Numerical Studies on the Thermal Performances of Electroosmotic Flow in Y-Shaped Microchannel Heat Sink
Abstract
1. Introduction
2. Numerical Model
2.1. Geometry Configuration of the MCHS
2.2. Governing Equations
2.3. Initial and Boundary Conditions
2.4. Model Validation
3. Results and Discussion
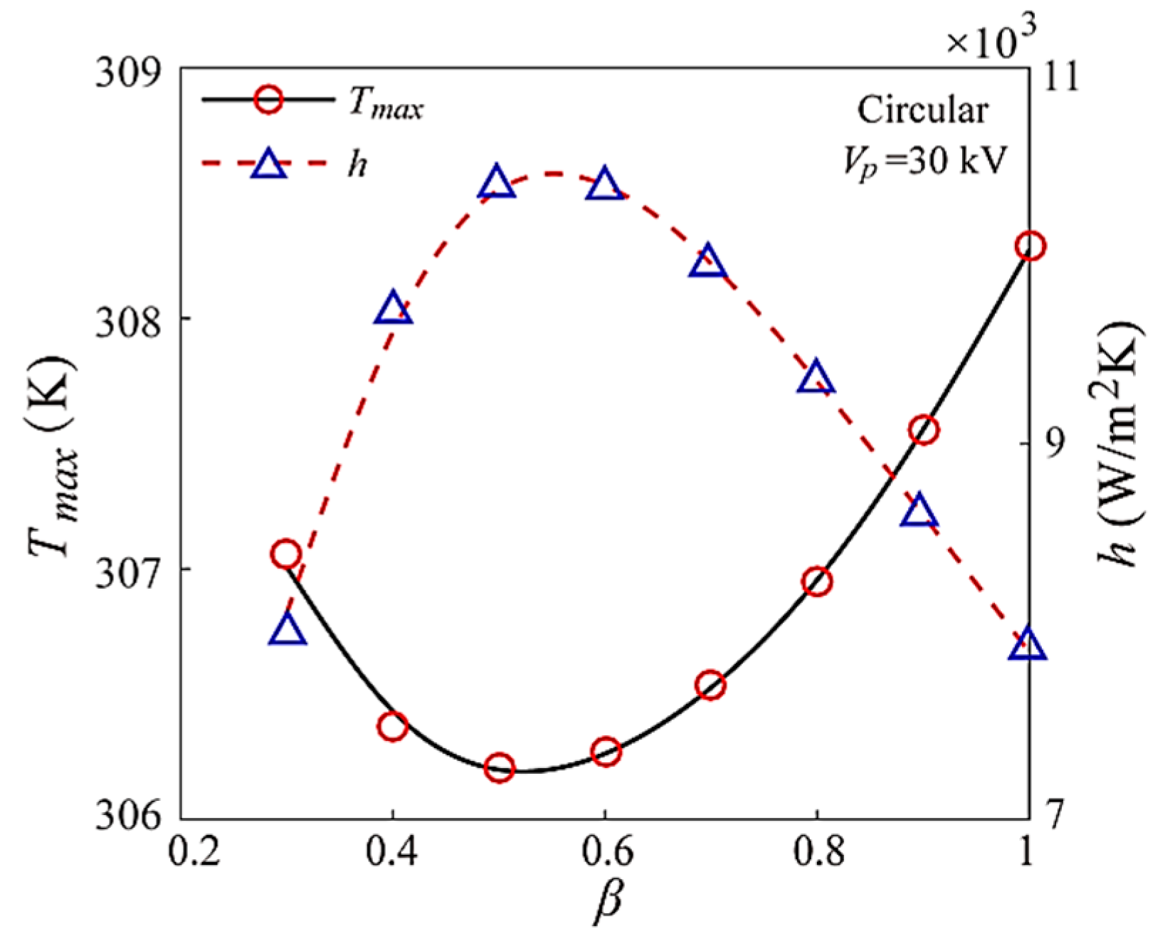
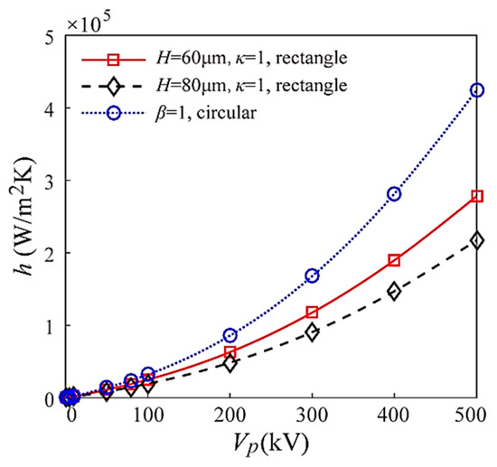
3.1. Effects of Applied Voltage on the Thermal Performances
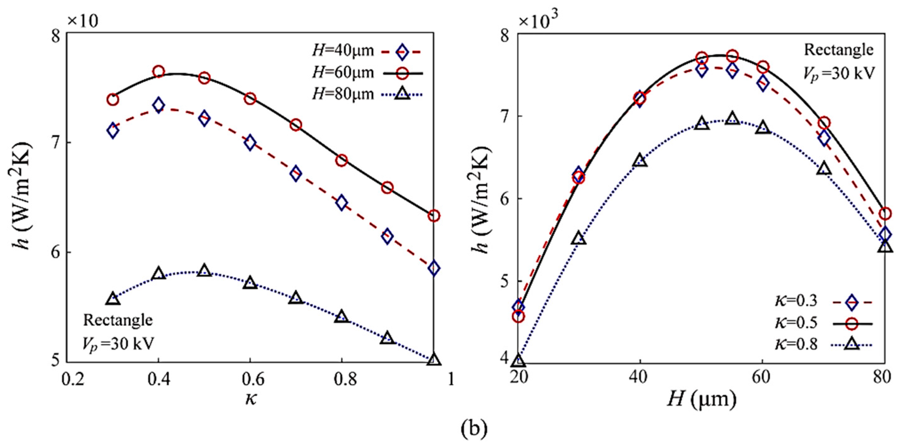
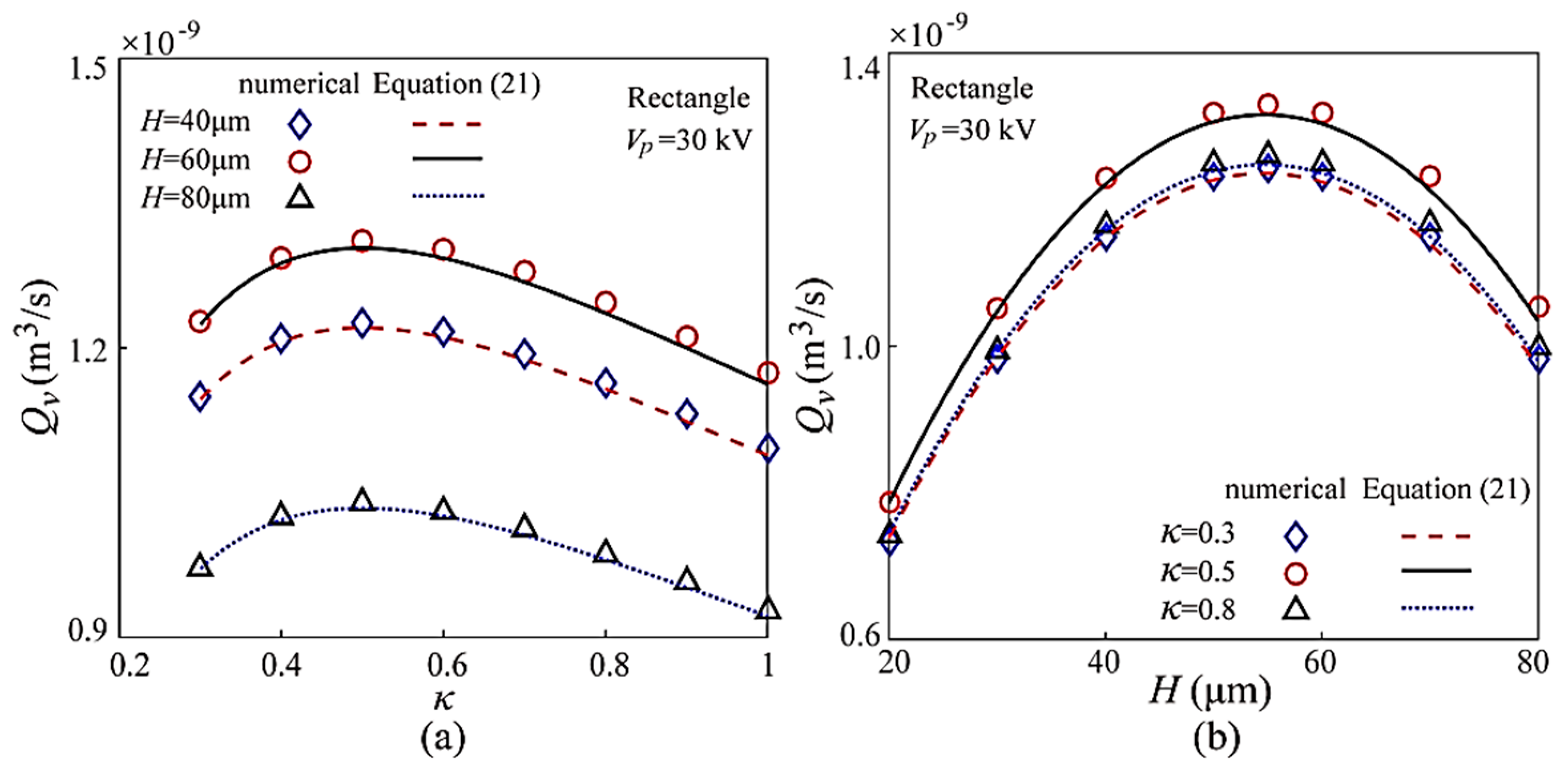
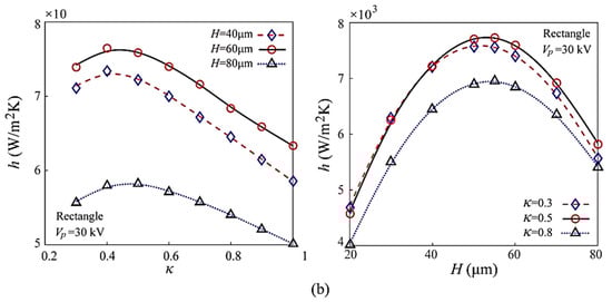
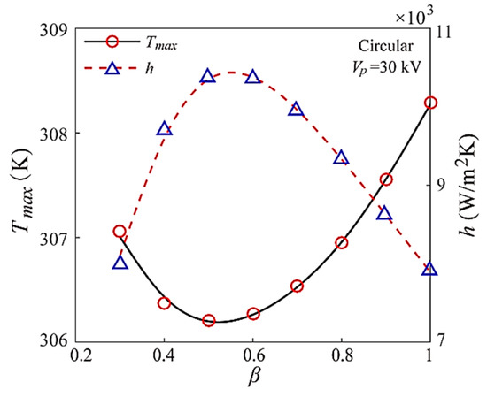
3.2. Effects of Channel Cross-Sectional Dimensions on the Thermal Performances
4. Conclusions
Author Contributions
Funding
Conflicts of Interest
References
- Tuckerman, D.B.; Pease, R.F.W. High-performance heat sinking for VLSI. IEEE Electron Device Lett. 1981, 2, 126–129. [Google Scholar] [CrossRef]
- Gunnasegaran, P.; Mohammed, H.A.; Shuaib, N.H.; Saidur, R. The effect of geometrical parameters on heat transfer characteristics of microchannels heat sink with different shapes. Int. Commun. Heat Mass Transf. 2010, 37, 1078–1086. [Google Scholar] [CrossRef]
- Mohammed, H.A.; Gunnasegaran, P.; Shuaib, N.H. Influence of channel shape on the thermal and hydraulic performance of microchannel heat sink. Int. Commun. Heat Mass Transf. 2011, 38, 474–480. [Google Scholar] [CrossRef]
- Alfaryjat, A.A.; Mohammed, H.A.; Adam, N.M.; Ariffin, M.K.A.; Najafabadi, M.I. Influence of geometrical parameters of hexagonal, circular, and rhombus microchannel heat sinks on the thermohydraulic characteristics. Int. Commun. Heat Mass Transf. 2014, 52, 121–131. [Google Scholar] [CrossRef]
