Enhancing Third- and Fifth-Order Nonlinearity via Tunneling in Multiple Quantum Dots
Abstract
1. Introduction
2. Models and Equations
3. Results and Discussion
3.1. Tunneling Induced Transparency of MQDs
3.2. Dressed States of MQDs
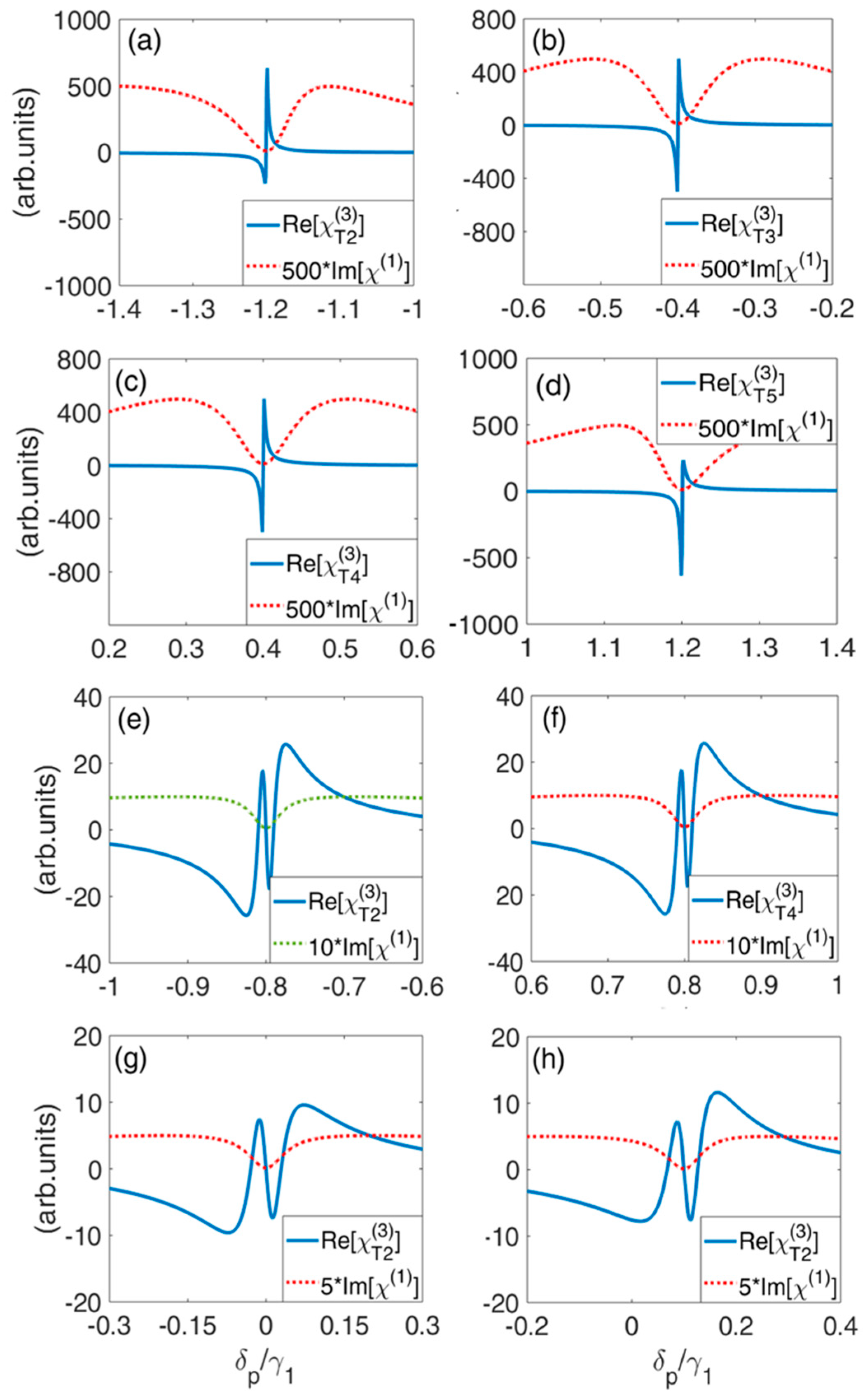
3.3. Self-Kerr and Fifth-Order Nonlinearity of MQDs
3.4. Cross-Kerr Nonlinearity of MQDs
4. Conclusions
Author Contributions
Funding
Conflicts of Interest
Appendix A
References
- Karabulut, İ.; Baskoutas, S. Linear and nonlinear optical absorption coefficients and refractive index changes in spherical quantum dots: Effects of impurities, electric field, size, and optical intensity. J. Appl. Phys. 2008, 103, 073512. [Google Scholar] [CrossRef]
- Englund, D.; Faraon, A.; Fushman, I.; Stoltz, N.; Petroff, P.; Vučković, J. Controlling cavity reflectivity with a single quantum dot. Nature 2007, 450, 857. [Google Scholar] [CrossRef] [PubMed]
- Nair, S.V.; Takagahara, T. Theory of exciton pair states and their nonlinear optical properties in semiconductor quantum dots. Phys. Rev. B 1997, 55, 5153–5170. [Google Scholar] [CrossRef]
- Petruska, M.A.; Malko, A.V.; Voyles, P.M.; Klimov, V.I. High-Performance, Quantum Dot Nanocomposites for Nonlinear Optical and Optical Gain Applications. Adv. Mater. 2003, 15, 610–613. [Google Scholar] [CrossRef]
- Vagov, A.; Axt, V.M.; Kuhn, T. Impact of pure dephasing on the nonlinear optical response of single quantum dots and dot ensembles. Phys. Rev. B 2003, 67, 115338. [Google Scholar] [CrossRef]
- Auffèves-Garnier, A.; Simon, C.; Gérard, J.-M.; Poizat, J.-P. Giant optical nonlinearity induced by a single two-level system interacting with a cavity in the Purcell regime. Phys. Rev. A 2007, 75, 053823. [Google Scholar] [CrossRef]
- Srinivasan, K.; Painter, O. Linear and nonlinear optical spectroscopy of a strongly coupled microdisk-quantum dot system. Nature 2007, 450, 862–2865. [Google Scholar] [CrossRef]
- Tohari, M.M.; Lyras, A.; AlSalhi, M.S. Giant Self-Kerr Nonlinearity in the Metal Nanoparticles-Graphene Nanodisks-Quantum Dots Hybrid Systems Under Low-Intensity Light Irradiance. Nanomaterials 2018, 8, 521. [Google Scholar] [CrossRef]
- Baira, M.; Salem, B.; Madhar, N.A.; Ilahi, B. Linear and Nonlinear Intersubband Optical Properties of Direct Band Gap GeSn Quantum Dots. Nanomaterials 2019, 9, 124. [Google Scholar] [CrossRef]
- Guenther, T.; Lienau, C.; Elsaesser, T.; Glanemann, M.; Axt, V.M.; Kuhn, T.; Eshlaghi, S.; Wieck, A.D. Coherent Nonlinear Optical Response of Single Quantum Dots Studied by Ultrafast Near-Field Spectroscopy. Phys. Rev. Lett. 2002, 89, 057401. [Google Scholar] [CrossRef]
