Paper-Based Colorimetric pH Test Strip Using Bio-Derived Dyes
Abstract
1. Introduction
2. Materials and Methods
2.1. Selection of Plant Sources
2.2. Extraction of Natural Pigments
2.3. Preparation of Indicator Solutions
2.4. Application to Paper Substrate
- Color contrast between pH values.
- Reversibility of the color response.
2.5. Digital Image Analysis
2.6. Final Indicator Selection and Prototype Design
- Strong and distinguishable chromatic transition across wide pH ranges.
- Adequate stability on paper matrices.
- Clear grayscale profiles suitable for image-based detection.
3. Results
3.1. Visual Response to pH in Preselected Pigments
- Hibiscus sabdariffa (Hibiscus flower)
- Brassica oleracea var. capitata f. rubra (Purple cabbage)
- Raphanus sativus (Radish)
- Curcuma longa (Turmeric)
3.2. Qualitative Visual Evaluation
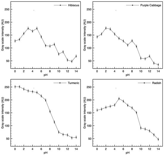
3.3. Digital Image Analysis and Grayscale Profiling
3.4. Comparison and Application Potential
- Turmeric was the most versatile and robust pigment, showing a clear color and brightness change across the full pH 0–14 range. It maintained a yellow-to-brown gradation that could potentially allow continuous estimation.
- Purple cabbage and hibiscus offered excellent color contrast in the neutral-to-alkaline pH range (they turn distinctly different colors above pH ~6), making them suitable for applications like food packaging or environmental water testing where neutral-to-basic pH changes are relevant. However, in very acidic conditions (pH < 3), both tended to simply be bright red, limiting their distinguishability in that range.
- Radish performed best in mid-to-high pH levels (it became a strong purple or gray above pH 8) but is less reliable at pH levels below 5 (little visible change in the red-pink region). It could be useful for detecting the onset of alkalinity, but not for differentiating strong acids.
4. Discussion
5. Conclusions and Future Work
Author Contributions
Funding
Institutional Review Board Statement
Informed Consent Statement
Data Availability Statement
Acknowledgments
Conflicts of Interest
Abbreviations
| pH | Potential hydrogen |
| LED | Light Emitting Diode |
References
- Bates, R.G. Determination of pH: Theory and Practice; Wiley-Interscience: New York, NY, USA, 1973. [Google Scholar]
- Manjakkal, L.; Szwagierczak, D.; Dahiya, R. Metal oxides based electrochemical pH sensors: Current progress and future perspectives. Prog. Mater. Sci. 2020, 109, 100635. [Google Scholar] [CrossRef]
- Kragh, H.S. S.P.L. Sørensen, the pH concept and its early history. Found. Chem. 2025, 27, 237–261. [Google Scholar] [CrossRef]
- Păușescu, I.; Dreavă, D.-M.; Bîtcan, I.; Argetoianu, R.; Dăescu, D.; Medeleanu, M. Bio-Based pH Indicator Films for Intelligent Food Packaging Applications. Polymers 2022, 14, 3622. [Google Scholar] [CrossRef]
- Raghavendra, N.; Chapi, S.; Amberkhed, R.; Hebballi, S.; Shivannagol, V.; Paramshetti, T.; Nidagundi, P.; Raghu, A.V. From plant biowaste to green and sustainable acid-base indicators: Extraction, phytochemical screening, and quantum simulation. Bioresour. Technol. Rep. 2025, 32, 102351. [Google Scholar] [CrossRef]
- Raghavendra, N.; Hublikar, L.V.; Sowmyashree, A.S.; Kale, S.B. Investigation of acid-base indicator and antioxidant properties of beetroot and pomegranate peel extract. Sustain. Chem. One World 2025, 8, 100111. [Google Scholar] [CrossRef]
- Ghatage, T.S.; Killedar, S.G.; Hajare, M.A.; Joshi, M.M. Extraction, characterization, and utilization of different plant pigments as pH indicators in titrimetric analysis. Int. J. Adv. Res. 2017, 3, 462–468. [Google Scholar]