- Liu, Z.G.; Guan, N.; Zhang, C.W.; Jiang, G.L. The flow resistance and heat transfer characteristics of micro pin-fins with different cross-sectional shapes. Nanoscale Microscale Thermophys. 2015, 19, 221–243. [Google Scholar] [CrossRef]
- Mohammadi, A.; Koşar, A. Review on heat and fluid flow in micro pin fin heat sinks under single-phase and two-phase flow conditions. Nanoscale Microscale Thermophys. 2018, 22, 153–197. [Google Scholar] [CrossRef]
- Chen, Y.P.; Cheng, P. Heat transfer and pressure drop in fractal treelike microchannel nets. Int. J. Heat Mass Transf. 2002, 45, 2643–2648. [Google Scholar] [CrossRef]
- Jing, D.; Song, S.; Pan, Y.; Wang, X. Optimal fractal tree-like microchannel networks with slip for laminar-flow-modified Murray’s law. Beilstein J. Nanotechnol. 2018, 9, 482–489. [Google Scholar] [CrossRef]
- Jing, D.; Song, J.; Sui, Y. Hydraulic and thermal performances of laminar flow in fractal treelike branching microchannel network with wall velocity slip. Fractals 2020. [Google Scholar] [CrossRef]
- Jing, D.; Yi, S. Electroosmotic flow in treelike branching microchannel network. Fractals 2019, 27, 1950095. [Google Scholar] [CrossRef]
- Wu, H.Y.; Cheng, P. An experimental study of convective heat transfer in silicon microchannels with different surface conditions. Int. J. Heat Mass Transf. 2003, 46, 2547–2556. [Google Scholar] [CrossRef]
- Jing, D.; Song, S.; Pan, Y.; Wang, X. Size dependences of hydraulic resistance and heat transfer of fluid flow in elliptical microchannel heat sinks with boundary slip. Int. J. Heat Mass Transf. 2018, 119, 647–653. [Google Scholar] [CrossRef]
- Jing, D.; Pan, Y.; Wang, X.; Heating, J. Viscous dissipation and convective heat transfer of pressure-driven flow in a microchannel with surface charge-dependent slip. Int. J. Heat Mass Transf. 2017, 108, 1305–1313. [Google Scholar] [CrossRef]
