Assessing Hydrolytic Activity of Surfactant-Based Nanozymes: Methodological and Kinetic Considerations
Abstract
1. Introduction
2. The Dynamic Properties of Amphiphilic Aggregates (Micelles and Vesicles)
3. The Interaction of Amphiphilic Aggregates with Neutral or Charged Molecules and with Ions
4. Hydrolytic Activity in Amphiphilic Aggregates
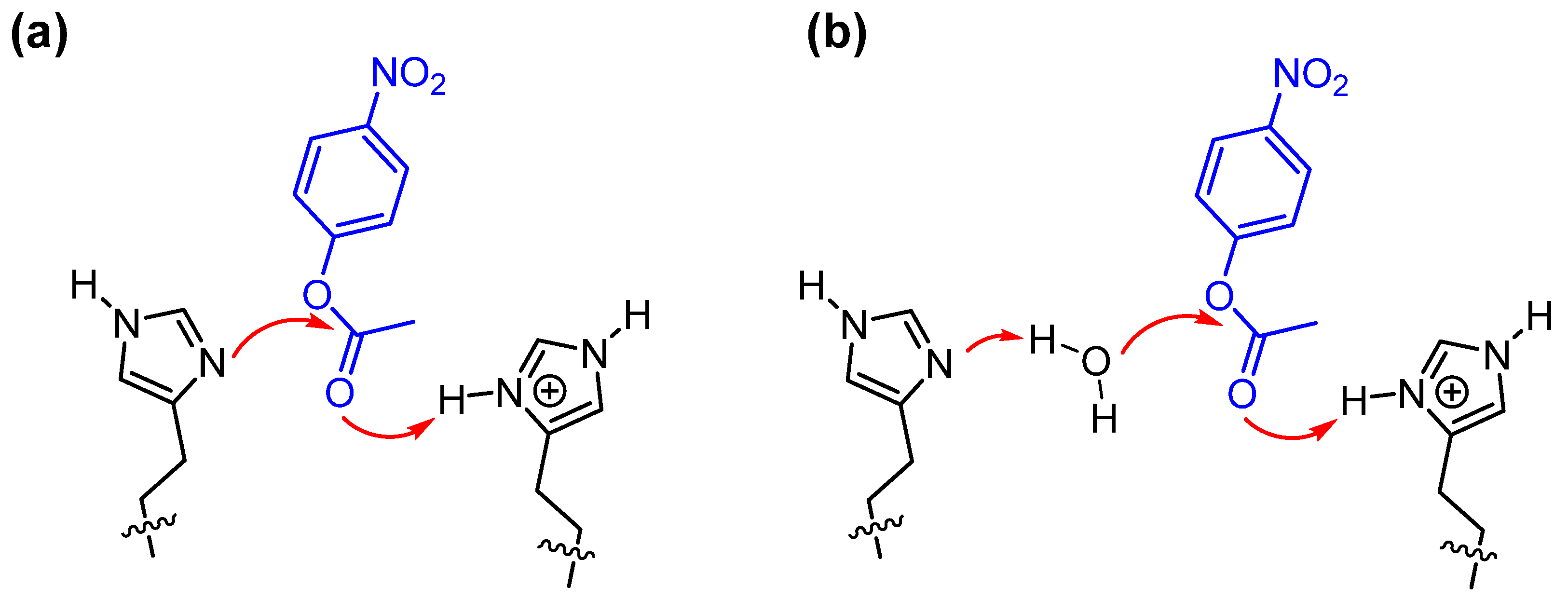
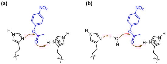
4.1. Overview of the Mechanisms of Hydrolysis of Carboxylic and Phosphoric Acid Derivatives
4.2. Catalysis with Non-Functional Aggregates: Altering the Local pH
- A.
- Using excess substrate (i.e., classical Michaelis-Menten conditions)
- (a)
- Maximum caution must be taken to avoid altering the structure of the aggregate by using excess substrate. To avoid this, typically, relatively large concentrations of amphiphile are used. This implies that the reaction is not studied under optimal conditions, as inhibition by counterion will be present (see above).
- (b)
- The Michaelis-Menten equation will provide (Vmax)total and KM corresponding to the transformation and binding of a number of substrates larger than 1 (possibly up to two orders of magnitude), thus overestimating the intrinsic activity of the system.
- (c)
- The activity value can be (at least in part) corrected by using the [amphiphile] instead of [aggregate] when determining kcat. This is an arbitrary and not a rigorous correction.
- (d)
- The equations to be used will be (2) and (3):
- B.
