Stability Study of Dielectric Properties of Plasma-Sprayed BaTiO3
Abstract
1. Introduction
2. Materials and Methods
2.1. Sample Preparation
2.2. Characterization
3. Results and Discussion
3.1. Microstructure and Phase Composition
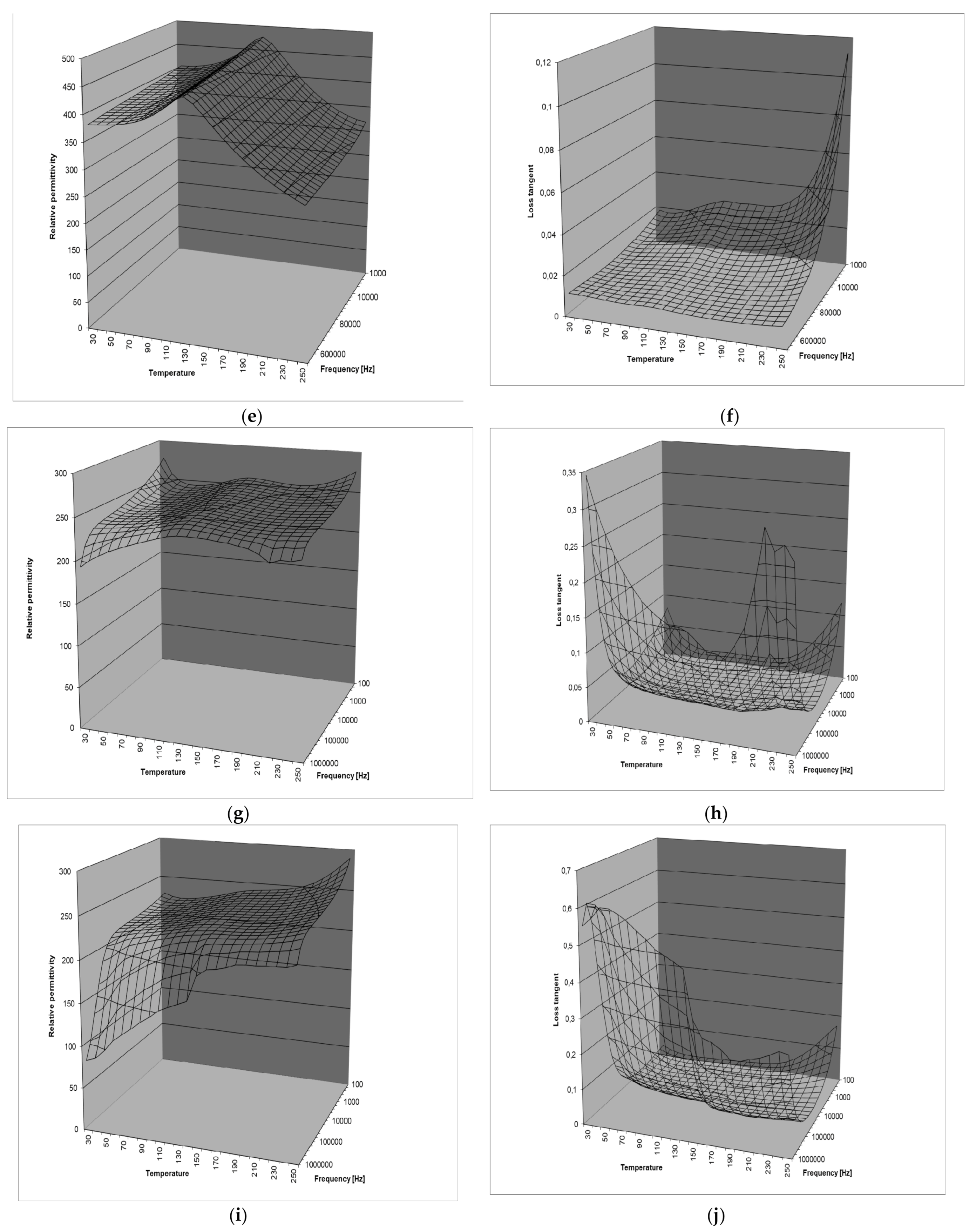
3.2. Dielectric Properties
4. Conclusions
Author Contributions
Funding
Institutional Review Board Statement
Informed Consent Statement
Data Availability Statement
Acknowledgments
Conflicts of Interest
References
- Jaffe, B.; Cook, W.R.; Jaffe, H. Piezoelectric Ceramics; Academic Press: New York, NY, USA, 1971. [Google Scholar]
- Solanki, A.; Shrivastava, J.; Upadhyay, S.; Choudhary, S. Modified Structural, Morphological and Photo Electrochemical Properties of 120 MeV Ag9+ Ion Irradiated BaTiO3 Thin Films. Curr. Appl. Phys. 2013, 13, 344–350. [Google Scholar] [CrossRef]
- Stojanovic, B.D.; Foschini, C.R.; Pavlovic, V.B.; Pavlovic, V.M. Barium Titanate Screen-printed Thick Films. Ceram. Int. 2002, 28, 293–298. [Google Scholar] [CrossRef]
- Sampath, S. Thermal Spray Applications in Electronics and Sensors: Past, Present, and Future. J. Therm. Spray Technol. 2010, 19, 921–949. [Google Scholar] [CrossRef]
- Zhiguo, X.; Haidou, W.; Lina, Z.; Xinyuan, Z.; Yanfei, H. Properties of the BaTiO3 Coating Prepared by Supersonic Plasma Spraying. J. Alloys Compd. 2014, 582, 246–252. [Google Scholar]
- Ctibor, P.; Sedlacek, J.; Pala, Z. Structure and Properties of Plasma Sprayed BaTiO3 Coatings after Thermal Posttreatment. Ceram. Int. 2015, 41, 7453–7460. [Google Scholar] [CrossRef]
- Ctibor, P.; Ageorges, H.; Sedlacek, J.; Ctvrtlik, R. Structure and Properties of Plasma Sprayed BaTiO3 Coatings. Ceram. Int. 2010, 36, 2155–2162. [Google Scholar] [CrossRef]
- Ctibor, P.; Čížek, J.; Sedláček, J.; Lukáč, F. Dielectric Properties and Vacancy-like Defects in Plasma Sprayed Barium Titanate. J. Am. Ceram. Soc. 2017, 100, 2972–2983. [Google Scholar] [CrossRef]
- Schrader, M.; Mienert, D.; Oh, T.-S.; Yoo, H.-I.; Becker, K.D. An Optical, EPR and Electrical Conductivity Study of Blue Bariumtitanate, BaTiO3−δ. Solid State Sci. 2008, 10, 768–775. [Google Scholar] [CrossRef]
