Effect of Meropenem, Sulbactam, and Colistin Combinations on Resistance Gene Expression in Multidrug-Resistant A. baumannii Clinical Isolates from Panama
Abstract
1. Introduction
2. Results
2.1. Antibiotic Susceptibility
2.2. Detection of Resistance Genes
2.3. Qualitative Synergies
2.4. Time-Kill Kinetics Assays
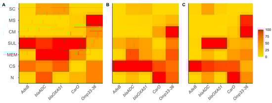
2.5. Gene Expression
3. Discussion
4. Materials and Methods
4.1. Bacterial Identification and Susceptibility
4.2. Qualitative Synergy by Checkerboard
4.3. Detection of Antimicrobial Resistance Genes
4.4. Time-Kill Curve Assays
4.5. RNA Extraction and Reverse Transcription
4.6. qPCR Expression Assays
| Gene | 5′–3′ | 3′–5′ | Source |
|---|---|---|---|
| Primers for conventional PCR | |||
| blaVIM | AGTGGTGAGTATCCGACA | ATGAAAGTGCGTGGAGAC | [45] |
| blaIMP | GGYGTTTWTGTTCATACWTCKTTYGA | GGYARCCAAACCACTASGTTATCT | |
| blaNDM-1 | AGCACACTTCCTATCTCGAC | GGCGTAGTGCTCAGTGTC | [46] |
| blaKPC | AACAAGGAATATCGTTGATG | AGATGATTTTCAGAGCCTTA | |
| blaOXA48 | ATGCGTGTATTAGCCTTACGG | TGAGCACTTCTTTTGTGAATG | [47] |
| Primers for qPCR | |||
| blaADC | TTATGCGGGCAATACACCA | CTGACAGAACCTAGCTCAAAAATG | [48] |
| blaOXA-51 | CTATGGTAATGATCTTGCTCGTG | TGGTGGTTGCCTTATGGTG | |
| 16S1 | ACGGTCGCAAGACTAAAACTCA | GTATGTCAAGGCCAGGTAAGGT | |
| carO | AGCTTTACTTGCTGCTGGTG | CGAGCGCCTACTGGAATTA | [49] |
| cpn60 | TTGACCGTGGTTATATCTCTCC | CGGATTTTCAAGTTCAGCAG | |
| omp33–36 | GCTTATCAATTTGAAGTTCAAGGTC | GCTTGGTTTAAGAAAGCTGC | [37] |
| rpoB | TCCGCACGTAAAGTAGGAAC | ATGCCGCCTGAAAAAGTAAC | |
| adeB | GCAGAGCGTACTCGGAATGT | CCACTGAAACCCCATCCCAA | [50] |
| 16S2 | AGCTAACGCGATAAGTAGACCG | TGTCAAGGCCAGGTAAGGTTC |
5. Conclusions
Author Contributions
Funding
Institutional Review Board Statement
Data Availability Statement
Acknowledgments
Conflicts of Interest
Abbreviations
| MIC | Minimal inhibitory concentration |
| PCR | Polymerase chain reaction |
| GN | Gram-negative |
| XDR | Extreme drug resistance |
| MDR | Multidrug resistance |
References
- Hutchings, M.; Truman, A.; Wilkinson, B. Antibiotics: Past, Present and Future. Curr. Opin. Microbiol. 2019, 51, 72–80. [Google Scholar] [CrossRef] [PubMed]
- WHO Bacterial Priority Pathogens List, 2024: Bacterial Pathogens of Public Health Importance to Guide Research, Development and Strategies to Prevent and Control Antimicrobial Resistance; World Health Organization: Geneva, Switzerland, 2024.
