Facile Synthesis of Polypyrrole-Functionalized CoFe2O4@SiO2 for Removal for Hg(II)
Abstract
1. Introduction
2. Materials and Experimental Methods
2.1. Chemicals and Materials
2.2. Preparation of Materials
2.3. Sample Characterizations
2.4. Batch Experiments
3. Results and Discussion
3.1. Characterization of Materials
3.2. Adsorption Performance Test
3.2.1. Influence of pH
3.2.2. Influence of Dosage
3.2.3. Influence of Adsorption Time
3.3. Adsorption Kinetics
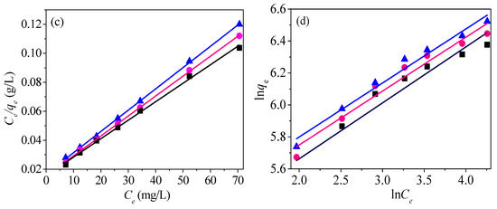
3.4. Adsorption Isotherms
3.5. Adsorption Thermodynamics
3.6. Effect of Coexistence Ions
3.7. Application Evaluation
3.8. Mechanism Speculation
4. Conclusions
Author Contributions
Funding
Conflicts of Interest
References
- Azimi, A.; Azari, A.; Rezakazemi, M.; Ansarpour, M. Removal of heavy metals from industrial wastewaters: A review. Chem. Biol. Eng. Rev. 2017, 4, 37–59. [Google Scholar] [CrossRef]
- Branco, V.; Caito, S.; Farina, M.; Teixeira, d.R.J.; Aschner, M.; Carvalho, C. Biomarkers of mercury toxicity: Past, present, and future trends. J. Toxicol. Environ. Health B 2017, 20, 119–154. [Google Scholar] [CrossRef] [PubMed]
- Xu, H.; Jia, J.; Guo, Y.; Qu, Z.; Liao, Y.; Xie, J.; Shangguan, W.; Yan, N. Design of 3D MnO2/Carbon sphere composite for the catalytic oxidation and adsorption of elemental mercury. J. Hazard. Mater. 2018, 342, 69–76. [Google Scholar] [CrossRef] [PubMed]
- Hadi, P.; To, M.H.; Hui, C.W.; Lin, C.S.K.; Mckay, G. Aqueous mercury adsorption by activated carbons. Water Res. 2015, 73, 37–55. [Google Scholar] [CrossRef] [PubMed]
- Kumar, A.; Subudhi, S. Preparation, characteristics, convection and applications of magnetic nanofluids: A review. Heat Mass Transf. 2017, 54, 241–265. [Google Scholar] [CrossRef]
- Haneda, K.; Morrish, A.H. Noncollinear magnetic structure of CoFe2O4 small particles. J. Appl. Phys. 1988, 63, 4258–4260. [Google Scholar] [CrossRef]
- Roto, R.; Yusran, Y.; Kuncaka, A. Magnetic adsorbent of Fe3O4@SiO2 core-shell nanoparticles modified with thiol group for chloroauric ion adsorption. Appl. Surf. Sci. 2016, 377, 30–36. [Google Scholar] [CrossRef]
- Ren, C.; Ding, X.; Fu, H.; Meng, C.; Li, W.; Yang, H. Preparation of amino-functionalized CoFe2O4@SiO2 magnetic nanocomposites for potential application in absorbing heavy metal ions. RSC Adv. 2016, 6, 72479–72486. [Google Scholar] [CrossRef]
- Zhou, Q.; Li, J.; Wang, M.; Zhao, D. Iron-based magnetic nanomaterials and their environmental applications. Crit. Rev. Environ. Sci. Technol. 2016, 46, 783–826. [Google Scholar] [CrossRef]
- Wang, X.; Zhang, Z.; Zhao, Y.; Xia, K.; Guo, Y.; Qu, Z.; Bai, R. A mild and facile synthesis of amino functionalized CoFe2O4@SiO2 for Hg(II) removal. Nanomaterials 2018, 8, 673. [Google Scholar] [CrossRef]
- Huang, X.; Yang, J.Y.; Wang, J.K.; Bi, J.T.; Xie, C.; Hao, H.X. Design and synthesis of core-shell Fe3O4@PTMT composite magnetic microspheres for adsorption of heavy metals from high salinity wastewater. Chemosphere 2018, 206, 513–521. [Google Scholar] [CrossRef]
- Zhang, S.; Zhang, Y.; Liu, J.; Xu, Q.; Xiao, H.; Wang, X.; Xu, H.; Zhou, J. Thiol modified Fe3O4@SiO2 as a robust, high effective, and recycling magnetic sorbent for mercury removal. Chem. Eng. J. 2013, 225, 30–38. [Google Scholar] [CrossRef]
