One Health Antimicrobial Resistance in Qatar: A Comprehensive Systematic Review and Meta-Analysis of Animal, Food, and Environmental Reservoirs
Abstract
1. Introduction
2. Results
2.1. Outcome of Study Identification Process
2.2. Study Characteristics
2.3. Risk of Bias Assessment
2.4. Bacterial Isolates, Tested Abs Panel, and ARG’s Distribution
2.5. Meta-Analysis Results
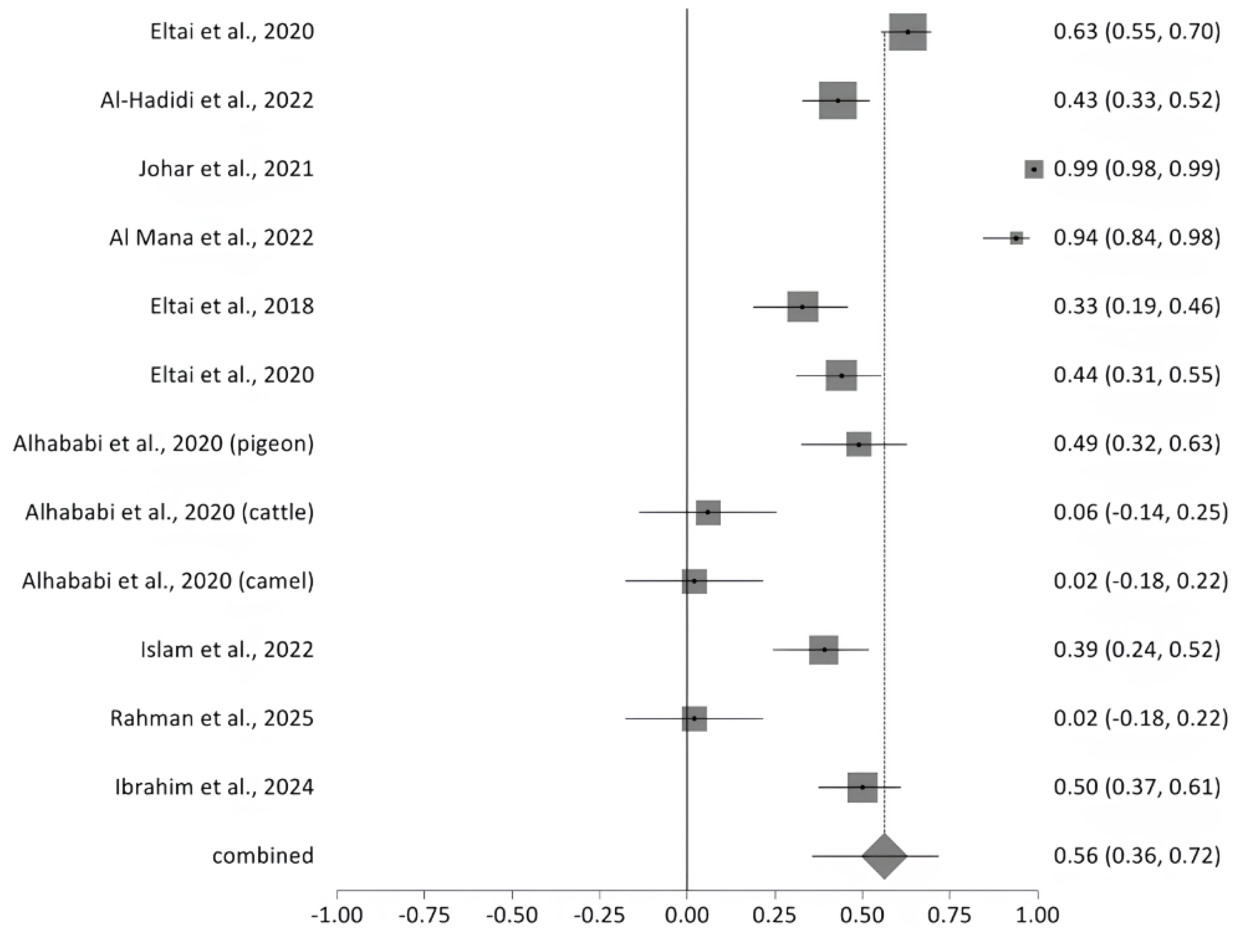
2.5.1. Pooled AMR Prevalence of the Most Commonly Studied Antibiotics
2.5.2. Resistance Patterns and Meta-Analysis by Source: Animals, Food Products, and Environmental Samples
2.5.3. Resistance Patterns and Meta-Analysis of Critically Important Antimicrobials
2.5.4. Pooled AMR Prevalence of the Most Commonly Studied Non-CIAs
2.5.5. Prevalence and Characterization of ESBL Production
2.5.6. Prevalence of Multidrug Resistance
2.5.7. Most Common Reported Isolate
3. Discussion
4. Methods
4.1. Study Protocol
4.2. Search Strategy
4.3. Screening and Eligibility of Studies
Inclusion Criteria and Exclusion Criteria
4.4. Data Extraction
4.5. Statistical Analysis and Meta-Analysis
5. Conclusions
Supplementary Materials
Author Contributions
Funding
Institutional Review Board Statement
Informed Consent Statement
Data Availability Statement
Acknowledgments
Conflicts of Interest
Abbreviations
| AMR | Antimicrobial Resistance |
| Abs | Antibiotics |
| ARGs | Antimicrobial Resistance Genes |
| AST | Antimicrobial Susceptibility Testing |
| AWaRe | Access, Watch, and Reserve (WHO classification of antibiotics) |
| CIA | Critically Important Antimicrobials |
| ESBL | Extended-Spectrum Beta-Lactamase |
| GCC | Gulf Cooperation Council |
| GCC-IC | Gulf Cooperation Council Center for Infection Control |
| GLASS | Surveillance System |
| MDR | Multidrug Resistance/Multidrug-Resistant |
| MRSA | Methicillin-Resistant Staphylococcus aureus. |
| N/A | Not Applicable |
| N/R | Not Reported |
| One Health | Integrated approach linking human, animal, and environmental health |
| PCR | Polymerase Chain Reaction |
| TrACSS | Tracking AMR Country Self-Assessment Survey |
| WHO | World Health Organization |
| WOAH | World Organization for Animal Health (formerly OIE) |
References
- WHO. Antimicrobial Resistance. Available online: https://www.who.int/news-room/fact-sheets/detail/antimicrobial-resistance (accessed on 9 March 2025).
