Effects of Divacancy and Extended Line Defects on the Thermal Transport Properties of Graphene Nanoribbons
Abstract
1. Introduction
2. Methods
3. Results and Discussion
3.1. Single Divacancy
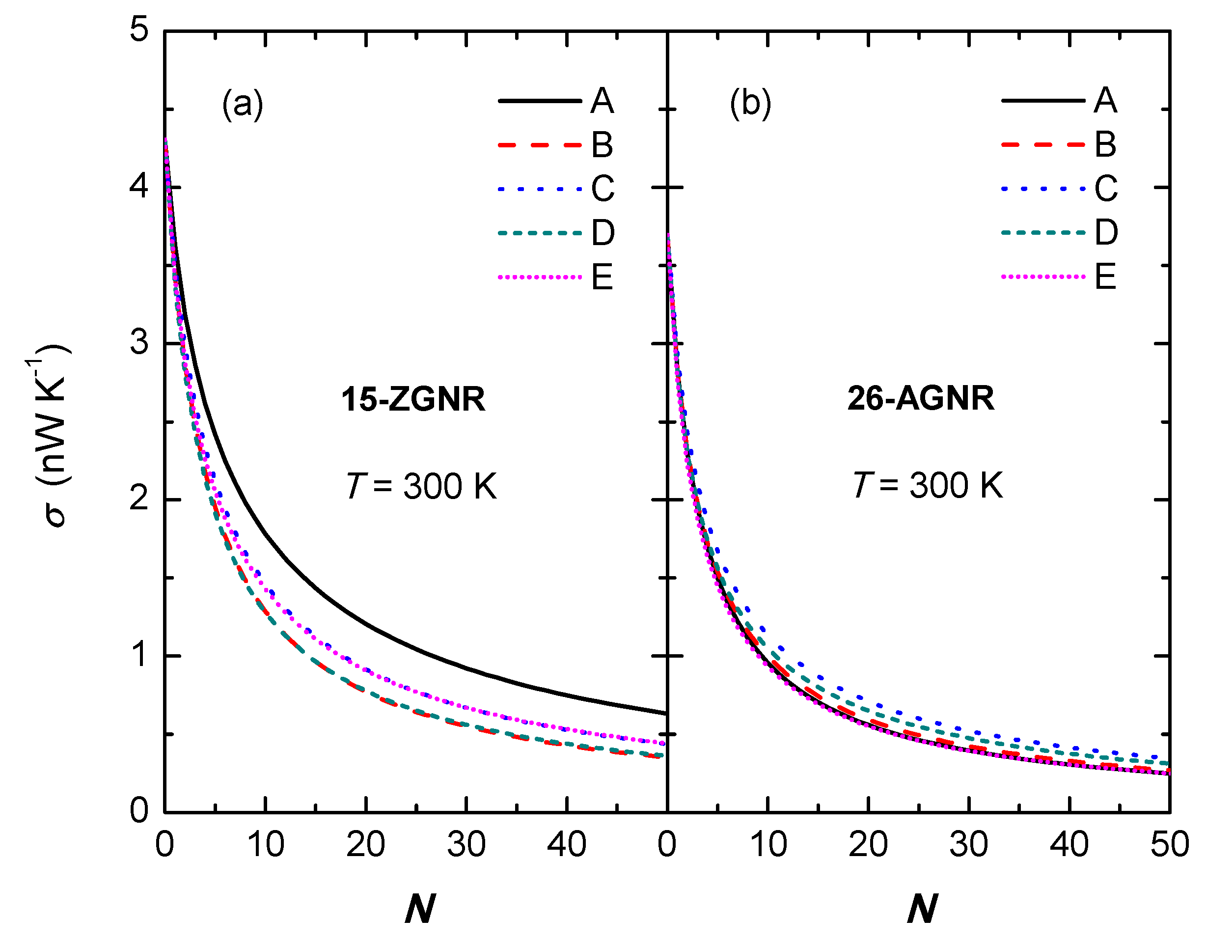
3.2. Randomly Distributed Multiple Divacancies
3.3. Extended Line Of Divacancies
4. Conclusions
Author Contributions
Funding
Conflicts of Interest
Abbreviations
| GNR | Graphene nanoribbon |
| NEGF | Nonequilibrium Green’s function |
| ELD | Extended line defect |
| N-ZGNR | Graphene nanoribbon with N zigzag carbon chains in width direction |
| N-AGNR | Graphene nanoribbon with N dimer carbon chains in width direction |
References
- Geim, A.K.; Novoselov, K.S. The rise of graphene. Nat. Mater. 2007, 6, 183–191. [Google Scholar] [CrossRef] [PubMed]
- Li, B.L.; Chen, K.Q. Effects of electron-phonon interactions on the spin-dependent Seebeck effect in graphene nanoribbons. Carbon 2017, 119, 548–554. [Google Scholar] [CrossRef]
- Balandin, A.A. Thermal properties of graphene and nanostructured Carbon materials. Nat. Mater. 2011, 10, 569–581. [Google Scholar] [CrossRef]
- Li, B.L.; Chen, K.Q. Huge inelastic current at low temperature in graphene nanoribbons. J. Phys. Condens. Matter 2017, 29, 075301. [Google Scholar] [CrossRef]
- Chen, X.K.; Liu, J.; Xie, Z.X.; Zhang, Y.; Deng, Y.X.; Chen, K.Q. A local resonance mechanism for thermal rectification in pristine/branched graphene nanoribbon junctions. Appl. Phys. Lett. 2018, 113, 121906. [Google Scholar] [CrossRef]
- Wood, J.D.; Schmucker, S.W.; Lyons, A.S.; Pop, E.; Lyding, J.W. Effects of Polycrystalline Cu Substrate on Graphene Growth by Chemical Vapor Deposition. Nano Lett. 2011, 11, 4547–4554. [Google Scholar] [CrossRef]
- Banhart, F.; Kotakoski, J.; Krasheninnikov, A.V. Structural Defects in Graphene. ACS Nano 2011, 5, 26–41. [Google Scholar] [CrossRef]
- Kotakoski, J.; Krasheninnikov, A.; Kaiser, U.; Meyer, J. From Point Defects in Graphene to Two-Dimensional Amorphous Carbon. Phys. Rev. Lett. 2011, 106, 105505. [Google Scholar] [CrossRef]
- Krasheninnikov, A.; Lehtinen, P.; Foster, A.; Nieminen, R. Bending the rules: Contrasting vacancy energetics and migration in graphite and carbon nanotubes. Chem. Phys. Lett. 2006, 418, 132–136. [Google Scholar] [CrossRef]
- El-Barbary, A.A.; Telling, R.H.; Ewels, C.P.; Heggie, M.I.; Briddon, P.R. Structure and energetics of the vacancy in graphite. Phys. Rev. B 2003, 68, 144107. [Google Scholar] [CrossRef]
- Lee, G.D.; Wang, C.Z.; Yoon, E.; Hwang, N.M.; Kim, D.Y.; Ho, K.M. Diffusion, Coalescence, and Reconstruction of Vacancy Defects in Graphene Layers. Phys. Rev. Lett. 2005, 95, 205501. [Google Scholar] [CrossRef] [PubMed]