- Zhu, H.; Shen, Y.; Wang, Q.; Chen, K.; Wang, X.; Zhang, G.; Yang, J.; Guo, Y.; Bai, R. Highly promoted removal of Hg(II) with magnetic CoFe2O4@SiO2 core-shell nanoparticles modified by thiol groups. RSC Adv. 2017, 7, 39204–39215. [Google Scholar] [CrossRef]
- Song, B.Y.; Eom, Y.; Lee, T.G. Removal and recovery of mercury from aqueous solution using magnetic silica nanocomposites. Appl. Surf. Sci. 2011, 257, 4754–4759. [Google Scholar] [CrossRef]
- Gharagozlou, M.; Ramezanzadeh, B.; Baradaran, Z. Synthesize and characterization of a novel anticorrosive cobalt ferrite nanoparticles dispersed in silica matrix (CoFe2O4-SiO2) to improve the corrosion protection performance of epoxy coating. Appl. Surf. Sci. 2016, 377, 86–98. [Google Scholar] [CrossRef]
- Wang, S.; Wang, K.; Dai, C.; Shi, H.; Li, J. Adsorption of Pb2+ on amino-functionalized core–shell magnetic mesoporous SBA-15 silica composite. Chem. Eng. J. 2015, 262, 897–903. [Google Scholar] [CrossRef]
- Ren, C.; Ding, X.; Fu, H.; Li, W.; Wu, H.; Yang, H. Core–shell superparamagnetic monodisperse nanospheres based on amino-functionalized CoFe2O4@SiO2 for removal of heavy metals from aqueous solutions. RSC Adv. 2017, 7, 6911–6921. [Google Scholar] [CrossRef]
- Hozhabr Araghi, S.; Entezari, M.H. Amino-functionalized silica magnetite nanoparticles for the simultaneous removal of pollutants from aqueous solution. Appl. Surf. Sci. 2015, 333, 68–77. [Google Scholar] [CrossRef]
- Qi, H.; Wang, S.; Liu, H.; Gao, Y.; Wang, T.; Huang, Y. Synthesis of an organic–inorganic polypyrrole/titanium(IV) biphosphate hybrid for Cr(VI) removal. J. Mol. Liq. 2016, 215, 402–409. [Google Scholar] [CrossRef]
- Zhou, C.; Zhu, H.; Wang, Q.; Wang, J.; Cheng, J.; Guo, Y.; Zhou, X.; Bai, R. Adsorption of mercury(II) with an Fe3O4 magnetic polypyrrole-graphene oxide nanocomposite. RSC Adv. 2017, 7, 18466–18479. [Google Scholar] [CrossRef]
- Sun, S.; Zeng, H.; Robinson, D.B.; Raoux, S.; Rice, P.M.; Wang, S.X.; Li, G. Monodisperse MFe2O4 (M = Fe, Co, Mn) nanoparticles. J. Am. Chem. Soc. 2004, 126, 273–279. [Google Scholar] [CrossRef] [PubMed]
- Wang, H.; Yuan, X.; Wu, Y.; Chen, X.; Leng, L.; Wang, H.; Li, H.; Zeng, G. Facile synthesis of polypyrrole decorated reduced graphene oxide–Fe3O4 magnetic composites and its application for the Cr(VI) removal. Chem. Eng. J. 2015, 262, 597–606. [Google Scholar] [CrossRef]
- Bhaumik, M.; Leswifi, T.Y.; Maity, A.; Srinivasu, V.V.; Onyango, M.S. Removal of fluoride from aqueous solution by polypyrrole/Fe3O4 magnetic nanocomposite. J. Hazard. Mater. 2011, 186, 150–159. [Google Scholar] [CrossRef] [PubMed]
- Tripathi, K.M.; Castro, M.; Feller, J.-F.; Sonkar, S.K. Characterization of metal, semiconductor, and metal-semiconductor core–shell nanostructures. In Metal Semiconductor Core–Shell Nanostructures for Energy and Environmental Applications; Micro Nano Technologies; Elsevier: Amsterdam, The Netherlands, 2017; pp. 51–77. [Google Scholar]
- Viltužnik, B.; Košak, A.; Zub, Y.L.; Lobnik, A. Removal of Pb(II) ions from aqueous systems using thiol-functionalized cobalt-ferrite magnetic nanoparticles. J. Sol-Gel. Sci. Technol. 2013, 68, 365–373. [Google Scholar]