- Balkhy, H.H.; Assiri, A.M.; Mousa, H.A.; Al-Abri, S.S.; Al-Katheeri, H.; Alansari, H.; Abdulrazzaq, N.M.; Aidara-Kane, A.; Pittet, D.; Erlacher-Vindel, E.; et al. The Strategic Plan for Combating Antimicrobial Resistance in Gulf Cooperation Council States. J. Infect. Public Health 2016, 9, 375–385. [Google Scholar] [CrossRef]
- Murray, C.J.L.; Ikuta, K.S.; Sharara, F.; Swetschinski, L.; Robles Aguilar, G.; Gray, A.; Han, C.; Bisignano, C.; Rao, P.; Wool, E.; et al. Global Burden of Bacterial Antimicrobial Resistance in 2019: A Systematic Analysis. Lancet 2022, 399, 629–655. [Google Scholar] [CrossRef]
- Ahmed, S.K.; Hussein, S.; Qurbani, K.; Ibrahim, R.H.; Fareeq, A.; Mahmood, K.A.; Mohamed, M.G. Antimicrobial Resistance: Impacts, Challenges, and Future Prospects. J. Med. Surg. Public Health 2024, 2, 100081. [Google Scholar] [CrossRef]
- GLASS WHO. Global Antimicrobial Resistance and Use Surveillance System (GLASS). Available online: https://www.who.int/initiatives/glass (accessed on 9 March 2025).
- WHO, (TrACSS). 2017—2021 TrACSS Country Report on the Implementation of National Action Plan on Antimicrobial Resistance (AMR); WHO: Geneva, Switzerland, 2021. [Google Scholar]
- TrACSS WHO. Tracking AMR Country Self Assessment Survey, Qatar 2022; WHO: Geneva, Switzerland, 2022. [Google Scholar]
- Franklin, A.M.; Weller, D.L.; Durso, L.M.; Bagley, M.; Davis, B.C.; Frye, J.G.; Grim, C.J.; Ibekwe, A.M.; Jahne, M.A.; Keely, S.P.; et al. A One Health Approach for Monitoring Antimicrobial Resistance: Developing a National Freshwater Pilot Effort. Front. Water 2024, 6, 1359109. [Google Scholar] [CrossRef]
- Arnold, K.E.; Laing, G.; McMahon, B.J.; Fanning, S.; Stekel, D.J.; Pahl, O.; Coyne, L.; Latham, S.M.; McIntyre, K.M. The Need for One Health Systems-Thinking Approaches to Understand Multiscale Dissemination of Antimicrobial Resistance. Lancet Planet. Health 2024, 8, e124–e133. [Google Scholar] [CrossRef] [PubMed]
- WHO. Global Action Plan on Antimicrobial Resistance; World Health Organization: Geneva, Switzerland, 2015; ISBN 978-92-4-150976-3. [Google Scholar]
- Samhouri, D.; Mahrous, H.; Saidouni, A.; El Kholy, A.; Ghazy, R.M.; Sadek, M.; Kodama, C.; Tayler, E.; Holm, M.; Al Eryani, S.M.; et al. Review on Progress, Challenges, and Recommendations for Implementing the One Health Approach in the Eastern Mediterranean Region. One Health 2025, 20, 101057. [Google Scholar] [CrossRef]
- Bansal, D.; Jaffrey, S.; Al-Emadi, N.A.; Hassan, M.; Islam, M.M.; Al-Baker, W.A.A.; Radwan, E.; Hamdani, D.; Haroun, M.I.; Enan, K.; et al. A New One Health Framework in Qatar for Future Emerging and Re-Emerging Zoonotic Diseases Preparedness and Response. One Health 2023, 16, 100487. [Google Scholar] [CrossRef] [PubMed]
- El-Ruz, R.A.; Masoud, O.A.; Ibrahim, A.A.; Chivese, T.; Zughaier, S.M. The Epidemiology of Antimicrobial Resistant Bacterial Infection in Qatar: A Systematic Review and Meta-Analysis. J. Infect. Public Health 2025, 18, 102732. [Google Scholar] [CrossRef]
- Eltai, N.O.; Yassine, H.M.; El-Obeid, T.; Al-Hadidi, S.H.; Al Thani, A.A.; Alali, W.Q. Prevalence of Antibiotic-Resistant Escherichia Coli Isolates from Local and Imported Retail Chicken Carcasses. J. Food Prot. 2020, 83, 2200–2208. [Google Scholar] [CrossRef]
- Al-Hadidi, S.H.; Al Mana, H.; Almoghrabi, S.Z.; El-Obeid, T.; Alali, W.Q.; Eltai, N.O. Retail Chicken Carcasses as a Reservoir of Multidrug-Resistant Salmonella. Microb. Drug Resist. 2022, 28, 824–831. [Google Scholar] [CrossRef]
- Johar, A.; Al-Thani, N.; Al-Hadidi, S.H.; Dlissi, E.; Mahmoud, M.H.; Eltai, N.O. Antibiotic Resistance and Virulence Gene Patterns Associated with Avian Pathogenic Escherichia coli (APEC) from Broiler Chickens in Qatar. Antibiotics 2021, 10, 564. [Google Scholar] [CrossRef]