- Uppalapati, S.R.; Sett, A.; Pathania, R. The Outer Membrane Proteins OmpA, CarO, and OprD of Acinetobacter Baumannii Confer a Two-Pronged Defense in Facilitating Its Success as a Potent Human Pathogen. Front. Microbiol. 2020, 11, 589234. [Google Scholar] [CrossRef] [PubMed]
- Smani, Y.; Dominguez-Herrera, J.; Pachón, J. Association of the Outer Membrane Protein Omp33 with Fitness and Virulence of Acinetobacter Baumannii. J. Infect. Dis. 2013, 208, 1561–1570. [Google Scholar] [CrossRef]
- Xu, C.; Bilya, S.R.; Xu, W. AdeABC Efflux Gene in Acinetobacter Baumannii. New Microbes New Infect. 2019, 30. [Google Scholar] [CrossRef]
- Park, J.M.; Yang, K.S.; Chung, Y.S.; Lee, K.B.; Kim, J.Y.; Kim, S.B.; Sohn, J.W.; Yoon, Y.K. Clinical Outcomes and Safety of Meropenem–Colistin versus Meropenem–Tigecycline in Patients with Carbapenem-Resistant Acinetobacter Baumannii Pneumonia. Antibiotics 2021, 10, 903. [Google Scholar] [CrossRef]
- Karakonstantis, S.; Ioannou, P.; Samonis, G.; Kofteridis, D.P. Systematic Review of Antimicrobial Combination Options for Pandrug-Resistant Acinetobacter Baumannii. Antibiotics 2021, 10, 1344. [Google Scholar] [CrossRef]
- Bian, X.; Liu, X.; Chen, Y.; Chen, D.; Li, J.; Zhang, J. Dose Optimization of Colistin Combinations against Carbapenem-Resistant Acinetobacter Baumannii from Patients with Hospital-Acquired Pneumonia in China by Using an In Vitro Pharmacokinetic/Pharmacodynamic Model. Antimicrob. Agents Chemother. 2019, 63, e01989-18. [Google Scholar] [CrossRef] [PubMed]
- Liu, J.; Shu, Y.; Zhu, F.; Feng, B.; Zhang, Z.; Liu, L.; Wang, G. Comparative Efficacy and Safety of Combination Therapy with High-Dose Sulbactam or Colistin with Additional Antibacterial Agents for Multiple Drug-Resistant and Extensively Drug-Resistant Acinetobacter Baumannii Infections: A Systematic Review and Network Meta-Analysis. J. Glob. Antimicrob. Resist. 2021, 24, 136–147. [Google Scholar]
- Jiménez Pearson, M.A.; Galas, M.; Corso, A.; Hormazábal, J.C.; Duarte Valderrama, C.; Salgado Marcano, N.; Ramón-Pardo, P.; Melano, R. Consenso Latinoamericano Para Definir, Categorizar y Notificar Patógenos Multirresistentes, Con Resistencia Extendida o Panresistentes. Rev. Panam. Salud Pública 2019, 43, e65. [Google Scholar] [CrossRef]
- Mataracı Kara, E.; Yılmaz, M.; Özbek Çelik, B. In Vitro Activities of Ceftazidime/Avibactam Alone or in Combination with Antibiotics against Multidrug-Resistant Acinetobacter Baumannii Isolates. J. Glob. Antimicrob. Resist. 2019, 17, 137–141. [Google Scholar] [CrossRef]
- Hegazy, E.E.; Shoeib, S.M.; Zahra, S.W.; Taha, M.S.; Elsayed, E.; Hegazy, A. Evaluation of In Vitro Activity of Cefiderocol and Ceftolozane-Tazobactam against Extended-Spectrum β-Lactamase-Producing Coliform and Multidrug Resistant Acinetobacter Baumannii and Pseudomonas Aeruginosa. Egypt. J. Med. Microbiol. 2022, 31, 123–129. [Google Scholar] [CrossRef]
- Zhu, Y.; Zhang, X.; Wang, Y.; Tao, Y.; Shao, X.; Li, Y.; Li, W. Insight into Carbapenem Resistance and Virulence of Acinetobacter Baumannii from a Children’s Medical Centre in Eastern China. Ann. Clin. Microbiol. Antimicrob. 2022, 21, 47. [Google Scholar] [CrossRef]