- Cheah, K.; Forsyth, M.; Truong, V.T. Ordering and stability in conducting polypyrrole. Synth. Met. 1998, 94, 215–219. [Google Scholar] [CrossRef]
- Karthik, R.; Meenakshi, S. Synthesis, characterization and Cr(VI) uptake study of polyaniline coated chitin. Int. J. Biol. Macromol. 2015, 72, 235–242. [Google Scholar] [CrossRef]
- Dong, S.; Dou, X.; Mohan, D.; Pittman, C.U., Jr.; Luo, J. Synthesis of graphene oxide/schwertmannite nanocomposites and their application in Sb(V) adsorption from water. Chem. Eng. J. 2015, 270, 205–214. [Google Scholar] [CrossRef]
- Zhang, Y.; Xu, Q.; Zhang, S.; Liu, J.; Zhou, J.; Xu, H.; Xiao, H.; Li, J. Preparation of thiol-modified Fe3O4@SiO2 nanoparticles and their application for gold recovery from dilute solution. Sep. Purif. Technol. 2013, 116, 391–397. [Google Scholar] [CrossRef]
- Sauceda, I.S.; Munive, G.T.; Castro, T.D.C.; Vega, M.A.; Castillo, L.S.Q. Selective adsorption of metallic complex using polyaniline or polypyrrole. Mater. Chem. Phys. 2016, 182, 39–48. [Google Scholar] [CrossRef]
- Amalraj, A.; Selvi, M.K.; Rajeswari, A.; Christy, E.J.S.; Pius, A. Efficient removal of toxic hexavalent chromium from aqueous solution using threonine doped polypyrrole nanocomposite. J. Water Process Eng. 2016, 13, 88–99. [Google Scholar] [CrossRef]
- Bai, L.; Li, Z.; Zhang, Y.; Wang, T.; Lu, R.; Zhou, W.; Gao, H.; Zhang, S. Synthesis of water-dispersible graphene-modified magnetic polypyrrole nanocomposite and its ability to efficiently adsorb methylene blue from aqueous solution. Chem. Eng. J. 2015, 279, 757–766. [Google Scholar] [CrossRef]
- Tripathi, K.M.; Tuan Sang, T.; Kim, Y.J.; Kim, T. Green Fluorescent Onion-Like Carbon Nanoparticles from Flaxseed Oil for Visible Light Induced Photocatalytic Applications and Label Free Detection of AI(III) Ions. ACS Sustain. Chem. Eng. 2017, 5, 3982–3992. [Google Scholar] [CrossRef]
- Lim, C.W.; Song, K.; Kim, S.H. Synthesis of PPy/silica nanocomposites with cratered surfaces and their application in heavy metal extraction. J. Ind. Eng. Chem. 2012, 18, 24–28. [Google Scholar] [CrossRef]
- Larraza, I.; López-Gónzalez, M.; Corrales, T.; Marcelo, G. Hybrid materials: Magnetite–Polyethylenimine–Montmorillonite, as magnetic adsorbents for Cr(VI) water treatment. J. Colloid Interface Sci. 2012, 385, 24–33. [Google Scholar] [CrossRef] [PubMed]
- Harijan, D.K.L.; Chandra, V.; Yoon, T.; Kim, K.S. Radioactive iodine capture and storage from water using magnetite nanoparticles encapsulated in polypyrrole. J. Hazard. Mater. 2018, 344, 576–584. [Google Scholar] [CrossRef] [PubMed]
- Yang, Y.; Chen, N.; Feng, C.; Li, M.; Gao, Y. Chromium removal using a magnetic corncob biochar/polypyrrole composite by adsorption combined with reduction: Reaction pathway and contribution degree. Colloid Surf. A 2018, 556, 201–209. [Google Scholar] [CrossRef]
- Zhou, J.; Lü, Q.-F.; Luo, J.-J. Efficient removal of organic dyes from aqueous solution by rapid adsorption onto polypyrrole–based composites. J. Clean. Prod. 2017, 167, 739–748. [Google Scholar] [CrossRef]
- Abdi, S.; Nasiri, M.; Mesbahi, A.; Khani, M.H. Investigation of uranium (VI) adsorption by polypyrrole. J. Hazard. Mater. 2017, 332, 132–139. [Google Scholar] [CrossRef]