- Chen, Q.; Robertson, A.W.; He, K.; Gong, C.; Yoon, E.; Lee, G.D.; Warner, J.H. Atomic Level Distributed Strain within Graphene Divacancies from Bond Rotations. ACS Nano 2015, 9, 8599–8608. [Google Scholar] [CrossRef] [PubMed]
- Daly, M.; Reeve, M.; Singh, C.V. Effects of topological point reconstructions on the fracture strength and deformation mechanisms of graphene. Comput. Mater. Sci. 2015, 97, 172–180. [Google Scholar] [CrossRef]
- Song, Z.; Xu, Z. Topological Defects in Two-Dimensional Crystals: The Stress Buildup and Accumulation. J. Appl. Mech. 2014, 81, 091004. [Google Scholar] [CrossRef]
- Wang, S.; Yang, B.; Yuan, J.; Si, Y.; Chen, H. Large-Scale Molecular Simulations on the Mechanical Response and Failure Behavior of a defective Graphene: Cases of 5-8-5 Defects. Sci. Rep. 2015, 5, 14957. [Google Scholar] [CrossRef]
- Botello-Méndez, A.; Lherbier, A.; Charlier, J.C. Modeling electronic properties and quantum transport in doped and defective graphene. Solid State Commun. 2013, 175–176, 90–100. [Google Scholar] [CrossRef]
- Zhao, J.; Zeng, H.; Wei, J.; Li, B.; Xu, D. Atomistic simulations of divacancy defects in armchair graphene nanoribbons: Stability, electronic structure, and electron transport properties. Phys. Lett. A 2014, 378, 416–420. [Google Scholar] [CrossRef]
- Lherbier, A.; Dubois, S.M.M.; Declerck, X.; Niquet, Y.M.; Roche, S.; Charlier, J.C. Transport properties of graphene containing structural defects. Phys. Rev. B 2012, 86, 075402. [Google Scholar] [CrossRef]
- Petrović, M.D.; Peeters, F.M. Quantum transport in graphene Hall bars: Effects of vacancy disorder. Phys. Rev. B 2016, 94, 235413. [Google Scholar] [CrossRef]
- Jaskólski, W.; Chico, L.; Ayuela, A. Divacancy-induced ferromagnetism in graphene nanoribbons. Phys. Rev. B 2015, 91, 165427. [Google Scholar] [CrossRef]
- Mehmood, F.; Pachter, R.; Lu, W.; Boeckl, J.J. Adsorption and Diffusion of Oxygen on Single-Layer Graphene with Topological Defects. J. Phys. Chem. C 2013, 117, 10366–10374. [Google Scholar] [CrossRef]
- Oubal, M.; Picaud, S.; Rayez, M.; Rayez, J. Adsorption of atmospheric oxidants at divacancy sites of graphene: A DFT study. Comput. Theor. Chem. 2013, 1016, 22–27. [Google Scholar] [CrossRef]
- Chang, S.; Zhang, Y.; Huang, Q.; Wang, H.; Wang, G. Effects of vacancy defects on graphene nanoribbon field effect transistor. Micro Nano Lett. 2013, 8, 816–821. [Google Scholar] [CrossRef]
- Tajarrod, M.H.; Saghai, H.R. High Ion/Ioff current ratio graphene field effect transistor: The role of line defect. Beilstein J. Nanotechnol. 2015, 6, 2062–2068. [Google Scholar] [CrossRef]