- Marchaim, D.; Levit, D.; Zigron, R.; Gordon, M.; Lazarovitch, T.; Carrico, J.A.; Chalifa-Caspi, V.; Moran-Gilad, J. Clinical and Molecular Epidemiology of Acinetobacter Baumannii Bloodstream Infections in an Endemic Setting. Future Microbiol. 2017, 12, 271–283. [Google Scholar] [CrossRef] [PubMed]
- Park, J.; Kim, M.; Shin, B.; Kang, M.; Yang, J.; Lee, T.K.; Park, W. A Novel Decoy Strategy for Polymyxin Resistance in Acinetobacter Baumannii. Elife 2021, 10, e66988. [Google Scholar] [CrossRef]
- Hahm, C.; Chung, H.S.; Lee, M. Whole-Genome Sequencing for the Characterization of Resistance Mechanisms and Epidemiology of Colistin-Resistant Acinetobacter Baumannii. PLoS ONE 2022, 17, e0264335. [Google Scholar] [CrossRef]
- Bian, X.; Liu, X.; Feng, M.; Bergen, P.J.; Li, J.; Chen, Y.; Zheng, H.; Song, S.; Zhang, J. Enhanced Bacterial Killing with Colistin/Sulbactam Combination against Carbapenem-Resistant Acinetobacter Baumannii. Int. J. Antimicrob. Agents 2021, 57, 106271. [Google Scholar] [CrossRef] [PubMed]
- Müller, C.; Reuter, S.; Wille, J.; Xanthopoulou, K.; Stefanik, D.; Grundmann, H.; Higgins, P.G.; Seifert, H. A Global View on Carbapenem-Resistant Acinetobacter Baumannii. mBio 2023, 14, e0226023. [Google Scholar] [CrossRef]
- Adams-Haduch, J.M.; Onuoha, E.O.; Bogdanovich, T.; Tian, G.B.; Marschall, J.; Urban, C.M.; Spellberg, B.J.; Rhee, D.; Halstead, D.C.; Pasculle, A.W.; et al. Molecular Epidemiology of Carbapenem-Nonsusceptible Acinetobacter Baumannii in the United States. J. Clin. Microbiol. 2011, 49, 3849–3854. [Google Scholar] [CrossRef]
- Jiang, Y.; Ding, Y.; Wei, Y.; Jian, C.; Liu, J.; Zeng, Z. Carbapenem-Resistant Acinetobacter Baumannii: A Challenge in the Intensive Care Unit. Front. Microbiol. 2022, 13, 1045206. [Google Scholar] [CrossRef]
- Paul, M.; Daikos, G.L.; Durante-Mangoni, E.; Yahav, D.; Carmeli, Y.; Benattar, Y.D.; Skiada, A.; Andini, R.; Eliakim-Raz, N.; Nutman, A.; et al. Colistin Alone versus Colistin plus Meropenem for Treatment of Severe Infections Caused by Carbapenem-Resistant Gram-Negative Bacteria: An Open-Label, Randomised Controlled Trial. Lancet Infect. Dis. 2018, 18, 391–400. [Google Scholar] [CrossRef] [PubMed]
- Huang, C.; Chen, I.; Tang, T. Colistin Monotherapy versus Colistin plus Meropenem Combination Therapy for the Treatment of Multidrug-Resistant Acinetobacter Baumannii Infection: A Meta-Analysis. J. Clin. Med. 2022, 11, 3239. [Google Scholar] [CrossRef]
- Gazel, D.; Tatman Otkun, M. Investigation of Colistin Heteroresistance and Some Factors Affecting Heteroresistance in Carbapenem-Resistant A. Baumannii Strains. Mediterr. J. Infect. Microbes Antimicrob. 2018, 6, 1. [Google Scholar] [CrossRef]
- Wang, J.; Ning, Y.; Li, S.; Wang, Y.; Liang, J.; Jin, C.; Yan, H.; Huang, Y. Multidrug-resistant Acinetobacter Baumannii Strains with NDM-1: Molecular Characterization and in Vitro Efficacy of Meropenem-based Combinations. Exp. Ther. Med. 2019, 18, 2924–2932. [Google Scholar] [CrossRef] [PubMed]
- Rivani, E.; Endraswari, P.D.; Widodo, A.D.W. Growth Kinetics of Multiple Acinetobacter Baumannii Resistotype after Meropenem-Based Antibiotic Combination Exposure. F1000Research 2022, 11, 762. [Google Scholar] [CrossRef] [PubMed]
- Zhu, S.; Song, C.; Zhang, J.; Diao, S.; Heinrichs, T.M.; Martins, F.S.; Lv, Z.; Zhu, Y.; Yu, M.; Sy, S.K.B. Effects of Amikacin, Polymyxin-B, and Sulbactam Combination on the Pharmacodynamic Indices of Mutant Selection against Multi-Drug Resistant Acinetobacter Baumannii. Front. Microbiol. 2022, 13, 1013939. [Google Scholar] [CrossRef]