- Hüfner, S. Photoelectron Spectroscopy; Springer: Berlin, Germany, 1995. [Google Scholar]
- Ctibor, P.; Seiner, H.; Sedláček, J.; Pala, Z.; Vaněk, P. Phase Stabilization in Plasma Sprayed BaTiO3. Ceram. Int. 2013, 39, 5039–5048. [Google Scholar] [CrossRef]
- Pakseresht, A.H.; Rahimipour, M.R.; Vaezi, M.R.; Salehi, M. Effect of Heat Treatment on the Microstructure and Dielectric Property of Plasma Sprayed Barium Titanate Films. Int. J. Mater. Res. 2016, 107, 28–34. [Google Scholar] [CrossRef]
- Ctibor, P.; Sedlacek, J.; Musalek, R.; Tesar, T.; Lukac, F. Structure and Electrical Properties of Yttrium Oxide Sprayed by Plasma Torches from Powders and Suspensions. Ceram. Int. 2021, 48, 7464–7474. [Google Scholar] [CrossRef]
- Wang, M.; Xie, J.; Xue, K.; Li, L. Effects of Zn2+/Mg2+ Ratio on Dielectric Properties of BaTiO3-based Ceramics with Excellent Temperature Stability: Experiments and the First-principle Calculations. Ceram. Int. 2022, 48, 847–854. [Google Scholar] [CrossRef]
- Xie, J.; Li, L.; Wang, M.; Xue, K. Structural Evolution and Dielectric Properties of (Bi, Mg, Zr)-doped BaTiO3 Ceramics for X8R-MLCC Application. Mater. Chem. Phys. 2022, 277, 125263. [Google Scholar] [CrossRef]
- Wang, H.; Cao, M.; Mao, T.; Fu, J.; Pan, W.; Hao, H.; Yao, Z.; Liu, H. Fabrication of BaTiO3@FeO Core-shell Nanoceramics for Dielectric Capacitor Applications. Scr. Mater. 2021, 196, 113753. [Google Scholar] [CrossRef]
- Zhao, N.; Liang, P.; Wu, D.; Chao, X.; Yang, Z. Temperature Stability and Low Dielectric Loss of Lithium-doped CdCu3Ti4O12 Ceramics for X9R Capacitor Applications. Ceram. Int. 2019, 45, 22991–22997. [Google Scholar] [CrossRef]
- Hrabovsky, M. Water-stabilized Plasma Generators. Pure Appl. Chem. 1998, 70, 1157–1162. [Google Scholar] [CrossRef][Green Version]
- Ctibor, P.; Lukáč, F.; Sedláček, J.; Ryukhtin, V. Barium Titanate Dielectrics Sprayed by a High Feed-rate Water-stabilized Plasma Torch. J. Mater. Eng. Perform. 2018, 27, 5291–5299. [Google Scholar] [CrossRef]
- Tagliente, M.A.; Massaro, M. Strain-driven (0 0 2) Preferred Orientation of ZnO Nanoparticles in Ion-implanted Silica. Nuclear Inst. Meth. Phys. Res. Sect. B Beam Interact. Mater. At. 2008, 266, 1055–1061. [Google Scholar] [CrossRef]
