A Rapid Tricolour Immunochromatographic Assay for Simultaneous Detection of Tricaine and Malachite Green
Abstract
:1. Introduction
2. Materials and Methods
2.1. Reagents and Materials
2.2. Synthesis and Characterisation of Two-Colour AuNPs
2.3. Preparation of AuNP Probes Specific for TMS and MG
2.4. Preparation of TMS-BSA and MG-BSA Antigens
2.5. Construction of the Test Strip with Double T Lines (TS-DTL)
2.6. Simultaneous Detection Procedure for TMS and MG
2.7. Detection Performance Evaluation of the TS-DTL Platform
2.7.1. Specificity
2.7.2. Preparation of Real Samples Spiked with TMS and MG
2.7.3. Sensitivity and Accuracy Evaluation
2.8. HPLC Analysis of TMS and MG
3. Results
3.1. Synthesis and Characterisation of Two-Colour AuNPs
3.2. Construction of the Tricolour TS-DTL for TMS and MG
3.2.1. Optimisation of the Detection System
3.2.2. Single Detection Sensitivity of TS-DTL for TMS or MG
3.3. Performance Evaluation of TS-DTL
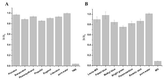
3.3.1. Specificity
3.3.2. Simultaneous Detection Sensitivity of TMS and MG
3.3.3. Accuracy Validation
4. Conclusions
Author Contributions
Funding
Institutional Review Board Statement
Informed Consent Statement
Conflicts of Interest
References
- Birnie-Gauvin, K.; Peiman, K.S.; Larsen, M.H.; Aarestrup, K.; Willmore, W.G.; Cooke, S.J. Short-term and long-term effects of transient exogenous cortisol manipulation on oxidative stress in juvenile brown trout. J. Exp. Biol. 2017, 220, 1693–1700. [Google Scholar] [CrossRef] [Green Version]
- Matsche, M.A. Evaluation of tricaine methanesulfonate (MS-222) as a surgical anesthetic for Atlantic Sturgeon Acipenser oxyrinchus. J. Appl. Ichthyol. 2011, 27, 600–610. [Google Scholar] [CrossRef]
- Lv, S.W.; Lei, H.T.; Sun, Y.M. Research progess in safety of fish anesthetics. Food Sci. 2012, 33, 267–270. [Google Scholar]
- Carter, K.M.; Woodley, C.M.; Brown, R.S. A review of tricaine methanesulfonate for anesthesia of fish. Rev. Fish Biol. Fish. 2011, 21, 51–59. [Google Scholar] [CrossRef]
- Ghasemi, E.; Kaykhaii, M. Application of Micro-cloud point extraction for spectrophotometric determination of Malachite green, Crystal violet and Rhodamine B in aqueous samples. Spectrochimi. Acta A 2016, 164, 93–97. [Google Scholar] [CrossRef]
- Li, L.; Peng, A.H.; Lin, Z.Z.; Zhong, H.P.; Chen, X.M.; Huang, Z.Y. Biomimetic ELISA detection of malachite green based on molecularly imprinted polymer film. Food Chem. 2017, 229, 403–408. [Google Scholar] [CrossRef]
- Nochetto, C.B.; Reimschuessel, R.; Gieseker, C.; Cheely, C.S.; Carson, M.C. Determination of tricaine residues in fish by liquid chromatography. J. AOAC Int. 2009, 92, 1241–1248. [Google Scholar] [CrossRef] [Green Version]
- Zhao, D.H.; Wang, Q.; Wang, X.F.; Li, Z.G.; Li, Y.X.; Huang, K.; Li, L.D. Determination of MS-222 in Water Samples by Solid-phase Extraction Coupled with Liquid Chromatography/Tandem Mass Spectrometry. J. Chromatogr. Sci. 2017, 55, 813–817. [Google Scholar] [CrossRef] [Green Version]
- Xie, C.N.; Li, Q.; Han, G.; Liu, H.; Yang, J.; Li, J.C. Stable isotope dilution assay for the accurate determination of tricaine in fish samples by HPLC–MS–MS. Biomed. Chromatogr. 2019, 33, e4512. [Google Scholar] [CrossRef]