- Al Mana, H.A.; Johar, A.A.; Kassem, I.I.; Eltai, N.O. Transmissibility and Persistence of the Plasmid-Borne Mobile Colistin Resistance Gene, Mcr-1, Harbored in Poultry-Associated E. coli. Antibiotics 2022, 11, 774. [Google Scholar] [CrossRef] [PubMed]
- Gomez, A.M.M.; Nunez, E.A.; McDonough, P.; Chang, Y.-F.; Mohammed, H.O. Prevalence of Antibiotic Resistant Pathogenic E. coli from Animals, Retail and Humans Diagnosed with Gastroenteritisv. J. Food Saf. Hyg. 2021, 3, 999–1004. [Google Scholar] [CrossRef]
- M Kurdi Al-Dulaimi, M.; Abd Mutalib, S.; Abd Ghani, M.; Mohd. Zaini, N.A.; Ariffin, A.A. Multiple Antibiotic Resistance (MAR), Plasmid Profiles, and DNA Polymorphisms among Vibrio vulnificus Isolates. Antibiotics 2019, 8, 68. [Google Scholar] [CrossRef] [PubMed]
- Eltai, N.O.; Abdfarag, E.A.; Al-Romaihi, H.; Wehedy, E.; Mahmoud, M.H.; Alawad, O.K.; Al-Hajri, M.M.; Al Thani, A.A.; Yassine, H.M. Antibiotic Resistance Profile of Commensal Escherichia coli Isolated from Broiler Chickens in Qatar. J. Food Prot. 2018, 81, 302–307. [Google Scholar] [CrossRef]
- Eltai, N.; Thani, A.A.A.; Al-Hadidi, S.H.; Abdfarag, E.A.; Al-Romaihi, H.; Mahmoud, M.H.; Alawad, O.K.; Yassine, H.M. Antibiotic Resistance Profile of Commensal Escherichia coli Isolated from Healthy Sheep in Qatar. J. Infect. Dev. Ctries. 2020, 14, 138–145. [Google Scholar] [CrossRef]
- Alhababi, D.A.; Eltai, N.O.; Nasrallah, G.K.; Farg, E.A.; Al Thani, A.A.; Yassine, H.M. Antimicrobial Resistance of Commensal Escherichia coli Isolated from Food Animals in Qatar. Microb. Drug Resist. 2020, 26, 420–427. [Google Scholar] [CrossRef]
- Islam, M.M.; Farag, E.; Hassan, M.M.; Enan, K.A.; Mohammad Sabeel, K.V.; Alhaddad, M.M.; Smatti, M.K.; Al-Marri, A.M.; Al-Zeyara, A.A.; Al-Romaihi, H.; et al. Diversity of Bacterial Pathogens and Their Antimicrobial Resistance Profile among Commensal Rodents in Qatar. Vet. Res. Commun. 2022, 46, 487–498. [Google Scholar] [CrossRef]
- Rahman, A.; Ahmed, S.E.; Osman, S.A.; Al-Haddad, R.A.; Almiski, A.; Kamar, R.; Abdelrahman, H.; Kassem, I.I.; Dogliero, A.; Eltai, N.O. A Snapshot of Antimicrobial Resistance in Semi-Wild Oryx: Baseline Data from Qatar. Antibiotics 2025, 14, 248. [Google Scholar] [CrossRef]
- Sajjad, B.; Rasool, K.; Siddique, A.; Jabbar, K.A.; El-Malaha, S.S.; Sohail, M.U.; Almomani, F.; Alfarra, M.R. Size-Resolved Ambient Bioaerosols Concentration, Antibiotic Resistance, and Community Composition during Autumn and Winter Seasons in Qatar. Environ. Pollut. 2023, 336, 122401. [Google Scholar] [CrossRef]
- Sajjad, B.; Siddique, A.; Rasool, K.; Jabbar, K.A.; El-Malah, S.S.; Almomani, F.; Alfarra, M.R. Seasonal and Spatial Variations in Concentration, Diversity, and Antibiotic Resistance of Ambient Bioaerosols in an Arid Region. Environ. Res. 2024, 262, 119879. [Google Scholar] [CrossRef]
- Ibrahim, K.; Tahsin, M.; Rahman, A.; Rahman, S.M.; Rahman, M.M. Surveillance of Bacterial Load and Multidrug-Resistant Bacteria on Surfaces of Public Restrooms. Int. J. Environ. Res. Public Health 2024, 21, 574. [Google Scholar] [CrossRef] [PubMed]
- Johar, A.A.; Salih, M.A.; Abdelrahman, H.A.; Al Mana, H.; Hadi, H.A.; Eltai, N.O. Wastewater-Based Epidemiology for Tracking Bacterial Diversity and Antibiotic Resistance in COVID-19 Isolation Hospitals in Qatar. J. Hosp. Infect. 2023, 141, 209–220. [Google Scholar] [CrossRef]
- Moola, S.; Munn, Z.; Tufanaru, C.; Aromataris, E.; Sears, K.; Sfetcu, R.; Currie, M.; Lisy, K.; Qureshi, R.; Mattis, P.; et al. Chapter 7: Systematic Reviews of Etiology and Risk. In Critical Appraisal Checklist for Analytical Cross Sectional Studies; The Joanna Briggs Institute: Adelaide, Australia, 2017. [Google Scholar]
