A Novel Design Strategy for Suppressing Efficiency Roll-Off of Blue Thermally Activated Delayed Fluorescence Molecules through Donor–Acceptor Interlocking by C–C Bonds
Abstract
1. Introduction
2. Materials and Methods
2.1. General Information
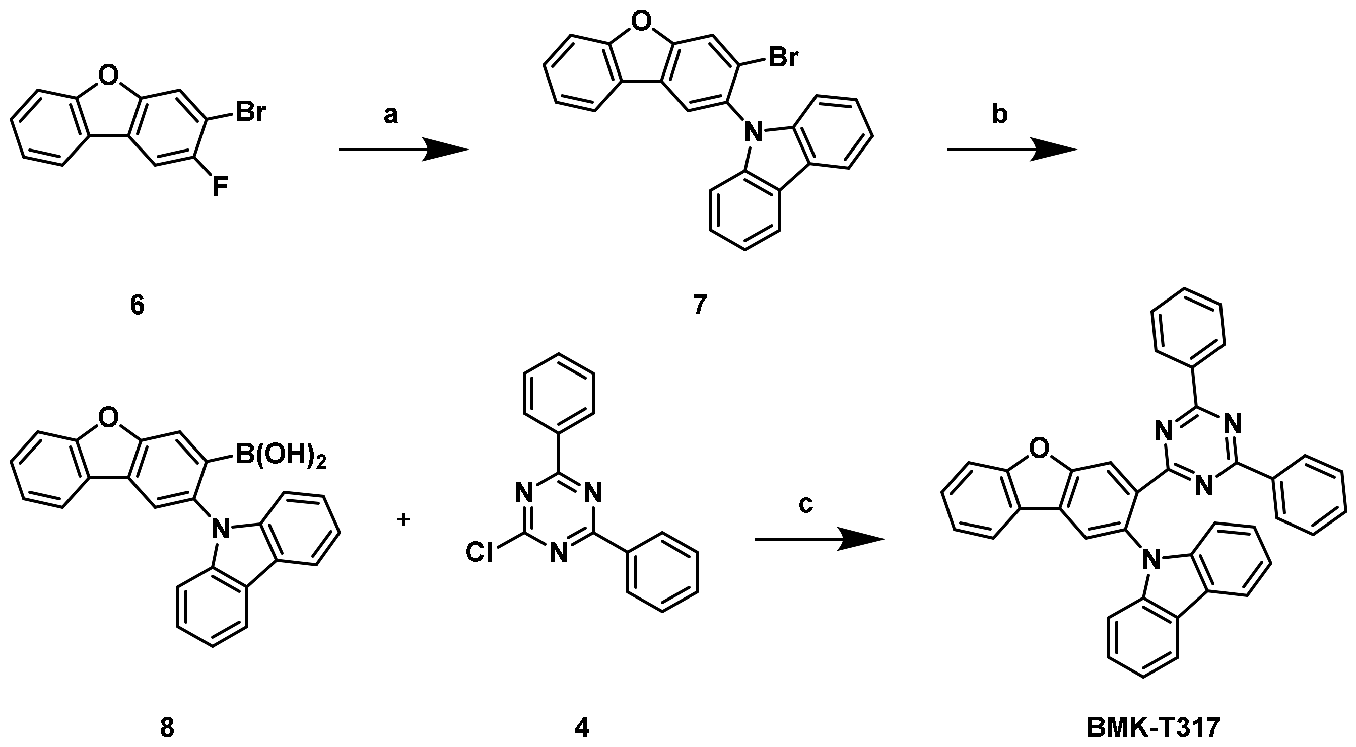
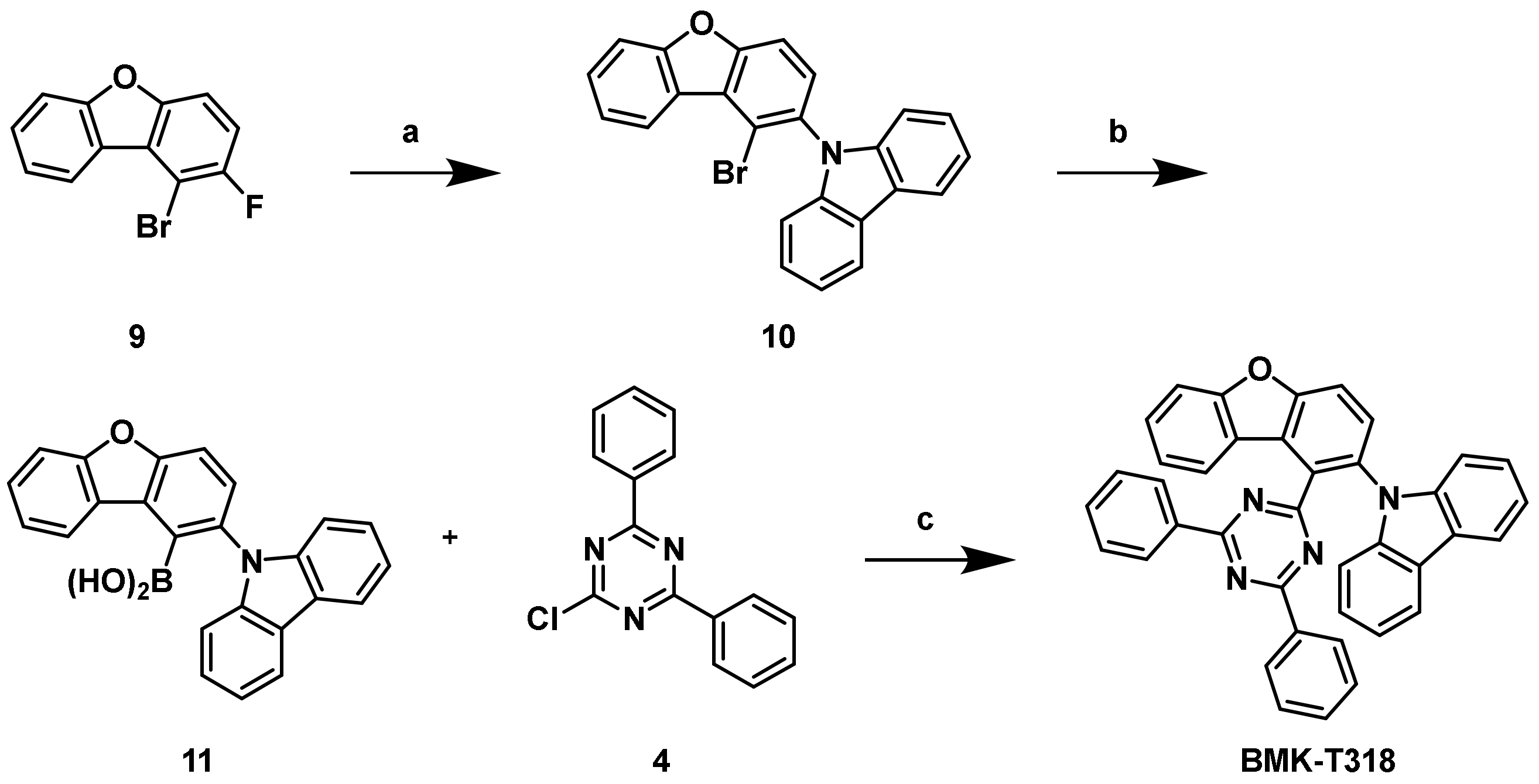
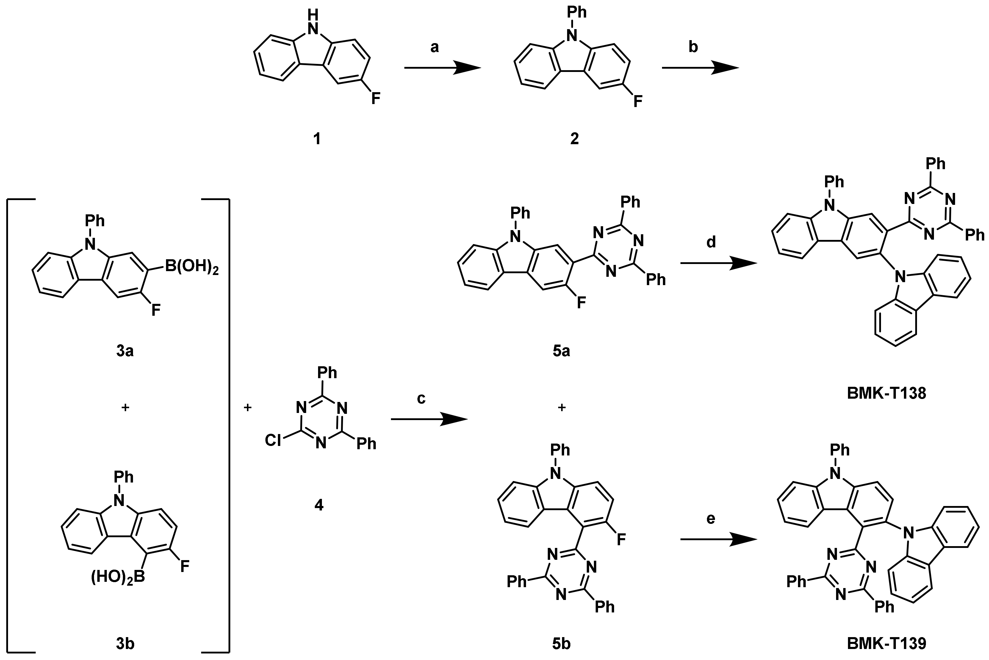
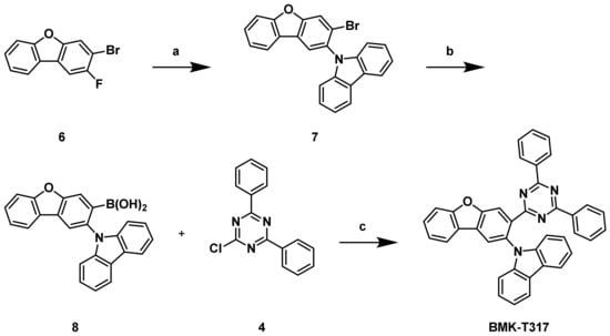
2.2. Synthesis
2.3. Device Fabrication and Measurement
3. Results and Discussion
3.1. Synthesis
3.2. Calculation
3.3. Photophysical Properties
3.4. Device Performances
4. Conclusions
Supplementary Materials
Author Contributions
Funding
Acknowledgments
Conflicts of Interest
References
- Kido, J.; Kimura, M.; Nagai, K. Multilayer white light-emitting organic electroluminescent device. Science 1995, 27, 1332–1334. [Google Scholar] [CrossRef] [PubMed]
- Sun, Y.; Giebink, N.C.; Kanno, H.; Ma, B.; Thompson, M.E.; Forrest, S.R. Management of singlet and triplet excitons for efficient white organic light-emitting devices. Nature 2006, 440, 908–912. [Google Scholar] [CrossRef] [PubMed]
- Reineke, S.; Lindner, F.; Schwartz, G.; Seidler, N.; Walzer, K.; Lussem, B.; Leo, K. White organic light-emitting diodes with fluorescent tube efficiency. Nature 2009, 459, 234–238. [Google Scholar] [CrossRef] [PubMed]
- Han, T.-H.; Lee, Y.; Choi, M.-R.; Woo, S.-H.; Bae, S.-H.; Hong, B.H.; Ahn, J.-H.; Lee, T.-W. Extremely efficient flexible organic light-emitting diodes with modified graphene anode. Nat. Photonics 2012, 6, 105–110. [Google Scholar] [CrossRef]
- Chen, T.; Zheng, L.; Yuan, J.; An, Z.; Chen, R.; Tao, Y.; Li, H.; Xie, X.; Huang, W. Understanding the Control of Singlet-Triplet Splitting for Organic Exciton Manipulating: A Combined Theoretical and Experimental Approach. Sci. Rep. 2015, 5, 10923. [Google Scholar] [CrossRef] [PubMed]
- Komatsu, R.; Ohsawa, T.; Sasabe, H.; Nakao, K.; Hayasaka, Y.; Kido, J. Manipulating the Electronic Excited State Energies of Pyrimidine-Based Thermally Activated Delayed Fluorescence Emitters to Realize Efficient Deep-Blue Emission. ACS Appl. Mater. Interfaces 2017, 9, 4742–4749. [Google Scholar] [CrossRef]
