Next Article in Journal
Geometric Analysis and Modeling of Electrospun Nanofiber Mat Deposition in a Top-Down Vertical Configuration
Previous Article in Journal
Self-Assembling Conjugated Organic Materials with a Silazane Anchor Group: Synthesis, Self-Organization, and Semiconductor Properties
Previous Article in Special Issue
Relation Between Thickness and TFTs Properties of HfO2 Dielectric Layer Synthesized by Plasma-Enhanced Atomic Layer Deposition
 
 
Due to scheduled maintenance work on our servers, there may be short service disruptions on this website between 11:00 and 12:00 CEST on March 28th.
Font Type:
Arial Georgia Verdana
Font Size:
Aa Aa Aa
Line Spacing:
Column Width:
Background:
Article

SIMS Investigation of Al Diffusion Across Interfaces in AlGaN/GaN and AlN/GaN Heterostructures

1
Department of Physics, College of Science, Jouf University, Sakaka P.O. Box 2014, Saudi Arabia
2
Department of Physics, College of Science, Qassim University, Buraydah Almolaydah, P.O. Box 6644, Buraydah 51452, Saudi Arabia
*
Author to whom correspondence should be addressed.
Nanomaterials 2026, 16(2), 125; https://doi.org/10.3390/nano16020125
Submission received: 20 December 2025 / Revised: 2 January 2026 / Accepted: 15 January 2026 / Published: 17 January 2026

Abstract

This study investigates Metal–Organic Vapor Phase Epitaxy (MOVPE)-grown AlGaN/GaN and AlN/GaN heterostructures using high-temperature thermal annealing and Secondary Ion Mass Spectrometry (SIMS). By fitting experimental diffusion coefficients (DAl) to the Arrhenius equation, two crucial kinetic parameters were found: the activation energy (Ea) and the pre-factor (D0). In the AlGaN/GaN structure, the dominating out-diffusion of Al has a large D0 = 4.03 × 10−5 cm2 s−1 and a low activation energy in the range of [2.1–2.4 eV]. A substitutional diffusion mechanism in the crystal lattice mediated by defects is closely linked to the low Ea. Significantly higher activation energies (Ea) of 3.66 and 4.59 eV, respectively, control both in- and out-diffusion processes in the AlN/GaN structure. The better intrinsic thermal stability of the pure AlN layer, whose stability is attained by a strong energy barrier, is confirmed by the increase of more than 1.2 eV in Ea.

1. Introduction

High Electron Mobility Transistors (HEMTs) and other next-generation high-power and high-frequency electronic devices are built on the rapidly developing wide-bandgap semiconductors, especially gallium nitride, GaN [1,2,3]. GaN-based HEMTs rely heavily on the generation of a two-dimensional electron gas (2DEG) at the interface of the GaN channel and a high-bandgap barrier layer, which is commonly AlGaN or AlN. The performance and, more importantly, long-term reliability of these devices are inextricably tied to the thermal stability of this interface.
It is widely recognized that interface characteristics have a substantial impact on electronic device performance. As a result, research has concentrated on both thin film interface diffusion and film–substrate diffusion. Cai et al. [4] investigated the diffusion depth within AlGaN/GaN superlattices and proposed a simple method to reduce the abruptness of the AlGaN/GaN interfaces. They detected a significant asymmetry in Al diffusion depth between the upper (0.62 nm) and lower (0.96 nm) AlGaN contact borders. In addition, Li and Zhu [5] demonstrated that Al diffused from the Al2O3 substrate into the buffer layer during the growth of single-crystal GaN films, resulting in a buffer layer containing both GaN and AlN, despite the fact that Al was not added intentionally during the growth process. Furthermore, Haneda et al. [6] used a simplified error function model to investigate the Al ion diffusion patterns at the substrate/GaN thin film interface and concluded that the Al concentration within the films was higher than predicted by volume diffusion. Focusing on the GaN/sapphire interface, Kang et al. [7] determined the interdiffusion coefficients at 850 °C from SIMS profiles to be DAl = 3.98 × 10−17 cm2 s−1 and DGa = 4.81 × 10−17 cm2 s−1. Furthermore, Fung et al. [8] studied the distribution of Ga and Al near the n-GaN/sapphire interface using X-ray energy-dispersive spectroscopy (XRDS) on a cross-section of the interface plane of n-GaN produced on sapphire using MOCVD. Their experimental results showed that Ga diffused further away from the sapphire substrate, whereas Al diffused less. In a recent work, we revealed that Al diffusion at the GaN/Al2O3 interface has an activation energy of 2.8 eV, implying that the process is dominated by a native defect-assisted substitutional diffusion mechanism rather than pure interstitial movement, whereas the interdiffusion of oxygen from the sapphire substrate into the GaN layer was found to have a substantially lower activation energy of approximately 1.24 eV, which we attributed to an interstitial migration mechanism [9].
Based on our previous study of Al diffusion during the growth of AlGaN/GaN and AlN/GaN heterostructures, in which we confirmed Al tailing into GaN layers and calculated the Al diffusion coefficients DAl under Metal–Organic Vapor Phase Epitaxy (MOVPE) conditions [10], we now investigate further into the fundamental mechanism governing this Al migration. The initial work highlighted that DAl is low (10−14–10−15 cm2 s−1 at 1100 °C) and strongly influenced by the interface quality and defect density, with diffusion being one order of magnitude higher at the highly mismatched AlN/GaN interface compared to AlGaN/GaN (x < 4). However, the simultaneous nature of high-temperature growth and diffusion makes it difficult to precisely isolate the thermodynamic parameters governing Al transport. To separate the diffusion process from growth kinetics and precisely define the controlling mechanism, this study used a systematic thermal annealing treatment of samples. We want to precisely determine the Al diffusion activation energy (Ea) by identifying changes in the Al depth profiles during post-growth annealing at various temperatures. This critical parameter, combined with the slow diffusion rate, will allow us to definitively confirm whether Al diffusion in GaN is mediated. This complete technique is critical for attaining the required control over Al distribution at nitride interfaces to construct high-performance electrical and optoelectronic devices.
The effectiveness of two widely utilized barrier materials, a composite AlGaN layer and a pure AlN layer, is directly compared in the current study. We obtained high-resolution compositional depth profiles following high-temperature thermal annealing using Secondary Ion Mass Spectrometry (SIMS) to measure the thermal stability of these interfaces. The basic activation energies (Ea) for Al diffusion were then computed using the Arrhenius equation after the experimental findings were analyzed using Fick’s diffusion laws to achieve the diffusion coefficients DAl. The aim of this work is to determine the activation energies (Ea) and pre-factors (D0), which will provide the fundamental kinetic parameters needed for optimizing thermally stable GaN device structures, and to quantitatively compare the aluminum diffusion coefficients DAl across the interfaces of the AlGaN/GaN and AlN/GaN heterostructures during thermal annealing using SIMS depth profiling.

