coating surface removed lightly with water and a brush. According to the results of a comparison with the PDF Database, the composition and the approximate content ratio of the substances on the coating surface are confirmed. Two kinds of new corrosion products, which are Zn5(OH)8Cl2·H2O and Zn4CO3(OH)6·H2O, are identified on the surface of thermal-spray zinc coating, while pure zinc and zinc oxide are not identified on the sample surface []. The possible reason for the missing diffraction peak of pure zinc and zinc oxide is that the coating surface is covered by large amounts of corrosion products due to the high porosity of the thermal-spray zinc coating. Pure zinc, quartz, Zn5(OH)8Cl2·H2O and Zn5(OH)8Cl2 are identified on the surface of the inorganic zinc-rich coating, with the approximate content ratio of the two substances being as follows: pure zinc: quartz: Zn5(OH)8Cl2·H2O/Zn5(OH)8Cl2 = 65:2:10.
Figure 15.
XRD patterns of the thermal-spray zinc coating and inorganic zinc-rich coating after 7500 h of salt spraying.
According to the XRD analysis results of thermal-spray zinc and inorganic zinc before and after salt spray, new corrosion products are formed on the surface of both coatings after the accelerated salt-spray test. Despite a slight difference in the products, the nature of coating oxidation is not changed, i.e., zinc remains oxidized into zinc ions, which are combined with dissolved hydroxide ions and chloride ions, forming insoluble salt. Therefore, the corrosion of the two coatings is the same in essence, and the service life of the inorganic zinc-rich coating can be judged in comparison with that of the thermal-spray zinc coating.
The introduction of a Si–O bond into the inorganic zinc coating formulation, whose bond energy is higher than that of a C–C bond, suggests high stability of the inorganic zinc coating. At the same time, a highly dense chelate is formed on the coating and adhered to the surface of the steel structure, not only reducing the electric conductivity of the system, but also suppressing the diffusion of chloride ions together with the corrosion products. This exerts a shielding effect, thus reducing the corrosion rate of zinc and improving the service life of the coating. According to the electrochemical analysis, the corrosion tendency and rate indicate that the coordination among the corrosion products, porosity and other relevant factors change the micro-current coupling capability; moreover, they exert a shielding effect on the diffusion of chloride ions, thereby reducing the corrosion rate of zinc, with improvement of the corrosion resistance of the coating [].
According to the above experimental results, the corrosion mechanism of zinc coating can generally be divided into three stages: In the first stage, “cathodic protection” plays a major role with the shielding of the coating. The change in corrosion potential can be clearly seen from the electrochemical data of 0 to 500 h. It can be inferred that the corrosion medium first contacts zinc during its penetration and diffusion due to the existence of coating porosity. Zinc is sacrificed as an anode to play a role in corrosion resistance. In the second stage, the “cathodic protection” and “corrosion products” interact. At this stage, due to the generation of new corrosion products and the shielding effect of the original coating, it not only reduces the system conductivity, but also inhibits the diffusion of chloride ions together with the corrosion products; this blocks and reduces the corrosion rate of zinc. It can also be seen from the electrochemical experimental data of approximately 2000 h in the manuscript that the corrosion current density of the sample decreases gradually with the extension of time. In this time period, cathodic protection continues to have a leading role in the first stage in the interaction with shielding. In the third stage, “shielding or blocking” plays a leading role. The analysis of electrochemical data after 5000 h shows that the new corrosion products are anchored to the coating surface to form a barrier similar to a passivation layer. As a result, it is difficult for the corrosive medium to penetrate the coating surface. The electrochemical data of the inorganic zinc-rich coating show that some passivation layers even play an isolating role. The corrosion potential of the coating chelated with the corrosion products is even higher than that of the steel substrate. Of course, the shielding stage is still accompanied by cathodic protection. If the shielding layer of the coating is damaged, the cathodic protection will play a leading role again, because the zinc is evenly dispersed in the coating. The period from 2000 h to 5000 h can be called the transition stage, which is from the interaction between cathodic protection and corrosion product shielding to the leading role of shielding.