- Chakrabarty, S.; Wasey, A.A.; Thapa, R.; Das, G. First principles design of divacancy defected graphene nanoribbon based rectifying and negative differential resistance device. AIP Adv. 2015, 5, 087163. [Google Scholar] [CrossRef]
- Gunlycke, D.; White, C.T. Graphene Valley Filter Using a Line Defect. Phys. Rev. Lett. 2011, 106, 136806. [Google Scholar] [CrossRef]
- Chen, X.; Xu, Y.; Wang, J.; Guo, H. Valley filtering effect of phonons in graphene with a grain boundary. Phys. Rev. B 2019, 99, 064302. [Google Scholar] [CrossRef]
- Kan, M.; Zhou, J.; Sun, Q.; Wang, Q.; Kawazoe, Y.; Jena, P. Tuning magnetic properties of graphene nanoribbons with topological line defects: From antiferromagnetic to ferromagnetic. Phys. Rev. B 2012, 85, 155450. [Google Scholar] [CrossRef]
- Dai, Q.Q.; Zhu, Y.F.; Jiang, Q. Electronic and Magnetic Engineering in Zigzag Graphene Nanoribbons Having a Topological Line Defect at Different Positions with or without Strain. J. Phys. Chem. C 2013, 117, 4791–4799. [Google Scholar] [CrossRef]
- De Souza, F.A.; Amorim, R.G.; Prasongkit, J.; Scopel, W.a.L.; Scheicher, R.H.; Rocha, A.R. Topological line defects in graphene for applications in gas sensing. Carbon 2018, 129, 803–808. [Google Scholar] [CrossRef]
- Pop, E.; Sinha, S.; Goodson, K.E. Heat generation and transport in nanometer-scale transistors. Proc. IEEE 2006, 94, 1587–1601. [Google Scholar] [CrossRef]
- Zeng, Y.J.; Liu, Y.Y.; Zhou, W.X.; Chen, K.Q. Nanoscale thermal transport: Theoretical method and application. Chin. Phys. B 2018, 27, 036304. [Google Scholar] [CrossRef]
- Li, D.; Gao, J.; Cheng, P.; He, J.; Yin, Y.; Hu, Y.; Chen, L.; Cheng, Y.; Zhao, J. 2D Boron Sheets: Structure, Growth, and Electronic and Thermal Transport Properties. Adv. Funct. Mater. 2019, 1904349. [Google Scholar] [CrossRef]
- Zhang, Z.; Chen, J. Thermal conductivity of nanowires. Chin. Phys. B 2018, 27, 035101. [Google Scholar] [CrossRef]
- Zhang, L.; Zhu, W.; Huang, Y.; Qi, S. Synergetic Effects of Silver Nanowires and Graphene Oxide on Thermal Conductivity of Epoxy Composites. Nanomaterials 2019, 9, 1264. [Google Scholar] [CrossRef]
- He, J.; Li, D.; Ying, Y.; Feng, C.; He, J.; Zhong, C.; Zhou, H.; Zhou, P.; Zhang, G. Orbitally driven giant thermal conductance associated with abnormal strain dependence in hydrogenated graphene-like borophene. NPJ Comput. Mater. 2019, 5, 47. [Google Scholar] [CrossRef]
- Zhang, H.; Lee, G.; Cho, K. Thermal transport in graphene and effects of vacancy defects. Phys. Rev. B 2011, 84, 115460. [Google Scholar] [CrossRef]