- Wang, H.; Chen, Z.; Gao, J. Influence of geometric parameters on flow and heat transfer performance of micro-channel heat sinks. Appl. Therm. Sci. 2016, 107, 870–879. [Google Scholar] [CrossRef]
- Chen, Y.; Zhang, C.; Shi, M.; Wu, J. Three-dimensional numerical simulation of heat and fluid flow in noncircular microchannel heat sinks. Int. Commun. Heat Mass Transf. 2009, 36, 917–920. [Google Scholar] [CrossRef]
- Oh, K.W.; Lee, K.; Ahn, B.; Furlani, E.P. Design of pressure-driven microfluidic networks using electric circuit analogy. Lab Chip 2011, 12, 515–545. [Google Scholar] [CrossRef]
- Israelachvili, J. Intermolecular and Surface Forces, 2nd ed.; Academic Press: London, UK, 1991. [Google Scholar]
- Hunter, R.J. Foundations of Colloid Science, 2nd ed.; Oxford University Press: New York, NY, USA, 2001. [Google Scholar]
- Li, D. Electrokinetics in Microfluidics; Academic Press: Oxford, UK, 2004. [Google Scholar]
- Karniadakis, G.E.; Beskok, A. Micro Flows: Fundamentals and Simulation; Springer: Berlin, Germany, 2002. [Google Scholar]
- Burgreen, D.; Nakache, F.R. Eletrokinetic flow in ultrafine capillary silts. J. Phys. Chem. 1964, 68, 1084–1091. [Google Scholar] [CrossRef]
- Rice, C.L.; Whitehead, R. Electro kinetic flow in a narrow cylindrical capillary. J. Phys. Chem. 1965, 69, 4017–4023. [Google Scholar] [CrossRef]
- Keh, H.J.; Liu, Y.C. Electroosmotic flow in a circular capillary with a surface charge layer. J. Colloid Interface Surf. 1995, 172, 222–229. [Google Scholar] [CrossRef]
- Herr, A.; Molho, J.; Santiago, J.; Mungal, M.; Kenny, T.; Garguilo, M. Electroosmotic capillary flow with nonuniform zeta potential. Anal. Chem. 2000, 72, 1053–1057. [Google Scholar] [CrossRef]