- Liu, D.; Zhang, C.; Pu, Y.; Chen, S.; Liu, L.; Cui, Z.; Zhong, Y. Recent Advances in pH-Responsive Freshness Indicators Using Natural Food Colorants to Monitor Food Freshness. Foods 2022, 11, 1884. [Google Scholar] [CrossRef]
- Saeed, A.A.M.; Al-Salimi, M.S.S.; Manea, Y.K.; Abdulmajeed, W.S.; Mohammed, T.H.A.; Abdallah, S.M.A.; BA Fadhl, O.M.O.; Saleh, A.Y.A.; Abdullah, S.H.H.; Al Asahb, W.A.S. Towards greener analysis: Evaluating plant-derived natural dyes as pH indicators. Mor. J. Chem. 2024, 12, 1511–1530. [Google Scholar] [CrossRef]
- Ndwandwe, B.K.; Malinga, S.P.; Kayitesi, E.; Dlamini, B.C. Recent developments in the application of natural pigments as pH-sensitive food freshness indicators in biopolymer-based smart packaging: Challenges and opportunities. Int. J. Food Sci. Technol. 2024, 59, 2148–2161. [Google Scholar] [CrossRef]
- Panwar, A.; Kumar, S.; Dhiman, A.; Kumar, V.; Gupta, D.; Sharma, A. pH sensitive indicator film based intelligent packaging systems of perishables: Developments and challenges of last decade. Microchem. J. 2024, 207, 111732. [Google Scholar] [CrossRef]
- Castañeda-Ovando, A.; Pacheco-Hernández, M.d.L.; Páez-Hernández, M.E.; Rodríguez, J.A.; Galán-Vidal, C.A. Chemical studies of anthocyanins: A review. Food Chem. 2009, 113, 859–871. [Google Scholar] [CrossRef]
- Azeredo, H.M.C. Betalains: Properties, Sources, Applications, and Stability—A Review. Int. J. Food Sci. Technol. 2009, 44, 2365–2376. [Google Scholar] [CrossRef]
- Sivakumar, R.; Lim, N.; Park, S.K.; Lee, N.Y. Curcumin–a natural colorant-based pH indicator for molecular diagnostics. Analyst 2025, 150, 1632–1641. [Google Scholar] [CrossRef]
- Wu, H.; Jiao, C.; Li, S.; Li, Q.; Zhang, Z.; Zhou, M.; Yuan, X. A Facile Strategy for Development of pH-Sensing Indicator Films Based on Red Cabbage Puree and Polyvinyl Alcohol for Monitoring Fish Freshness. Foods 2022, 11, 3371. [Google Scholar] [CrossRef]
- Amalraj, A.; Pius, A.; Gopi, S.; Gopi, S. Biological activities of curcuminoids, other biomolecules from turmeric and their derivatives—A review. J. Tradit. Complement. Med. 2017, 7, 205–233. [Google Scholar] [CrossRef] [PubMed]
- Di Salvo, E.; Lo Vecchio, G.; De Pasquale, R.; De Maria, L.; Tardugno, R.; Vadalà, R.; Cicero, N. Natural Pigments Production and Their Application in Food, Health and Other Industries. Nutrients 2023, 15, 1923. [Google Scholar] [CrossRef] [PubMed]
- Tuslinah, L.; Yuliana, A.; Arisnawati, D.; Rizkuloh, L.R. Comparison of color change to pH range and acid–base titration indicator precision test of multiple ethanol extracts. Trends Sci. 2022, 19, 1446. [Google Scholar] [CrossRef]
- Klaric, S.V.; Galvão Maciel, A.; Arend, G.D.; Tres, M.V.; de Lima, M.; Soares, L.S. Application of Plant Extracts Rich in Anthocyanins in the Development of Intelligent Biodegradable Packaging: An Overview. Processes 2025, 13, 191. [Google Scholar] [CrossRef]
- Chiu, I.; Yang, T. Biopolymer-based intelligent packaging integrated with natural colourimetric sensors for food safety and sustainability. Anal. Sci. Adv. 2024, 5, e2300065. [Google Scholar] [CrossRef]
- Castillo, D.; Juárez, A.S.; Tapia, S.E.; Guaman, A.; Calderón, D.O. Twenty natural organic pigments for application in dye sensitized solar cells. In Organic Photovoltaics XVII; SPIE: Bellingham, WA, USA, 2016; Volume 9942, pp. 69–75. [Google Scholar] [CrossRef]
- Sánchez Juárez, A.; Castillo, D.; Guaman, A.; Espinosa, S.; Obregón, D. Study of natural organic dyes as active material for fabrication of organic light emitting diodes. In Organic Light Emitting Materials and Devices XX; SPIE: Bellingham, WA, USA, 2016; Volume 9941, p. 99412E. [Google Scholar] [CrossRef]
- Sha, M.S.; Faisal, F.B.; Ottakath, T.K.; Poovadichalil, N.M.; Sadasivuni, K.K. Natural plant extracts for quality assessment in milk by replacing conventional color reduction methods. J. Food Meas. Charact. 2025, 19, 3768–3777. [Google Scholar] [CrossRef]