- Jiang, J.W.; Wang, B.S.; Wang, J.S. First principle study of the thermal conductance in graphene nanoribbon with vacancy and substitutional silicon defects. Appl. Phys. Lett. 2011, 98, 113114. [Google Scholar] [CrossRef]
- Haskins, J.; Kınacı, A.; Sevik, C.; Sevinçli, H.; Cuniberti, G.; Çaǧın, T. Control of Thermal and Electronic Transport in Defect-Engineered Graphene Nanoribbons. ACS Nano 2011, 5, 3779–3787. [Google Scholar] [CrossRef]
- Peng, X.F.; Wang, X.J.; Gong, Z.Q.; Chen, K.Q. Ballistic thermal conductance in graphene nanoribbon with double-cavity structure. Appl. Phys. Lett. 2011, 99, 233105. [Google Scholar] [CrossRef]
- Yeo, J.J.; Liu, Z.; Ng, T.Y. Comparing the effects of dispersed Stone–Thrower–Wales defects and double vacancies on the thermal conductivity of graphene nanoribbons. Nanotechnology 2012, 23, 385702. [Google Scholar] [CrossRef]
- Kim, Y.; Ihm, J.; Yoon, E.; Lee, G.D. Dynamics and stability of divacancy defects in graphene. Phys. Rev. B 2011, 84, 075445. [Google Scholar] [CrossRef]
- Xia, J.; Liu, X.; Zhou, W.; Wang, F.; Wu, H. Transformation between divacancy defects induced by an energy pulse in graphene. Nanotechnology 2016, 27, 274004. [Google Scholar] [CrossRef]
- Putz, M.; Ori, O. Bondonic effects in group-IV honeycomb nanoribbons with Stone-Wales topological defects. Molecules 2014, 19, 4157–4188. [Google Scholar] [CrossRef]
- Ori, O.; Putz, M.V. Isomeric Formation of 5|8|5 Defects in Graphenic Systems. Fuller. Nanotub. Carbon Nanostruct. 2014, 22, 887–900. [Google Scholar] [CrossRef]
- Ori, O.; Cataldo, F.; Putz, M.V.; Kaatz, F.; Bultheel, A. Cooperative topological accumulation of vacancies in honeycomb lattices. Fuller. Nanotub. Carbon Nanostruct. 2016, 24, 353–362. [Google Scholar] [CrossRef]
- Skowron, S.T.; Lebedeva, I.V.; Popov, A.M.; Bichoutskaia, E. Energetics of atomic scale structure changes in graphene. Chem. Soc. Rev. 2015, 44, 3143–3176. [Google Scholar] [CrossRef]
- Coraux, J.; N’Diaye, A.T.; Engler, M.; Busse, C.; Wall, D.; Buckanie, N.; Heringdorf, F.J.M.Z.; van Gastel, R.; Poelsema, B.; Michely, T. Growth of graphene on Ir(111). New J. Phys. 2009, 11, 023006. [Google Scholar] [CrossRef]
- Park, H.J.; Meyer, J.; Roth, S.; Skakalova, V. Growth and properties of few-layer graphene prepared by chemical vapor deposition. Carbon 2010, 48, 1088–1094. [Google Scholar] [CrossRef]
- Botello-Mendez, A.R.; Declerck, X.; Terrones, M.; Terrones, H.; Charlier, J.C. One-dimensional extended lines of divacancy defects in graphene. Nanoscale 2011, 3, 2868–2872. [Google Scholar] [CrossRef]
- Lahiri, J.; Lin, Y.; Bozkurt, P.; Oleynik, I.I.; Batzill, M. An extended defect in graphene as a metallic wire. Nat. Nanotechnol. 2010, 5, 326–329. [Google Scholar] [CrossRef]