- Xuan, X.; Li, D. Electroosmotic flow in microchannels with arbitrary geometry and arbitrary distribution of wall charge. J. Colloid Interface Surf. 2005, 289, 291–303. [Google Scholar] [CrossRef] [PubMed]
- Horiuchi, K.; Dutta, P. Joule heating effects in electroosmotically driven microchannel flows. Int. J. Heat Mass Transf. 2004, 47, 3085–3095. [Google Scholar] [CrossRef]
- Shamloo, A.; Merdasi, A.; Vatankhah, P. Numerical simulation of heat transfer in mixed electroosmotic pressure-driven flow in straight microchannels. J. Therm. Sci. Eng. Appl. 2016, 8, 021011. [Google Scholar] [CrossRef]
- Husain, A.; Kim, K.-Y. Electroosmotically enhanced microchannel heat sinks. J. Mech. Sci. Technol. 2009, 23, 814–822. [Google Scholar] [CrossRef]
- Maynes, D.; Webb, B.W. Fully developed electro-osmotic heat transfer in microchannels. Int. J. Heat Mass Transf. 2003, 46, 1359–1369. [Google Scholar] [CrossRef]
- Mandelbrot, B.B. The Fractal Geometry of Nature; Freeman: New York, NY, USA, 1982. [Google Scholar]
- Murray, C.D. The physiological principle of minimum work—I: The vascular system and the cost of blood volume. Proc. Natl. Acad. Sci. USA 1926, 12, 207–214. [Google Scholar] [CrossRef]
- Xu, P.; Yu, B. The scaling laws of transport properties for fractal-like tree networks. J. Appl. Phys. 2006, 100, 104906. [Google Scholar] [CrossRef]
- Xu, P.; Sasmito, A.P.; Yu, B.; Mujumdar, A.S. Transport phenomena and properties in treelike networks. Appl. Mech. Rev. 2016, 68, 040802. [Google Scholar] [CrossRef]
- Jing, D.; Song, S.; He, L. Reexamination of Murray’s law for tree-like rectangular microchannel network with constant channel height. Int. J. Heat Mass Transf. 2019, 128, 1344–1350. [Google Scholar] [CrossRef]
- Jing, D.; Song, J. Comparison on the hydraulic and thermal performances of two tree-like channel networks with different size constraints. Int. J. Heat Mass Transf. 2019, 130, 1070–1074. [Google Scholar] [CrossRef]