- Fu, W.L.; Zhen, S.J.; Huang, C.Z. One-pot green synthesis of graphene oxide/gold nanocomposites as SERS substrates for malachite green detection. Analyst 2013, 138, 3075–3081. [Google Scholar] [CrossRef]
- Yi, H.C.; Qu, W.Y.; Huang, W.S. Electrochemical determination of malachite green using a multi-wall carbon nanotube modified glassy carbon electrode. Microchim. Acta 2008, 160, 291–296. [Google Scholar] [CrossRef]
- Ahmed, S.; Ning, J.N.; Peng, D.P.; Chen, T.; Ahmad, I.; Ashaq, A.; Lei, Z.X.; Shabbir, M.A.B.; Chen, G.Y.; Yuan, Z.H. Current advances in immunoassays for the detection of antibotics residues: A review. Food Agric. Immunol. 2020, 31, 268–290. [Google Scholar] [CrossRef]
- Cai, Y.Y.; Yan, J.; Zhu, L.; Wang, H.L.; Lu, Y. A Rapid Immunochromatographic Method Based on a Secondary Antibody-Labelled Magnetic Nanoprobe for the Detection of Hepatitis B preS2 Surface Antigen. Biosensors 2020, 10, 161. [Google Scholar] [CrossRef]
- Hao, K.; Suryoprabowo, S.; Song, S.S.; Liu, L.Q.; Zheng, Q.K.; Kuang, H. Development of an immunochromatographic test strip for the detection of procaine in milk. Food Agric. Immunol. 2018, 29, 1150–1161. [Google Scholar] [CrossRef] [Green Version]
- Zhu, C.J.; Zhao, G.Y.; Dou, W.C. Immunochromatographic assay using brightly colored silica nanoparticles as visible label for point-of-care detection of clenbuterol. Sens. Actuators B Chem. 2018, 266, 392–399. [Google Scholar] [CrossRef]
- Hu, Q.; Cui, Y.K.; Zhang, L.F.; Qian, M.J.; Xiao, L.X.; Yang, M.; Yang, Z.Q.; Rao, S.Q.; Gong, X.J.; Han, J. An ultrasensitive analytical strategy for malachite green determination in fish samples based on bright orange-emissive carbon dots. J. Food Compost. Anal. 2021, 102, 104032. [Google Scholar] [CrossRef]
- Wu, Y.H.; Zhou, Y.F.; Huang, H.; Chen, X.R.; Leng, Y.K.; Lai, W.H.; Huang, X.L.; Xiong, Y.H. Engineered gold nanoparticles as multicolor labels for simultaneous multi-mycotoxin detection on the immunochromatographic test strip nanosensor. Sens. Actuators B Chem. 2020, 316, 128107. [Google Scholar] [CrossRef]
- Dincer, C.; Bruch, R.; Kling, A.; Dittrich, P.S.; Urban, G.A. Multiplexed Point-of-Care Testing-xPOCT. Trends Biotechnol. 2017, 35, 728–742. [Google Scholar] [CrossRef] [Green Version]
- Zhang, M.Y.; Yan, L.Z.; Huang, Q.H.; Bu, T.; Yu, S.X.; Zhao, X.B.; Wang, J.L.; Zhang, D.H. Highly sensitive simultaneous detection of major ochratoxins by an immunochromatographic assay. Food Control 2018, 84, 215–220. [Google Scholar] [CrossRef]
- Yang, J.C.; Wang, K.; Xu, H.; Yan, W.Q.; Jin, Q.H.; Cui, D.X. Detection platforms for point-of-care testing based on colorimetric, luminescent and magnetic assays: A review. Talanta 2019, 202, 96–110. [Google Scholar] [CrossRef]
- Peng, X.; Li, J.; Huang, X.L.; Duan, H.; Ji, Y.W.; Xiong, Y.H. Effect of the tip length of multi-branched AuNFs on the detection performance of immunochromatographic assays. Anal. Methods 2016, 8, 3316–3324. [Google Scholar]
- Chen, Y.N.; Guo, L.L.; Liu, L.Q.; Song, S.S.; Kuang, H.; Xu, C.L. Ultrasensitive immunochromatographic strip for fast screening of 27 sulfonamides in honey and pork liver samples based on a monoclonal antibody. J. Agri. Food Chem. 2017, 65, 8248–8255. [Google Scholar] [CrossRef] [PubMed]