- Chen, G.; Bonadeo, N.H.; Steel, D.G.; Gammon, D.; Katzer, D.S.; Park, D.; Sham, L.J. Optically Induced Entanglement of Excitons in a Single Quantum Dot. Science 2000, 289, 1906. [Google Scholar] [CrossRef] [PubMed]
- Fushman, I.; Englund, D.; Faraon, A.; Stoltz, N.; Petroff, P.; Vučković, J. Controlled Phase Shifts with a Single Quantum Dot. Science 2008, 320, 769. [Google Scholar] [CrossRef] [PubMed]
- Sugawara, M.; Ebe, H.; Hatori, N.; Ishida, M.; Arakawa, Y.; Akiyama, T.; Otsubo, K.; Nakata, Y. Theory of optical signal amplification and processing by quantum-dot semiconductor optical amplifiers. Phys. Rev. B 2004, 69, 235332. [Google Scholar] [CrossRef]
- Akiyama, T.; Wada, O.; Kuwatsuka, H.; Simoyama, T.; Nakata, Y.; Mukai, K.; Sugawara, M.; Ishikawa, H. Nonlinear processes responsible for nondegenerate four-wave mixing in quantum-dot optical amplifiers. Appl. Phys. Lett. 2000, 77, 1753–1755. [Google Scholar] [CrossRef]
- Loo, V.; Arnold, C.; Gazzano, O.; Lemaître, A.; Sagnes, I.; Krebs, O.; Voisin, P.; Senellart, P.; Lanco, L. Optical Nonlinearity for Few-Photon Pulses on a Quantum Dot-Pillar Cavity Device. Phys. Rev. Lett. 2012, 109, 166806. [Google Scholar] [CrossRef]
- Harris, S.E. Electromagnetically induced transparency. Phys. Today 1997, 50, 36–42. [Google Scholar] [CrossRef]
- Marangos, J.P. Topical review electromagnetically induced transparency. J. Mod. Opt. 1998, 45, 471–503. [Google Scholar] [CrossRef]
- Fleischhauer, M.; Imamoglu, A.; Marangos, J.P. Electromagnetically induced transparency: Optics in coherent media. Rev. Mod. Phys. 2005, 77, 633–673. [Google Scholar] [CrossRef]
- Schmidt, H.; Imamoglu, A. Giant Kerr nonlinearities obtained by electromagnetically induced transparency. Opt. Lett. 1996, 21, 1936–1938. [Google Scholar] [CrossRef]
- Kang, H.; Zhu, Y. Observation of Large Kerr Nonlinearity at Low Light Intensities. Phys. Rev. Lett. 2003, 91, 093601. [Google Scholar] [CrossRef]
- Matsko, A.B.; Novikova, I.; Welch, G.R.; Zubairy, M.S. Enhancement of Kerr nonlinearity by multiphoton coherence. Opt. Lett. 2003, 28, 96–98. [Google Scholar] [CrossRef] [PubMed]
- Niu, Y.; Gong, S.; Li, R.; Xu, Z.; Liang, X. Giant Kerr nonlinearity induced by interacting dark resonances. Opt. Lett. 2005, 30, 3371–3373. [Google Scholar] [CrossRef] [PubMed]
- Hui, S.; Yueping, N.; Shiqi, J.; Shangqing, G. Phase control of the Kerr nonlinearity in electromagnetically induced transparency media. J. Phys. B At. Mol. Opt. Phys. 2008, 41, 065504. [Google Scholar] [CrossRef]