- Using excess amphiphile
- (a)
- The equivalent of the Michaelis-Menten equation should be (5). Note that in this case, since [substrate] is kept constant, the observed rate constant and not the initial rate is determined. This means that the entire kinetic must be followed to obtain the rate constant.kobs = kcat ([amphiphile] − cac)/(([amphiphile] − cac) + KM)
- (b)
- However, under these conditions, saturation will never be reached (unless a cationic amphiphile is used with OH− as the counterion) as the curve will go through a maximum, and Equation (5) can hardly be used. The implication is that KM (or an affinity constant) should be determined independently.
- (c)
- One may stop at the maximum in collecting rate constants. However, equating kobs at the maximum to kcat will underestimate the value of this latter because of the competing/inhibitory effect of the counterion and the use of the amphiphile concentration instead of that of the aggregate.
4.3. Catalysis with Functional Aggregates: Altering the Hydrolytic Pathway
4.4. Co-Aggregates of Functional/Non-Functional Systems
5. Examples of the Analysis of the Activity of Hydrolytic Reactions Catalyzed by Surfactant Aggregates
5.1. Non-Functional Aggregates
5.2. Functional Aggregates with the Formation of an Intermediate
5.3. Functional Aggregates Without the Formation of an Intermediate
5.4. Functional Aggregates Where the Substrate Plays a Role in the Aggregation Process
6. Conclusions
Author Contributions
Funding
Data Availability Statement
Conflicts of Interest
References
- Rieu, T.; Osypenko, A.; Lehn, J.-M. Triple Adaptation of Constitutional Dynamic Networks of Imines in Response to Micellar Agents: Internal Uptake–Interfacial Localization–Shape Transition. J. Am. Chem. Soc. 2024, 146, 9096–9111. [Google Scholar] [CrossRef] [PubMed]
- Virdi, J.K.; Dusunge, A.; Handa, S. Aqueous Micelles as Solvent, Ligand, and Reaction Promoter in Catalysis. JACS Au 2024, 4, 301–317. [Google Scholar] [CrossRef]
- Compagno, N.; Profeta, R.; Scarso, A. Recent Advances in the Synthesis of Active Pharmaceutical and Agrochemical Ingredients in Micellar Media. Curr. Opin. Green Sustain. Chem. 2023, 39, 100729. [Google Scholar] [CrossRef]
- Lorenzetto, T.; Fabris, F.; Scarso, A. Recent Metallosurfactants for Sustainable Catalysis in Water. Curr. Opin. Colloid Interface Sci. 2023, 64, 101689. [Google Scholar] [CrossRef]
- Mattiello, S.; Ghiglietti, E.; Zucchi, A.; Beverina, L. Selectivity in Micellar Catalysed Reactions: The Role of Interfacial Dipole, Compartmentalisation, and Specific Interactions with the Surfactants. Curr. Opin. Colloid Interface Sci. 2023, 64, 101681. [Google Scholar] [CrossRef]
- Lipshutz, B.H. Nanomicelle-Enabled Chemoenzymatic Catalysis: Clean Chemistry in “Dirty” Water. Chem Catal. 2023, 3, 100458. [Google Scholar] [CrossRef]
- Hassan, M.; Al-Hazmi, S.M.; Alhagri, I.A.; Alhakimi, A.N.; Dahadha, A.; Al-Dhoun, M.; Batineh, Y. Micellar Catalysis of Chemical Reactions by Mixed Surfactant Systems and Gemini Surfactants. Asian J. Chem. 2021, 33, 1471–1480. [Google Scholar] [CrossRef]
- Szutkowski, K.; Kołodziejska, Ż.; Pietralik, Z.; Zhukov, I.; Skrzypczak, A.; Materna, K.; Kozak, M. Clear Distinction between CAC and CMC Revealed by High-Resolution NMR Diffusometry for a Series of Bis-Imidazolium Gemini Surfactants in Aqueous Solutions. RSC Adv. 2018, 8, 38470–38482. [Google Scholar] [CrossRef]