- Appelhans, D.J.; Carr, L.D.; Lusk, M.T. Embedded ribbons of graphene allotropes: An extended defect perspective. New J. Phys. 2010, 12, 125006. [Google Scholar] [CrossRef]
- Lago, V.D.; Torres, L.E.F.F. Line defects and quantum Hall plateaus in graphene. J. Phys. Condens. Matter 2015, 27, 145303. [Google Scholar] [CrossRef]
- Dai, Q.Q.; Zhu, Y.F.; Jiang, Q. Electronic and magnetic properties of armchair graphene nanoribbons with 558 grain boundary. Phys. Chem. Chem. Phys. 2014, 16, 10607–10613. [Google Scholar] [CrossRef]
- Huang, H.; Xu, Y.; Zou, X.; Wu, J.; Duan, W. Tuning thermal conduction via extended defects in graphene. Phys. Rev. B 2013, 87, 205415. [Google Scholar] [CrossRef]
- Zhou, H.; Zhang, G. General theories and features of interfacial thermal transport. Chin. Phys. B 2018, 27, 034401. [Google Scholar] [CrossRef]
- Mingo, N.; Yang, L. Phonon transport in nanowires coated with an amorphous material: An atomistic Green’s function approach. Phys. Rev. B 2003, 68, 245406. [Google Scholar] [CrossRef]
- Wang, J.; Wang, J.S. Dimensional crossover of thermal conductance in nanowires. Appl. Phys. Lett. 2007, 90, 241908. [Google Scholar] [CrossRef]
- Yamamoto, T.; Watanabe, K. Nonequilibrium Green’s Function Approach to Phonon Transport in Defective Carbon Nanotubes. Phys. Rev. Lett. 2006, 96, 255503. [Google Scholar] [CrossRef]
- Wang, J.S.; Wang, J.; Zeng, N. Nonequilibrium Green’s function approach to mesoscopic thermal transport. Phys. Rev. B 2006, 74, 033408. [Google Scholar] [CrossRef]
- Xu, Y.; Chen, X.; Gu, B.L.; Duan, W. Intrinsic anisotropy of thermal conductance in graphene nanoribbons. Appl. Phys. Lett. 2009, 95, 233116. [Google Scholar] [CrossRef]
- Lan, J.; Wang, J.S.; Gan, C.K.; Chin, S.K. Edge effects on quantum thermal transport in graphene nanoribbons: Tight-binding calculations. Phys. Rev. B 2009, 79, 115401. [Google Scholar] [CrossRef]
- Ouyang, T.; Chen, Y.P.; Yang, K.K.; Zhong, J.X. Thermal transport of isotopic-superlattice graphene nanoribbons with zigzag edge. Europhys. Lett. 2009, 88, 28002. [Google Scholar] [CrossRef]
- Stewart, D.A.; Savic, I.; Mingo, N. First-Principles Calculation of the Isotope Effect on Boron Nitride Nanotube Thermal Conductivity. Nano Lett. 2009, 9, 81. [Google Scholar] [CrossRef] [PubMed]
- Ouyang, Y.; Guo, J. A theoretical study on thermoelectric properties of graphene nanoribbons. Appl. Phys. Lett. 2009, 94, 263107. [Google Scholar] [CrossRef]
- Tan, S.H.; Tang, L.M.; Xie, Z.X.; Pan, C.N.; Chen, K.Q. Effect of pentagon–heptagon defect on thermal transport properties in graphene nanoribbons. Carbon 2013, 65, 181–186. [Google Scholar] [CrossRef]