2. Materials and Methods

AlN (cap)/GaN/2 × (AlxGa1−xN/GaN) and AlN (cap)/GaN/AlN/GaN heterostructures were grown on a c-plane (0001) sapphire substrate using Metal–Organic Vapor Phase Epitaxy (MOVPE) at atmospheric pressure. Ammonia (NH3), trimethylaluminum (TMAl), and trimethylgallium (TMGa) were used as N, Al, and Ga sources, respectively. Figure 1 shows the schematic representation of the two samples structures (A: AlN (cap)/GaN/2 × (AlxGa1−xN/GaN)) and (B: AlN (cap)/GaN/AlN/GaN). More details on the growth process can be found in Ref. [11]. Four pieces were cut from the as-grown samples and labeled, respectively, as A0, A1, A2, and A3 for structure A, and B0, B1, B2, and B3 for structure B. The A0 and B0 samples were taken as references (as-grown samples); the other samples A1–3 and B1–3 were annealed for 25 min under N2 atmosphere at 1050 °C, 1100 °C, and 1150 °C, respectively. Then, in situ reflectometry measurements were used to investigate the thermal stability of the samples. Secondary Ion Mass Spectrometry (SIMS) measurements were carried out. The compositional depth profiles were obtained using a focused beam (Cs+) primary ion with an energy of 3 keV to monitor the elemental concentration Al versus depth.

