Phase Transition and Optical Properties of VO2 and Al: ZnO/VO2 Thin Films
Abstract
1. Introduction
2. Materials and Methods
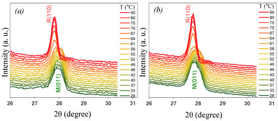
3. Results
4. Conclusions
Author Contributions
Funding
Institutional Review Board Statement
Informed Consent Statement
Data Availability Statement
Acknowledgments
Conflicts of Interest
References
- Zhou, J.; Gao, Y.; Zhang, Z.; Luo, H.; Cao, C.; Chen, Z.; Dai, L.; Liu, X. VO2 Thermochromic Smart Window for Energy Savings and Generation. Sci. Rep. 2013, 3, 1–5. [Google Scholar] [CrossRef]
- Liu, K.; Lee, S.; Yang, S.; Delaire, O.; Wu, J. Recent Progresses on Physics and Applications of Vanadium Dioxide. Mater. Today 2018, 21, 875–896. [Google Scholar] [CrossRef]
- Patel, A.; Pataniya, P.; Solanki, G.K.; Sumesh, C.K.; Patel, K.D.; Pathak, V.M. Fabrication, Photoresponse and Temperature Dependence of n-VO2/n-MoSe2 Heterojunction Diode. Superlattices Microstruct. 2019, 130, 160–167. [Google Scholar] [CrossRef]
- Lee, M.-J.; Park, Y.; Suh, D.-S.; Lee, E.-H.; Seo, S.; Kim, D.-C.; Jung, R.; Kang, B.-S.; Ahn, S.-E.; Lee, C.B.; et al. Two Series Oxide Resistors Applicable to High Speed and High Density Nonvolatile Memory. Adv. Mater. 2007, 19, 3919–3923. [Google Scholar] [CrossRef]
- Zheng, J.; Bao, S.; Jin, P. TiO2(R)/VO2(M)/TiO2(A) Multilayer Film as Smart Window: Combination of Energy-Saving, Antifogging and Self-Cleaning Functions. Nano Energy 2015, 11, 136–145. [Google Scholar] [CrossRef]
- Ocampo, O.; Antúnez, E.E.; Agarwal, V. Memristive Devices from Porous Silicon—ZnO/VO2 Nanocomposites. Superlattices Microstruct. 2015, 88, 198–203. [Google Scholar] [CrossRef]
- Li, W.; Yan, X.; Zhao, W. Preparation of Crystal Violet Lactone Complex and Its Effect on Discoloration of Metal Surface Coating. Polymers 2022, 14, 4443. [Google Scholar] [CrossRef]
- Cui, Y.; Ke, Y.; Liu, C.; Chen, Z.; Wang, N.; Zhang, L.; Zhou, Y.; Wang, S.; Gao, Y.; Long, Y. Thermochromic VO2 for Energy-Efficient Smart Windows. Joule 2018, 2, 1707–1746. [Google Scholar] [CrossRef]
- Wang, X.; Narayan, S. Thermochromic Materials for Smart Windows: A State-of-Art Review. Front. Energy Res. 2021, 9, 837. [Google Scholar] [CrossRef]
- Zylbersztejn, A.; Mott, N.F. Metal-Insulator Transition in Vanadium Dioxide. Phys. Rev. B 1975, 11, 4383–4395. [Google Scholar] [CrossRef]
- Kumar, M.; Singh, J.P.; Chae, K.H.; Park, J.; Lee, H.H. Annealing Effect on Phase Transition and Thermochromic Properties of VO2 Thin Films. Superlattices Microstruct. 2020, 137, 106335. [Google Scholar] [CrossRef]
- Kumar, M.; Rani, S.; Pal Singh, J.; Hwa Chae, K.; Kim, Y.; Park, J.; Hwi Lee, H. Structural Phase Control and Thermochromic Modulation of VO2 Thin Films by Post Thermal Annealing. Appl. Surf. Sci. 2020, 529, 147093. [Google Scholar] [CrossRef]
- Yang, Z.; Ko, C.; Ramanathan, S. Oxide Electronics Utilizing Ultrafast Metal-Insulator Transitions. Annu. Rev. Mater. Sci. 2011, 41, 337–367. [Google Scholar] [CrossRef]
- Mulchandani, K.; Soni, A.; Pathy, K.; Mavani, K.R. Structural Transformation and Tuning of Electronic Transitions by W-Doping in VO2 Thin Films. Superlattices Microstruct. 2021, 154, 106883. [Google Scholar] [CrossRef]
- Yang, J.; Li, D.; Wang, X.; Jin, H.; Li, J. Optimizing Phase Transition Temperature and Visible Transmittance of VO2 Films Driven by Synergistic Effect of La-Mo Co-Doping. Appl. Surf. Sci. 2022, 600, 154074. [Google Scholar] [CrossRef]
- Jeong, J.; Aetukuri, N.; Graf, T.; Schladt, T.D.; Samant, M.G.; Parkin, S.S.P. Suppression of Metal-Insulator Transition in VO2 by Electric Field-Induced Oxygen Vacancy Formation. Science 2013, 339, 1402–1405. [Google Scholar] [CrossRef] [PubMed]