- Li, S.; Yang, X.; Cao, X.; Zhang, C.; Xie, C.; Wang, H. Enhanced Cross-Phase Modulation Based on a Double Electromagnetically Induced Transparency in a Four-Level Tripod Atomic System. Phys. Rev. Lett. 2008, 101, 073602. [Google Scholar] [CrossRef] [PubMed]
- Bai, Y.; Yang, W.; Yu, X. Controllable Kerr nonlinearity with vanishing absorption in a four-level inverted-Y atomic system. Opt. Commun. 2010, 283, 5062–5066. [Google Scholar] [CrossRef]
- Liang, H.; Niu, Y.; Deng, L.; Gong, S. Enhancement of Kerr nonlinearity completely without absorption. Phys. Lett. A 2017, 381, 3978–3982. [Google Scholar] [CrossRef]
- Alotaibi, H.M.M.; Sanders, B.C. Enhanced nonlinear susceptibility via double-double electromagnetically induced transparency. Phys. Rev. A 2016, 94, 053832. [Google Scholar] [CrossRef]
- Hemmer, P.R.; Katz, D.P.; Donoghue, J.; Shahriar, M.S.; Kumar, P.; Cronin-Golomb, M. Efficient low-intensity optical phase conjugation based on coherentpopulation trapping in sodium. Opt. Lett. 1995, 20, 982–984. [Google Scholar] [CrossRef] [PubMed]
- Imamoglu, A.; Schmidt, H.; Woods, G.; Deutsch, M. Strongly Interacting Photons in a Nonlinear Cavity. Phys. Rev. Lett. 1997, 79, 1467–1470. [Google Scholar] [CrossRef]
- Harris, S.E.; Hau, L.V. Nonlinear Optics at Low Light Levels. Phys. Rev. Lett. 1999, 82, 4611–4614. [Google Scholar] [CrossRef]
- Kaufman, L.J.; Heo, J.; Ziegler, L.D.; Fleming, G.R. Heterodyne-Detected Fifth-Order Nonresonant Raman Scattering from Room Temperature CS2. Phys. Rev. Lett. 2002, 88, 207402. [Google Scholar] [CrossRef]
- Saito, S.; Ohmine, I. Off-Resonant Fifth-Order Response Function for Two-Dimensional Raman Spectroscopy of Liquids CS2 and H2O. Phys. Rev. Lett. 2002, 88, 207401. [Google Scholar] [CrossRef]
- Dolgaleva, K.; Shin, H.; Boyd, R.W. Observation of a Microscopic Cascaded Contribution to the Fifth-Order Nonlinear Susceptibility. Phys. Rev. Lett. 2009, 103, 113902. [Google Scholar] [CrossRef]
- Zhang, Y.; Khadka, U.; Anderson, B.; Xiao, M. Temporal and Spatial Interference between Four-Wave Mixing and Six-Wave Mixing Channels. Phys. Rev. Lett. 2009, 102, 013601. [Google Scholar] [CrossRef]
- Falcão-Filho, E.L.; de Araújo, C.B.; Boudebs, G.; Leblond, H.; Skarka, V. Robust Two-Dimensional Spatial Solitons in Liquid Carbon Disulfide. Phys. Rev. Lett. 2013, 110, 013901. [Google Scholar] [CrossRef]
- Peng, Y.; Yang, A.; Chen, B.; Xu, Y.; Hu, X. Tunneling-induced large fifth-order nonlinearity with competing linear and nonlinear susceptibilities. J. Opt. Soc. Am. B 2014, 31, 2188–2192. [Google Scholar] [CrossRef]
- Bai, Z.; Huang, G. Enhanced third-order and fifth-order Kerr nonlinearities in a cold atomic system via Rydberg-Rydberg interaction. Opt. Express 2016, 24, 4442–4461. [Google Scholar] [CrossRef]