3. Results

The growth process of both Sample A (AlGaN/GaN multi-layer structure) and Sample B (GaN/AlN structure) was monitored in situ using laser reflectivity. Figure 2 shows the normalized reflectivity signals (R/R0) for the two different structures tested in this work. The reflectivity trace of Sample A (Figure 2a) shows distinct oscillations, indicating a steady, two-dimensional (2D) growth mode with smooth surfaces. The period and amplitude change as the GaN layers transition to the AlGaN barrier layers. These changes are consistent with the modification of the material’s refractive index and the change in the growth rate of the AlGaN composition when compared to GaN. The persistence of these distinct oscillations during the different phases of GaN/AlGaN suggests a highly stable and reproducible growth mode, which is critical for realizing the multi-layer heterostructure illustrated in Figure 1. The reflectivity curve of Sample B (Figure 2b), which corresponds to the structure with a single, pure AlN barrier, similarly shows well-defined oscillations in the first GaN layer, suggesting an initial 2D development phase. However, after the thick AlN barrier is initiated, the oscillations dampen dramatically and become nearly flat. This substantial dampening and subsequent signal stabilization are expected for the formation of a thick AlN layer, implying an increase in surface roughness or a shift to a three-dimensional (3D) growth component. The abrupt return of clear, high-amplitude oscillations following the addition of the final GaN cap layer demonstrates the technique’s sensitivity to the material being deposited and implies that the GaN can easily smooth the underlying AlN surface.
Figure 3a,b depicts the SIMS profiles of as-grown and annealed samples for both A and B structures. The results show how the thermal annealing temperature affects the concentration of aluminum (Al) within the heterostructures as a function of the depth. As shown in Figure 3a, Sample A0 (as-grown) serves as the reference, with abrupt interfaces and a nearly square-wave profile for Al intensity, which are typical of the initial, well-defined AlN cap, GaN spacers, and AlGaN interlayers (S1 and S2). However, for the annealed samples (A1, A2, and A3) at higher temperatures (1050 °C to 1150 °C), the Al SIMS profile gradually broadens, demonstrating a clear relationship between increased thermal energy and Al diffusion. This diffusion is characterized by two processes, as shown in Sample A2. The terms out-diffusion and in-diffusion are defined by the direction of aluminum (Al) migration relative to the intentionally grown barrier layer. Out-diffusion refers to Al atoms migrating from the barrier layer toward the top surface of the sample. This occurs along the c-axis [0001] direction of the GaN crystal lattice. In-diffusion refers to Al atoms moving from the barrier layer toward the sapphire substrate. This occurs along the -c-axis [000-1] direction. The two sandwiched AlGaN spikes (S1 and S2) were identified. We found 1.9% and 2.3% of Al solid composition in S1 and S2, respectively. The Al solid composition of the AlGaN layer (the peak intensity) remains practically constant, implying that the diffusion mechanism impacts the interfacial areas rather than causing Al redistribution throughout the interlayer volume. The SIMS depth profiles (Figure 3b) for the AlN/GaN structure (Sample B), which has a single AlN interlayer, clearly indicate a thermally activated diffusion process, resulting in significant interface broadening and a significant decrease in the AlN peak concentration (from B0 to B3). The higher loss of Al from the layer when compared to the AlGaN structure is due to the pure AlN (x = 1) acting as a more concentrated Al source.
For a quantitative investigation, the SIMS depth profiles can be modeled using a solution to Fick’s second law, described by the following equation [10]:
C ( x , t ) = C 0   exp ( ( x x 0 ) 2 4 D t )
where C is the Al concentration at a given depth x after annealing time t, C0 is the initial concentration, x0 is the interface position, and D is the diffusion coefficient.
The increase in broadening observed in the profiles A1–A3 and B1–B3 suggests a direct increase in the Al diffusion coefficient (DAl) as the thermal annealing temperature increases. This temperature dependence is crucial for understanding and controlling thermal stability at the AlGaN/GaN and AlN/GaN interfaces. To quantify this process, the SIMS data was successfully fitted using the Gaussian function solution to Fick’s second law, as shown in Figure 4, confirming that the diffusion process can be accurately modeled across various interfaces.
Table 1 summarizes the results of the Al diffusion coefficient for the in-diffusion (Din) and out-diffusion processes (Dout) at the various AlGaN/GaN interfaces of sample (A).
The comprehensive fitting of the Al diffusion coefficients (DAl) across the two AlGaN/GaN interfaces, S1 and S2, indicates a highly complicated and asymmetric thermal instability. The dominant process at the inner AlGaN/GaN interface (S1) is in-diffusion (Din-S1), in which Al atoms migrate into the AlGaN layer at a rate up to ten times faster than out-diffusion at 1050 °C. The thermal diffusion results for Din-S1 show a near-constant behavior across the temperature range studied, with values decreasing slightly from 1.51 × 10−14 cm2 s−1 at 1050 °C to 1.17 × 10−14 cm2 s−1 at 1150 °C. This non-Arrhenius behavior indicates that the process is not simply thermally activated; it is probably dominated by a competing mechanism, such as stress relaxation or a temperature-driven change in native defect concentration that restricts Al mobility at higher temperatures. The inner interface out-diffusion (Dout-S1) is slower but is thermally activated. Conversely, the AlGaN/GaN interface (S2), displays a clear and distinct behavior: out-diffusion (Dout-S2) is the dominant mechanism, showing a rapid rate of between 2.01 × 10−14 cm2 s−1 and 