PEG-Poly(1-Methyl-l-Tryptophan)-Based Polymeric Micelles as Enzymatically Activated Inhibitors of Indoleamine 2,3-Dioxygenase
Abstract
1. Introduction
2. Materials and Methods
2.1. Materials
2.2. Cell Lines
2.3. Synthesis of P(MLT) and P(MDT) by Condensation Reaction
2.4. Enzymatic Digestion of P(MLT) and P(MDT)
2.5. Synthesis of MLT-NPC
2.6. Synthesis of PEG-P(MLT) Block Copolymer
2.7. Enzymatic Digestion of PEG-P(MLT)
2.8. Cytotoxicity of PEG-P(MLT)
2.9. Self-Assembly of Polymeric Micelles
2.10. Cell Uptake Assay
2.11. KYN Inhibition Assay
2.12. Quantification of TNF-α Expression by THP-1 by Enzyme-Linked Immunosorbent Assay (ELISA)
2.13. Quantification of NF-κB Expression in RAW 264.7 by Secreted Alkaline Phosphatase (SEAP) Reporter Gene Assay
2.14. HPLC Detection
3. Results
3.1. Enzymatic Degradation of P(MLT) and P(MDT)
3.2. Synthesis and Characterization of NPC-MLT
3.3. Synthesis of PEG-P(MLT) and Self-Assembly of Micelles
3.4. Release of MLT from PEG-P(MLT) after Enzymatic Cleavage
3.5. Cytotoxicity of PEG-P(MLT)
3.6. Cellular Uptake of PEG-P(MLT) Micelles
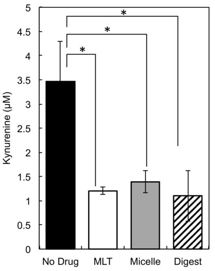
3.7. Inhibition of KYN by PEG-P(MLT) Micelles
3.8. Macrophage Activity in the Presence of PEG-P(MLT) Micelles
4. Discussion
5. Conclusions
Supplementary Materials
Author Contributions
Funding
Conflicts of Interest
References
- Tang, J.; Pearce, L.; Donnell-tormey, J.O.; Hubbard-lucey, V.M. FROM THE ANALYST ’ S COUCH Trends in the global immuno-oncology landscape. Nat. Publ. Gr. 2018, 17, 783–784. [Google Scholar]
- Prendergast, G.C.; Jaffee, E.M. Cancer Immunologists and Cancer Biologists: Why We Didn’t Talk Then but Need to Now. Cancer Res. 2007, 3500–3505. [Google Scholar] [CrossRef] [PubMed]
- Rieth, J.; Subramanian, S. Mechanisms of intrinsic tumor resistance to immunotherapy. Int. J. Mol. Sci. 2018, 19, 1–13. [Google Scholar] [CrossRef]
- Munn, D.H.; Mellor, A.L. IDO in the Tumor Microenvironment: Inflammation, Counter-Regulation, and Tolerance. Trends Immunol. 2016, 37, 193–207. [Google Scholar] [CrossRef] [PubMed]
- Brochez, L.; Chevolet, I.; Kruse, V. The rationale of indoleamine 2,3-dioxygenase inhibition for cancer therapy. Eur. J. Cancer 2017, 76, 167–182. [Google Scholar] [CrossRef] [PubMed]
- Soliman, H.H.; Minton, S.E.; Han, H.S.; Ismail-Khan, R.; Neuger, A.; Khambati, F.; Noyes, D.; Lush, R.; Chiappori, A.A.; Roberts, J.D.; et al. A phase I study of indoximod in patients with advanced malignancies. Oncotarget 2016, 7, 22928–22938. [Google Scholar] [CrossRef] [PubMed]
- Ino, K.; Yoshida, N.; Kajiyama, H.; Shibata, K.; Yamamoto, E.; Kidokoro, K.; Takahashi, N.; Terauchi, M.; Nawa, A.; Nomura, S.; et al. Indoleamine 2,3-dioxygenase is a novel prognostic indicator for endometrial cancer. Br. J. Cancer 2006, 95, 1555–1561. [Google Scholar] [CrossRef]
- Fox, E.; Oliver, T.; Rowe, M.; Thomas, S.; Zakharia, Y.; Gilman, P.B.; Muller, A.J.; Prendergast, G.C. Indoximod: An Immunometabolic Adjuvant That Empowers T Cell Activity in Cancer. Front. Oncol. 2018, 8, 1–12. [Google Scholar] [CrossRef]
- Hou, D.Y.; Muller, A.J.; Sharma, M.D.; DuHadaway, J.; Banerjee, T.; Johnson, M.; Mellor, A.L.; Prendergast, G.C.; Munn, D.H. Inhibition of indoleamine 2,3-dioxygenase in dendritic cells by stereoisomers of 1-methyl-tryptophan correlates with antitumor responses. Cancer Res. 2007, 67, 792–801. [Google Scholar] [CrossRef]