- Matheou, A.; Abousetta, A.; Pascoe, A.P.; Papakostopoulos, D.; Charalambous, L.; Panagi, S.; Panagiotou, S.; Yiallouris, A.; Filippou, C.; Johnson, E.O. Antibiotic Use in Livestock Farming: A Driver of Multidrug Resistance? Microorganisms 2025, 13, 779. [Google Scholar] [CrossRef]
- Ayoub, H.; Kumar, M.S.; Dubal, Z.B.; Bhilegaonkar, K.N.; Nguyen-Viet, H.; Grace, D.; Thapliyal, S.; Sanjumon, E.S.; Sneha, E.N.P.; Premkumar, D.; et al. Systematic Review and Meta-Analysis on Prevalence and Antimicrobial Resistance Patterns of Important Foodborne Pathogens Isolated from Retail Chicken Meat and Associated Environments in India. Foods 2025, 14, 555. [Google Scholar] [CrossRef]
- Akwongo, C.J.; Borrelli, L.; Houf, K.; Fioretti, A.; Peruzy, M.F.; Murru, N. Antimicrobial Resistance in Wild Game Mammals: A Glimpse into the Contamination of Wild Habitats in a Systematic Review and Meta-Analysis. BMC Vet. Res. 2025, 21, 14. [Google Scholar] [CrossRef]
- Le Quesne, W.J.F.; Baker-Austin, C.; Verner-Jeffreys, D.W.; Al-Sarawi, H.A.; Balkhy, H.H.; Lyons, B.P. Antimicrobial Resistance in the Gulf Cooperation Council Region: A Proposed Framework to Assess Threats, Impacts and Mitigation Measures Associated with AMR in the Marine and Aquatic Environment. Environ. Int. 2018, 121, 1003–1010. [Google Scholar] [CrossRef]
- Nnah, E.P.; Asante, J.; Amoako, D.G.; Abia, A.L.K.; Essack, S.Y. Antibiotic-Resistant Escherichia coli (E. coli) at One Health Interfaces in Africa: A Scoping Review. Sci. Total Environ. 2025, 958, 177580. [Google Scholar] [CrossRef]
- Poirel, L.; Madec, J.-Y.; Lupo, A.; Schink, A.-K.; Kieffer, N.; Nordmann, P.; Schwarz, S. Antimicrobial Resistance in Escherichia coli. Microbiol. Spectr. 2018, 6, 10–1128. [Google Scholar] [CrossRef]
- WHO. Critically Important Antimicrobials for Human Medicine, 6th ed.; World Health Organization: Geneva, Switzerland, 2019; ISBN 978-92-4-151552-8. [Google Scholar]
- WHO. AWaRe Classification of Antibiotics for Evaluation and Monitoring of Use; WHO: Geneva, Switzerland, 2023. [Google Scholar]
- WOAH. Report of the Meeting of the WOAH Working Group on Antimicrobial Resistance; 1–3 April 2025; Paris, France. World Organisation for Animal Health: Paris, France, 2025. Available online: https://www.woah.org/app/uploads/2025/05/202504-amrwg-report-april-en-1.pdf (accessed on 15 June 2025).
- Zhao, C.; Wang, Y.; Mulchandani, R.; Van Boeckel, T.P. Global Surveillance of Antimicrobial Resistance in Food Animals Using Priority Drugs Maps. Nat. Commun. 2024, 15, 763. [Google Scholar] [CrossRef]
- Ma, F.; Xu, S.; Tang, Z.; Li, Z.; Zhang, L. Use of Antimicrobials in Food Animals and Impact of Transmission of Antimicrobial Resistance on Humans. Biosaf. Health 2021, 3, 32–38. [Google Scholar] [CrossRef]
- Habib, I.; Mohteshamuddin, K.; Mohamed, M.-Y.I.; Lakshmi, G.B.; Abdalla, A.; Bakhit Ali Alkaabi, A. Domestic Pets in the United Arab Emirates as Reservoirs for Antibiotic-Resistant Bacteria: A Comprehensive Analysis of Extended-Spectrum Beta-Lactamase Producing Escherichia coli Prevalence and Risk Factors. Animals 2023, 13, 1587. [Google Scholar] [CrossRef]
- Al-Zenki, S.; Al-Nasser, A.; Al-Safar, A.; Alomirah, H.; Al-Haddad, A.; Hendriksen, R.S.; Aarestrup, F.M. Prevalence and Antibiotic Resistance of Salmonella Isolated from a Poultry Farm and Processing Plant Environment in the State of Kuwait. Foodborne Pathog. Dis. 2007, 4, 367–373. [Google Scholar] [CrossRef]
- Alkuraythi, D.M.; Alkhulaifi, M.M. Methicillin-Resistant Staphylococcus aureus Prevalence in Food-Producing Animals and Food Products in Saudi Arabia: A Review. Vet. World 2024, 17, 1753–1764. [Google Scholar] [CrossRef] [PubMed]