- Mohammed, Q.A.; Ali, Z.R.; Mijbas, A.F. Electrical and Optical Properties of Dielectric BaTiO3 Single Crystals Prepared by Flux Technique. J. Babylon Univ. 2012, 1, 79–90. [Google Scholar]
- Bajac, B.; Vukmirovic, J.; Tripkovic, D.; Djurdjic, E.; Stanojev, J.; Cvejic, Z.; Skoric, B.; Srdic, V.V. Structural Characterization and Dielectric Properties of BaTiO3 Thin Films Obtained by Spin Coating. Process. Appl. Ceram. 2014, 8, 219–224. [Google Scholar] [CrossRef]
- Janosik, W.; Randall, C.A.; Lanagan, M. Thermodynamic and Electrical Effects of Residual Carbon in Glass–Barium Titanate Composites for MLCC Applications. J. Am. Ceram. Soc. 2007, 90, 2415–2419. [Google Scholar] [CrossRef]
- Marutake, M. Elastic Constants of Porous Materials, Especially of BaTiO3 Ceramics. J. Phys. Soc. Jpn. 1956, 807, 231–240. [Google Scholar]
- Yoon, S.Y.; Yoon, Y.K.; Yom, S.S. Electrical and Optical Properties of Amorphous BaTiO3 Thin Films Grown by Metalorganic Chemical Vapor Deposition on Indium Thin Oxide-Coated Glass. Jpn. J. Appl. Phys. 1994, 33, 6663–6666. [Google Scholar] [CrossRef]
- Javadpour, J.; Eror, N.G. Raman Spectroscopy of Higher Titanate Phases in the BaTiO3-TiO2 System. J. Am. Ceram. Soc. 1988, 71, 206–213. [Google Scholar] [CrossRef]
- Schneller, T.; Halder, S.; Waser, R.; Pithan, C.; Dornseiffer, J.; Shiratori, Y.; Houben, L.; Vyshnavi, N.; Majumder, S.B. Nanocomposite Thin Films for Miniaturized Multi-layer Ceramic Capacitors Prepared from Barium Titanate Nanoparticle Based Hybrid Solutions. J. Mater. Chem. 2011, 21, 7953–7965. [Google Scholar] [CrossRef]
- Lee, E.J.H.; Pontes, F.M.; Leite, E.R.; Longo, E.; Varela, J.A.; Arajuo, E.B.; Eiras, J.A. Preparation and Properties of Ferroelectric BaTiO3 Thin Films Produced by the Polymeric Precursor Method. J. Mat. Sci. Lett. 2000, 19, 1457–1459. [Google Scholar] [CrossRef]
- Tripathi, A.K.; Chariar, V.; Goel, T.C.; Pillai, P.K.C. Preparation and Characterization of Spray-pyrolysed BaTiO3 Films. Mat. Sci. Eng. 1994, B25, 34–38. [Google Scholar] [CrossRef]
