An Ultrasensitive Silicon-Based Electrolyte-Gated Transistor for the Detection of Peanut Allergens
Abstract
:1. Introduction
2. Materials and Methods
2.1. Fabrication of Si-EGTs
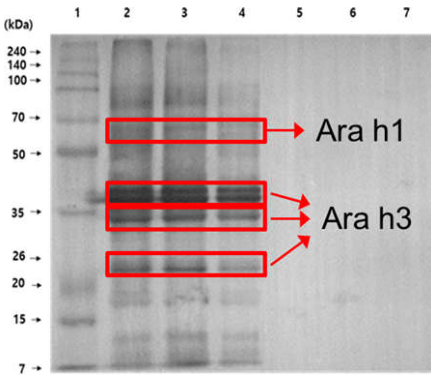
2.2. Preparation of PAs and Their Antibodies
2.3. Immobilization of PA Antibodies on Si-EGT
2.4. Electrical Measurement System
3. Results
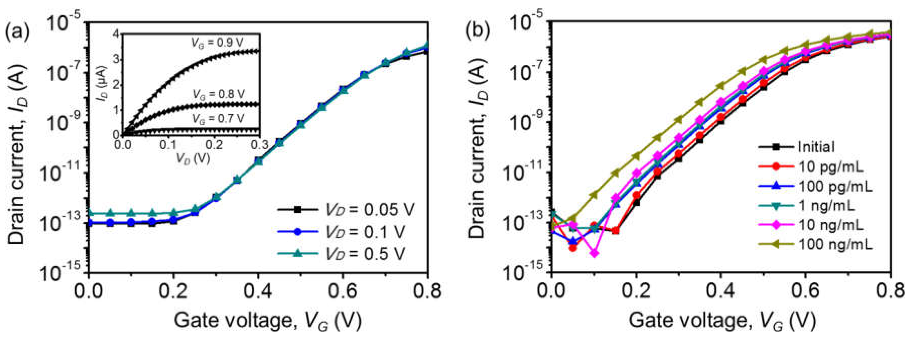
3.1. Intrinsic Electrical Characteristics
3.2. Sensing Responses for PA Detection
3.3. Sensitivity, LOD, and Selectivity
3.4. Detection Principle of Si-EGTs
4. Conclusions
Author Contributions
Funding
Conflicts of Interest
References
- Sicherer, S.H.; Sampson, H.A. Food allergy: A review and update on epidemiology, pathogenesis, diagnosis, prevention, and management. J. Allergy Clin. Immunol. 2018, 141, 41–58. [Google Scholar] [CrossRef] [Green Version]
- Lieberman, J.A.; Glaumann, S.; Batelson, S.; Borres, M.P.; Sampson, H.A.; Nilsson, C. The utility of peanut components in the diagnosis of IgE-mediated peanut allergy among distinct populations. J. Allergy Clin. Immunol. 2013, 1, 75–82. [Google Scholar] [CrossRef]
- Lieberman, J.A.; Gupta, R.S.; Knibb, R.C.; Haselkorn, T.; Tilles, S.; Mack, D.P.; Pouessel, G. The Global Burden of Illness of Peanut Allergy: A Comprehensive Literature Review. Allergy 2020, 76, 1367–1384. [Google Scholar] [CrossRef]
- Bégin, P.; Paradis, L.; Paradis, J.; Picard, M.; Roches, A.D. Natural resolution of peanut allergy: A 12-year longitudinal follow-up study. J. Allergy Clin. Immunol. 2013, 1, 528–530. [Google Scholar] [CrossRef]
- Hebling, C.M.; Ross, M.M.; Callahan, J.H.; McFarland, M.A. Size-Selective Fractionation and Visual Mapping of Allergen Protein Chemistry in Arachis hypogaea. J. Proteome Res. 2012, 11, 5384–5395. [Google Scholar] [CrossRef]
- Bublin, M.; Breiteneder, H. Cross-reactivity of peanut allergens. Curr. Allergy Asthme Rep. 2014, 14, 426. [Google Scholar] [CrossRef] [Green Version]
- Scurlock, A.M.; Burks, A.W. Peanut allergenicity. Ann. Allergy Asthma Immunol. 2004, 93, S12–S18. [Google Scholar] [CrossRef]
- Montserrat, M.; Sanz, D.; Juan, T.; Herrero, A.; Sanchez, L.; Calvo, M.; Perez, M.D. Detection of peanut (Arachis hypogaea) allergens in processed foods by immunoassay: Influence of selected target protein and ELISA format applied. Food Control. 2015, 54, 300–307. [Google Scholar] [CrossRef] [Green Version]
- Weng, X.; Gaur, G.; Neethirajan, S. Rapid Detection of Food Allergens by Microfluidics ELISA-Based Optical Sensor. Biosensors 2016, 6, 24. [Google Scholar] [CrossRef] [Green Version]
- Pandey, A.K.; Varshney, R.K.; Sudini, H.K.; Pandey, M.K. An Improved Enzyme-Linked Immunosorbent Assay (ELISA) Based Protocol Using Seeds for Detection of Five Major Peanut Allergens Ara h 1, Ara h 2, Ara h 3, Ara h 6, and Ara h 8. Front. Nutr. 2019, 6, 68. [Google Scholar] [CrossRef]
- Oliver, S.; Stefan, V. Development of a Real-Time PCR and a Sandwich ELISA for Detection of Potentially Allergenic Trace Amounts of Peanut (Arachis hypogaea) in Processed Foods. J. Agric. Food Chem. 2004, 52, 3754–3760. [Google Scholar]
- Inés, M.L.-C.; Silvia, d.l.C.; Nicolette, P.; Isabel, G.; Teresa, G.; Rosario, M. Development of a real time PCR assay for detection of allergenic trace amounts of peanut (Arachis hypogaea) in processed foods. Food Control. 2013, 30, 480–490. [Google Scholar]