- Sato, K.; Shizu, K.; Yoshimura, K.; Kawada, A.; Miyazaki, H.; Adachi, C. Organic luminescent molecule with energetically equivalent singlet and triplet excited states for organic light-emitting diodes. Phys. Rev. Lett. 2013, 110, 247401. [Google Scholar] [CrossRef]
- Volz, D. Review of organic light-emitting diodes with thermally activated delayed fluorescence emitters for energy-efficient sustainable light sources and displays. J. Photonics Energy 2016, 6, 020901. [Google Scholar] [CrossRef]
- Yang, Z.; Mao, Z.; Xie, Z.; Zhang, Y.; Liu, S.; Zhao, J.; Xu, J.; Chi, Z.; Aldred, M.P. Recent advances in organic thermally activated delayed fluorescence materials. Chem. Soc. Rev. 2017, 46, 915–1016. [Google Scholar] [CrossRef]
- Uoyama, H.; Goushi, K.; Shizu, K.; Nomura, H.; Adachi, C. Highly efficient organic light-emitting diodes from delayed fluorescence. Nature 2012, 492, 234–238. [Google Scholar] [CrossRef]
- Tao, Y.; Yuan, K.; Chen, T.; Xu, P.; Li, H.; Chen, R.; Zheng, C.; Zhang, L.; Huang, W. Thermally activated delayed fluorescence materials towards the breakthrough of organoelectronics. Adv. Mater. 2014, 26, 7931–7958. [Google Scholar] [CrossRef]
- Zhang, Q.; Li, B.; Huang, S.; Nomura, H.; Tanaka, H.; Adachi, C. Efficient blue organic light-emitting diodes employing thermally activated delayed fluorescence. Nat. Photonics 2014, 8, 326–332. [Google Scholar] [CrossRef]
- Hirata, S.; Sakai, Y.; Masui, K.; Tanaka, H.; Lee, S.Y.; Nomura, H.; Nakamura, N.; Yasumatsu, M.; Nakanotani, H.; Zhang, Q.; et al. Highly efficient blue electroluminescence based on thermally activated delayed fluorescence. Nat. Mater. 2015, 14, 330–336. [Google Scholar] [CrossRef] [PubMed]
- Zhang, Q.; Tsang, D.; Kuwabara, H.; Hatae, Y.; Li, B.; Takahashi, T.; Lee, S.Y.; Yasuda, T.; Adachi, C. Nearly 100% internal quantum efficiency in undoped electroluminescent devices employing pure organic emitters. Adv. Mater. 2015, 27, 2096–2100. [Google Scholar] [CrossRef] [PubMed]