3.4. Comparison of Thinning Rate between the Two Coatings during Salt-Spray Test and Prediction of the Service Life of the Inorganic Zinc-Rich Coating
The research object of this paper is the overall coating thickness, i.e., the corrosion thickness is less than the overall coating thickness (as shown in Figure 16a,b). After the corrosion products are removed, the mass loss of the coating can be obtained. According to the weight-loss data, the life prediction equation of the zinc coating can fitted. The calculation method is as follows: The corrosion rate of the salt-spray sample v = (w1 − w2)/(S * t). According to the calculation formula, the weight-loss data and thinning thickness at each time point were calculated (as shown in Table 3) and fitted for plotting (v represents the corrosion rate of the sample; w1 and w2 represent the mass loss of the salt-spray sample and the mass loss of the blank sample, respectively; S represents the surface area of the sample; and t represents the salt-spray time).
Figure 16.
Schematic representation of the basis for obtaining the coating life equation. (a) The cross- section of the zinc coating; (b) Cross-sectional view of corrosion products formed by zinc coating.
Table 3.
Weight-loss data and thinning thickness of the zinc coating.
Considering that the two coatings have a similar corrosion protection mechanism [,,,,], it is the difference in their composition and structure that causes a difference in the corrosion rate. Although the previous SEM and electrochemical analysis showed that the inorganic zinc-rich coating has higher corrosion resistance, more detailed data are required for the prediction of its service life. After 7500 h of salt-spray testing, the thinning rate of the two coating samples was compared. Additionally, the sets of data were fitted, deriving corrosion rate equations for the two coatings.
Based on the buoyancy method of the Archimedes principle, according to GB/T 9272-2007 (the nonvolatile substance volume fraction of the paint and varnish was determined by measuring the density of the dry coating), the density of the dry thermal-spray zinc is 6.56 g/cm2, while the density of the dry inorganic zinc-rich coating is 4.171 g/cm2. These data can be used to calculate the coatings’ thickness thinning. These data points are lineally fitted using mathematical methods based on the thinning data at each time in Table 1 (the nonlinear least square method based on the Levenberg–Marquardt algorithm (LMA) was adopted for curve fitting) [,], where units are given in Y/μm and X/h.The following is a fit curve equation for the thickness thinning of the thermal-spray zinc coating:
y = 31.45 × ln(x + 1118.27) − 207.21 [R2 = 0.995]
The following is a fit curve equation for the thickness thinning of the inorganic zinc-rich coating:
y = 13.46 × ln(x + 1339.11) − 98.67 [R2 = 0.989]
As can be seen from the fitting equation in Figure 17, the thinning data show that under the same accelerated corrosion condition, the thinning rate of the inorganic zinc-rich coating is much lower than that of the thermal-spray zinc coating. According to the data from the anti-corrosion industry, after 4200 h of accelerated salt-spray testing, if the coating is intact and reliable, the coating is basically guaranteed to have a service life of 15–20 years. As shown by the results of the calculation made according to the equation, the thickness of the thermal-spray zinc coating is reduced by 56.04 μm while the thickness of the inorganic zinc-rich coating is reduced by 17.34 μm. The thickness of the conventional thermal-spray zinc coating is about 250 μm and is decreased by 22.4% after corrosion. The design thickness of the inorganic zinc-rich coating is about 100μm and is decreased by 17.3% after corrosion. The thinning data indicate that the requirements of anti-corrosion are easily met. According to the results of the prediction made in the prediction equation, if accelerated salt-spray treatment is adopted on the basis of high coating reliability, it takes about 40 years for the thermal-spray zinc coating to be thinned by 200 μm, while it takes about 40 years for the inorganic zinc coating to be thinned by 75 μm. So, the service life should be greater than 40 years in an actual working environment [,,].
Figure 17.
Fit curves of the salt-spray time-varying corrosion thickness loss per unit area.
The main reasons for the change in coating thickness with time are as follows: the sacrifice of the anode in a chloride ion corrosion environment leads to the gradual dissolution of zinc. In addition to the dissolution of zinc, the change in coating thickness is also related to the composition of the two kinds of zinc coatings. Silicon-containing compounds are introduced into the formula of the inorganic zinc-rich coating, and the thermal-spray zinc coating is basically composed of a pure zinc compound. Inorganic zinc-rich coating can form stable and dense chelates attached to the surface of a steel structure during the curing of the coating; this not only reduces the conductivity of the system, but also inhibits the diffusion of chloride ions together with corrosion products. Thus, it plays a blocking role, reduces the corrosion rate of zinc and improves the service life of the coating. Combined with the electrochemical analysis, the corrosion tendency and corrosion rate show that the interaction of corrosion products, porosity and other factors changes micro-current coupling ability, provides a barrier for the diffusion of chloride ions, prevents the corrosion rate of zinc, and then provides corrosion resistance to the coating.