- Zhang, W.-J.; Cai, Q.; Guan, X.; Chen, Q. Detection of peanut (Arachis hypogaea) allergen by Real-time PCR method with internal amplification control. Food Chem. 2015, 174, 547–552. [Google Scholar] [CrossRef]
- Puente-Lelievre, C.; Eischeid, A.C. Development and evaluation of a real-time PCR multiplex assay for the detection of allergenic peanut using chloroplast DNA markers. J. Agric. Food Chem. 2018, 66, 8623–8629. [Google Scholar] [CrossRef]
- Forootan, A.; Sjöback, R.; Björkman, J.; Sjögreen, B.; Linz, L.; Kubista, M. Methods to determine limit of detection and limit of quantification in quantitative real-time PCR (qPCR). Biomol. Detec. Quantif. 2017, 12, 1–6. [Google Scholar] [CrossRef]
- Cui, Y.; Wei, W.; Park, H.; Lieber, C.M. Nanowire nanosensors for highly sensitive and selective detection of biological and chemical species. Science 2001, 293, 1289–1292. [Google Scholar] [CrossRef]
- Ding, B.; Wang, M.; Wang, X.; Yu, J.; Sun, G. Electrospun nanomaterials for ultrasensitive sensors. Mater. Today 2010, 13, 16–27. [Google Scholar] [CrossRef]
- Kanai, Y.; Ohmuro-Matsuyama, Y.; Tanioku, M.; Ushiba, S.; Ono, T.; Inoue, K.; Kitaguchi, T.; Kimura, M.; Ueda, H.; Matsumoto, K. Graphene field effect transistor-based immunosensor for ultrasensitive noncompetitive detection of small antigens. ACS Sens. 2020, 5, 24–28. [Google Scholar] [CrossRef]
- Stern, E.; Klemic, J.F.; Routenberg, D.A.; Wyrembak, P.N.; Turner-Evans, D.B.; Hamilton, A.D.; LaVan, D.A.; Fahmy, T.M.; Leed, M.A. Label-free immunodetection with CMOS-compatible semiconducting nanowire. Nature 2007, 445, 519–522. [Google Scholar] [CrossRef]
- Kim, K.; Park, C.; Kwon, D.; Kim, D.; Meyyappan, M.; Jeon, S.; Lee, J.-S. Silicon nanowire biosensors for detection of cardiac troponin I (cTnI) with high sensitivity. Biosens. Bioelectron. 2016, 77, 695–701. [Google Scholar] [CrossRef]
- Hideshima, S.; Sato, R.; Inoue, S.; Kuroiwa, S.; Osaka, T. Detection of tumor marker in blood serum using antibody-modified field effect transistor with optimized BSA blocking. Sens. Actuators B Chem. 2012, 161, 146–150. [Google Scholar] [CrossRef]
- Mulla, M.Y.; Tuccori, E.; Magliulo, M.; Lattanzi, G.; Palazzo, G.; Persaud, K.; Torsi, L. Capacitance-modulated transistor detects odorant binding protein chiral interactions. Nat. Commun. 2015, 6, 6010. [Google Scholar] [CrossRef] [Green Version]
- Macchia, E.; Manoli, K.; Holzer, B.; Franco, C.D.; Chittorelli, M.; Torricelli, F.; Alberga, D.; Mangiatordi, G.F.; Palazzo, G.; Scamarcio, G.; et al. Single-molecule detection with a millimetre-sized transistor. Nat. Commun. 2018, 9, 3223. [Google Scholar] [CrossRef]
- Machhia, E.; Sarchina, L.; Picca, R.A.; Manoli, K.; Franco, C.D.; Scamarcio, G.; Torsi, L. Ultra-low HIV-1 p24 detection limits with a bioelectronics sensor. Anal. Bioanal. Chem. 2019, 412, 811–818. [Google Scholar] [CrossRef] [Green Version]
- Lin, P.; Luo, X.; Hsing, I.-M.; Yan, F. Organic Electrochemical Transistors Integrated in Flexible Microfluidic Systems and Used for Label-Free DNA Sensing. Adv. Mater. 2011, 23, 4035–4040. [Google Scholar] [CrossRef]