- Kim, M.; Jeon, S.K.; Hwang, S.H.; Lee, J.Y. Stable blue thermally activated delayed fluorescent organic light-emitting diodes with three times longer lifetime than phosphorescent organic light-emitting diodes. Adv. Mater. 2015, 27, 2515–2520. [Google Scholar] [CrossRef] [PubMed]
- Sun, J.W.; Baek, J.Y.; Kim, K.-H.; Moon, C.-K.; Lee, J.-H.; Kwon, S.-K.; Kim, Y.-H.; Kim, J.-J. Thermally Activated Delayed Fluorescence from Azasiline Based Intramolecular Charge-Transfer Emitter (DTPDDA) and a Highly Efficient Blue Light Emitting Diode. Chem. Mater. 2015, 27, 6675–6681. [Google Scholar] [CrossRef]
- Youn Lee, S.; Yasuda, T.; Nomura, H.; Adachi, C. High-efficiency organic light-emitting diodes utilizing thermally activated delayed fluorescence from triazine-based donor–acceptor hybrid molecules. Appl. Phys. Lett. 2012, 101, 093306. [Google Scholar] [CrossRef]
- Rajamalli, P.; Senthilkumar, N.; Gandeepan, P.; Ren-Wu, C.C.; Lin, H.W.; Cheng, C.H. Method for Reducing the Singlet-Triplet Energy Gaps of TADF Materials for Improving the Blue OLED Efficiency. ACS Appl. Mater. Interfaces 2016, 8, 27026–27034. [Google Scholar] [CrossRef]
- Yang, Y.; Wang, S.; Zhu, Y.; Wang, Y.; Zhan, H.; Cheng, Y. Thermally Activated Delayed Fluorescence Conjugated Polymers with Backbone-Donor/Pendant-Acceptor Architecture for Nondoped OLEDs with High External Quantum Efficiency and Low Roll-Off. Adv. Funct. Mater. 2018, 28, 1706916. [Google Scholar] [CrossRef]
- Park, Y.-S.; Lee, S.; Kim, K.-H.; Kim, S.-Y.; Lee, J.-H.; Kim, J.-J. Exciplex-Forming Co-host for Organic Light-Emitting Diodes with Ultimate Efficiency. Adv. Funct. Mater. 2013, 23, 4914–4920. [Google Scholar] [CrossRef]
- Cho, Y.J.; Chin, B.D.; Jeon, S.K.; Lee, J.Y. 20% External Quantum Efficiency in Solution-Processed Blue Thermally Activated Delayed Fluorescent Devices. Adv. Funct. Mater. 2015, 25, 6786–6792. [Google Scholar] [CrossRef]