- Ghosh, S.; Ray, A.; Pramanik, N. Self-Assembly of Surfactants: An Overview on General Aspects of Amphiphiles. Biophys. Chem. 2020, 265, 106429. [Google Scholar] [CrossRef]
- Nagarajan, R.; Ruckenstein, E. Aggregation of Amphiphiles as Micelles or Vesicles in Aqueous Media. J. Colloid Interface Sci. 1979, 71, 580–604. [Google Scholar] [CrossRef]
- Fendler, J.H. Atomic and Molecular Clusters in Membrane Mimetic Chemistry. Chem. Rev. 1987, 87, 877–899. [Google Scholar] [CrossRef]
- Verbeeck, A.; Voortmans, G.; Jackers, C.; Schryver, F.C.D. Characterization and Stabilization of Inverse Micelles. Langmuir 1989, 5, 766–776. [Google Scholar] [CrossRef]
- Arsene, M.-L.; Răut, I.; Călin, M.; Jecu, M.-L.; Doni, M.; Gurban, A.-M. Versatility of Reverse Micelles: From Biomimetic Models to Nano (Bio)Sensor Design. Processes 2021, 9, 345. [Google Scholar] [CrossRef]
- Watson, H. Biological Membranes. Essays Biochem. 2015, 59, 43–69. [Google Scholar] [CrossRef] [PubMed]
- Tucker, I.; Penfold, J.; Thomas, R.K.; Grillo, I. Monomer–Aggregate Exchange Rates in Dialkyl Chain Cationic–Nonionic Surfactant Mixtures. Langmuir 2009, 25, 2661–2666. [Google Scholar] [CrossRef] [PubMed]
- Richens, J.L.; Tyler, A.I.I.; Barriga, H.M.G.; Bramble, J.P.; Law, R.V.; Brooks, N.J.; Seddon, J.M.; Ces, O.; O’Shea, P. Spontaneous Charged Lipid Transfer between Lipid Vesicles. Sci. Rep. 2017, 7, 12606. [Google Scholar] [CrossRef]
- Blokzijl, W.; Engberts, J.B. Hydrophobic Effects. Opinions and Facts. Angew. Chem. Int. Ed. Engl. 1993, 32, 1545–1579. [Google Scholar] [CrossRef]
- Sun, Q. The Hydrophobic Effects: Our Current Understanding. Molecules 2022, 27, 7009. [Google Scholar] [CrossRef]
- Bunton, C.A.; Nome, F.; Quina, F.H.; Romsted, L.S. Ion Binding and Reactivity at Charged Aqueous Interfaces. Acc. Chem. Res. 1991, 24, 357–364. [Google Scholar] [CrossRef]
- Talele, P.; Choudhary, S.; Kishore, N. Understanding Thermodynamics of Drug Partitioning in Micelles and Delivery to Proteins: Studies with Naproxen, Diclofenac Sodium, Tetradecyltrimethylammonium Bromide, and Bovine Serum Albumin. J. Chem. Thermodyn. 2016, 92, 182–190. [Google Scholar] [CrossRef]
- Jarmoskaite, I.; AlSadhan, I.; Vaidyanathan, P.P.; Herschlag, D. How to Measure and Evaluate Binding Affinities. Elife 2020, 9, e57264. [Google Scholar] [CrossRef]
- Garrido, P.F.; Rodríguez-Dafonte, P.; García-Río, L.; Piñeiro, A. Simple Approximation for Aggregation Number Determination by Isothermal Titration Calorimetry: STAND-ITC. Langmuir 2021, 37, 11781–11792. [Google Scholar] [CrossRef]
- March, J. Advanced Organic Chemistry, 4th ed.; John Wiley: New York, NY, USA, 1992; pp. 378–386. [Google Scholar]
- Ingold, K. Structure and Mechansim in Organic Chemistry, 2nd ed.; Cornell University Press: Ithaca, NY, USA, 1969; pp. 1129–1131. [Google Scholar]
- Carter, P.; Wells, J.A. Dissecting the Catalytic Triad of a Serine Protease. Nature 1988, 332, 564–568. [Google Scholar] [CrossRef]
- Diez-Castellnou, M.; Martinez, A.; Mancin, F. Chapter Four Phosphate Ester Hydrolysis: The Path from Mechanistic Investigation to the Realization of Artificial Enzymes. Adv. Phys. Org. Chem. 2017, 51, 129–186. [Google Scholar] [CrossRef]
- Zammataro, A.; Santonocito, R.; Pappalardo, A.; Sfrazzetto, G.T. Catalytic Degradation of Nerve Agents. Catalysts 2020, 10, 881. [Google Scholar] [CrossRef]