9.50 × 10−14 cm2 s−1, with Dout-S2 being up to 100 times larger than Din-S2. This dominant out-diffusion of Al from the barrier layer into the adjacent GaN layer is the primary cause of interface broadening. Our results reveal a distinct variation in diffusion kinetics between S1 and S2. This difference is attributed to the evolution of the GaN buffer morphology during growth. The first interface (S1) was deposited on a GaN layer prior to full coalescence, a phase where the material contains a higher concentration of grain boundaries and structural defects. According to our previous structural investigation of GaN growth stages, this near-interface region is characterized by a high threading dislocation (TD) density; the total density is estimated to be significantly higher than the values found in fully coalesced films. Specifically, the screw-type dislocation density in the early growth stages can reach 109 cm−2, while edge-type dislocations are even more prevalent, at approximately 1010 cm−2 [12]. These defects act as primary sources for gallium vacancies (VGa) and provide efficient pathways for the substitute migration of Al atoms. As growth proceeds to the second interface (S2), the GaN template reaches full coalescence and transitions to a 2D growth mode, leading to a substantial reduction in the density of these structural pathways. For fully coalesced layers, the dislocation density effectively drops by nearly an order of magnitude, with screw-type densities falling to 108 cm−2. This reduction explains the observed stability and lower diffusion rates at the S2 interface compared to the S1 region. Furthermore, the enhanced Al diffusion toward the top AlN cap (Dout-S2) compared to the limited diffusion toward the sapphire substrate (Din-S2) can be attributed to the strain gradient induced by the AlN cap. This strain gradient influences atomic diffusion by introducing a stress-assisted flux that enhances migration toward layers with larger lattice mismatch. The top AlN cap exerts a stronger compressive strain on the adjacent GaN layers compared to the strain regime near the sapphire substrate, thereby favoring upward Al migration in the second AlGaN layer (S2) [13].
The diffusion determined from these fits was then analyzed using the Arrhenius relation, D = D 0 exp ( E a K B T ) , as shown in Figure 5, where D0 is a pre-factor, Ea is the activation energy, T is the annealing temperature, and KB is the Boltzmann constant, confirming that all three processes, Dout-S1, Din-S2 and Dout-S2, are thermally activated.
The extracted activation energies (Ea) and pre-factors (D0) provide the microscopic interpretation of the diffusion mechanism. The Dout-S2 (out-diffusion from AlGaN) is characterized by the following equation: D o u t - S 2 = 4.03 × 10 5   cm 2 s 1 exp ( 2.44   e V K B T ) . The relatively low Ea = 2.44 eV suggests a defect-mediated mechanism, likely via Ga (VGa) and N (VN) vacancies, which are easily formed in the strained AlGaN layer [14,15]. The high D0 = 4.03 × 10−5 cm2 s−1 (the largest at the S2 interface) is the rate-determining factor for Al out-diffusion, indicating a significantly higher concentration of (VGa) defects within the AlGaN layer compared to the GaN layer. The Din-S2 (in-diffusion into AlGaN) is described by D i n - S 2 = 5.33 × 10 8   cm 2 s 1 exp ( 2.21   e V K B T ) . The inner interface out-diffusion (Dout-S1) follows the standard Arrhenius law: D o u t - S 1 = 3.09 × 10 5   cm 2 s 1 exp ( 2.70   e V K B T ) .
The activation energies Ea = 2.44 eV, Ea = 2.21 eV, and Ea = 2.70 eV are comparable and close to the 2.6 eV migration barrier reported for N vacancies in GaN [15], implying that the fundamental microscopic jump mechanism is a native defect-assisted substitutional diffusion. These low Ea values, when compared to the [3–5 eV] range for Al diffusion [9,15], are inconsistent with a simple interstitial mechanism and may thus be ruled out. Our findings support the basic principle that the local distribution and migration rate of native defects influence atomic behavior and diffusion rate. The quantitative analysis of the SIMS profiles indicates that aluminum (Al) diffusion occurs not only at the AlGaN/GaN interface, but also at the deeper GaN/sapphire interface, as illustrated in Figure 5. Diffusion at the substrate interface is defined by the following equation: D A l - S a p p h i r e = 4.85 × 10 3   cm 2 s 1 exp ( 3.34   e V K B T ) . The quantitative analysis of Al diffusion from the sapphire (Al2O3) substrate into the GaN buffer layer yielded a diffusion coefficient of DAl = 3.18 × 10−15 cm2 s−1 at 1100 °C and an activation energy (Ea) of 3.34 eV. This value is precisely within the high [3–5 eV] range typically expected for Al diffusion in GaN, demonstrating that the process is highly thermally activated and must overcome a significant energy barrier. This high Ea significantly supports the claim that Al diffusion in GaN is slow and not controlled by a simple interstitial mechanism. Furthermore, our measured Ea of 3.34 eV is consistent with an investigation in the literature into Al diffusion from sapphire to GaN, which found an Ea of 3.35 eV [6]. This activation value is quite similar to the reported thermal migration barriers for GaN thermal degradation (3.2 eV), supporting the significance of native defects in Al migration. According to Deppe et al., the self-diffusion of column III lattice atoms in semiconductors has to proceed via native crystal defects, and the overall diffusivity is determined by the native defect migration rate and concentration [16]. Ono et al. observed this concept, reporting that the local distribution of vacancies in the crystal controls Al atomic behavior during diffusion [17]. Despite the consistency in the Ea (the energy barrier), our measured diffusion coefficient at 1100 °C is two orders of magnitude lower (DAl = 3.18 × 10−15 cm2 s−1) than the (DAl = 4.8 × 10−14 cm2 s−1) extrapolated from Haneda et al. [6]. The lower DAl in our work indicates that the GaN/sapphire interface is less dislocated than the material examined by Haneda et al. Our estimated pre-factor (D0 = 4.85 × 10−3 cm2 s−1) for the GaN/sapphire interface, which is in fact two orders of magnitude greater than those of the AlGaN interfaces, reflects this. However, the activation energy (Ea) also has a significant influence on the diffusion coefficient DAl. According to our findings, Ea is significantly greater for the sapphire interface (3.34 eV) than for the AlGaN/GaN interfaces (2.2–2.7 eV). The strong Al-O bonds in the sapphire (Al2O3) lattice, which need more thermal energy to break than the Al-N bonds in the strained AlGaN layer, are the cause of this high barrier. This larger energy barrier acts as the dominant limiting factor, resulting in a lower diffusion coefficient (DAl) despite the higher defect concentration at the sapphire interface.