- Liu, W.; Zheng, C.J.; Wang, K.; Chen, Z.; Chen, D.Y.; Li, F.; Ou, X.M.; Dong, Y.P.; Zhang, X.H. Novel Carbazol-Pyridine-Carbonitrile Derivative as Excellent Blue Thermally Activated Delayed Fluorescence Emitter for Highly Efficient Organic Light-Emitting Devices. ACS Appl. Mater. Interfaces 2015, 7, 18930–18936. [Google Scholar] [CrossRef] [PubMed]
- Cho, Y.J.; Jeon, S.K.; Lee, S.-S.; Yu, E.; Lee, J.Y. Donor Interlocked Molecular Design for Fluorescence-like Narrow Emission in Deep Blue Thermally Activated Delayed Fluorescent Emitters. Chem. Mater. 2016, 28, 5400–5405. [Google Scholar] [CrossRef]
- Kang, J.S.; Hong, T.R.; Kim, H.J.; Son, Y.H.; Lampande, R.; Kang, B.Y.; Lee, C.; Bin, J.-K.; Lee, B.S.; Yang, J.H.; et al. High-performance bipolar host materials for blue TADF devices with excellent external quantum efficiencies. J. Mater. Chem. C 2016, 4, 4512–4520. [Google Scholar] [CrossRef]
- Lee, Y.H.; Park, S.; Oh, J.; Shin, J.W.; Jung, J.; Yoo, S.; Lee, M.H. Rigidity-Induced Delayed Fluorescence by Ortho Donor-Appended Triarylboron Compounds: Record-High Efficiency in Pure Blue Fluorescent Organic Light-Emitting Diodes. ACS Appl. Mater. Interfaces 2017, 9, 24035–24042. [Google Scholar] [CrossRef]
- Rajamalli, P.; Thangaraji, V.; Senthilkumar, N.; Ren-Wu, C.-C.; Lin, H.-W.; Cheng, C.-H. Thermally activated delayed fluorescence emitters with a m,m-di-tert-butyl-carbazolyl benzoylpyridine core achieving extremely high blue electroluminescence efficiencies. J. Mater. Chem. C 2017, 5, 2919–2926. [Google Scholar] [CrossRef]
- Zhang, D.; Song, X.; Cai, M.; Kaji, H.; Duan, L. Indolocarbazole-Isomer Derivatives as Highly Emissive Emitters and Ideal Hosts for Thermally Activated Delayed Fluorescent OLEDs with Alleviated Efficiency Roll-Off. Adv. Mater. 2018, 30. [Google Scholar] [CrossRef]
- Chen, X.K.; Tsuchiya, Y.; Ishikawa, Y.; Zhong, C.; Adachi, C.; Bredas, J.L. A New Design Strategy for Efficient Thermally Activated Delayed Fluorescence Organic Emitters: From Twisted to Planar Structures. Adv. Mater. 2017, 29. [Google Scholar] [CrossRef]
- Fukagawa, H.; Shimizu, T.; Iwasaki, Y.; Yamamoto, T. Operational lifetimes of organic light-emitting diodes dominated by Forster resonance energy transfer. Sci. Rep. 2017, 7, 1735. [Google Scholar] [CrossRef]