- Makris, D.; Petinaki, E.; Tsolaki, V.; Manoulakas, E.; Mantzarlis, K.; Apostolopoulou, O.; Sfyras, D.; Zakynthinos, E. Colistin versus Colistin Combined with Ampicillin-Sulbactam for Multiresistant Acinetobacter Baumannii Ventilator-Associated Pneumonia Treatment: An Open-Label Prospective Study. Indian J. Crit. Care Med. 2018, 22, 67–77. [Google Scholar] [CrossRef]
- Ungthammakhun, C.; Vasikasin, V.; Changpradub, D. A Randomized Controlled Trial of Colistin Combined with Sulbactam: 9 g per Day versus 12 g per Day in the Treatment of Extensively Drug-Resistant Acinetobacter Baumannii Pneumonia: An Interim Analysis. Antibiotics 2022, 11, 1112. [Google Scholar] [CrossRef]
- Kempf, M.; Djouhri-Bouktab, L.; Bruner, J.-M.; Raoult, D.; Rolain, J.-M. Synergistic Activity of Sulbactam Combined with Colistin Against-Resistant Acinetobacter Baumannii. Int. J. Antimicrob. Agents 2012, 39, 180–181. [Google Scholar] [CrossRef] [PubMed]
- Kengkla, K.; Kongpakwattana, K.; Saokaew, S.; Apisarnthanarak, A.; Chaiyakunapruk, N. Comparative Efficacy and Safety of Treatment Options for MDR and XDR Acinetobacter Baumannii Infections: A Systematic Review and Network Meta-Analysis. J. Antimicrob. Chemother. 2018, 73, 22–32. [Google Scholar] [CrossRef]
- Rodríguez-Martínez, J.M.; Poirel, L.; Nordmann, P. Genetic and Functional Variability of AmpC-Type β-Lactamases from Acinetobacter Baumannii. Antimicrob. Agents Chemother. 2010, 54, 4930–4933. [Google Scholar] [CrossRef]
- Woodford, N.; Ellington, M.J.; Coelho, J.M.; Turton, J.F.; Ward, M.E.; Brown, S.; Amyes, S.G.B.; Livermore, D.M. Multiplex PCR for Genes Encoding Prevalent OXA Carbapenemases in Acinetobacter spp. Int. J. Antimicrob. Agents 2006, 27, 351–353. [Google Scholar] [CrossRef]
- Shenkutie, A.M.; Zhang, J.; Yao, M.; Asrat, D.; Chow, F.W.N.; Leung, P.H.M. Effects of Sub-Minimum Inhibitory Concentrations of Imipenem and Colistin on Expression of Biofilm-Specific Antibiotic Resistance and Virulence Genes in Acinetobacter Baumannii Sequence Type 1894. Int. J. Mol. Sci. 2022, 23, 12705. [Google Scholar] [CrossRef] [PubMed]
- Nodari, C.S.; Cayô, R.; Streling, A.P.; Lei, F.; Wille, J.; Almeida, M.S.; de Paula, A.I.; Pignatari, A.C.C.; Seifert, H.; Higgins, P.G.; et al. Genomic Analysis of Carbapenem-Resistant Acinetobacter Baumannii Isolates Belonging to Major Endemic Clones in South America. Front. Microbiol. 2020, 11, 1–14. [Google Scholar] [CrossRef] [PubMed]
- Hua, X.; Liu, L.; Fang, Y.; Shi, Q.; Li, X.; Chen, Q.; Shi, K.; Jiang, Y.; Zhou, H.; Yu, Y. Colistin Resistance in Acinetobacter Baumannii MDR-ZJ06 Revealed by a Multiomics Approach. Front. Cell. Infect. Microbiol. 2017, 7, 45. [Google Scholar] [CrossRef]
- Leus, I.V.; Roberts, S.R.; Trinh, A.; Yu, E.W.; Zgurskaya, H.I. Nonadditive Functional Interactions between Ligand-Binding Sites of the Multidrug Efflux Pump AdeB from Acinetobacter Baumannii. J. Bacteriol. 2024, 206, e0021723. [Google Scholar] [CrossRef]
- Novović, K.; Mihajlović, S.; Dinić, M.; Malešević, M.; Miljković, M.; Kojić, M.; Jovčić, B. Acinetobacter Spp. Porin Omp33–36Omp33–36: Classification and Transcriptional Response to Carbapenems and Host Cells. PLoS ONE 2018, 13, e0201608. [Google Scholar] [CrossRef] [PubMed]