4. Conclusions
Based on coating reliability, the corrosion mechanism of the thermal-spray zinc and inorganic zinc-rich anti-corrosion coatings was compared using analytical methods, including electrochemical testing, XRD, SEM, etc. It was concluded that insoluble corrosion products are generated in both coatings during the corrosion process. The corrosion products at the interface changed the micro-current coupling capability and exerted a shielding effect on the diffusion of chloride ions, thereby reducing the corrosion rate of zinc and improving the service life and corrosion resistance of the coating. Due to its denser structure and the existence of Si–OH, the corrosion rate of inorganic zinc-rich coating was further decreased. After 7500 h of salt-spray testing, the corrosion rate equations of the two coatings were fitted, and according to the known service life of the thermal-spray zinc coating, the inorganic zinc-rich coating was proven to have much better corrosion resistance. This provides a reference for the fast selection and design of the actual zinc coating type (inorganic zinc-rich, epoxy zinc-rich, thermal-sprayed zinc, etc.) as well as the supporting schemes. Moreover, it provides a reference basis for the selection of the best coating from an economic point of view. The obtained corrosion rate equation can provide a reference for the subsequent in-depth study of coating service lifespan.
Author Contributions
Conceptualization, W.N. and Y.Z.; methodology, W.N. and Y.L.; software, L.G.; validation, P.L. and Z.D.; formal analysis, W.N.; data curation, L.G.; writing—original draft preparation, W.N.; writing—review and editing, P.L. All authors have read and agreed to the published version of the manuscript.
Funding
This research received no external funding.
Institutional Review Board Statement
Not applicable.
Informed Consent Statement
Not applicable.
Data Availability Statement
Data sharing is not applicable to this article.
Conflicts of Interest
The authors declare no conflict of interest.
References
- Lebelt, P.; Gehrke, J. Corrosion protection technology for construction sites welded joints of a hot-dip galvanized steel bridge. Constr. Build. Tech. 2017, 86, 191–196. [Google Scholar] [CrossRef]
- Zhang, Q.S.; Gao, J.W.; Wang, C.Q.; Dai, G.Z. Comparison of corrosion resistance among Thermal Zinc-spraying coating, Cold Thermal Zinc-spraying coating and Zinc-rich paint coating. Corros. Protec. 2017, 38, 903–913. [Google Scholar] [CrossRef]
- Huang, X.W.; Jiang, X.H.; Li, C.C.; Wan, Q.; Chen, Y.P.; Pan, L.; Jiang, G.C.; Jiang, Y. Research Progress of Coating Life Prediction and Reliability Evaluation. Mater. Protec. 2018, 7, 110–114. [Google Scholar] [CrossRef]
- Damgaarda, N.; Walbridgea, S.; Hanssonb, C.; Yeung, J. Corrosion protection and assessment of weathering steel highway struc tures. J. Constr. Steel Res. 2010, 66, 1174–1185. [Google Scholar] [CrossRef]
- Arpit, G.; Homayoon, S.; Eshmaiel, G. Performance assessment of specialist conductive paint for catholic protection of steel in reinforced concrete structures. Constr. Build. Mater. 2019, 223, 1083–1094. [Google Scholar] [CrossRef]
- Pan, M.L.; Xiao, Y.Q.; Yang, L.; Zhou, Y.C. Failure Probability of the TBCs Induced by Interface Oxidation and Its Influencing Factors with the Consideration of Interface Morphology. Modern Appl. Phys. 2017, 3, 58–64. [Google Scholar]