- Ward, J.S.; Nobuyasu, R.S.; Batsanov, A.S.; Data, P.; Monkman, A.P.; Dias, F.B.; Bryce, M.R. The interplay of thermally activated delayed fluorescence (TADF) and room temperature organic phosphorescence in sterically-constrained donor-acceptor charge-transfer molecules. Chem. Commun. (Camb.) 2016, 52, 2612–2615. [Google Scholar] [CrossRef] [PubMed]
- Stephens, P.J.; Devlin, F.J.; Chabalowski, C.F.; Frisch, M.J. Ab Initio calculation of vibrational absorption and circular dichroism spectra using density functional force fields. J. Phys. Chem. 1994, 98, 11623–11627. [Google Scholar] [CrossRef]
- Zhao, Y.; Truhlar, D.G. Hybrid meta density functional theory methods for thermochemistry, thermochemical kinetics, and noncovalent interactions: the MPW1B95 and MPWB1K models and comparative assessments for hydrogen bonding and van der Waals interactions. J. Phys. Chem. A 2004, 108, 6908–6918. [Google Scholar] [CrossRef]
- Samanta, P.K.; Kim, D.; Coropceanu, V.; Bredas, J.L. Up-Conversion Intersystem Crossing Rates in Organic Emitters for Thermally Activated Delayed Fluorescence: Impact of the Nature of Singlet vs Triplet Excited States. J. Am. Chem. Soc. 2017, 139, 4042–4051. [Google Scholar] [CrossRef] [PubMed]
- Marcus, R.A. On the theory of oxidation-reduction reactions involving electron transfer. I. J. Chem. Phys. 1956, 24, 966–978. [Google Scholar] [CrossRef]
- Feng, S.; Wen, K.; Si, Y.; Guo, X.; Zhang, J. Theoretical studies on thermally activated delayed fluorescence mechanism of a series of organic light-emitting diodes emitters comprising 2,7-diphenylamino-9,9-dimethylacridine as electron donor. J. Comput. Chem. 2018, 39, 2601–2606. [Google Scholar] [CrossRef]
- Yu, J.G.; Han, S.H.; Lee, H.L.; Hong, W.P.; Lee, J.Y. A novel molecular design employing a backbone freezing linker for improved efficiency, sharpened emission and long lifetime in thermally activated delayed fluorescence emitters. J. Mater. Chem. C 2019, 7, 2919–2926. [Google Scholar] [CrossRef]