- Luna-De-Alba, A.; Flores-Treviño, S.; Camacho-Ortiz, A.; Contreras-Cordero, J.F.; Bocanegra-Ibarias, P. Genetic Characterization of Multidrug-Resistant Acinetobacter Baumannii and Synergy Assessment of Antimicrobial Combinations. Antibiotics 2024, 13, 1079. [Google Scholar] [CrossRef]
- Rahi, A.A.; Al-Hasnaway, H.H. Multidrug Resistance Patterns, Gene Overexpression, and Genetic Diversity of Acinetobacter Baumannii Isolates from Clinical Specimens. Antibiotics 2025. [Google Scholar] [CrossRef]
- CLSI. Performance Standards for Antimicrobial Susceptibility Testing, 34th ed.; Clinical and Laboratory Standards Institute, Ed.; CLSI: Wayne, PA, USA, 2024; Volume 2025, ISBN 9781684402625. [Google Scholar]
- Bellio, P.; Fagnani, L.; Nazzicone, L.; Celenza, G. New and Simplified Method for Drug Combination Studies by Checkerboard Assay. MethodsX 2021, 8, 101543. [Google Scholar] [CrossRef]
- Elshikh, M.; Ahmed, S.; Funston, S.; Dunlop, P.; McGaw, M.; Marchant, R.; Banat, I.M. Resazurin-Based 96-Well Plate Microdilution Method for the Determination of Minimum Inhibitory Concentration of Biosurfactants. Biotechnol. Lett. 2016, 38, 1015–1019. [Google Scholar] [CrossRef]
- Brennan-Krohn, T.; Kirby, J.E. Antimicrobial Synergy Testing by the Inkjet Printer-Assisted Automated Checkerboard Array and the Manual Time-Kill Method. J. Vis. Exp. 2019, 2019, e58636. [Google Scholar] [CrossRef]
- Livak, K.J.; Schmittgen, T.D. Analysis of Relative Gene Expression Data Using Real-Time Quantitative PCR and the 2−ΔΔCt Method. Methods 2001, 25, 402–408. [Google Scholar] [CrossRef] [PubMed]
- Pasterán, F.; Rapoport, M.; Petroni, A.; Faccone, D.; Corso, A.; Galas, M.; Vázquez, M.; Procopio, A.; Tokumoto, M.; Cagnoni, V. Emergence of PER-2 and VEB-1a in Acinetobacter Baumannii Strains in the Americas. Antimicrob. Agents Chemother. 2006, 50, 3222–3224. [Google Scholar] [CrossRef]
- Alarcón-Calle, M.A.; Osorio-Guevara, V.L.; Salas-Asencios, R.; Yareta, J.; Marcos-Carbajal, P.; Rodrigo-Rojas, M.E. Carbapenems and Colistin Resistance Genes Isolated in Musca Domestica from a Garbage Dump near a Hospital in Lima. Rev. Peru. Med. Exp. Salud Publica 2024, 41, 164–170. [Google Scholar] [CrossRef] [PubMed]
- Bogaerts, P.; de Castro, R.R.; de Mendonça, R.; Huang, T.D.; Denis, O.; Glupczynski, Y. Validation of Carbapenemase and Extended-Spectrum β-Lactamase Multiplex Endpoint PCR Assays According to ISO 15189. J. Antimicrob. Chemother. 2013, 68, 1576–1582. [Google Scholar] [CrossRef]
- Dou, Y.; Song, F.; Guo, F.; Zhou, Z.; Zhu, C.; Xiang, J.; Huan, J. Acinetobacter Baumannii Quorum-Sensing Signalling Molecule Induces the Expression of Drug-Resistance Genes. Mol. Med. Rep. 2017, 15, 4061–4068. [Google Scholar] [CrossRef]
- Abbasi, E.; Goudarzi, H.; Hashemi, A.; Chirani, A.S.; Ardebili, A.; Goudarzi, M.; Sharahi, J.Y.; Davoudabadi, S.; Talebi, G.; Bostanghadiri, N. Decreased CarOCarO Gene Expression and OXA-Type Carbapenemases among Extensively Drug-Resistant Acinetobacter Baumannii Strains Isolated from Burn Patients in Tehran, Iran. Acta Microbiol. Immunol. Hung. 2021, 68, 48–54. [Google Scholar] [CrossRef]
- Abd El-Rahman, O.A.; Rasslan, F.; Hassan, S.S.; Ashour, H.M.; Wasfi, R. The RND Efflux Pump Gene Expression in the Biofilm Formation of Acinetobacter Baumannii. Antibiotics 2023, 12, 419. [Google Scholar] [CrossRef] [PubMed]