- Cabral, H.; Kataoka, K. Progress of drug-loaded polymeric micelles into clinical studies. J. Control. Release 2014, 190, 465–476. [Google Scholar] [CrossRef]
- Cabral, H.; Miyata, K.; Osada, K.; Kataoka, K. Block Copolymer Micelles in Nanomedicine Applications. Chem. Rev. 2018, 118, 6844–6892. [Google Scholar] [CrossRef] [PubMed]
- Kataoka, K.; Harada, A.; Nagasaki, Y. Block copolymer micelles for drug delivery: Design, characterization and biological significance. Adv. Drug Deliv. Rev. 2012, 64, 37–48. [Google Scholar] [CrossRef]
- Maeda, H.; Wu, J.; Sawa, T.; Matsumura, Y.; Hori, K. Tumor vascular permeability and the EPR effect in macromolecular therapeutics a review. J. Control. Release 2000, 65, 271–284. [Google Scholar] [CrossRef]
- Miller, S.M.; Simon, R.J.; Ng, S.; Zuckermann, R.N.; Kerr, J.M. Comparison of the Proteolytic Susceptibilities of Homologous L-Amino Acid, D-Amino Acid, and N-Substituted Clycine Peptide and Peptoid Oligomers. Drug Dev. Res. 1995, 32, 20–32. [Google Scholar] [CrossRef]
- Yamada, S.; Atsushi, S.; Goto, M.; Endo, T. Facile Synthesis of Poly ( L -tryptophan ) through Polycondensation of Activated Urethane Derivatives. J. Polym. Sci. Part A Polym. Chem. 2013, 51, 4565–4571. [Google Scholar] [CrossRef]
- Wu, H.; Tao, A.; Martin, J.D.; Quader, S.; Liu, X.; Takahashi, K.; Hespel, L.; Miura, Y.; Hayakawa, Y.; Irimura, T.; et al. Proteasome Inhibitor e Loaded Micelles Enhance Antitumor Activity Through Macrophage Reprogramming by NF- k B Inhibition. J. Pharm. Sci. 2017, 106, 2438–2446. [Google Scholar] [CrossRef] [PubMed]
- Fujigaki, S.; Saito, K.; Sekikawa, K.; Tone, S.; Takikawa, O.; Fujii, H.; Wada, H.; Noma, A.; Seishima, M. Lipopolysaccharide induction of indoleamine 2,3-dioxygenase is mediated dominantly by an IFN-γ-independent mechanism. Eur. J. Immunol. 2001, 31, 2313–2318. [Google Scholar] [CrossRef]
- Laich, A.; Neurauter, G.; Widner, B.; Fuchs, D. More Rapid Method for Simultaneous Measurement of Tryptophan and Kynurenine by HPLC. Clin. Chem. 2002, 48, 579–581. [Google Scholar] [PubMed]
- Werle, M.; Bernkop-Schnürch, A. Strategies to improve plasma half life time of peptide and protein drugs. Amino Acids 2006, 30, 351–367. [Google Scholar] [CrossRef]
- Hedstrom, L. Serine Protease Mechanism and Specificity. Chem. Rev. 2002, 102, 4501–4524. [Google Scholar] [CrossRef]
- HO, C.H.; Odermatt, E.; Berndt, I.; Tiller, J.C. Ways of Selective Polycondensation of L-Lysine Towards Linear a- and e-Poly-L-Lysine. J. Polym. Sci. Part A Polym. Chem. 2008, 46, 5053–5063. [Google Scholar] [CrossRef]
- Okamura, A.; Hirai, T.; Tanihara, M.; Yamaoka, T. Synthesis and properties of novel biodegradable polyamides containing α-amino acids. Polymer (Guildf) 2002, 43, 3549–3554. [Google Scholar] [CrossRef]
- Cheng, J.; Deming, T.J. Synthesis of Polypeptides by Ring-Opening Polymerization of α-Amino Acid N-Carboxyanhydrides BT - Peptide-Based Materials. In Peptide-Based Materials; Deming, T., Ed.; Springer: Berlin/Heidelberg, Germany, 2012; pp. 1–26. ISBN 978-3-642-27139-7. [Google Scholar]
- Doriti, A.; Brosnan, S.M.; Weidner, S.M.; Schlaad, H. Synthesis of polysarcosine from air and moisture stable N-phenoxycarbonyl-N-methylglycine assisted by tertiary amine base. Polym. Chem. 2016, 7, 3067–3070. [Google Scholar] [CrossRef]