- Li, P.; Gu, Y.; Wang, L.; Gong, Q. Fifth-order nonlinearity and 3-qubit phase gate in a five-level tripod atomic system. J. Opt. Soc. Am. B 2008, 25, 504–512. [Google Scholar] [CrossRef]
- Wu, Z.; Zhang, Y.; Yuan, C.; Wen, F.; Zheng, H.; Zhang, Y.; Xiao, M. Cubic-quintic condensate solitons in four-wave mixing. Phys. Rev. A 2013, 88, 063828. [Google Scholar] [CrossRef]
- Joel, A.G.; Daniel, J.G. High-order optical nonlinearity at low light levels. EPL (Europhys. Lett.) 2012, 98, 24001. [Google Scholar] [CrossRef]
- Paredes, Á.; Feijoo, D.; Michinel, H. Coherent Cavitation in the Liquid of Light. Phys. Rev. Lett. 2014, 112, 173901. [Google Scholar] [CrossRef]
- Xie, Q.; Madhukar, A.; Chen, P.; Kobayashi, N.P. Vertically Self-Organized InAs Quantum Box Islands on GaAs(100). Phys. Rev. Lett. 1995, 75, 2542–2545. [Google Scholar] [CrossRef]
- Songmuang, R.; Kiravittaya, S.; Schmidt, O.G. Formation of lateral quantum dot molecules around self-assembled nanoholes. Appl. Phys. Lett. 2003, 82, 2892–2894. [Google Scholar] [CrossRef]
- Lee, J.H.; Wang, Z.M.; Strom, N.W.; Mazur, Y.I.; Salamo, G.J. InGaAs quantum dot molecules around self-assembled GaAs nanomound templates. Appl. Phys. Lett. 2006, 89, 202101. [Google Scholar] [CrossRef]
- Chang-Yu, H.; Yun-Pil, S.; Marek, K.; Pawel, H. Physics of lateral triple quantum-dot molecules with controlled electron numbers. Rep. Prog. Phys. 2012, 75, 114501. [Google Scholar] [CrossRef]
- Beirne, G.J.; Hermannstädter, C.; Wang, L.; Rastelli, A.; Schmidt, O.G.; Michler, P. Quantum Light Emission of Two Lateral Tunnel-Coupled (In,Ga)As/Ga Quantum Dots Controlled by a Tunable Static Electric Field. Phys. Rev. Lett. 2006, 96, 137401. [Google Scholar] [CrossRef]
- Hayne, M.; Provoost, R.; Zundel, M.K.; Manz, Y.M.; Eberl, K.; Moshchalkov, V.V. Electron and hole confinement in stacked self-assembled InP quantum dots. Phys. Rev. B 2000, 62, 10324–10328. [Google Scholar] [CrossRef]
- Popescu, V.; Bester, G.; Hanna, M.C.; Norman, A.G.; Zunger, A. Theoretical and experimental examination of the intermediate-band concept for strain-balanced (In,Ga)As/Ga(As,P) quantum dot solar cells. Phys. Rev. B 2008, 78, 205321. [Google Scholar] [CrossRef]
- Bayer, M.; Hawrylak, P.; Hinzer, K.; Fafard, S.; Korkusinski, M.; Wasilewski, Z.R.; Stern, O.; Forchel, A. Coupling and Entangling of Quantum States in Quantum Dot Molecules. Science 2001, 291, 451–453. [Google Scholar] [CrossRef]
- Paspalakis, E. Localizing two interacting electrons in a driven quantum dot molecule. Phys. Rev. B 2003, 67, 233306. [Google Scholar] [CrossRef]