- Tamma, P.D.; Heil, E.L.; Justo, J.A.; Mathers, A.J.; Satlin, M.J.; Bonomo, R.A. Infectious Diseases Society of America 2024 Guidance on the Treatment of Antimicrobial-Resistant Gram-Negative Infections. Clin. Infect. Dis. 2024. [Google Scholar] [CrossRef]



| Isolate | State | Year | Clinical Sample | MIC µg/mL | ||||||||||||||
|---|---|---|---|---|---|---|---|---|---|---|---|---|---|---|---|---|---|---|
| SAM | PIP/TAZ | CAZ | IPM | MEM | CS | GEN | AMK | MIN | TGC | CIP | LVX | SXT | CZA | C/T | ||||
| A. baumannii 1002 | Panamá City | 2022 | Tracheal Secretion | 16 | 128 | 64 | >32 | 256 | 0.5 | 16 | 64 | 0.1 | 4 | 4 | 4 | 320 | 16 | 16 |
| A. baumannii 1007 | Panamá City | 2022 | Blood | 16 | 128 | 64 | >32 | 128 | 0.5 | 16 | 64 | 2 | 2 | >32 | >32 | 320 | 256 | 16 |
| A. baumannii 1009 | Panamá City | 2023 | Wound | 16 | 128 | 64 | >32 | 256 | 0.5 | 2 | 32 | 4 | 16 | >32 | >32 | 320 | 256 | 32 |
| MIC | FICI | |||||
|---|---|---|---|---|---|---|
| Strains | CS | MEM | SUL | CM | SC | MS |
| A. baumannii ATCC 19606 | <0.25 | <1 | 0.5 | |||
| A. baumannii 1002 | 0.5 | 128 | 16 | 0.5 (S) | 0.62 (I) | 0.56 (I) |
| A. baumannii 1007 | 0.5 | 128 | 16 | 0.3 (S) | 0.5 (S) | 1.5 (I) |
| A. baumannii 1009 | 0.5 | 256 | 16 | 0.3 (S) | 1 (I) | 0.75 (I) |
Disclaimer/Publisher’s Note: The statements, opinions and data contained in all publications are solely those of the individual author(s) and contributor(s) and not of MDPI and/or the editor(s). MDPI and/or the editor(s) disclaim responsibility for any injury to people or property resulting from any ideas, methods, instructions or products referred to in the content. |
© 2025 by the authors. Licensee MDPI, Basel, Switzerland. This article is an open access article distributed under the terms and conditions of the Creative Commons Attribution (CC BY) license (https://creativecommons.org/licenses/by/4.0/).
Share and Cite
Moreno, J.E.; Querol-Audi, J.; Tejada, A.M.; Medina-Sánchez, J.R.; Archibold, A.D. Effect of Meropenem, Sulbactam, and Colistin Combinations on Resistance Gene Expression in Multidrug-Resistant A. baumannii Clinical Isolates from Panama. Antibiotics 2025, 14, 999. https://doi.org/10.3390/antibiotics14100999
Moreno JE, Querol-Audi J, Tejada AM, Medina-Sánchez JR, Archibold AD. Effect of Meropenem, Sulbactam, and Colistin Combinations on Resistance Gene Expression in Multidrug-Resistant A. baumannii Clinical Isolates from Panama. Antibiotics. 2025; 14(10):999. https://doi.org/10.3390/antibiotics14100999
Chicago/Turabian StyleMoreno, José Emigdio, Jordi Querol-Audi, Ariel Magallón Tejada, Juan R. Medina-Sánchez, and Armando Durant Archibold. 2025. "Effect of Meropenem, Sulbactam, and Colistin Combinations on Resistance Gene Expression in Multidrug-Resistant A. baumannii Clinical Isolates from Panama" Antibiotics 14, no. 10: 999. https://doi.org/10.3390/antibiotics14100999
APA StyleMoreno, J. E., Querol-Audi, J., Tejada, A. M., Medina-Sánchez, J. R., & Archibold, A. D. (2025). Effect of Meropenem, Sulbactam, and Colistin Combinations on Resistance Gene Expression in Multidrug-Resistant A. baumannii Clinical Isolates from Panama. Antibiotics, 14(10), 999. https://doi.org/10.3390/antibiotics14100999