- Liu, X.Q.; Xu, X.L.; Meng, F.J.; Shi, X.Q. Reliability and Design Analysis of Coatings Used in Passive Containment Vessel of Nuclear Power Plant. Paint Coat. Ind. 2015, 45, 74–78. [Google Scholar]
- Nicard, C.; Allely, C.; Volovitch, P. Effect of Zn and Mg alloying on microstructure and anticorrosion mechanisms of Al-Si based coatings for high strength steel. Corros. Sci. 2019, 146, 192–201. [Google Scholar] [CrossRef]
- Timashev, S.A.; Bushinskaya, A.V. Markov approach to early diagnostics, reliability assessment, residual life and optimal mainte nance of pipeline systems. Struct. Saf. 2015, 56, 68–79. [Google Scholar] [CrossRef]
- Li, H.Y.; Duan, J.Y.; Wei, D.D. Comparison on corrosion behavior of arc sprayed and zinc-rich coatings. Surf. Coat. Technol. 2013, 235, 259–266. [Google Scholar] [CrossRef]
- Viejo, F.; Coy, A.E.; Garcia-Garcia, F.J.; Skeldon, Z.L.P.; Thompson, G.E. Relationship between microstructure and corrosion per formance of AA2050-T8 aluminium alloy after excimer laser surface melting. Corros. Sci. 2010, 52, 2179–2187. [Google Scholar] [CrossRef]
- Weng, T.-Y.; Kong, G.; Che, C.-S.; Wang, Y.-Q. Corrosion behavior of a Zn/Zn-Al double coating in 5%NaCl solution. Int. J. Electrochem. Sci. 2018, 13, 11882–11894. [Google Scholar] [CrossRef]
- Badisha, V.; Shaik, S.; Dumpala, R.; Sunil, B.R. Developing Mg–Zn surface alloy by friction surface allosying: In vitro degradation studies in simulated body fluids. Int. J. Miner. Metall. Mater. 2020, 27, 962–969. [Google Scholar] [CrossRef]
- Marchebois, H.; Joiret, S.; Savall, C.; Bernard, J.; Touzain, S. Characterization of zinc-rich powder coatings by EIS and Raman spectroscopy. Surf. Coat. Technol. 2002, 157, 151–161. [Google Scholar] [CrossRef]
- Dai, N.; Zhang, J.; Chen, Q.; Yi, B.; Cao, F.; Zhang, J. Effect of the direct current electric field on the initial corrosion of steel in simulated industrial atmospheric environment. Corros. Sci. 2015, 99, 295–303. [Google Scholar] [CrossRef]
- Vu, A.Q.; Vuillemin, B.; Oltra, R.; Allely, C. In situ investigation of sacrificial behaviour of hot dipped AlSi coating in su phate and chloridesolutions. Corros. Sci. 2013, 70, 112–118. [Google Scholar] [CrossRef]
- Elmahdy, E.E.; Aboutahoun, A.W. A new approach for parameter estimation of finite Weibull mixture distributions for reliability modeling. Appl. Math. Model. 2013, 37, 1800–1810. [Google Scholar] [CrossRef]
- Prosek, T.; Iversen, A.; Taxen, C.; Thierry, D. Low-Temperature Stress Corrosion Cracking of Stainless Steels in the Atmosphere in the Presence of Chloride Deposits. Corrosion 2009, 65, 105–117. [Google Scholar] [CrossRef]
- Ghalib, L.; Abdulkareem, A.; Ali, B.S.; Mazari, S.A. Modeling the rate of corrosion of carbon steel using activated diethanolamine solutions for CO2 absorption. Chin. J. Chem. Eng. 2020, 28, 2099–2110. [Google Scholar] [CrossRef]
- Zhao, Y.-L.; Tang, C.-Y.; Yao, J.; Zeng, Z.-H.; Dong, S.-G. Investigation of erosion behavior of 304 stainless steel under solid–liquid jet flow impinging at 30°. Pet. Sci. 2020, 17, 1135–1150. [Google Scholar] [CrossRef]
- Cui, Z.; Li, X.; Xiao, K.; Dong, C.; Liu, Z.; Wang, L. Corrosion Behavior of Field-Exposed Zinc in a Tropical Marine Atmosphere. Corrosion 2014, 70, 731–748. [Google Scholar] [CrossRef]
- Eliyan, F.F.; Mohammadi, F.; Alfantazi, A. An electrochemical investigation on the effect of the chloride content on CO2 corrosion of API-X100 steel. Corros. Sci. 2012, 64, 37–43. [Google Scholar] [CrossRef]