- Patankar, N.A.; Hu, H.H. Numerical simulation of electroosmotic flow. Anal. Chem. 1998, 70, 1870–1881. [Google Scholar] [CrossRef] [PubMed]
- Ebrahimi, S.; Hasanzadeh-Barforoushi, A.; Nejat, A.; Kowsary, F. Numerical study of mixing and heat transfer in mixed electroosmotic/pressure driven flow through T-shaped microchannels. Int. J. Heat Mass Transf. 2014, 75, 565–580. [Google Scholar] [CrossRef]
- Wang, G.; Qian, N.; Ding, G. Heat transfer enhancement in microchannel heat sink with bidirectional rib. Int. J. Heat Mass Transf. 2019, 136, 597–609. [Google Scholar] [CrossRef]
- Liu, H.; Qi, D.; Shao, X.; Wang, W. An experimental and numerical investigation of heat transfer enhancement in annular microchannel heat sinks. Int. J. Therm. Sci. 2019, 142, 106–120. [Google Scholar] [CrossRef]
- Jing, D.; He, L. Numerical studies on the hydraulic and thermal performances of microchannels with different cross-sectional shapes. Int. J. Heat Mass Transf. 2019, 143, 118604. [Google Scholar] [CrossRef]
- Jing, D.; Zhan, X. Cross-sectional dimension dependence of electroosmotic flow in fractal treelike rectangular microchannel network. Micromachines 2020, 11, 266. [Google Scholar] [CrossRef] [PubMed]
- Morini, G.L.; Lorenzini, M.; Salvigni, S.; Spiga, M. Thermal performance of silicon micro heat-sinks with electrokinetically-driven flows. Int. J. Therm. Sci. 2006, 45, 955–961. [Google Scholar] [CrossRef]
- Shah, R.K.; London, A.L. Laminar Flow Forced Convection in Ducts; Academics Press: New York, NY, USA, 1978. [Google Scholar]










| Adjusted Diameter Ratio β = d1/d0 of the Daughter Channel and Parent Channel | ||||||||
|---|---|---|---|---|---|---|---|---|