- El-Deeb, W.; Cave, R.; Fayez, M.; Alhumam, N.; Quadri, S.; Mkrtchyan, H.V. Methicillin Resistant Staphylococci Isolated from Goats and Their Farm Environments in Saudi Arabia Genotypically Linked to Known Human Clinical Isolates: A Pilot Study. Microbiol. Spectr. 2022, 10, e0038722. [Google Scholar] [CrossRef]
- Habib, I.; Elbediwi, M.; Mohteshamuddin, K.; Mohamed, M.-Y.I.; Lakshmi, G.B.; Abdalla, A.; Anes, F.; Ghazawi, A.; Khan, M.; Khalifa, H. Genomic Profiling of Extended-Spectrum β-Lactamase-Producing Escherichia coli from Pets in the United Arab Emirates: Unveiling Colistin Resistance Mediated by Mcr-1.1 and Its Probable Transmission from Chicken Meat—A One Health Perspective. J. Infect. Public Health 2023, 16 (Suppl. 1), 163–171. [Google Scholar] [CrossRef]
- Ali, S.; Alsayeqh, A.F. Review of Major Meat-Borne Zoonotic Bacterial Pathogens. Front. Public Health 2022, 10, 1045599. [Google Scholar] [CrossRef]
- Alharbi, N.S.; Khaled, J.M.; Kadaikunnan, S.; Alobaidi, A.S.; Sharafaddin, A.H.; Alyahya, S.A.; Almanaa, T.N.; Alsughayier, M.A.; Shehu, M.R. Prevalence of Escherichia Coli Strains Resistance to Antibiotics in Wound Infections and Raw Milk. Saudi J. Biol. Sci. 2019, 26, 1557–1562. [Google Scholar] [CrossRef]
- Alsayeqh, A.F.; Baz, A.H.A.; Darwish, W.S. Antimicrobial-Resistant Foodborne Pathogens in the Middle East: A Systematic Review. Environ. Sci. Pollut. Res. Int. 2021, 28, 68111–68133. [Google Scholar] [CrossRef]
- Habib, I.; Mohamed, M.-Y.I.; Lakshmi, G.B.; Anes, F.; Goering, R.; Khan, M.; Senok, A. Prevalence, Antimicrobial Resistance, and Distribution of Toxin Genes in Methicillin-Resistant Staphylococcus aureus from Retail Meat and Fruit and Vegetable Cuts in the United Arab Emirates. Front. Cell. Infect. Microbiol. 2025, 15, 1628036. [Google Scholar] [CrossRef]
- Alsager, O.A.; Alnajrani, M.N.; Abuelizz, H.A.; Aldaghmani, I.A. Removal of Antibiotics from Water and Waste Milk by Ozonation: Kinetics, Byproducts, and Antimicrobial Activity. Ecotoxicol. Environ. Saf. 2018, 158, 114–122. [Google Scholar] [CrossRef]
- Elbehiry, A.; Marzouk, E. From Farm to Fork: Antimicrobial-Resistant Bacterial Pathogens in Livestock Production and the Food Chain. Vet. Sci. 2025, 12, 862. [Google Scholar] [CrossRef]
- Abdel-Hameed, R.; Abd-Elhafeez, H.H.; Abdel-Hakeem, S.S.; AlElaimi, M.; Abourashed, N.M.; Ashmawy, A.M.; Ali, E.; Huwaimel, B.; Alshammary, F.; Abou-Elhamd, A.S.; et al. Environmental Bovine Subclinical Mastitis Gram-Negative Pathogens: Prevalence, Antimicrobial Resistance with Special Reference to Extended-Spectrum β-Lactamases and Carbapenemase Production. Res. Vet. Sci. 2025, 192, 105702. [Google Scholar] [CrossRef]
- Habib, I.; Al-Rifai, R.H.; Mohamed, M.-Y.I.; Ghazawi, A.; Abdalla, A.; Lakshmi, G.; Agamy, N.; Khan, M. Contamination Levels and Phenotypic and Genomic Characterization of Antimicrobial Resistance in Escherichia coli Isolated from Fresh Salad Vegetables in the United Arab Emirates. Trop. Med. Infect. Dis. 2023, 8, 294. [Google Scholar] [CrossRef] [PubMed]
- Lupo, A.; Haenni, M.; Madec, J.-Y. Antimicrobial Resistance in Acinetobacter spp. and Pseudomonas spp. Microbiol. Spectr. 2018, 6, 10–1128. [Google Scholar] [CrossRef]
- Męcik, M.; Stefaniak, K.; Harnisz, M.; Korzeniewska, E. Hospital and Municipal Wastewater as a Source of Carbapenem-Resistant Acinetobacter baumannii and Pseudomonas aeruginosa in the Environment: A Review. Environ. Sci. Pollut. Res. Int. 2024, 31, 48813. [Google Scholar] [CrossRef] [PubMed]
- Wojcik, G.; Anderson, L.; Johnston, L.; Moffat, S.; Morrison, D. Literature Review on Antimicrobial Resistance in Relation to the Environment in Scotland. 2024. Available online: https://environmentalstandards.scot/publications/literature-review-on-anti-microbial-resistance-in-relation-to-the-environment-in-scotland/ (accessed on 10 July 2025).