Table 2 summarizes the results of Al diffusion coefficients for in-diffusion (Din) and out-diffusion processes (Dout) from sample (B) AlN/GaN interfaces.
The diffusion coefficients for the annealed samples (B1–B3) are often lower than that for the as-grown sample (B0). This emphasizes the distinction between diffusion during MOVPE growth and during post-growth thermal annealing. Unlike the complex behavior seen at the AlGaN/GaN interfaces, Din and Dout in the AlN/GaN structure increase monotonically when the annealing temperature rises from 1050 °C to 1150 °C. This temperature dependence implies that both diffusion processes are predominantly controlled by an Arrhenius-type thermally activated mechanism. The quantitative analysis of the structure (B), supported by the Arrhenius plot (Figure 6), reveals a shift in the kinetic control of the diffusion asymmetry, with Din-AlN being more pronounced than Dout-AlN.
The in-diffusion process (Din-AlN) is described by D i n - A l N = 8.11 × 10 2   cm 2 s 1 exp ( 3.66   e V K B T ) . The out-diffusion process Dout-AlN) is described by D o u t - A l N = 1.09 × 10 2   cm 2 s 1 exp ( 4.59   e V K B T ) . In this AlN/GaN structure, the Ea values (3.66 eV for Din-AlN and 4.59 eV for Dout-AlN) are significantly higher than those found in the AlGaN/GaN structure (2.2–2.4 eV), indicating a much more stable interface with a higher energy barrier required for Al diffusion. This enhanced stability is most likely due to the stronger binding strength and probably lower defect concentration in pure AlN compared to the AlGaN layer. The high Ea of 4.59 eV severely hinders the process of Al out-diffusion from the AlN layer, suggesting that the mechanism for Al escape from the concentrated AlN layer into the GaN requires overcoming a significant energy barrier, possibly due to a reduction in the required mobile defects at the boundary. In contrast, Al in-diffusion is promoted by a significantly lower Ea of 3.66 eV and a higher D0 (8.11 × 10−2 cm2 s−1), which is nearly eight times larger than the D0 for out-diffusion (1.09 × 10−2 cm2 s−1). The stress state at the bottom interface (S1, in-diffusion) differs from the top interface (S2, out-diffusion) as the layer relaxes. A higher activation energy for out-diffusion (Ea = 4.59 eV) indicates that the Al atoms are more bound in the AlN lattice near the surface, requiring more thermal energy to break their bonds and initiate migration. There is typically a higher density of dislocations near the first AlN/GaN interface compared to the top of the layer. These defects effectively lower the average energy barrier for Al atoms to jump, resulting in a lower Ea of 3.66 eV.
The strong asymmetry observed in the AlN/GaN structure is determined by the combination of a lower Ea and a greater D0, making Al in-diffusion the predominant route for interfacial mixing. This finding emphasizes that the kinetic control of Al diffusion is significantly altered by the particular composition (AlN vs. AlGaN) and the corresponding strain or defect distribution, necessitating careful attention when building thermally stable high-power electronic devices. Indeed, the AlN layer thickness significantly exceeds the critical thickness (~10 nm), resulting in a large density of misfit and threading dislocations as well as significant strain relaxation. In contrast to the ideal lattice, these defects offer high-diffusivity paths that promote Al migration. As a result, the mismatched AlN/GaN interface has a greater diffusion coefficient (DAl) than the AlGaN/GaN interface. Higher pre-factors (D0) further support this, indicating that dislocations serve as sources of gallium vacancies (VGa), which raise the frequency of atomic jumps. Ultimately, while the Al-N bond strength imposes a high activation energy (Ea), these growth-induced defects dominate the intermixing kinetics, explaining why AlN exhibits a higher D0 than the AlGaN layer. The improved intrinsic thermal stability of the pure AlN layer is confirmed by the significant rise in (Ea), by more than 1.2 eV when compared to AlGaN, which is probably caused by its stronger Al-N bonds and distinct equilibrium defect concentration. Our findings verify that the AlN structure is maintained by a high energy barrier (Ea), leading to noticeably better thermal stability for applications requiring high-temperature operation. These findings have important implications for the design of AlGaN/GaN HEMTs utilizing AlN interlayers. To improve 2DEG mobility, these interlayers must be kept thin enough to avoid reaching the critical relaxation threshold. Our data shows that once the layer relaxes and develops defects, these defects create highly diffusive pathways. In this state, the many high-speed pathways created by these defects (high D0) overcome the resistance of the strong chemical bonds, allowing atoms to migrate across the interface easily. Consequently, a relaxed AlN layer promotes faster intermixing across the interface. This causes interfacial intermixing and weakens the 2DEG confinement, which can compromise the device’s performance during high-temperature fabrication.