- Cooper, M.W.; Zhang, X.; Zhang, Y.; Jeon, S.O.; Lee, H.; Kim, S.; Fuentes-Hernandez, C.; Barlow, S.; Kippelen, B.; Marder, S.R. Effect of the Number and Substitution Pattern of Carbazole Donors on the Singlet and Triplet State Energies in a Series of Carbazole-Oxadiazole Derivatives Exhibiting Thermally Activated Delayed Fluorescence. Chem. Mater. 2018, 30, 6389–6399. [Google Scholar] [CrossRef]
- Ihn, S.G.; Lee, N.; Jeon, S.O.; Sim, M.; Kang, H.; Jung, Y.; Huh, D.H.; Son, Y.M.; Lee, S.Y.; Numata, M.; et al. An Alternative Host Material for Long-Lifespan Blue Organic Light-Emitting Diodes Using Thermally Activated Delayed Fluorescence. Adv. Sci. (Weinh.) 2017, 4, 1600502. [Google Scholar] [CrossRef] [PubMed]








| Name | TD-DFT a | |||||||
|---|---|---|---|---|---|---|---|---|
| HOMO (eV) | LUMO (eV) | f | S1 (eV) | T1 (eV) | ∆EST (eV) | k Reverse Intersystem Crossing (kRISC) (S−1) | Dihedral Angles (°) | |
| BMK-T138 | −5.16 | −1.79 | 0.0067 | 2.77 | 2.67 | 0.10 | 8.17 | 33.6 |
| BMK-T139 | −5.16 | −1.76 | 0.0043 | 2.86 | 2.81 | 0.05 | 2.99 | 58.8 |
| BMK-T317 | −5.30 | −1.94 | 0.0051 | 2.76 | 2.70 | 0.06 | 5.25 × 105 | 35.1 |
| BMK-T318 | −5.31 | −1.88 | 0.0063 | 2.84 | 2.78 | 0.06 | 4.49 ×105 | 53.6 |
| Name | Physical Properties of TADF Emitters a | |||||||
|---|---|---|---|---|---|---|---|---|
| Photoluminescence (PL) (nm) | Full width at Half-Maximum (FWHM) (nm) | ES (eV)b | ET (eV)b | ∆EST (eV)c | PL Quantum Yield (PLQY) d | τDF d (µs) | kRISC (%) | |
| BMK-T138 | 478 | 66 | 2.87 | 2.82 | 0.05 | 0.741 | 163 | 32.10 |
| BMK-T139 | 480 | 72 | 2.87 | 2.75 | 0.12 | 0.622 | 147 | 50.80 |
| BMK-T317 | 469 | 72 | 2.82 | 2.81 | 0.01 | 0.697 | 51 | 60.53 |
| BMK-T318 | 466 | 75 | 2.79 | 2.90 | −0.11 | 0.737 | 21 | 63.09 |
| Name | EQEmax (%) | EQE a (%) | CEmax (Cd/A) | Roll-off (%) | EL (nm) | Vd (V) | Color Coordinates |
| CPT2 | 18.7 | 4.1 | 30.1 | 78.7 | 470 | 10.06 | 0.162, 0.206 |
| BMK-T138 | 19.6 | 6.2 | 40.6 | 69.8 | 480 | 7.59 | 0.155, 0.314 |
| TADFE mitter | EQEmax (%) | EQE a (%) | CEmax (Cd/A) | Roll-off (%) | EL (nm) | Jb (mA/cm2) | Vda (V) | Color Coordinates |