- Fouz, N.; Pangesti, K.N.A.; Yasir, M.; Al-Malki, A.L.; Azhar, E.I.; Hill-Cawthorne, G.A.; Abd El Ghany, M. The Contribution of Wastewater to the Transmission of Antimicrobial Resistance in the Environment: Implications of Mass Gathering Settings. Trop. Med. Infect. Dis. 2020, 5, 33. [Google Scholar] [CrossRef]
- Basode, V.K.; Abdulhaq, A.; Alamoudi, M.U.A.; Tohari, H.M.; Quhal, W.A.; Madkhali, A.M.; Hobani, Y.H.; Hershan, A.A. Prevalence of a Carbapenem-Resistance Gene (KPC), Vancomycin-Resistance Genes (van A/B) and a Methicillin-Resistance Gene (mecA) in Hospital and Municipal Sewage in a Southwestern Province of Saudi Arabia. BMC Res. Notes 2018, 11, 30. [Google Scholar] [CrossRef]
- Schwebs, T.; Kieninger, A.-K.; Podpera Tisakova, L.; Oberbauer, V.; Berdaguer, R.; Mtshali, A.; Mzobe, G.; Rompalo, A.; Mindel, A.; Letsoalo, M.; et al. Evaluation of Metronidazole Resistance of Vaginal Swab Isolates from South African Women Treated for Bacterial Vaginosis. Antibiotics 2024, 13, 1217. [Google Scholar] [CrossRef]
- Light, E.; Baker-Austin, C.; Card, R.M.; Ryder, D.; Alves, M.T.; Al-Sarawi, H.A.; Abdulla, K.H.; Stahl, H.; Al-Ghabshi, A.; Alghoribi, M.F.; et al. Establishing a Marine Monitoring Programme to Assess Antibiotic Resistance: A Case Study from the Gulf Cooperation Council (GCC) Region. Environ. Adv. 2022, 9, 100268. [Google Scholar] [CrossRef]
- Aldosary, B.; Chouayekh, H.; Alkhammash, A.; Aljuaydi, W.; El-Kot, G.; Alhotan, A.; Aljarbou, W.; Alshehri, A. Detection of Antibiotic-Resistant Airborne Bacteria in Restaurant Environments in Riyadh City. Health Secur. 2025, 23, 94–101. [Google Scholar] [CrossRef]
- Habibi, N.; Uddin, S.; Behbehani, M.; Kishk, M.; Abdul Razzack, N.; Zakir, F.; Shajan, A. Antibiotic Resistance Genes in Aerosols: Baseline from Kuwait. Int. J. Mol. Sci. 2023, 24, 6756. [Google Scholar] [CrossRef]
- Dhanush, C.K.; Lekshmi, M.; Girisha, S.K.; Nayak, B.B.; Kumar, S.H. Quinolone and Colistin Resistance Genes in Extended-Spectrum Beta-Lactamase (ESBL)-Producing Escherichia coli of Diverse Phylogenetic Groups Isolated from Seafood in Mumbai, India. Appl. Microbiol. 2025, 5, 3. [Google Scholar] [CrossRef]
- Stange, C.; Yin, D.; Xu, T.; Guo, X.; Schäfer, C.; Tiehm, A. Distribution of Clinically Relevant Antibiotic Resistance Genes in Lake Tai, China. Sci. Total Environ. 2018, 655, 337–346. [Google Scholar] [CrossRef]
- Alotaibi, A.S. Antibiotic Resistance Genes (ARGs) in the Environment of Saudi Aquaculture as a New Class of Pollutants. Aquac. Res. 2023, 2023, 6761331. [Google Scholar] [CrossRef]
- El-Tayeb, M.A.; Ibrahim, A.S.S.; Al-Salamah, A.A.; Almaary, K.S.; Elbadawi, Y.B. Prevalence, Serotyping and Antimicrobials Resistance Mechanism of Salmonella enterica Isolated from Clinical and Environmental Samples in Saudi Arabia. Braz. J. Microbiol. 2017, 48, 499–508. [Google Scholar] [CrossRef]
- Al-Dhumair, A.; Al-Hasan, M.; Al-Khalaifah, H.; Al-Mutawa, Q. A 15-Year One Health Approach to Antimicrobial Resistance in Kuwait from Hospitals to Environmental Contexts: A Systematic Review. Life 2025, 15, 1344. [Google Scholar] [CrossRef] [PubMed]
- Borgio, J.F.; Rasdan, A.S.; Sonbol, B.; Alhamid, G.; Almandil, N.B.; AbdulAzeez, S.; Borgio, J.F.; Rasdan, A.S.; Sonbol, B.; Alhamid, G.; et al. Emerging Status of Multidrug-Resistant Bacteria and Fungi in the Arabian Peninsula. Biology 2021, 10, 1144. [Google Scholar] [CrossRef]
- Wahdan, A.; Mohamed, M.; Elhaig, M.M.; Al-Rasheed, M.; Abd-Allah, E.M. Genomic Characterization and Multidrug Resistance of Pseudomonas aeruginosa Isolated from Peregrine Falcons in Saudi Arabia: A One Health Perspective. Vet. World 2025, 18, 1964–1971. [Google Scholar] [CrossRef]
- Page, M.J.; McKenzie, J.E.; Bossuyt, P.M.; Boutron, I.; Hoffmann, T.C.; Mulrow, C.D.; Shamseer, L.; Tetzlaff, J.M.; Akl, E.A.; Brennan, S.E.; et al. The PRISMA 2020 Statement: An Updated Guideline for Reporting Systematic Reviews. BMJ 2021, 372, n71. [Google Scholar] [CrossRef]













| Study | Author | Studied Sample Category/Type | Study Design | Sampling Period | Sample Size | Studied Bacteria | AMR Phenotypic Assay | Key Finding | Public Health Risk |
|---|---|---|---|---|---|---|---|---|---|
| S1: Prevalence of antibiotic-resistant Escherichia coli isolates from local and imported retail chicken carcasses | Eltai et al., 2020 [14] | Food products (animal-derived)/chicken carcass rinse | Cross-sectional study | Nov. 2017–Apr. 2018 | 270 | E. coli | Disc diffusion and double disk synergy test | MDR, ESBL, and colistin-resistant isolates were significantly more prevalent in local chilled chicken than in imported chilled and frozen samples. | The co-existence of MDR and colistin-resistant E. coli in chicken meat may reduce treatment efficacy and increase the risk of AMR transmission through the food chain. |