4. Conclusions

This study demonstrates that aluminum (Al) diffusion in both AlGaN/GaN and AlN/GaN heterostructures is a substitutional process mediated by native point defects. The AlGaN/GaN structure is characterized by a relatively low activation energy (Ea) of 2.1–2.4 eV and a large pre-factor (D0 = 4.03 × 10−5 cm2 s−1), indicating lower thermal stability. Diffusion at these interfaces is highly asymmetric; out-diffusion is enhanced toward the top AlN cap due to a strain gradient that favors migration toward layers with larger lattice mismatch. The pure AlN/GaN interface exhibits significantly improved intrinsic thermal stability, with Ea values increasing by more than 1.2 eV compared to AlGaN. This high energy barrier (Ea = 3.66 eV for in-diffusion and 4.59 eV for out-diffusion) is attributed to stronger Al-N bonds and a higher energy requirement for atomic jumps. Al diffusion from the sapphire substrate into the GaN buffer yields an Ea of 3.34 eV. While defect-rich, this interface remains limited by the strong Al-O bonds in the sapphire lattice, which require more thermal energy to break than Al-N bonds in strained interlayers. Finally, the high-energy barrier provided by pure AlN layers is critical for maintaining interfacial integrity in high-performance, high-temperature GaN electronic devices.

Author Contributions

Study conception and design: J.L. and A.B.; epitaxial growth: J.L. and A.B.; characterization of samples: J.L. and A.B.; and analysis and interpretation of results: J.L., A.B., and M.F.H. All authors have read and agreed to the published version of the manuscript.

Funding

This work was funded by the Deanship of Graduate Studies and Scientific Research at Jouf University under grant No. (DGSSR-2025-02-01597).

Data Availability Statement

All data generated or analyzed during this study are included in this published article.

Conflicts of Interest

We have no competing interest to declare.