- Villas-Bôas, J.M.; Govorov, A.O.; Ulloa, S.E. Coherent control of tunneling in a quantum dot molecule. Phys. Rev. B 2004, 69, 125342. [Google Scholar] [CrossRef]
- Borges, H.S.; Sanz, L.; Villas-Bôas, J.M.; Diniz Neto, O.O.; Alcalde, A.M. Tunneling induced transparency and slow light in quantum dot molecules. Phys. Rev. B 2012, 85, 115425. [Google Scholar] [CrossRef]
- Sköld, N.; Boyer de la Giroday, A.; Bennett, A.J.; Farrer, I.; Ritchie, D.A.; Shields, A.J. Electrical Control of the Exciton Fine Structure of a Quantum Dot Molecule. Phys. Rev. Lett. 2013, 110, 016804. [Google Scholar] [CrossRef]
- Weiss, K.M.; Elzerman, J.M.; Delley, Y.L.; Miguel-Sanchez, J.; Imamoğlu, A. Coherent Two-Electron Spin Qubits in an Optically Active Pair of Coupled InGaAs Quantum Dots. Phys. Rev. Lett. 2012, 109, 107401. [Google Scholar] [CrossRef]
- Müller, K.; Bechtold, A.; Ruppert, C.; Zecherle, M.; Reithmaier, G.; Bichler, M.; Krenner, H.J.; Abstreiter, G.; Holleitner, A.W.; Villas-Boas, J.M.; et al. Electrical Control of Interdot Electron Tunneling in a Double InGaAs Quantum-Dot Nanostructure. Phys. Rev. Lett. 2012, 108, 197402. [Google Scholar] [CrossRef]
- Boyer de la Giroday, A.; Sköld, N.; Stevenson, R.M.; Farrer, I.; Ritchie, D.A.; Shields, A.J. Exciton-Spin Memory with a Semiconductor Quantum Dot Molecule. Phys. Rev. Lett. 2011, 106, 216802. [Google Scholar] [CrossRef]
- Kim, D.; Carter, S.G.; Greilich, A.; Bracker, A.S.; Gammon, D. Ultrafast optical control of entanglement between two quantum-dot spins. Nat. Phys. 2011, 7, 223–229. [Google Scholar] [CrossRef]
- Krenner, H.J.; Sabathil, M.; Clark, E.C.; Kress, A.; Schuh, D.; Bichler, M.; Abstreiter, G.; Finley, J.J. Direct observation of controlled coupling in an individual quantum dot molecule. Phys. Rev. Lett. 2005, 94. [Google Scholar] [CrossRef]
- Unold, T.; Mueller, K.; Lienau, C.; Elsaesser, T.; Wieck, A.D. Optical Control of Excitons in a Pair of Quantum Dots Coupled by the Dipole-Dipole Interaction. Phys. Rev. Lett. 2005, 94, 137404. [Google Scholar] [CrossRef]
- Stinaff, E.A.; Scheibner, M.; Bracker, A.S.; Ponomarev, I.V.; Korenev, V.L.; Ware, M.E.; Doty, M.F.; Reinecke, T.L.; Gammon, D. Optical Signatures of Coupled Quantum Dots. Science 2006, 311, 636–639. [Google Scholar] [CrossRef]
- Tian, S.-C.; Wan, R.-G.; Tong, C.-Z.; Ning, Y.-Q. Controlling optical bistability via interacting double dark resonances in linear quantum dot molecules. J. Opt. Soc. Am. B 2014, 31, 2681–2688. [Google Scholar] [CrossRef]