- Yamada, S.; Koga, K.; Endo, T. Useful synthetic method of polypeptides with well-defined structure by polymerization of activated urethane derivatives of α-amino acids. J. Polym. Sci. Part A Polym. Chem. 2012, 50, 2527–2532. [Google Scholar] [CrossRef]
- Yamada, S.; Sudo, A.; Goto, M.; Endo, T. Phosgene-free synthesis of polypeptides using activated urethane derivatives of α-amino acids: An efficient synthetic approach to hydrophilic polypeptides. RSC Adv. 2014, 4, 29890–29896. [Google Scholar] [CrossRef]
- Yamada, S.; Koga, K.; Sudo, A.; Goto, M.; Endo, T. Phosgene-free synthesis of polypeptides: Useful synthesis for hydrophobic polypeptides through polycondensation of activated urethane derivatives of α-amino acids. J. Polym. Sci. Part A Polym. Chem. 2013, 51, 3726–3731. [Google Scholar] [CrossRef]
- Turecek, P.L.; Bossard, M.J.; Schoetens, F.; Ivens, I.A. PEGylation of Biopharmaceuticals A Review of Chemistry and Nonclinical Safety Information of Approved Drugs. J. Pharm. Sci. 2016, 105, 460–475. [Google Scholar] [CrossRef] [PubMed]
- Baqui, A.A.M.A.; Meiller, T.F.; Turng, B.F.; Kelley, J.I.; Falkler, W.A. Functional changes in THP-1 human monocytic cells after stimulation with lipopolysacchar1de of oral microorganisms and granulocyte macrophage colony stimulating factor. Immunopharmacol. Immunotoxicol. 1998, 20, 493–518. [Google Scholar] [CrossRef] [PubMed]
- Tsuchiya, S.; Yamabe, M.; Yamaguchi, Y.; Kobayashi, Y.; Konno, T.; Tada, K. Establishment and characterization of a human acute monocytic leukemia cell line (THP-1). Int. J. Cancer 1980, 171–176. [Google Scholar] [CrossRef]
- Trevejo, J.M.; Marino, M.W.; Philpott, N.; Josien, R.; Richards, E.C.; Elkon, K.B.; Falck-Pedersen, E. TNF-α-dependent maturation of local dendritic cells is critical for activating the adaptive immune response to virus infection. Proc. Natl. Acad. Sci. USA 2002, 98, 12162–12167. [Google Scholar] [CrossRef] [PubMed]
- Calzascia, T.; Pellegrini, M.; Hall, H.; Sabbagh, L.; Ono, N.; Elford, A.R.; Mak, T.W.; Ohashi, P.S. TNF-α is critical for antitumor but not antiviral T cell immunity in mice. J. Clin. Investig. 2007, 117, 3833–3845. [Google Scholar] [CrossRef] [PubMed]
- Yamada, S.; Ikkyu, K.; Iso, K.; Goto, M.; Endo, T. Facile synthesis of polymethionine oxides through polycondensation of activated urethane derivative of α-amino acid and their application to antifouling polymer against proteins and cells. Polym. Chem. 2015, 6, 1838–1845. [Google Scholar] [CrossRef]
- Cabral, H.; Matsumoto, Y.; Mizuno, K.; Chen, Q.; Murakami, M.; Kimura, M.; Terada, Y.; Kano, M.R.; Miyazono, K.; Uesaka, M.; et al. Accumulation of sub-100 nm polymeric micelles in poorly permeable tumours depends on size. Nat. Nanotechnol. 2011, 6, 815–823. [Google Scholar] [CrossRef] [PubMed]
- Hanahan, D.; Weinberg, R.A. Review Hallmarks of Cancer The Next Generation. Cell 2011, 144, 646–674. [Google Scholar] [CrossRef]
- Fruton, J.S.; Bergmann, M. The Multiple Specificity of Chymotrypsin. J. Biol. Chem. 1942, 145, 253–265. [Google Scholar]
- Kondakova, I.V.; Spirina, L.V.; Koval, V.D.; Shashova, E.E.; Choinzonov, E.L.; Ivanova, E.V.; Kolomiets, L.A.; Chernyshova, A.L.; Slonimskaya, E.M.; Usynin, E.A.; et al. BIOLOGY Chymotrypsin Like Activity and Subunit Composition of Proteasomes in Human Cancers. Mol. Biol. 2014, 48, 384–389. [Google Scholar] [CrossRef]