- Kumar, N.; Patterson, E.A.; Fromling, T.; Cann, D.P. DC-bias dependent impedance spectroscopy of BaTiO3–Bi(Zn1/2Ti1/2)O3 ceramics. J. Mater. Chem. C 2016, 9, 1782–1786. [Google Scholar] [CrossRef]












| Sample Label | Torch Power [kW] | Substrate Preheating [°C] | Annealing [°C] |
|---|---|---|---|
| A2 | 150 | 377 ± 10 | no |
| A3 | 150 | 314 ± 10 | no |
| A4 | 150 | 251 ± 10 | no |
| A5 | 150 | 188 ± 10 | no |
| A6 | 150 | 125 ± 10 | no |
| B2 | 130 | 296 ± 10 | no |
| B3 | 130 | 262 ± 10 | no |
| B4 | 130 | 228 ± 10 | no |
| B5 | 130 | 194 ± 10 | no |
| B6 | 130 | 160 ± 10 | no |
| A2ann to B6ann | See A2 to B6 | See A2 to B6 | 700 |
| Sample | Lattice Par. A [nm] | Lattice Par. C [nm] | Tetragonality C/A | Crys. Size [nm] | Crystallinity [%] |
|---|---|---|---|---|---|
| high power, high preheat A2 | 0.39997 | 0.40266 | 1.007 | 295 | 100 |
| high power A6 | 0.40011 | 0.40259 | 1.006 | 170 | 93.0 |
| low power, high preheat B2 | 0.39993 | 0.40285 | 1.007 | 420 | 100 |
| low power B6 | 0.40002 | 0.40260 | 1.006 | 183 | 90.5 |
Publisher’s Note: MDPI stays neutral with regard to jurisdictional claims in published maps and institutional affiliations. |
© 2022 by the authors. Licensee MDPI, Basel, Switzerland. This article is an open access article distributed under the terms and conditions of the Creative Commons Attribution (CC BY) license (https://creativecommons.org/licenses/by/4.0/).
Share and Cite
Ctibor, P.; Straka, L.; Lukáč, F.; Sedláček, J. Stability Study of Dielectric Properties of Plasma-Sprayed BaTiO3. Coatings 2022, 12, 355. https://doi.org/10.3390/coatings12030355
Ctibor P, Straka L, Lukáč F, Sedláček J. Stability Study of Dielectric Properties of Plasma-Sprayed BaTiO3. Coatings. 2022; 12(3):355. https://doi.org/10.3390/coatings12030355
Chicago/Turabian StyleCtibor, Pavel, Libor Straka, František Lukáč, and Josef Sedláček. 2022. "Stability Study of Dielectric Properties of Plasma-Sprayed BaTiO3" Coatings 12, no. 3: 355. https://doi.org/10.3390/coatings12030355
APA StyleCtibor, P., Straka, L., Lukáč, F., & Sedláček, J. (2022). Stability Study of Dielectric Properties of Plasma-Sprayed BaTiO3. Coatings, 12(3), 355. https://doi.org/10.3390/coatings12030355