- Mulchandani, K.; Soni, A.; Pathy, K.; Mavani, K.R. Rapid Hydrogenation of VO2 Thin Films via Metal-Acid Contact Method Using Mild Electric Fields at Room Temperature. Mater. Lett. 2021, 295, 129786. [Google Scholar] [CrossRef]
- Kumar, M.; Singh, S.; Lim, W.C.; Chae, K.H.; Lee, H.H. Effect of Implantation of Nitrogen Ions into VO2 Thin Films. Mater. Lett. 2022, 310, 131438. [Google Scholar] [CrossRef]
- Ji, Y.; Mattsson, A.; Niklasson, G.A.; Granqvist, C.G.; Österlund, L. Synergistic TiO2/VO2 Window Coating with Thermochromism, Enhanced Luminous Transmittance, and Photocatalytic Activity. Joule 2019, 3, 2457–2471. [Google Scholar] [CrossRef]
- Kumar, M.; Rani, S.; Lee, H.H. Effect of Ti:ZnO Layer on the Phase Transition and the Optical Properties of VO2 Film. J. Korean Phys. Soc. 2019, 75, 519–522. [Google Scholar] [CrossRef]
- Sato, K.; Hoshino, H.; Mian, M.S.; Okimura, K. Low-Temperature Growth of VO2 Films on Transparent ZnO/Glass and Al-Doped ZnO/Glass and Their Optical Transition Properties. Thin Solid Film. 2018, 651, 91–96. [Google Scholar] [CrossRef]
- Kang, L.; Gao, Y.; Luo, H.; Wang, J.; Zhu, B.; Zhang, Z.; Du, J.; Kanehira, M.; Zhang, Y. Thermochromic Properties and Low Emissivity of ZnO: Al/VO2 Double-Layered Films with a Lowered Phase Transition Temperature. Sol. Energy Mater. Sol. Cells 2011, 95, 3189–3194. [Google Scholar] [CrossRef]
- Devi, V.; Kumar, M.; Shukla, D.K.; Choudhary, R.J.; Phase, D.M.; Kumar, R.; Joshi, B.C. Structural, Optical and Electronic Structure Studies of Al Doped ZnO Thin Films. Superlattices Microstruct. 2015, 83, 431–438. [Google Scholar] [CrossRef]
- Devi, V.; Kumar, M.; Kumar, R.; Joshi, B.C. Effect of Substrate Temperature and Oxygen Partial Pressure on Structural and Optical Properties of Mg Doped ZnO Thin Films. Ceram. Int. 2015, 41, 6269–6273. [Google Scholar] [CrossRef]
- Devi, V.; Kumar, M.; Choudhary, R.J.; Phase, D.M.; Kumar, R.; Joshi, B.C. Band Offset Studies in Pulse Laser Deposited Zn1-XCdxO/ZnO Hetero-Junctions. J. Appl. Phys. 2015, 117, 225305. [Google Scholar] [CrossRef]
- Devi, V.; Kumar, M.; Kumar, R.; Singh, A.; Joshi, B.C. Band Offset Measurements in Zn1−x SbxO/ZnO Hetero-Junctions. J. Phys. D Appl. Phys. 2015, 48, 335103. [Google Scholar] [CrossRef]
- Kumar, M.; Singh, J.P.; Chae, K.H.; Kim, J.H.; Lee, H.H. Structure, Optical and Electronic Structure Studies of Ti:ZnO Thin Films. J. Alloys Compd. 2018, 759, 8–13. [Google Scholar] [CrossRef]





| Film Layer | Target RF (W) | Ar Gas Pressure (mTorr) | Thickness (nm) |
|---|---|---|---|
| VO2 | 120 | 30 | 100 |
| AZO | 100 | 35 | 50 |
Publisher’s Note: MDPI stays neutral with regard to jurisdictional claims in published maps and institutional affiliations. |
© 2022 by the authors. Licensee MDPI, Basel, Switzerland. This article is an open access article distributed under the terms and conditions of the Creative Commons Attribution (CC BY) license (https://creativecommons.org/licenses/by/4.0/).
Share and Cite
Saharan, C.; Rana, P.S.; Kumar, M. Phase Transition and Optical Properties of VO2 and Al: ZnO/VO2 Thin Films. Coatings 2022, 12, 1737. https://doi.org/10.3390/coatings12111737
Saharan C, Rana PS, Kumar M. Phase Transition and Optical Properties of VO2 and Al: ZnO/VO2 Thin Films. Coatings. 2022; 12(11):1737. https://doi.org/10.3390/coatings12111737
Chicago/Turabian StyleSaharan, Chirag, Pawan S. Rana, and Manish Kumar. 2022. "Phase Transition and Optical Properties of VO2 and Al: ZnO/VO2 Thin Films" Coatings 12, no. 11: 1737. https://doi.org/10.3390/coatings12111737
APA StyleSaharan, C., Rana, P. S., & Kumar, M. (2022). Phase Transition and Optical Properties of VO2 and Al: ZnO/VO2 Thin Films. Coatings, 12(11), 1737. https://doi.org/10.3390/coatings12111737