- Sulaiman, I.S.C.; Chieng, B.W.; Pojol, F.E.; Ong, K.K.; Rashid, J.I.A.; Yunus, W.M.Z.W.; Kasim, N.A.M.; Halim, N.A.; Noor, S.A.M.; Knight, V.F. A Review on Analysis Methods for Nerve Agent Hydrolysis Products. Forensic Toxicol. 2020, 38, 297–313. [Google Scholar] [CrossRef]
- Kirby, A.J.; Nome, F. Fundamentals of Phosphate Transfer. Acc. Chem. Res. 2015, 48, 1806–1814. [Google Scholar] [CrossRef]
- Kamerlin, S.C.L.; Wilkie, J. The Role of Metal Ions in Phosphate Ester Hydrolysis. Org. Biomol. Chem. 2007, 5, 2098–2108. [Google Scholar] [CrossRef] [PubMed]
- Palermo, G.; Cavalli, A.; Klein, M.L.; Alfonso-Prieto, M.; Peraro, M.; De Vivo, M. Catalytic Metal Ions and Enzymatic Processing of DNA and RNA. Acc. Chem. Res. 2015, 48, 220–228. [Google Scholar] [CrossRef] [PubMed]
- Hollfelder, F.; Kirby, A.J.; Tawfik, D.S. On the Magnitude and Specificity of Medium Effects in Enzyme-like Catalysts for Proton Transfer. J. Org. Chem. 2001, 66, 5866–5874. [Google Scholar] [CrossRef] [PubMed]
- Romsted, L.R.; Cordes, E.H. Secondary Valence Force Catalysis. VII. Catalysis of Hydrolysis of p-Nitrophenyl Hexanoate by Micelle-Forming Cationic Detergents. J. Am. Chem. Soc. 1968, 90, 4404–4409. [Google Scholar] [CrossRef]
- Quina, F.H.; Politl, M.J.; Cuccovia, I.M.; Baumgarten, E.; Martlns-Franchetti, S.M.; Chalmovich, H. Ion Exchange in Micellar Solutions. 4. “Buffered” Systems. J. Phys. Chem. 1980, 84, 361–365. [Google Scholar] [CrossRef]
- Bunton, C.A. Micellar Catalysis and Inhibition. Pure Appl. Chem. 1977, 49, 969–979. [Google Scholar] [CrossRef]
- Brandariz, I.; Iglesias, E. Micellar Effects on Aromatic Esters Hydrolysis. Colloids Surf. A Physicochem. Eng. Asp. 2014, 454, 180–188. [Google Scholar] [CrossRef]
- Al-Lohedan, H.A.; Al-Blewi, F.F.; Rafiquee, M.Z.A.; Issa, Z.A. Micellar Effects upon the Rate of Alkaline Hydrolysis of Triflusal. J. Mol. Liq. 2015, 206, 321–327. [Google Scholar] [CrossRef]
- Acharjee, A.; Rakshit, A.; Chowdhury, S.; Saha, B. Micelle Catalysed Conversion of ‘on Water’ Reactions into ‘in Water’ One. J. Mol. Liq. 2021, 321, 114897. [Google Scholar] [CrossRef]
- Romsted, L.S.; Bunton, C.A.; Yao, J. Micellar Catalysis, a Useful Misnomer. Curr. Opin. Colloid Interface Sci. 1997, 2, 622–628. [Google Scholar] [CrossRef]
- Fendler, J.H.; Fendler, E.J. Catalysis in Micellar and Macromolecular Systems; Academic Press: New York, NY, USA, 1975. [Google Scholar]
- Moss, R.A.; Nahas, R.C.; Ramaswami, S. Bifunctional Micellar Catalysis. In Micellization, Solubilization, and Microemulsions; Mittal, K.L., Ed.; Springer: Boston, MA, USA, 1977; pp. 603–615. [Google Scholar] [CrossRef]
- Sudhölter, E.J.R.; van de Langkruis, G.B.; Engberts, J.B.F.N.; Micelles. Structure and Catalysis. Recl. Trav. Chim. PaysBas 1980, 99, 73–82. [Google Scholar] [CrossRef]
- Kunitake, T.; Shinkai, S. Catalysis by Micelles, Membranes and Other Aqueous Aggregates as Models of Enzyme Action. In Advances in Physical Organic Chemistry; Gold, V., Bethell, D., Eds.; Academic Press: London, UK, 1980; Volume 17, pp. 435–487. [Google Scholar]
- Ihara, Y.; Nango, M.; Kimura, Y.; Kuroki, N. Multifunctional Micellar Catalysis as a Model of Enzyme Action. J. Am. Chem. Soc. 1983, 105, 1252–1255. [Google Scholar] [CrossRef]
- Nothling, M.D.; Xiao, Z.; Bhaskaran, A.; Blyth, M.T.; Bennett, C.W.; Coote, M.L.; Connal, L.A. Synthetic Catalysts Inspired by Hydrolytic Enzymes. ACS Catal. 2018, 9, 168–187. [Google Scholar] [CrossRef]