- Korfii, U.; Boisa, N.; Tubonimi, I. Application of red mangrove plant (Rhizophora racemosa) extracts as pH indicator. Asian J. Green Chem. 2021, 5, 111–124. [Google Scholar] [CrossRef]
- Terra, A.L.M.; Moreira, J.B.; Costa, J.A.V.; de Morais, M.G. Development of time-pH indicator nanofibers from natural pigments: An emerging processing technology to monitor the quality of foods. LWT 2021, 142, 111020. [Google Scholar] [CrossRef]
- Ma, Y.; Wen, L.; Liu, J.; Du, P.; Liu, Y.; Hu, P.; Cao, J.; Wang, W. Enhanced pH-sensitive anthocyanin film based on chitosan quaternary ammonium salt: A promising colorimetric indicator for visual pork freshness monitoring. Int. J. Biol. Macromol. 2024, 279, 135236. [Google Scholar] [CrossRef]
- Mohseni-Shahri, F.S.; Moeinpour, F. Development of a pH-sensing indicator for shrimp freshness monitoring: Curcumin and anthocyanin-loaded gelatin films. Food Sci. Nutr. 2023, 11, 3898–3910. [Google Scholar] [CrossRef]
- Faisal, M.; Jacobson, T.; Meineret, L.; Vorup, P.; Bordallo, H.N.; Kirkensgaard, J.J.K.; Ulvskov, P.; Blennow, A. Development of pH Indicator Composite Films Based on Anthocyanins and Neutral Red for Monitoring Minced Meat and Fish in Modified Gas Atmosphere (MAP). Coatings 2024, 14, 725. [Google Scholar] [CrossRef]
- Stoukatch, S.; Debliquy, M.; Dupont, F.; Redouté, J.-M. Low-Cost Optical pH Sensor with a Polyaniline (PANI)-Sensitive Layer Based on Commercial Off-the-Shelf (COTS) Components. Micromachines 2023, 14, 2197. [Google Scholar] [CrossRef]
- Meredith, N.A.; Quinn, C.; Cate, D.M.; Reilly, T.H.; Volckens, J.; Henry, C.S. Paper-based analytical devices for environmental analysis. Analyst 2016, 141, 1874–1887. [Google Scholar] [CrossRef]
- Giusti, M.M.; Wrolstad, R.E. Characterization and measurement of anthocyanins by UV–visible spectroscopy. In Current Protocols in Food Analytical Chemistry; John Wiley & Sons, Inc.: Hoboken, NJ, USA, 2001; Unit F1.2. [Google Scholar] [CrossRef]
- Szadkowski, B.; Rogowski, J.; Maniukiewicz, W.; Beyou, E.; Marzec, A. New natural organic–inorganic pH indicators: Synthesis and characterization of pro-ecological hybrid pigments based on anthraquinone dyes and mineral supports. J. Ind. Eng. Chem. 2022, 105, 446–462. [Google Scholar] [CrossRef]
- Schneider, C.A.; Rasband, W.S.; Eliceiri, K.W. NIH Image to ImageJ: 25 Years of Image Analysis. Nat. Methods 2012, 9, 671–675. [Google Scholar] [CrossRef]
- Priyadarsini, K.I. The Chemistry of Curcumin: From Extraction to Therapeutic Agent. Molecules 2014, 19, 20091–20112. [Google Scholar] [CrossRef] [PubMed]
- Castillo, D.; Sánchez, A.; González, J.; Chamba, C.; Lakshminarayanan, V. Natural pigment sensor for solar ultraviolet radiation measurement. In Organic and Hybrid Sensors and Bioelectronics XIV; SPIE: Bellingham, WA, USA, 2021; Volume 11810, p. 118100E. [Google Scholar] [CrossRef]
- Zhao, X.; Zhang, H.; Xiang, H.; Yu, D.; Gao, M.; Yan, R.; Zhang, D. A natural pH indicator with high colorimetric response sensitivity for pork freshness monitoring. Food Biosci. 2024, 57, 103519. [Google Scholar] [CrossRef]
- Zhu, W.; Ma, Z.; Zhang, L.; Yang, C.; Xu, F.; Yu, J. Natural anthocyanin-based wearable colorimetric pH indicator with high color fastness. Dye. Pigment. 2025, 239, 112789. [Google Scholar] [CrossRef]











| Image Number | Scientific Name | Common Name | Leaf | Fruit | Peel |
|---|---|---|---|---|---|
| 1 | Nephlium lappaceum L. | Rambutan | * | ||
| 2 | Capsicum pubescens | Rocoto Pepper | * | ||
| 3 | Musa paradisiaca L. | Banana | * | ||
| 4 | Theobroma cacao L. | Cocoa Seeds | * | ||
| 5 | Coffea arabica L. | Coffee | * | ||
| 6 | Cinnamomum verum J. | Cinnamon | * | ||