- Li, D.; He, J.; Ding, G.; Tang, Q.; Ying, Y.; He, J.; Zhong, C.; Liu, Y.; Feng, C.; Sun, Q.; et al. Stretch-Driven Increase in Ultrahigh Thermal Conductance of Hydrogenated Borophene and Dimensionality Crossover in Phonon Transmission. Adv. Funct. Mater. 2018, 28, 1801685. [Google Scholar] [CrossRef]
- Datta, S. Electronic Transport in Mesoscopic Systems; Cambridge University Press: Cambridge, UK, 1995; p. 63. [Google Scholar]
- Wang, J.S.; Wang, J.; Lü, J.T. Quantum thermal transport in nanostructures. Eur. Phys. J. B 2008, 62, 381. [Google Scholar] [CrossRef]
- Gale, J.D.; Rohl, A.L. The General Utility Lattice Program (GULP). Mol. Simul. 2003, 29, 291–341. [Google Scholar] [CrossRef]
- Brenner, D.W.; Shenderova, O.A.; Harrison, J.A.; Stuart, S.J.; Ni, B.; Sinnott, S.B. A second-generation reactive empirical bond order (REBO) potential energy expression for hydrocarbons. J. Phys. Condens. Matter 2002, 14, 783. [Google Scholar] [CrossRef]
- Nika, D.L.; Balandin, A.A. Phonons and thermal transport in graphene and graphene-based materials. Rep. Prog. Phys. 2017, 80, 036502. [Google Scholar] [CrossRef] [PubMed]
- Nika, D.L.; Pokatilov, E.P.; Askerov, A.S.; Balandin, A.A. Phonon thermal conduction in graphene: Role of Umklapp and edge roughness scattering. Phys. Rev. B 2009, 79, 155413. [Google Scholar] [CrossRef]
- Nika, D.L.; Askerov, A.S.; Balandin, A.A. Anomalous Size Dependence of the Thermal Conductivity of Graphene Ribbons. Nano Lett. 2012, 12, 3238–3244. [Google Scholar] [CrossRef] [PubMed]
- Xu, X.; Pereira, L.F.C.; Wang, Y.; Wu, J.; Zhang, K.; Zhao, X.; Bae, S.; Tinh Bui, C.; Xie, R.; Thong, J.T.L.; et al. Length-dependent thermal conductivity in suspended single-layer graphene. Nat. Commun. 2014, 5, 3689. [Google Scholar] [CrossRef]
- Chang, C.W.; Okawa, D.; Garcia, H.; Majumdar, A.; Zettl, A. Breakdown of Fourier’s Law in Nanotube Thermal Conductors. Phys. Rev. Lett. 2008, 101, 075903. [Google Scholar] [CrossRef]
- Lee, V.; Wu, C.H.; Lou, Z.X.; Lee, W.L.; Chang, C.W. Divergent and Ultrahigh Thermal Conductivity in Millimeter-Long Nanotubes. Phys. Rev. Lett. 2017, 118, 135901. [Google Scholar] [CrossRef]
- Li, D.; Xu, Y.; Chen, X.; Li, B.; Duan, W. Tunable anisotropic thermal conduction in graphane nanoribbons. Appl. Phys. Lett. 2014, 104, 143108. [Google Scholar] [CrossRef]
- Markussen, T.; Rurali, R.; Jauho, A.P.; Brandbyge, M. Scaling Theory Put into Practice: First-Principles Modeling of Transport in Doped Silicon Nanowires. Phys. Rev. Lett. 2007, 99, 076803. [Google Scholar] [CrossRef]