| S2: Retail Chicken Carcasses as a Reservoir of Multidrug-Resistant Salmonella | Al-Hadidi et al., 2022 [15] | Food products (animal-derived)/chicken carcass rinse | Cross-sectional study | Nov. 2017–Apr. 2018 | 270 | Salmonella | Disk diffusion and E-test | MDR Salmonella was more common in frozen chicken; ceftriaxone and amoxicillin-clavulanic acid resistance were higher in frozen imported samples. | MDR Salmonella in poultry highlights a tangible threat of foodborne transmission of resistance to consumers, potentially leading to infections that are difficult to treat. |
| S3: Antibiotic Resistance and Virulence Gene Patterns Associated with Avian Pathogenic Escherichia coli (APEC) from Broiler Chickens in Qatar | Johar et al., 2021 [16] | Food products (animal-derived)/chicken carcass (air sacs, cloacal, kidney, liver, and trachea) | Cross-sectional study | Sep. 2020–Dec. 2020 | 47 | E. coli | Disk Diffusion and E-test | High prevalence of antibiotic-resistant E. coli in both healthy and diseased chicken carcasses reflects persistent AMR in poultry. | Widespread resistant E. coli in poultry reflects a stable AMR source that may spread to humans via the food production and handling pipeline. |
| S4: Transmissibility and Persistence of the Plasmid-Borne Mobile Colistin Resistance Gene, mcr-1, Harbored in Poultry-Associated E. coli | Al Mana et al., 2022 [17] | Food products (animal-derived)/chicken carcass rinse | Cross-sectional study | Sep. 2016–Jan. 2017 and Nov. 2017 to Apr. 2018 | 18 | E. coli | E-test method. | The mcr-1 gene was plasmid-borne, transmissible via conjugation, found in diverse genetic backgrounds, and reduced colistin resistance in biofilms over time. | Plasmid-mediated mcr-1 gene in E. coli poses a risk of horizontal transmission of colistin resistance, compromising critical last-resort therapies. |
| S5: Prevalence of antibiotic-resistant pathogenic E. coli from animals, retail, and humans diagnosed with Gastroenteritis. | Gomez et al., 2021 [18] | Food products (animal-derived)/beef, mutton, chicken, and seafood | Cross-sectional study | NR | Retail isolates 56 | E. coli | Disk diffusion test | E. coli from animals, meat processing plants, retail, and humans revealed AMR through phenotypic and genotypic testing. | The detection of MDR E. coli throughout food processing environments signifies environmental persistence, posing risks for contamination and public exposure. |
| S6: Multiple Antibiotic Resistance (MAR), Plasmid Profiles, and DNA Polymorphisms among Vibrio vulnificus Isolates | Al-Dulaimi et al., 2019 [19] | Food products (animal- derived)/seafood (clams) | Cross-sectional study | Jul. 2013–Feb. 2014 | Qatar samples 23 | Vibrio vulnificus | Disc diffusion test | V. vulnificus isolates exhibited a high MAR index, suggesting strong environmental antibiotic pressure in seafood sources. | High MAR indices and genomic variability in V. vulnificus suggest that seafood consumers are at elevated risk of severe infection and limited treatment options. |
| S6: Antibiotic Resistance Profile of Commensal Escherichia coli Isolated from Broiler Chickens in Qatar | Eltai et al., 2018 [20] | Animals/chicken cloacal swabs | Cross-sectional study | Sep. 2016–Jan. 2017 | 172 | E. coli | E-test and double-disc synergy test. | High prevalence of antibiotic-resistant E. coli in food-producing animals may reflect prolonged antibiotic use in agriculture in Qatar. | The transfer of resistant bacteria through unhygienic food handling practices can escalate AMR spread and increase risks for vulnerable populations. |
| S7: Antibiotic resistance profile of commensal Escherichia coli isolated from healthy sheep in Qatar | Eltai et al., 2020 [21] | Animals/sheep rectal swabs | Cross-sectional study | Dec. 2016–Jul. 2017 | 171 | E. coli | E-test method | MDR E. coli was found in rectal swabs of sheep, indicating possible zoonotic transmission and environmental persistence. | Zoonotic pathogens resistant to multiple drugs can be transmitted through food or contact, posing broader public health threats beyond localized outbreaks. |
| S8: Antimicrobial Resistance of Commensal Escherichia coli Isolated from Food Animals in Qatar. | Alhababi et al., 2020 [22] | Animals/camels, cattle, and pigeons fecal samples | Cross-sectional study | Dec. 2018–Feb. 2019 | 300 | E. coli | Disk diffusion and E-test method | 70.7% of pigeon isolates showed resistance; 50% were MDR, raising concerns about their role in spreading AMR in urban environments. | High MDR levels in urban pigeons indicate a potential AMR reservoir, increasing the risk of interspecies transmission in densely populated areas. |
| S9: Diversity of bacterial pathogens and their antimicrobial resistance profile among commensal rodents in Qatar. | Islam et al., 2022 [23] | Animals/rodents’ intestinal contents | Cross-sectional study | Aug. 2019–Feb. 2020 | 148 | Mixed culture | VITEK® 2 AST-GN and VITEK® 2 AST-GN 85 | MDR pathogens were not linked to rodent species or location; 11.86% of E. coli and 22.2% of K. pneumoniae were ESBL-producers. | Rodents carrying MDR and ESBL-producing bacteria can serve as stealthy AMR vectors, affecting human and animal health through environmental or direct contact. |