References

  1. Ajayan, J.; Sreejith, S. AlGaN/GaN High electron Mobility Transistor (HEMT) based radio frequency power amplifiers for future wireless communication transmitters: Exciting prospects and challenges. Microelectron. Eng. 2025, 299, 112342. [Google Scholar] [CrossRef]
  2. Biswas, D.; Tsuboi, T.; Egawa, T. GaN/InGaN double quantum well (DQW) gate structure for GaN-on-Si based normally-off AlGaN/GaN high electron mobility transistors (HEMTs). Mater. Sci. Semicond. Process. 2021, 135, 106109. [Google Scholar] [CrossRef]
  3. Kim, H.-Y.; Horng, R.-H.; Amano, H.; Seong, T.-Y. Advancements in ohmic contact technology for AlGaN/GaN high-electron-mobility transistors. Prog. Quantum Electron. 2025, 102, 100578. [Google Scholar] [CrossRef]
  4. Cai, D.; Chen, X.; Xu, H.; Lin, N.; Xu, F.; Chen, H. Abruptness Improvement of the Interfaces of AlGaN/GaN Superlattices by Cancelling Asymmetric Diffusion. Jpn. J. Appl. Phys. 2013, 52, 08JB30. [Google Scholar] [CrossRef]
  5. Li, S.-Y.; Zhu, J. Al diffusion in GaN buffer layer during the growth of GaN film. J. Cryst. Growth 1999, 203, 473–480. [Google Scholar] [CrossRef]
  6. Haneda, H.; Ohgaki, T.; Sakaguchi, I.; Ryoken, H.; Ohashi, N.; Yasumori, A. SIMS analysis of impurities and nitrogen isotopes in gallium nitride thin films. Appl. Surf. Sci. 2006, 252, 7265–7268. [Google Scholar] [CrossRef]
  7. Kang, S.; Park, H.J.; Kim, T.; Dann, T.; Kryliouk, O.; Anderson, T. The influence of interdiffusion on strain energy in the GaN–sapphire system. Phys. Stat. Sol. C 2005, 2, 2420–2423. [Google Scholar] [CrossRef]
  8. Fung, S.; Xiaoliang, X.; Youwen, Z. Gallium/aluminum interdiffusion between n-GaN and sapphire. J. Appl. Phys. 1998, 84, 2355–2357. [Google Scholar] [CrossRef]
  9. Chaaben, N.; Laifi, J.; Bouazizi, H.; Saidi, C.; Bchetnia, A.; El Jani, B. Study of Al diffusion in GaN during metal organic vapor phase epitaxy of AlGaN/GaN and AlN/GaN structures. Mater. Sci. Semicond. Process. 2016, 42, 359–363. [Google Scholar] [CrossRef]
  10. Bchetnia, A.; Souissi, M.; Rebey, A.; El Jani, B. Diffusion of vanadium in GaAs. J. Cryst. Growth 2004, 270, 376–379. [Google Scholar] [CrossRef]
  11. Laifi, J.; Bchetnia, A.; Al-Hweiriny, A.A.; Esaahli, F.H. Study of impurities diffusion in Al2O3/GaN/AlxGa1-xN hetero-structures. J. Mater. Sci. Mater. Electron. 2023, 34, 305. [Google Scholar] [CrossRef]
  12. Bchetnia, A.; Touré, A.; Lafford, T.A.; Benzarti, Z.; Halidou, I.; Habchi, M.M.; El Jani, B. Effect of thickness on structural and electrical properties of GaN films grown on SiN-treated sapphire. J. Cryst. Growth 2007, 380, 283–289. [Google Scholar] [CrossRef]
  13. Kamarundzaman, A.; Abu Bakar, A.S.; Azman, A.; Omar, A.-Z.; Talik, N.A.; Supangat, A.; Majid, W.H.A. Impact of sandwiched strain periodic multilayer AlN/GaN on strain and crystalline quality of a-plane GaN. Sci. Rep. 2021, 11, 9724. [Google Scholar] [CrossRef] [PubMed]
  14. Hautakangas, S.; Oila, J.; Alatalo, M.; Saarinen, K. Vacancy Defects as Compensating Centers in Mg-Doped GaN. Phys. Rev. Lett. 2003, 90, 137402. [Google Scholar] [CrossRef] [PubMed]
  15. Limpijumnong, S.; Van de Walle, C.G. Diffusivity of native defects in GaN. Phys. Rev. B 2004, 69, 035207. [Google Scholar] [CrossRef]
  16. Deppe, D.G.; Holonyak, N., Jr. Atom diffusion and impurity-induced layer disordering in quantum well III-V semiconductor heterostructures. J. Appl. Phys. 1988, 64, R93–R113. [Google Scholar] [CrossRef]
  17. Ono, H.; Ikarashi, N.; Baba, T. Al diffusion into GaAs from monatomic AlAs layers investigated by localized vibrational modes. Appl. Phys. Lett. 1995, 66, 601–603. [Google Scholar] [CrossRef]
Figure 1. Schematic diagrams of GaN heterostructures grown on sapphire substrates: (a) AlN (cap)/GaN/2 × (AlxGa1−xN/GaN), and (b) AlN (cap)/GaN/AlN/GaN. (c) Schematic diagram illustrating the in-diffusion and out-diffusion mechanisms in the AlGaN/GaN/sapphire heterostructure. The blue and red arrows represent the direction of in-diffusion (towards the substrate) and out-diffusion (towards the surface), respectively.
Figure 1. Schematic diagrams of GaN heterostructures grown on sapphire substrates: (a) AlN (cap)/GaN/2 × (AlxGa1−xN/GaN), and (b) AlN (cap)/GaN/AlN/GaN. (c) Schematic diagram illustrating the in-diffusion and out-diffusion mechanisms in the AlGaN/GaN/sapphire heterostructure. The blue and red arrows represent the direction of in-diffusion (towards the substrate) and out-diffusion (towards the surface), respectively.
Nanomaterials 16 00125 g001
Figure 2. In situ reflectivity (black line) and growth temperature (red line) as a function of real time during the deposition of (a) AlN (cap)/GaN/2 × (AlxGa1−xN/GaN) and (b) AlN (cap)/GaN/AlN/GaN.
Figure 2. In situ reflectivity (black line) and growth temperature (red line) as a function of real time during the deposition of (a) AlN (cap)/GaN/2 × (AlxGa1−xN/GaN) and (b) AlN (cap)/GaN/AlN/GaN.
Nanomaterials 16 00125 g002
Figure 3. (a) SIMS analysis of Al concentration of the as-grown A0 sample and upon thermal annealing at different temperatures (A1–A3). (b) SIMS analysis of Al concentration of the as-grown B0 sample and upon thermal annealing at different temperatures (B1–B3).
Figure 3. (a) SIMS analysis of Al concentration of the as-grown A0 sample and upon thermal annealing at different temperatures (A1–A3). (b) SIMS analysis of Al concentration of the as-grown B0 sample and upon thermal annealing at different temperatures (B1–B3).
Nanomaterials 16 00125 g003
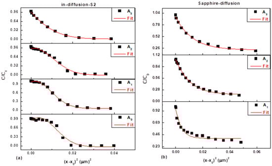
Figure 4. (a) Al SIMS depth profiles for the different AlGaN/GaN interfaces for Sample A before and after thermal annealing. (b) Al SIMS depth profiles for the different GaN/Al2O3 interfaces for Sample A after thermal annealing. Black lines represent the experimental Al SIMS data. The red line represents the best fit of the profile broadening using the Gaussian function model.
Figure 4. (a) Al SIMS depth profiles for the different AlGaN/GaN interfaces for Sample A before and after thermal annealing. (b) Al SIMS depth profiles for the different GaN/Al2O3 interfaces for Sample A after thermal annealing. Black lines represent the experimental Al SIMS data. The red line represents the best fit of the profile broadening using the Gaussian function model.
Nanomaterials 16 00125 g004
Figure 5. Arrhenius plot of the Al diffusion constant, Dout-S1, Din-S2, Dout-S2, and DAl-sapphire, for Sample A.
Figure 5. Arrhenius plot of the Al diffusion constant, Dout-S1, Din-S2, Dout-S2, and DAl-sapphire, for Sample A.
Nanomaterials 16 00125 g005
Figure 6. Arrhenius plot of the Al diffusion constant Din and Dout for Sample B.
Figure 6. Arrhenius plot of the Al diffusion constant Din and Dout for Sample B.
Nanomaterials 16 00125 g006
Table 1. Al diffusion coefficients (DAl) extracted from the Gaussian fits for the AlGaN/GaN heterostructure (Sample A).
Table 1. Al diffusion coefficients (DAl) extracted from the Gaussian fits for the AlGaN/GaN heterostructure (Sample A).
SampleTann (°C)Din-S1 (cm2 s−1)Dout-S1 (cm2 s−1)Din-S2 (cm2 s−1)Dout-S2 (cm2 s−1)
A0As-Grown1.35 × 10−141.46 × 10−157.73 × 10−171.26 × 10−16
A110501.51 × 10−141.51 × 10−152.18 × 10−162.01 × 10−14
A211001.43 × 10−144.37 × 10−153.05 × 10−164.52 × 10−14
A311501.17 × 10−147.93 × 10−158.62 × 10−169.50 × 10−14
Table 2. Al diffusion coefficients (DAl) extracted from the Gaussian fits for the AlN/GaN heterostructure (Sample B).
Table 2. Al diffusion coefficients (DAl) extracted from the Gaussian fits for the AlN/GaN heterostructure (Sample B).
SampleTann (°C)Din (cm2 s−1)Dout (cm2 s−1)
B0As-Grown1.01 × 10−144.99 × 10−15
B110509.58 × 10−163.34 × 10−16
B211003.07 × 10−151.08 × 10−15
B311509.12 × 10−155.69 × 10−15
Disclaimer/Publisher’s Note: The statements, opinions and data contained in all publications are solely those of the individual author(s) and contributor(s) and not of MDPI and/or the editor(s). MDPI and/or the editor(s) disclaim responsibility for any injury to people or property resulting from any ideas, methods, instructions or products referred to in the content.