- Savić, I.; Mingo, N.; Stewart, D.A. Phonon Transport in Isotope-Disordered Carbon and Boron-Nitride Nanotubes: Is Localization Observable? Phys. Rev. Lett. 2008, 101, 165502. [Google Scholar] [CrossRef]
- Wang, J.; Li, L.; Wang, J.S. Tuning thermal transport in nanotubes with topological defects. Appl. Phys. Lett. 2011, 99, 091905. [Google Scholar] [CrossRef]
- Malekpour, H.; Ramnani, P.; Srinivasan, S.; Balasubramanian, G.; Nika, D.L.; Mulchandani, A.; Lake, R.K.; Balandin, A.A. Thermal conductivity of graphene with defects induced by electron beam irradiation. Nanoscale 2016, 8, 14608–14616. [Google Scholar] [CrossRef]
- Chen, S.; Wu, Q.; Mishra, C.; Kang, J.; Zhang, H.; Cho, K.; Cai, W.; Balandin, A.A.; Ruoff, R.S. Thermal conductivity of isotopically modified graphene. Nat. Mater. 2012, 11, 203–207. [Google Scholar] [CrossRef]
- Malekpour, H.; Balandin, A.A. Raman-based technique for measuring thermal conductivity of graphene and related materials. J. Raman Spectrosc. 2018, 49, 106–120. [Google Scholar] [CrossRef]








| A | B | C | D | E | ||
|---|---|---|---|---|---|---|
| 15ZGNR | Center | 3.630 | 3.320 | 3.432 | 3.298 | 3.367 |
| Edge | 3.608 | 3.450 | 3.531 | 3.412 | 3.435 | |
| 26AGNR | Center | 2.673 | 2.773 | 2.804 | 2.746 | 2.675 |
| Edge | 2.937 | 2.845 | 2.983 | 2.818 | 2.790 |
| Zigzag | Armchair | |||
|---|---|---|---|---|
| 48 | 585 | d5d7 | t5t7 | |
| 2.797 | 2.466 | 2.016 | 1.958 | |
| 65.1% | 66.9% | 54.7% | 53.1% | |
| – | 1.588 ( = 6) 1.700 ( = 6) | – | 1.921 ( = 4) | |
© 2019 by the authors. Licensee MDPI, Basel, Switzerland. This article is an open access article distributed under the terms and conditions of the Creative Commons Attribution (CC BY) license (http://creativecommons.org/licenses/by/4.0/).
Share and Cite
Luo, M.; Li, B.-L.; Li, D. Effects of Divacancy and Extended Line Defects on the Thermal Transport Properties of Graphene Nanoribbons. Nanomaterials 2019, 9, 1609. https://doi.org/10.3390/nano9111609
Luo M, Li B-L, Li D. Effects of Divacancy and Extended Line Defects on the Thermal Transport Properties of Graphene Nanoribbons. Nanomaterials. 2019; 9(11):1609. https://doi.org/10.3390/nano9111609
Chicago/Turabian StyleLuo, Min, Bo-Lin Li, and Dengfeng Li. 2019. "Effects of Divacancy and Extended Line Defects on the Thermal Transport Properties of Graphene Nanoribbons" Nanomaterials 9, no. 11: 1609. https://doi.org/10.3390/nano9111609
APA StyleLuo, M., Li, B.-L., & Li, D. (2019). Effects of Divacancy and Extended Line Defects on the Thermal Transport Properties of Graphene Nanoribbons. Nanomaterials, 9(11), 1609. https://doi.org/10.3390/nano9111609