| β | 1 | 0.9 | 0.8 | 0.7 | 0.6 | 0.5 | 0.4 | 0.3 |
| d0 (μm) | 70.22 | 74.595 | 79.465 | 85.025 | 91.4 | 98.8 | 107.475 | 117.775 |
| d1 (μm) | 70.22 | 67.1355 | 63.572 | 59.5175 | 54.84 | 49.4 | 42.99 | 35.3325 |
| Adjusted Widths Ratio κ = W1/W0 of the Daughter Channel and Parent Channel | |||||||||
|---|---|---|---|---|---|---|---|---|---|
| κ | H (μm) | W0 (μm) | W1 (μm) | H (μm) | W0 (μm) | W1 (μm) | H (μm) | W0 (μm) | W1 (μm) |
| 1 | 40 | 70.44 | 70.44 | 60 | 50.35 | 50.35 | 80 | 30.214 | 30.214 |
| 0.9 | 74.775 | 67.2975 | 53.45 | 48.105 | 32.075 | 28.8675 | |||
| 0.8 | 79.675 | 63.34 | 56.955 | 45.564 | 34.18 | 27.344 | |||
| 0.7 | 85.253 | 59.6771 | 60.945 | 42.6615 | 36.576 | 25.6032 | |||
| 0.6 | 91.66 | 54.996 | 65.536 | 39.3216 | 39.334 | 23.6004 | |||
| 0.5 | 99.096 | 49.548 | 70.135 | 35.0675 | 42.54 | 21.27 | |||
| 0.4 | 107.808 | 43.1232 | 77.12 | 30.86 | 46.306 | 18.5224 | |||
| 0.3 | 118.163 | 35.4489 | 84.581 | 25.3743 | 50.8 | 15.24 | |||
| Adjusted Rectangular Channel Height H of the Parent Channel and Daughter Channel | |||||||||
|---|---|---|---|---|---|---|---|---|---|
| H (μm) | κ | W0 (μm) | W1 (μm) | κ | W0 (μm) | W1 (μm) | κ | W0 (μm) | W1 (μm) |
| 20 | 0.3 | 151.438 | 45.4314 | 0.5 | 127.25 | 63.625 | 0.8 | 102.34 | 81.872 |
| 30 | 134.937 | 40.4811 | 113.183 | 56.5915 | 91.014 | 72.8112 | |||
| 40 | 118.163 | 35.4489 | 99.096 | 49.548 | 79.675 | 63.34 | |||
| 50 | 101.426 | 30.4278 | 84.987 | 42.5 | 68.323 | 54.6584 | |||
| 60 | 93.005 | 27.9015 | 77.925 | 38.9625 | 62.64 | 50.112 | |||
| 70 | 84.578 | 25.3734 | 70.135 | 35.0675 | 56.955 | 45.564 | |||
| 80 | 67.704 | 20.3112 | 56.71 | 28.355 | 45.574 | 36.4592 | |||
| Materials | Density (kg/m3) | Thermal Conductivity (W/(m × K)) | Specific Heat (J/(kg × K)) | Viscosity (Pa × s) | Electrical Conductivity (S/m) | Permittivity (F/m) |