- Tian, S.-C.; Wan, R.-G.; Tong, C.-Z.; Ning, Y.-Q.; Qin, L.; Liu, Y. Giant Kerr nonlinearity induced by tunneling in triple quantum dot molecules. J. Opt. Soc. Am. B 2014, 31, 1436–1442. [Google Scholar] [CrossRef]
- Tian, S.-C.; Wan, R.-G.; Tong, C.-Z.; Ning, Y.-Q. Giant fifth-order nonlinearity via tunneling induced quantum interference in triple quantum dots. AIP Adv. 2015, 5, 027111. [Google Scholar] [CrossRef]
- Tian, S.-C.; Xing, E.-B.; Wan, R.-G.; Wang, C.-L.; Wang, L.-J.; Shu, S.-L.; Tong, C.-Z.; Wang, L.-J. Control of coherence transfer via tunneling in quadruple and multiple quantum dots. Laser Phys. Lett. 2016, 13. [Google Scholar] [CrossRef]
- Tian, S.-C.; Wan, R.-G.; Wang, L.-J.; Shu, S.-L.; Tong, C.-Z.; Wang, L.-J. Tunneling-assisted coherent population transfer and creation of coherent superposition states in triple quantum dots. Laser Phys. Lett. 2016, 13. [Google Scholar] [CrossRef]
- Tackeuchi, A.; Kuroda, T.; Mase, K.; Nakata, Y.; Yokoyama, N. Dynamics of carrier tunneling between vertically aligned double quantum dots. Phys. Rev. B 2000, 62, 1568–1571. [Google Scholar] [CrossRef]
- Emary, C.; Sham, L.J. Optically controlled logic gates for two spin qubits in vertically coupled quantum dots. Phys. Rev. B 2007, 75, 125317. [Google Scholar] [CrossRef]






© 2019 by the authors. Licensee MDPI, Basel, Switzerland. This article is an open access article distributed under the terms and conditions of the Creative Commons Attribution (CC BY) license (http://creativecommons.org/licenses/by/4.0/).
Share and Cite
Tian, S.-C.; Lu, H.-Y.; Zhang, H.; Wang, L.-J.; Shu, S.-L.; Zhang, X.; Hou, G.-Y.; Wang, Z.-Y.; Tong, C.-Z.; Wang, L.-J. Enhancing Third- and Fifth-Order Nonlinearity via Tunneling in Multiple Quantum Dots. Nanomaterials 2019, 9, 423. https://doi.org/10.3390/nano9030423
Tian S-C, Lu H-Y, Zhang H, Wang L-J, Shu S-L, Zhang X, Hou G-Y, Wang Z-Y, Tong C-Z, Wang L-J. Enhancing Third- and Fifth-Order Nonlinearity via Tunneling in Multiple Quantum Dots. Nanomaterials. 2019; 9(3):423. https://doi.org/10.3390/nano9030423
Chicago/Turabian StyleTian, Si-Cong, Huan-Yu Lu, Hang Zhang, Li-Jie Wang, Shi-Li Shu, Xin Zhang, Guan-Yu Hou, Zi-Ye Wang, Cun-Zhu Tong, and Li-Jun Wang. 2019. "Enhancing Third- and Fifth-Order Nonlinearity via Tunneling in Multiple Quantum Dots" Nanomaterials 9, no. 3: 423. https://doi.org/10.3390/nano9030423
APA StyleTian, S.-C., Lu, H.-Y., Zhang, H., Wang, L.-J., Shu, S.-L., Zhang, X., Hou, G.-Y., Wang, Z.-Y., Tong, C.-Z., & Wang, L.-J. (2019). Enhancing Third- and Fifth-Order Nonlinearity via Tunneling in Multiple Quantum Dots. Nanomaterials, 9(3), 423. https://doi.org/10.3390/nano9030423