- Guo, K.; Wustoni, S.; Koklu, A.; Díaz-Galicia, E.; Moser, M.; Hama, A.; Alqahtani, A.A.; Ahmad, A.N.; Alhamlan, F.S.; Shuaib, M.; et al. Rapid single-molecule detection of COVID-19 and MERS antigens via nanobody-functionalized organic electrochemical transistors. Nat. Biomed. Eng. 2021, 5, 666–677. [Google Scholar] [CrossRef]
- Dastan, D.; Banpurkar, A. Solution processable sol-gel derived titania gate dielectric for organic field effect transistors. J. Mater. Sci: Mater. Electron. 2017, 28, 3851–3859. [Google Scholar] [CrossRef]
- Zhang, Y.; Wu, Z.; Li, K.; Li, X.; Yang, A.; Tong, P.; Chen, H. Allergenicity assessment on thermally processed peanut influenced by extraction and assessment methods. Food Chem. 2019, 281, 130–139. [Google Scholar] [CrossRef]
- Köhler, G.; Milstein, C. Continuous cultures of fused cells secreting antibody of predefined specificity. Nature 1975, 256, 495–497. [Google Scholar] [CrossRef]
- McKearn, T.J. Cloning of hybridoma cells by limiting dilution in fluid phase. Monocl. Antibod. 1980, 1980, 374. [Google Scholar]
- Song, H.N.; Kim, D.H.; Park, S.G.; Lee, M.K.; Paek, S.H.; Woo, E.J. Purification and characterization of Fab fragments with rapid reaction kinetics against myoglobin. Biosci. Biotechnol. Biochem. 2015, 79, 718–724. [Google Scholar] [CrossRef]
- Taur, Y.; Ning, T.H. Fundamentals of Modern VLSI Devices, 2nd ed.; Cambridge: New York, NY, USA, 2012; pp. 148–203. [Google Scholar]
- Shoorideh, K.; Chui, C.O. Optimization of the sensitivity of FET-based biosensors via biasing and surface charge engineering. IEEE Trans. Electron. Dev. 2012, 59, 3104–3110. [Google Scholar] [CrossRef]
- Hideshima, S.; Hinou, H.; Ebihara, D.; Sato, R.; Kuroiwa, S.; Nakanishi, T.; Nishimura, S.-I.; Osaka, T. Attomolar detection of influenza A virus hemagglutinin human H1 and avian H5 using glycan-blotted field effect transistor biosensor. Anal. Chem. 2013, 85, 5641–5644. [Google Scholar] [CrossRef]
- Tajima, N.; Takai, M.; Ishihara, K. Significance of Antibody Orientation Unraveled: Well-Oriented Antibodies Recorded High Binding Affinity. Anal. Chem. 2011, 83, 1969–1976. [Google Scholar] [CrossRef]
- Kurganov, B.I.; Lobanov, A.V.; Borisov, I.A.; Reshetilov, A.N. Criterion for Hill equation validaity for description of biosensor calibration curve. Anal. Chim. Acta 2001, 427, 11–19. [Google Scholar] [CrossRef]
- Tschmelak, J.; Kumpf, M.; Kappel, N.; Proll, G.; Gauglitz, G. Total internal reflectance fluorescence (TIRF) biosensor for environmental monitoring of testosterone with commercially available immunochemistry: Antibody characterization, assay development and real sample measurements. Talanta 2006, 69, 343–350. [Google Scholar] [CrossRef]
- Gao, A.; Lu, N.; Wang, Y.; Li, T. Robust ultrasensitive tunneling-FET biosensor for point-of-care diagnostics. Sci. Rep. 2016, 6, 22554. [Google Scholar] [CrossRef] [Green Version]
- Shrivastava, A.; Gupta, B. Methods for the Determination of Limit of Detection and Limit of Quantitation of the Analytical Methods. Chron. Young Sci. 2011, 2, 21–25. [Google Scholar] [CrossRef]