| S10: A Snapshot of Antimicrobial Resistance in Semi-Wild Oryx: Baseline Data from Qatar | Rahman et al., 2025 [24] | Animals/semi-wild Arabian Oryx (Oryx leucoryx) rectal faecal | Cross-sectional study | Feb. 2024–May. 2024 | 100 | E. coli | Disk diffusion test | Low AMR in semi-wild oryx; resistance was mainly to tetracycline, with some isolates harboring ESBL and efflux pump genes. | MDR organisms in oryx imply possible environmental AMR exposure, highlighting the interconnectedness of wildlife and human health ecosystems. |
| S11: Seasonal and spatial variations in concentration, diversity, and antibiotic resistance of ambient bioaerosols in an arid region | Sajjad et al., 2023 [25] | Environment/ambient air bioaerosols | Cross-sectional study | Nov. 2021–Oct. 2022 | 300 | Mixed culture | Disk diffusion test | All bacterial isolates in the study showed 100% resistance to metronidazole, with AMR levels peaking in the humid-hot summer. | Even one MDR isolate with MAR > 0.2 signals contact with high-risk AMR zones, alerting to potential environmental or animal–human AMR pathways. |
| S12: Size-resolved ambient bioaerosols concentration, antibiotic resistance, and community composition during autumn and winter seasons in Qatar | Sajjad et al., 2024 [26] | Environment/ambient air bioaerosols | Cross-sectional study | Oct. 2021–Jan. 2022 | 156 | Mixed culture | Disk diffusion test | Frequent resistance was observed to metronidazole, ampicillin, ciprofloxacin, and trimethoprim-sulfamethoxazole across environmental samples. | Metronidazole-resistant airborne bacteria challenge current disinfection protocols and indicate environmental AMR spread, especially during warmer seasons. |
| S13: Surveillance of Bacterial Load and Multidrug-Resistant Bacteria on Surfaces of Public Restrooms | Ibrahim et al., 2024 [27] | Environment/public restrooms surfaces (seat, water sprayer, tap, inner door handle, outer door handle) | Cross-sectional study | NR | 160 | Mixed culture | BD Phoenix™ automated microbiology system | MDR Staphylococcus haemolyticus and Staphylococcus kloosii were detected in multiple samples, highlighting emerging resistance in non-enteric bacteria. | Resistance to common antimicrobials like ciprofloxacin and SXT in environmental samples undermines frontline treatment strategies for infections. |
| S14: Wastewater-based epidemiology for tracking bacterial diversity and antibiotic resistance in COVID-19 isolation hospitals in Qatar | Johar et al., 2023 [28] | Environment/waste-water | Cross-sectional study | May 2021–Nov. 2021 | 12 | Mixed culture | NA | Hospital wastewater contained 61 of 87 tested ARGs (88.5% at the COVID-19 site), with dominant ARGs including β-lactamase and fluoroquinolone resistance genes. | The presence of ARGs in hospital wastewater raises the alarm for AMR dissemination into public water supplies, endangering both human and ecological health. |
Disclaimer/Publisher’s Note: The statements, opinions and data contained in all publications are solely those of the individual author(s) and contributor(s) and not of MDPI and/or the editor(s). MDPI and/or the editor(s) disclaim responsibility for any injury to people or property resulting from any ideas, methods, instructions or products referred to in the content. |
© 2025 by the authors. Licensee MDPI, Basel, Switzerland. This article is an open access article distributed under the terms and conditions of the Creative Commons Attribution (CC BY) license (https://creativecommons.org/licenses/by/4.0/).
Share and Cite
Abu-Rub, L.I.; Kamar, R.; Fatin, C.S.; Zughaier, S.M.; Eltai, N.O. One Health Antimicrobial Resistance in Qatar: A Comprehensive Systematic Review and Meta-Analysis of Animal, Food, and Environmental Reservoirs. Antibiotics 2025, 14, 1219. https://doi.org/10.3390/antibiotics14121219
Abu-Rub LI, Kamar R, Fatin CS, Zughaier SM, Eltai NO. One Health Antimicrobial Resistance in Qatar: A Comprehensive Systematic Review and Meta-Analysis of Animal, Food, and Environmental Reservoirs. Antibiotics. 2025; 14(12):1219. https://doi.org/10.3390/antibiotics14121219
Chicago/Turabian StyleAbu-Rub, Lubna I., Ristha Kamar, Cut Salsabila Fatin, Susu M. Zughaier, and Nahla O. Eltai. 2025. "One Health Antimicrobial Resistance in Qatar: A Comprehensive Systematic Review and Meta-Analysis of Animal, Food, and Environmental Reservoirs" Antibiotics 14, no. 12: 1219. https://doi.org/10.3390/antibiotics14121219
APA StyleAbu-Rub, L. I., Kamar, R., Fatin, C. S., Zughaier, S. M., & Eltai, N. O. (2025). One Health Antimicrobial Resistance in Qatar: A Comprehensive Systematic Review and Meta-Analysis of Animal, Food, and Environmental Reservoirs. Antibiotics, 14(12), 1219. https://doi.org/10.3390/antibiotics14121219