- Garcia, M.; Platet, N.; Liaudet, E.; Laurent, V.; Derocq, D.; Brouillet, J.; Rochefort, H. Concise Review Biological and Clinical Significance of Cathepsin D in Breast Cancer Metastasis. Stem Cells 1996, 14, 642–650. [Google Scholar] [CrossRef]
- Koblinski, J.E.; Ahram, M.; Sloane, B.F. Unraveling the role of proteases in cancer. Clin. Chim. Acta 2000, 291, 113–135. [Google Scholar] [CrossRef]
- Wickström, M.; Larsson, R.; Nygren, P.; Gullbo, J. Aminopeptidase N (CD13) as a target for cancer chemotherapy. Cancer Sci. 2011, 102, 501–508. [Google Scholar] [CrossRef] [PubMed]
- Metz, R.; Rust, S.; Duhadaway, J.B.; Mautino, M.R.; Munn, D.H.; Vahanian, N.N.; Link, C.J.; Prendergast, G.C. IDO inhibits a tryptophan sufficiency signal that stimulates mTOR A novel IDO effector pathway targeted by D -1-methyl-tryptophan. RSC Adv. 2012, 1, 1460–1468. [Google Scholar] [CrossRef]
- Zhang, J.; Kinoh, H.; Hespel, L.; Liu, X.; Quader, S.; Martin, J.; Chida, T.; Cabral, H.; Kataoka, K. E ff ective treatment of drug resistant recurrent breast tumors harboring cancer stem-like cells by staurosporine / epirubicin co-loaded polymeric micelles. J. Control. Release 2017, 264, 127–135. [Google Scholar] [CrossRef] [PubMed]
- Schmidt, S.V.; Schultze, J.L. New insights into IDO biology in bacterial and viral infections. Front. Immunol. 2014, 5, 1–12. [Google Scholar] [CrossRef]
- Gautam, U.S.; Foreman, T.W.; Bucsan, A.N.; Veatch, A.V.; Alvarez, X.; Adekambi, T. In vivo inhibition of tryptophan catabolism reorganizes the tuberculoma and augments immune-mediated control of Mycobacterium tuberculosis. Proc. Natl. Acad. Sci. USA 2018, 115, E62–E71. [Google Scholar] [CrossRef] [PubMed]
- Boasso, A.; Vaccari, M.; Fuchs, D.; Hardy, A.W.; Tsai, W.-P.; Tryniszewska, E.; Shearer, G.M.; Franchini, G. Combined Effect of Antiretroviral Therapy and Blockade of IDO in SIV-Infected Rhesus Macaques. J. Immunol. 2009, 182, 4313–4320. [Google Scholar] [CrossRef] [PubMed]










© 2019 by the authors. Licensee MDPI, Basel, Switzerland. This article is an open access article distributed under the terms and conditions of the Creative Commons Attribution (CC BY) license (http://creativecommons.org/licenses/by/4.0/).
Share and Cite
Huang, G.L.; Tao, A.; Miyazaki, T.; Khan, T.; Hong, T.; Nakagawa, Y.; Cabral, H. PEG-Poly(1-Methyl-l-Tryptophan)-Based Polymeric Micelles as Enzymatically Activated Inhibitors of Indoleamine 2,3-Dioxygenase. Nanomaterials 2019, 9, 719. https://doi.org/10.3390/nano9050719
Huang GL, Tao A, Miyazaki T, Khan T, Hong T, Nakagawa Y, Cabral H. PEG-Poly(1-Methyl-l-Tryptophan)-Based Polymeric Micelles as Enzymatically Activated Inhibitors of Indoleamine 2,3-Dioxygenase. Nanomaterials. 2019; 9(5):719. https://doi.org/10.3390/nano9050719
Chicago/Turabian StyleHuang, George Lo, Anqi Tao, Takuya Miyazaki, Thahomina Khan, Taehun Hong, Yasuhiro Nakagawa, and Horacio Cabral. 2019. "PEG-Poly(1-Methyl-l-Tryptophan)-Based Polymeric Micelles as Enzymatically Activated Inhibitors of Indoleamine 2,3-Dioxygenase" Nanomaterials 9, no. 5: 719. https://doi.org/10.3390/nano9050719
APA StyleHuang, G. L., Tao, A., Miyazaki, T., Khan, T., Hong, T., Nakagawa, Y., & Cabral, H. (2019). PEG-Poly(1-Methyl-l-Tryptophan)-Based Polymeric Micelles as Enzymatically Activated Inhibitors of Indoleamine 2,3-Dioxygenase. Nanomaterials, 9(5), 719. https://doi.org/10.3390/nano9050719