- Wang, Z.X.; Wu, X.L.; Liu, L.Q.; Xu, L.G.; Kuang, H.; Xu, C.L. Rapid and sensitive detection of diclazuril in chicken samples using a gold nanoparticle-based lateral-flow strip. Food Chem. 2020, 312, 126116. [Google Scholar] [CrossRef]
- Lei, X.; Xu, X.; Liu, L.; Kuang, H.; Xu, L.; Hao, C. Immunochromatographic test strip for the rapid detection of tricaine in fish samples. Food Agric. Immunol. 2020, 31, 687–699. [Google Scholar] [CrossRef]
- Du, J.; Xu, X.X.; Cui, Z.Q.; Wang, W.W.; Jia, X.M.; Lu, Y. Influences of magnetic immunochromatographic assay for detection of PreS1 region of hepatitis B virus surface antigen. J. Biol. 2017, 34, 11–15. [Google Scholar]
- Nardo, F.D.; Baggiani, C.; Giovannoli, C.; Spano, G.; Anfossi, L. Multicolor immunochromatographic strip test based on gold nanoparticles for the determination of aflatoxin b1 and fumonisins. Mikrochim. Acta 2017, 184, 1295–1304. [Google Scholar] [CrossRef]
- Blažková, M.; Rauch, P.; Fukal, L. Strip-based immunoassay for rapid detection of thiabendazole. Biosens. Bioelectron. 2010, 25, 2122–2128. [Google Scholar] [CrossRef]
- Hu, L.M.; Luo, K.; Xia, J.; Xu, G.M.; Wu, C.H.; Han, J.J.; Zhang, G.G.; Liu, M.; Lai, W.H. Advantages of time-resolved fluorescent nanobeads compared with fluorescent submicrospheres, quantum dots, and colloidal gold as label in lateral flow assays for detection of ractopamine. Biosens. Bioelectron. 2017, 91, 95–103. [Google Scholar] [CrossRef]
- Xu, N.F.; Li, L.Q.; Song, S.S.; Xu, L.G.; Kuang, H.; Xu, C.L. Development of a lateral flow immunoassay for the detection of total malachite green residues in fish tissues. Food Agric. Immunol. 2015, 26, 870–879. [Google Scholar] [CrossRef]
- Hu, Y.Q.; Gao, Z.J.; Luo, J.F. Fluorescence detection of malachite green in fish tissue using red emissive Se, N, Cl-doped carbon dots. Food Chem. 2021, 335, 127677. [Google Scholar] [CrossRef]
- Bilandzic, N.; Varenina, I.; Kolanovic, B.S.; Oraic, D.; Zrncic, S. Malachite Green Residues in Farmed Fish in Croatia. Food Control 2012, 26, 393–396. [Google Scholar] [CrossRef]
- Heleyel, M.; Elhami, S. Sensitive, simple and rapid colorimetric detection of malachite green in water, salmon and canned tuna samples based on gold nanoparticles. J. Sci. Food Agric. 2019, 99, 1919–1925. [Google Scholar] [CrossRef]
- Luo, X.W.; Chen, Z.F.; Li, H.F.; Li, W.Q.; Cui, L.; Huang, J.H. Exploiting the application of L-aptamer with excellent stability: An efficient sensing platform for malachite green in fish samples. Analyst 2019, 144, 4204–4209. [Google Scholar] [CrossRef]





| Analyte | Method | Label Material | LOD | Cost-Time | Sample | Reference |
|---|---|---|---|---|---|---|
| TMS | HPLC | / | 25 ng/mL | 6 h | fish | [7] |
| HPLC–MS/MS | / | 2.5 ng/mL | 3.0 h | fish | [8] | |
| HPLC–MS/MS | / | 0.01 ng/mL | 1.0 h | water | [9] | |
| ICTS | AuNPs | <0.1 μg/mL | 15 min | fish | [24] | |
| TS-DTL | Two-colour AuNPs | 11.0 ng/mL | 15~20 min | aquaculture water | This work | |
| 29.6 ng/g | fish | |||||
| 61.4 ng/g | shrimp | |||||
| MG | ICTS | Orange carbon dots | 58.4 ng/g | 10 min | fish | [16] |
| ICTS | AuNPs | 1 ng/mL | 8 min | fish | [29] | |
| Fluorescence | Se,N,Cl-doped carbon dots | 339.37 ng/mL | 1.5 h | fish | [30] | |
| assay | ||||||
| ELISA | / | 0.31 ng/mL | 6 h | fish | [31] | |