| 7 | Prunus serotina | Black Cherry | * | ||
| 8 | Margonodiade | Cochineal carmine | * | ||
| 9 | Allium cepa L. | Onion | * | ||
| 10 | Prunus avium L. | Cherry Fruits | * | ||
| 11 | Amaranthus hybridus L. | Amaranth Leaves | * | ||
| 12 | Spinacia oleracea L. | Spinach | * | ||
| 13 | Eucalyptus globulus Labill. | Eucalyptus | * | ||
| 14 | Bougainvillea glabra Choisy | Bougainvillea Flower | * | ||
| 15 | Hibiscus sabdariffa L. | Hibiscus/Roselle Flower | * | ||
| 16 | Tabebuia chrysantha | Yellow Trumpet Tree Flower | * | ||
| 17 | Handroanthus impetiginosus | Pink Trumpet Tree Flower | * | ||
| 18 | Psidium guajava L. | Guava | * | ||
| 19 | Laurus nobilis L. | Bay Laurel | * | ||
| 20 | Citrus reticulata | Mandarin Orange | * | ||
| 21 | Mangifera indica L. | Red Mango | * | ||
| 22 | Malus domestica | Red Apple | * | ||
| 23 | Rubus glaucus Benth. | Andean Blackberry | * | ||
| 24 | Vaccinium floribundum Kunth | Andean Blueberry | * | ||
| 25 | Solanum quitoense Lam. | Naranjilla | * | ||
| 26 | Juglans neotropica Diels | Andean Walnut | * | ||
| 27 | Capsicum annuum L. var. grossum | Yellow Bell Pepper | * | ||
| 28 | Capsicum annuum L. var. grossum | Orange Bell Pepper | * | ||
| 29 | Ananas comosus | Pineapple | * | ||
| 30 | Selenicereus megalanthus | Yellow Dragon Fruit | * | ||
| 31 | Hylocereus costaricensis | Red Dragon Fruit | * | ||
| 32 | Raphanus sativus L. | Radish | * | ||
| 33 | Prunus domestica L. | Greengage Plum | * | ||
| 34 | Beta vulgaris L. | Red Beet | * | ||
| 35 | Hibiscus rosa-sinensis L. | Chinese Hibiscus | * | ||
| 36 | Croton lechleri Müll. Arg. | Dragon’s Blood Tree Resin | * | ||
| 37 | Solanum betaceum Cav. | Tamarillo/Tree Tomato | * | ||
| 38 | Daucus carota subsp. sativus | Carrot | * | ||
| 39 | Brassica oleracea var. capitata f. rubra | Red Cabbage | * | ||
| 40 | Citrus x aurantiifolia | Lime | * |
| Colorant | pH Range with Visible Color Shift |
|---|---|
| Hibiscus | 0–14 |
| Purple Cabbage | 0–14 |
| Radish | 0–14 |
| Turmeric | 0–14 |
| Colorant | Reliable pH Detection via Grayscale |
|---|---|
| Hibiscus | pH 0–14 |
| Purple Cabbage | pH 0–14 |
| Radish | pH 0–14 |
| Turmeric | pH 0–14 |
Disclaimer/Publisher’s Note: The statements, opinions and data contained in all publications are solely those of the individual author(s) and contributor(s) and not of MDPI and/or the editor(s). MDPI and/or the editor(s) disclaim responsibility for any injury to people or property resulting from any ideas, methods, instructions or products referred to in the content. |
© 2025 by the authors. Licensee MDPI, Basel, Switzerland. This article is an open access article distributed under the terms and conditions of the Creative Commons Attribution (CC BY) license (https://creativecommons.org/licenses/by/4.0/).
Share and Cite
Sánchez, A.A.; Castillo, D.; Riofrío-Cabrera, G.; Jaramillo, G.; Lakshminarayanan, V. Paper-Based Colorimetric pH Test Strip Using Bio-Derived Dyes. Biosensors 2025, 15, 816. https://doi.org/10.3390/bios15120816
Sánchez AA, Castillo D, Riofrío-Cabrera G, Jaramillo G, Lakshminarayanan V. Paper-Based Colorimetric pH Test Strip Using Bio-Derived Dyes. Biosensors. 2025; 15(12):816. https://doi.org/10.3390/bios15120816
Chicago/Turabian StyleSánchez, Aramis A., Darwin Castillo, Grettel Riofrío-Cabrera, Greysy Jaramillo, and Vasudevan Lakshminarayanan. 2025. "Paper-Based Colorimetric pH Test Strip Using Bio-Derived Dyes" Biosensors 15, no. 12: 816. https://doi.org/10.3390/bios15120816
APA StyleSánchez, A. A., Castillo, D., Riofrío-Cabrera, G., Jaramillo, G., & Lakshminarayanan, V. (2025). Paper-Based Colorimetric pH Test Strip Using Bio-Derived Dyes. Biosensors, 15(12), 816. https://doi.org/10.3390/bios15120816