|---|---|---|---|---|---|---|---|---|
| BMK-T138 | 18.8 | 5.0 | 33.9 | 75.8 | 473 | 8.17 | 5.16 | 0.141, 0.240 |
| BMK-T139 | 10.8 | 2.8 | 21.8 | 79.3 | 473 | 11.08 | 5.71 | 0.160, 0.321 |
| BMK-T317 | 19.9 | 8.8 | 37.6 | 57.3 | 475 | 3.15 | 4.68 | 0.147, 0.228 |
| BMK-T318 | 18.8 | 14.3 | 38.2 | 26.7 | 481 | 1.75 | 4.36 | 0.152, 0.274 |
© 2019 by the authors. Licensee MDPI, Basel, Switzerland. This article is an open access article distributed under the terms and conditions of the Creative Commons Attribution (CC BY) license (http://creativecommons.org/licenses/by/4.0/).
Share and Cite
Kwon, T.H.; Jeon, S.O.; Numata, M.; Lee, H.; Chung, Y.S.; Kim, J.S.; Ihn, S.-G.; Sim, M.; Kim, S.; Kim, B.M. A Novel Design Strategy for Suppressing Efficiency Roll-Off of Blue Thermally Activated Delayed Fluorescence Molecules through Donor–Acceptor Interlocking by C–C Bonds. Nanomaterials 2019, 9, 1735. https://doi.org/10.3390/nano9121735
Kwon TH, Jeon SO, Numata M, Lee H, Chung YS, Kim JS, Ihn S-G, Sim M, Kim S, Kim BM. A Novel Design Strategy for Suppressing Efficiency Roll-Off of Blue Thermally Activated Delayed Fluorescence Molecules through Donor–Acceptor Interlocking by C–C Bonds. Nanomaterials. 2019; 9(12):1735. https://doi.org/10.3390/nano9121735
Chicago/Turabian StyleKwon, Tae Hui, Soon Ok Jeon, Masaki Numata, Hasup Lee, Yeon Sook Chung, Jong Soo Kim, Soo-Ghang Ihn, Myungsun Sim, Sunghan Kim, and Byeong Moon Kim. 2019. "A Novel Design Strategy for Suppressing Efficiency Roll-Off of Blue Thermally Activated Delayed Fluorescence Molecules through Donor–Acceptor Interlocking by C–C Bonds" Nanomaterials 9, no. 12: 1735. https://doi.org/10.3390/nano9121735
APA StyleKwon, T. H., Jeon, S. O., Numata, M., Lee, H., Chung, Y. S., Kim, J. S., Ihn, S.-G., Sim, M., Kim, S., & Kim, B. M. (2019). A Novel Design Strategy for Suppressing Efficiency Roll-Off of Blue Thermally Activated Delayed Fluorescence Molecules through Donor–Acceptor Interlocking by C–C Bonds. Nanomaterials, 9(12), 1735. https://doi.org/10.3390/nano9121735