|---|---|---|---|---|---|---|
| Si | 2329 | 130 | 700 | – | – | – |
| Water | 996 | 0.6 | 4182 | 1.0 × 10−3 | 5.5 × 10−6 | 70.8 |
| Test Number i | Mesh Number | vin [m/s] | (vini+1−vini)/vini | vout [m/s] | (vouti+1−vouti)/ vouti | Tmax [K] | (Tmaxi+1−Tmaxi) /Tmaxi |
|---|---|---|---|---|---|---|---|
| 1 | 2.05 × 104 | 0.393931 | – | 0.18262 | – | 307.1497 | – |
| 2 | 4.37 × 104 | 0.393709 | 1.55 × 10−3 | 0.18122 | −7.7 × 10−3 | 307.8948 | 2.43 × 10−3 |
| 3 | 1.07 × 105 | 0.393999 | 0.74 × 10−3 | 0.18059 | −3.5 × 10−3 | 308.7434 | 2.76 × 10−3 |
| 4 | 3.02 × 105 | 0.393844 | −0.39 × 10−3 | 0.18076 | 0.94 × 10−3 | 309.0823 | 1.1 × 10−3 |
© 2020 by the authors. Licensee MDPI, Basel, Switzerland. This article is an open access article distributed under the terms and conditions of the Creative Commons Attribution (CC BY) license (http://creativecommons.org/licenses/by/4.0/).
Share and Cite
Jing, D.; Song, J. Numerical Studies on the Thermal Performances of Electroosmotic Flow in Y-Shaped Microchannel Heat Sink. Coatings 2020, 10, 380. https://doi.org/10.3390/coatings10040380
Jing D, Song J. Numerical Studies on the Thermal Performances of Electroosmotic Flow in Y-Shaped Microchannel Heat Sink. Coatings. 2020; 10(4):380. https://doi.org/10.3390/coatings10040380
Chicago/Turabian StyleJing, Dalei, and Jian Song. 2020. "Numerical Studies on the Thermal Performances of Electroosmotic Flow in Y-Shaped Microchannel Heat Sink" Coatings 10, no. 4: 380. https://doi.org/10.3390/coatings10040380
APA StyleJing, D., & Song, J. (2020). Numerical Studies on the Thermal Performances of Electroosmotic Flow in Y-Shaped Microchannel Heat Sink. Coatings, 10(4), 380. https://doi.org/10.3390/coatings10040380