Share and Cite

MDPI and ACS Style

Laifi, J.; Hasaneen, M.F.; Bchetnia, A. SIMS Investigation of Al Diffusion Across Interfaces in AlGaN/GaN and AlN/GaN Heterostructures. Nanomaterials 2026, 16, 125. https://doi.org/10.3390/nano16020125

AMA Style

Laifi J, Hasaneen MF, Bchetnia A. SIMS Investigation of Al Diffusion Across Interfaces in AlGaN/GaN and AlN/GaN Heterostructures. Nanomaterials. 2026; 16(2):125. https://doi.org/10.3390/nano16020125

Chicago/Turabian Style

Laifi, Jihed, Mohamed Fathy Hasaneen, and Amor Bchetnia. 2026. "SIMS Investigation of Al Diffusion Across Interfaces in AlGaN/GaN and AlN/GaN Heterostructures" Nanomaterials 16, no. 2: 125. https://doi.org/10.3390/nano16020125

APA Style

Laifi, J., Hasaneen, M. F., & Bchetnia, A. (2026). SIMS Investigation of Al Diffusion Across Interfaces in AlGaN/GaN and AlN/GaN Heterostructures. Nanomaterials, 16(2), 125. https://doi.org/10.3390/nano16020125

Note that from the first issue of 2016, this journal uses article numbers instead of page numbers. See further details here.

Article Metrics

Back to TopTop