- Peeters, M.; Grinsven, B.V.; Cleji, T.J.; Jiménez-Monroy, K.L.; Cornelis, P.; Pérez-Ruiz, E.; Wackers, G.; Thoelen, R.; Ceuninck, W.D.; Lammertyn, J.; et al. Label-free Protein Detection Based on the Heat-Transfer Method—A Case Study with the Peanut Allergen Ara h 1 and Aptamer-Based Synthetic Receptors. ACS Appl. Mater. Interfaces 2015, 7, 10316–10323. [Google Scholar] [CrossRef] [Green Version]
- Pollet, J.; Delport, F.; Janssen, K.P.F.; Tran, D.T.; Wouters, J.; Verbiest, T.; Lammertyn, J. Fast and accurate peanut allergen detection with nanobead enhanced optical fiber SPR biosensor. Talanta 2011, 83, 1436–1441. [Google Scholar] [CrossRef]
- Alves, R.C.; Pimentel, F.B.; Nouws, H.P.A.; Marques, R.C.B.; González-García, M.B.; Oliveira, M.B.P.P.; Delerue-Matos, C. Detection of Ara h 1 (a major peanut allergen) in food using an electrochemical gold nanoparticle-coated screen-printed immunosensor. Biosens. Bioelectron. 2015, 64, 19–24. [Google Scholar] [CrossRef] [Green Version]
- Sobhan, A.; Oh, J.-H.; Park, M.-K.; Kim, S.W.; Park, C.; Lee, J. Assessment of peanut allergen Ara h1 in processed foods using a SWCNTs-based nanobiosensor. Biosci. Biotechnol. Biochem. 2018, 82, 1134–1142. [Google Scholar] [CrossRef] [Green Version]
- Zhou, W.-D.; Dastan, D.; Li, J.; Yin, X.-T.; Wang, Q. Discriminable Sensing Response Behavior to Homogeneous Gases Based on n-ZnO/p-NiO Composites. Nanomaterials 2020, 10, 785. [Google Scholar] [CrossRef] [Green Version]









| Sensor Type | PA Type | Dynamic Range | LOD | Ref. |
|---|---|---|---|---|
| ELISA | Ara h3 | 240 pg/mL–125 ng/mL | 240 pg/mL | [9] |
| Heat transfer method | Ara h1 | 315 ng/mL–3 μg/mL | 189 ng/mL | [40] |
| SERS | Ara h1 | 90 ng/mL–36 μg/mL | 90 ng/mL | [41] |
| Two electrodes resistor | Ara h1 | 12.6 ng/mL–2 μg/mL | 3.8 ng/mL | [42] |
| Carbon nanotube resistor | Ara h1 | 1 ng/mL–100 μg/mL | 1 ng/mL | [43] |
| Si-EGT | Ara h1, h3 | 100 pg/mL–1 μg/mL | 25 pg/mL | This work |
Publisher’s Note: MDPI stays neutral with regard to jurisdictional claims in published maps and institutional affiliations. |
© 2022 by the authors. Licensee MDPI, Basel, Switzerland. This article is an open access article distributed under the terms and conditions of the Creative Commons Attribution (CC BY) license (https://creativecommons.org/licenses/by/4.0/).
Share and Cite
Kim, D.; Jin, B.; Kim, S.-A.; Choi, W.; Shin, S.; Park, J.; Shim, W.-B.; Kim, K.; Lee, J.-S. An Ultrasensitive Silicon-Based Electrolyte-Gated Transistor for the Detection of Peanut Allergens. Biosensors 2022, 12, 24. https://doi.org/10.3390/bios12010024
Kim D, Jin B, Kim S-A, Choi W, Shin S, Park J, Shim W-B, Kim K, Lee J-S. An Ultrasensitive Silicon-Based Electrolyte-Gated Transistor for the Detection of Peanut Allergens. Biosensors. 2022; 12(1):24. https://doi.org/10.3390/bios12010024
Chicago/Turabian StyleKim, Donghoon, Bo Jin, Sol-A Kim, Wonyeong Choi, Seonghwan Shin, Jiwon Park, Won-Bo Shim, Kihyun Kim, and Jeong-Soo Lee. 2022. "An Ultrasensitive Silicon-Based Electrolyte-Gated Transistor for the Detection of Peanut Allergens" Biosensors 12, no. 1: 24. https://doi.org/10.3390/bios12010024
APA StyleKim, D., Jin, B., Kim, S.-A., Choi, W., Shin, S., Park, J., Shim, W.-B., Kim, K., & Lee, J.-S. (2022). An Ultrasensitive Silicon-Based Electrolyte-Gated Transistor for the Detection of Peanut Allergens. Biosensors, 12(1), 24. https://doi.org/10.3390/bios12010024