| Colorimetry | AuNPs | 5 ng/mL | 25 min | fish | [32] | |
| L-Aptamer | / | 17.4 ng/mL | 2 h | fish | [33] | |
| TS-DTL | Two-colour AuNPs | 47.0 ng/mL | 15~20 min | aquaculture water | This work | |
| 82.8 ng/mL | fish | |||||
| 152.4 ng/mL | shrimp |
| Sample | Target | Spiked (μg/mL) | TS-DTL | HPLC | ||||
|---|---|---|---|---|---|---|---|---|
| Found (μg/mL) | Recovery (%) | CV (%, n = 3) | Found (μg/mL) | Recovery (%) | CV (%, n = 3) | |||
| aquaculture water | TMS | 0.1 | 0.094 | 94.2 | 7.51 | 0.11 | 110.0 | 3.56 |
| 1 | 1.07 | 107.3 | 8.43 | 1.05 | 105.3 | 4.23 | ||
| 2 | 1.91 | 95.5 | 6.44 | 2.06 | 103.0 | 3.51 | ||
| 5 | 4.62 | 92.4 | 9.68 | 5.11 | 102.2 | 4.22 | ||
| MG | 0.1 | 0.082 | 82.3 | 7.02 | 0.11 | 110.1 | 5.16 | |
| 1 | 0.92 | 92.4 | 7.93 | 1.01 | 101.4 | 3.92 | ||
| 2 | 1.83 | 91.5 | 5.48 | 1.96 | 98.0 | 4.10 | ||
| 5 | 4.67 | 93.4 | 8.70 | 4.79 | 95.8 | 3.95 |
| Sample | Target | Spiked (μg/g) | TS-DTL | HPLC | ||||
|---|---|---|---|---|---|---|---|---|
| Found (μg/mL) | Recovery (%) | CV (%, n = 3) | Found (μg/mL) | Recovery (%) | CV (%, n = 3) | |||
| fish | TMS | 0.1 | 0.094 | 94.2 | 7.51 | 0.11 | 110.0 | 3.56 |
| 1 | 1.07 | 107.3 | 8.43 | 1.05 | 105.3 | 4.23 | ||
| 2 | 1.91 | 95.5 | 6.44 | 2.06 | 103.0 | 3.51 | ||
| 5 | 4.62 | 92.4 | 9.68 | 5.11 | 102.2 | 4.22 | ||
| MG | 0.1 | 0.082 | 82.3 | 7.02 | 0.11 | 110.1 | 5.16 | |
| 1 | 0.92 | 92.4 | 7.93 | 1.01 | 101.4 | 3.92 | ||
| 2 | 1.83 | 91.5 | 5.48 | 1.96 | 98.0 | 4.10 | ||
| 5 | 4.67 | 93.4 | 8.70 | 4.79 | 95.8 | 3.95 | ||
| shrimp | TMS | 0.1 | 0.085 | 85.4 | 13.27 | 0.102 | 102.0 | 4.76 |
| 1 | 0.94 | 94.0 | 9.23 | 0.936 | 93.6 | 5.37 | ||
| 2 | 2.07 | 103.5 | 8.63 | 1.89 | 94.5 | 4.87 | ||
| 5 | 5.43 | 108.6 | 8.37 | 4.77 | 95.4 | 5.21 | ||
| MG | 0.1 | 0.082 | 82.3 | 11.41 | 0.88 | 88.8 | 5.67 | |
| 1 | 0.88 | 87.6 | 12.56 | 0.92 | 92.0 | 4.88 | ||
| 2 | 1.85 | 92.5 | 9.24 | 1.96 | 97.9 | 3.96 | ||
| 5 | 4.24 | 84.8 | 7.31 | 4.22 | 84.3 | 4.63 | ||
Publisher’s Note: MDPI stays neutral with regard to jurisdictional claims in published maps and institutional affiliations. |
© 2022 by the authors. Licensee MDPI, Basel, Switzerland. This article is an open access article distributed under the terms and conditions of the Creative Commons Attribution (CC BY) license (https://creativecommons.org/licenses/by/4.0/).
Share and Cite
Lu, Y.-K.; Xu, D.; Liu, W.-Y.; Xie, J.; Lu, Y. A Rapid Tricolour Immunochromatographic Assay for Simultaneous Detection of Tricaine and Malachite Green. Biosensors 2022, 12, 456. https://doi.org/10.3390/bios12070456
Lu Y-K, Xu D, Liu W-Y, Xie J, Lu Y. A Rapid Tricolour Immunochromatographic Assay for Simultaneous Detection of Tricaine and Malachite Green. Biosensors. 2022; 12(7):456. https://doi.org/10.3390/bios12070456
Chicago/Turabian StyleLu, Yi-Kuan, Di Xu, Wen-Yue Liu, Jing Xie, and Ying Lu. 2022. "A Rapid Tricolour Immunochromatographic Assay for Simultaneous Detection of Tricaine and Malachite Green" Biosensors 12, no. 7: 456. https://doi.org/10.3390/bios12070456
APA StyleLu, Y.-K., Xu, D., Liu, W.-Y., Xie, J., & Lu, Y. (2022). A Rapid Tricolour Immunochromatographic Assay for Simultaneous Detection of Tricaine and Malachite Green. Biosensors, 12(7), 456. https://doi.org/10.3390/bios12070456