- Ren, Y.; Abbood, H.A.; He, F.; Peng, H.; Huang, K. Magnetic EDTA-modified chitosan/SiO2/Fe3O4 adsorbent: Preparation, characterization, and application in heavy metal adsorption. Chem. Eng. J. 2013, 226, 300–311. [Google Scholar] [CrossRef]
- López-Muñoz, M.-J.; Arencibia, A.; Cerro, L.; Pascual, R.; Melgar, Á. Adsorption of Hg(II) from aqueous solutions using TiO2 and titanate nanotube adsorbents. Appl. Surf. Sci. 2016, 367, 91–100. [Google Scholar] [CrossRef]
- Arias Arias, F.E.; Beneduci, A.; Chidichimo, F.; Furia, E.; Straface, S. Study of the adsorption of mercury (II) on lignocellulosic materials under static and dynamic conditions. Chemosphere 2017, 180, 11–23. [Google Scholar] [CrossRef] [PubMed]
- Azari, A.; Gharibi, H.; Kakavandi, B.; Ghanizadeh, G.; Javid, A.; Mahvi, A.H.; Sharafi, K.; Khosravia, T. Magnetic adsorption separation process: An alternative method of mercury extracting from aqueous solution using modified chitosan coated Fe3O4 nanocomposites. J. Chem. Technol. Biotechnol. 2017, 92, 188–200. [Google Scholar] [CrossRef]
- Zhang, Y.; Yan, T.; Yan, L.; Guo, X.; Cui, L.; Wei, Q.; Du, B. Preparation of novel cobalt ferrite/chitosan grafted with graphene composite as effective adsorbents for mercury ions. J. Mol. Liq. 2014, 198, 381–387. [Google Scholar] [CrossRef]
- Alomar, M.K.; Alsaadi, M.A.; Hayyan, M.; Akib, S.; Ibrahim, M.; Hashim, M.A. Allyl triphenyl phosphonium bromide based DES-functionalized carbon nanotubes for the removal of mercury from water. Chemosphere 2017, 167, 44–52. [Google Scholar] [CrossRef] [PubMed]
- Hanif, Z.; Lee, S.; Qasim, G.H.; Ardiningsih, I.; Kim, J.A.; Seon, J.; Han, S.; Hong, S.; Yoon, M.H. Polypyrrole multilayer-laminated cellulose for large-scale repeatable mercury ion removal. J. Mater. Chem. A 2016, 4, 12425–12433. [Google Scholar] [CrossRef]
- Wang, X.; Lv, P.; Zou, H.; Li, Y.; Li, X.; Liao, Y. Synthesis of Poly(2-aminothiazole) for Selective Removal of Hg(II) in Aqueous Solutions. Ind. Eng. Chem. Res. 2016, 55, 4911–4918. [Google Scholar] [CrossRef]
- Shen, Y.; Jiang, N.; Liu, S.; Zheng, C.; Wang, X.; Huang, T.; Guo, Y.; Bai, R. Thiol functionalization of short channel SBA-15 through a safe, mild and facile method and application for the removal of mercury (II). J. Environ. Chem. Eng. 2018, 6, 5420–5433. [Google Scholar] [CrossRef]
- Tran, L.; Wu, P.; Zhu, Y.; Yang, L.; Zhu, N. Highly enhanced adsorption for the removal of Hg(II) from aqueous solution by Mercaptoethylamine/Mercaptopropyltrimethoxysilane functionalized vermiculites. J. Colloid Interface Sci. 2015, 445, 348–356. [Google Scholar] [CrossRef] [PubMed]
- Sun, Y.; Lv, D.; Zhou, J.; Zhou, X.; Lou, Z.; Baig, S.A.; Xu, X. Adsorption of mercury (II) from aqueous solutions using FeS and pyrite: A comparative study. Chemosphere 2017, 185, 452–461. [Google Scholar] [CrossRef] [PubMed]
- Ghorbani, M.; Eisazadeh, H. Removal of COD, color, anions and heavy metals from cotton textile wastewater by using polyaniline and polypyrrole nanocomposites coated on rice husk ash. Compos. Part B Eng. 2013, 45, 1–7. [Google Scholar] [CrossRef]
- Pan, S.; Zhang, Y.; Shen, H.; Hu, M. An intensive study on the magnetic effect of mercapto-functionalized nano-magnetic Fe3O4 polymers and their adsorption mechanism for the removal of Hg(II) from aqueous solution. Chem. Eng. J. 2012, 210, 564–574. [Google Scholar] [CrossRef]





