- Sarac, U.; Baykul, M.C. Morphological and microstructural properties of two-phase Ni–Cu films electrodeposited at different electrolyte temperatures. J. Alloy. Compd. 2013, 552, 195–201. [Google Scholar] [CrossRef]
- Ma, A.L.; Jiang, S.L.; Zheng, Y.G.; Ke, W. Corrosion product film formed on the 90/10 copper-nickel tube in natural seawater: Composition/structure and formation mechanism. Corros. Sci. 2015, 91, 245–261. [Google Scholar] [CrossRef]
- Metikos-Hukovic, M.; Babic, R.; Skugor, I.; Grubac, Z. Copper-nickel alloys modified with thin surface films: Corrosion behavior in the presence of chlorideions. Corros. Sci. 2011, 53, 347–352. [Google Scholar] [CrossRef]
- Kakaei, M.N.; Danaee, I.; Zaarei, D. Investigation of corrosion protection afforded by inorganic anticorrosive coatings comprising micaceous iron oxide and zinc dust. Corros. Eng. Sci. Technol. 2013, 48, 194–198. [Google Scholar] [CrossRef]
- Cao, X.; Huang, F.; Huang, C.; Liu, J.; Cheng, Y.F. Preparation of graphene nanoplate added zinc-rich epoxy coatings for en hanced sacrificial anode-based corrosion protection. Corros. Sci. 2019, 159, 108–120. [Google Scholar] [CrossRef]
- Vourlias, G.; Pistofidis, N.; Chaliambalias, D.; Chrissafis, K.; Pavlidou, E.; Stergioudis, G. Resistance of zinc thermal sprayed coat ings on different corrosive environments. J. Therm. Anal. Calorim. 2007, 87, 401–409. [Google Scholar] [CrossRef]
- Ge, T.; Zhao, W.; Wu, X.; Lan, X.; Zhang, Y.; Qiang, Y.; He, Y. Incorporation of electroconductive carbon fibers to achieve en hanced anti-corrosion performance of zinc rich coatings. J. Colloid Interface Sci. 2020, 567, 113–125. [Google Scholar] [CrossRef]
- Xiao, Y.; Jiang, X.; Xiao, Y.; Ma, L. Research on Zn-Al15 thermal spray metal coating and its organic painting composite system protection performance. Procedia Environ. 2012, 27, 1644–1653. [Google Scholar] [CrossRef] [Green Version]
- Dhakal, D.R.; Kshetri, Y.K.; Chaudhary, B.; Kim, T.-H.; Lee, S.W.; Kim, B.S.; Song, Y.; Kim, H.S.; Kim, H.H. Particle-Size-Depend ent Anticorrosion Performance of the Si3N4-Nanoparticle-Incorporated Electroless Ni-P Coating. Coatings 2022, 12, 9. [Google Scholar] [CrossRef]
- Pan, H.; Wang, L.; Lin, Y.; Ge, F.; Zhao, K.; Wang, X.; Cui, Z. Mechanistic study of ammonium-induced corrosion of AZ31 magne sium alloy in sulfate solution. J. Mater. Sci. Technol. 2020, 54, 1–13. [Google Scholar] [CrossRef]
- Bhattacharya, S.; Dinda, G.P.; Dasgupta, A.K.; Natu, H.; Dutta, B.; Mazumder, J. Microstructural evolution and mechanical, and corrosion property evaluation of Cu–30Ni alloy formed by Direct Metal Deposition process. J. Alloy. Compd. 2011, 59, 6364–6373. [Google Scholar] [CrossRef]
- Liu, B.; Xu, F.; Feng, W.; Yan, R.; Xie, W. Experiment and design methods of composite scarf repair for primary-load bearing structures. Composites Part A Appl. Sci. Manuf. 2016, 88, 27–38. [Google Scholar] [CrossRef]
- D’Alessandro, O.; Selmi, G.J.; Di Sarli, A.R.; Romagnoli, R.; Deya, C. Accelerated tests, a necessary complement of electrochemical assays to evaluate anti-corrosive coatings. J. Appl. Electrochem. 2019, 49, 811–822. [Google Scholar] [CrossRef]
Publisher’s Note: MDPI stays neutral with regard to jurisdictional claims in published maps and institutional affiliations. |
© 2022 by the authors. Licensee MDPI, Basel, Switzerland. This article is an open access article distributed under the terms and conditions of the Creative Commons Attribution (CC BY) license (https://creativecommons.org/licenses/by/4.0/).