| Samples | BET (m2/g) | Total Pore Volume (cm3/g) | Pore Diameter (nm) |
|---|---|---|---|
| CoFe2O4 | 48.49 | 0.424 | 3.413 |
| CoFe2O4@SiO2 | 225.36 | 0.552 | 3.062 |
| CoFe2O4@SiO2-Ppy | 218.56 | 0.888 | 3.106 |
| Pseudo-First-Order | Pseudo-Second-Order | |||||||||||||
| qe,exp (mg/g) | qe,cal (mg/g) | k1 (1/min) | R2 | qe,cal (mg/g) | k2 (g/(mg·min)) | R2 | ||||||||
| 420.8 | 277.2 | 0.0054 | 0.970 | 434.8 | 0.00008 | 0.993 | ||||||||
| Intraparticle Diffusion | ||||||||||||||
| kd1 (mg/(g·min0.5)) | C1 (mg/g) | R12 | kd2 (mg/(g·min0.5)) | C2 (mg/g) | R22 | kd3 (mg/(g·min0.5)) | C3 (mg/g) | R32 | ||||||
| 23.46 | 94.26 | 0.933 | 13.17 | 141.74 | 0.975 | 0.49 | 410.18 | 0.949 | ||||||
| T (K) | Langmuir Isotherm | Freundlich Isotherm | |||||
|---|---|---|---|---|---|---|---|
| Qm (mg/g) | KL (L/mg) | R2 | RL | 1/n | KF (mg1−n Ln/g) | R2 | |
| 298 | 680.2 | 0.088 | 0.999 | 0.102 | 0.349 | 143.0 | 0.927 |
| 308 | 769.2 | 0.084 | 0.999 | 0.106 | 0.338 | 167.9 | 0.973 |
| 318 | 833.3 | 0.077 | 0.997 | 0.114 | 0.336 | 159.9 | 0.952 |
| Adsorbent | pH | Fitting Models | Qm (mg/g) | Ref. |
|---|---|---|---|---|
| Titanate nanotube adsorbents | 10 | Sips | 140 | [41] |
| Lignocellulosic | 5 | Langmuir | 28 | [42] |
| Modified magnetic chitosan | 5 | Langmuir | 96 | [43] |
| NH2-CoFe2O4-chitosan-graphene | 7 | Langmuir | 361 | [44] |
| functionalized Carbon nanotubes | 5.5 | Freundlich | 186.97 | [45] |
| Polypyrrole multilayer cellulose | 6 | Langmuir | 31.68 | [46] |
| Poly (2-aminothiazole) | 6.5 | Langmuir | 325.7 | [47] |
| CoFe2O4@SiO2-NH2 | 7 | Langmuir | 149.3 | [10] |
| Short channel SBA-15-SH | 8 | Freundlich | 195.6 | [48] |
| CoFe2O4@SiO2-Ppy | 8 | Langmuir | 680.2 | This work |
| C0 | ΔH0 | ΔS0 | ΔG0 | ||
|---|---|---|---|---|---|
| 298 K | 308 K | 318 K | |||
| 30 | 0.036 | 192.763 | −21.346 | −23.480 | −25.422 |
| 40 | 0.035 | 184.635 | −20.890 | −22.457 | −24.594 |
| 50 | 0.034 | 183.725 | −20.235 | −21.392 | −23.941 |
© 2019 by the authors. Licensee MDPI, Basel, Switzerland. This article is an open access article distributed under the terms and conditions of the Creative Commons Attribution (CC BY) license (http://creativecommons.org/licenses/by/4.0/).
Share and Cite
Zhao, Y.; Xia, K.; Zhang, Z.; Zhu, Z.; Guo, Y.; Qu, Z. Facile Synthesis of Polypyrrole-Functionalized CoFe2O4@SiO2 for Removal for Hg(II). Nanomaterials 2019, 9, 455. https://doi.org/10.3390/nano9030455
Zhao Y, Xia K, Zhang Z, Zhu Z, Guo Y, Qu Z. Facile Synthesis of Polypyrrole-Functionalized CoFe2O4@SiO2 for Removal for Hg(II). Nanomaterials. 2019; 9(3):455. https://doi.org/10.3390/nano9030455
Chicago/Turabian StyleZhao, Yuhao, Kai Xia, Zhenzong Zhang, Ziming Zhu, Yongfu Guo, and Zan Qu. 2019. "Facile Synthesis of Polypyrrole-Functionalized CoFe2O4@SiO2 for Removal for Hg(II)" Nanomaterials 9, no. 3: 455. https://doi.org/10.3390/nano9030455
APA StyleZhao, Y., Xia, K., Zhang, Z., Zhu, Z., Guo, Y., & Qu, Z. (2019). Facile Synthesis of Polypyrrole-Functionalized CoFe2O4@SiO2 for Removal for Hg(II). Nanomaterials, 9(3), 455. https://doi.org/10.3390/nano9030455