- Bunton, C.A.; Scrimin, P.; Paolo Tecilla, P. Source of catalysis of dephosphorylation of p nitrophenyldiphenylphosphate by metallomicelles. J. Chem. Soc. Perkin Trans. 2 1995, 419–425. [Google Scholar] [CrossRef]
- Dey, N.; Kulhánek, J.; Bureš, F.; Bhattacharya, S. Imidazole-Functionalized Y-Shaped Push–Pull Dye for Nerve Agent Sensing as Well as a Catalyst for Their Detoxification. J. Org. Chem. 2021, 86, 14663–14671. [Google Scholar] [CrossRef]
- Orth, E.S.; Campos, R.B. Multifunctional Imidazole-Derived Polymeric Catalyst for Dephosphorylation Reactions Potentiated by Cationic and Anionic Micelles. J. Braz. Chem. Soc. 2015, 27, 285–294. [Google Scholar] [CrossRef]
- Pasquato, L.; Rancan, F.; Scrimin, P.; Mancin, F.; Frigeri, C. N-Methylimidazole-Functionalized Gold Nanoparticles as Catalysts for Cleavage of a Carboxylic Acid Ester. Chem. Commun. 2000, 2253–2254. [Google Scholar] [CrossRef]
- Tonellato, U. Catalysis of Ester Hydrolysis by Cationic Micelles of Surfactants Containing the Imidazole Ring. J. Chem. Soc. Perkin Trans. 2 1976, 771–776. [Google Scholar] [CrossRef]
- Nothling, M.D.; Xiao, Z.; Hill, N.S.; Blyth, M.T.; Bhaskaran, A.; Sani, M.-A.; Espinosa-Gomez, A.; Ngov, K.; White, J.; Buscher, T.; et al. A Multifunctional Surfactant Catalyst Inspired by Hydrolases. Sci. Adv. 2020, 6, eaaz0404. [Google Scholar] [CrossRef] [PubMed]
- Bayissa, L.D.; Ohmae, Y.; Hojo, M. Influences of Micelle Formation and Added Salts on the Hydrolysis Reaction Rate of p-Nitrophenyl Benzoate in Aqueous Buffered Media. Int. J. Chem. Kinet. 2017, 49, 71–82. [Google Scholar] [CrossRef]
- Fornasier, R.; Tonellato, U. Functional Micellar Catalysis. Part 3.—Quantitative Analysis of the Catalytic Effects Due to Functional Micelles and Comicelles. J. Chem. Soc. Faraday Trans. 1 Phys. Chem. Condens. Phases 1980, 76, 1301–1310. [Google Scholar] [CrossRef]
- Bender, M.L.; Marshall, T.H. Elastase-Catalyzed Hydrolysis of p-Nitrophenyl Trimethylacetate. J. Am. Chem. Soc. 1968, 90, 201–207. [Google Scholar] [CrossRef] [PubMed]
- Tonellato, U. Functional Micellar Catalysis. Part 2. Ester Hydrolysis Promoted by Micelles Containing the Imidazole Ring and the Hydroxy-Group. J. Chem. Soc. Perkin Trans. 2 1977, 821–827. [Google Scholar] [CrossRef]
- Moss, R.A.; Nahas, R.C.; Ramaswami, S. Sequential Bifunctional Micellar Catalysis. J. Am. Chem. Soc. 1977, 99, 627–629. [Google Scholar] [CrossRef]
- Muñana, P.; Ragazzon, G.; Dupont, J.; Ren, C.; Prins, L.J.; Chen, J. Substrate-Induced Self-Assembly of Cooperative Catalysts. Angew. Chem. Int. Ed. 2018, 57, 16469–16474. [Google Scholar] [CrossRef]
- Maiti, S.; Fortunati, I.; Ferrante, C.; Scrimin, P.; Prins, L.J. Dissipative self-assembly of vesicular nanoreactors. Nat. Chem. 2016, 8, 725–731. [Google Scholar] [CrossRef] [PubMed]
- Gabrielli, L.; Prins, L.J.; Rastrelli, F.; Mancin, F.; Scrimin, P. Hydrolytic Nanozymes. Eur. J. Org. Chem. 2020, 2020, 5044–5055. [Google Scholar] [CrossRef]
- Czescik, J.; Zamolo, S.; Darbre, T.; Rigo, R.; Sissi, C.; Pecina, A.; Riccardi, L.; Vivo, M.D.; Mancin, F.; Scrimin, P. A Gold Nanoparticle Nanonuclease Relying on a Zn(II) Mononuclear Complex. Angew. Chem. 2021, 60, 1423–1432. [Google Scholar] [CrossRef]
- Arifuzzaman, M.; Bose, I.; Bahrami, F.; Zhao, Y. Imprinted Polymeric Nanoparticles as Artificial Enzymes for Ester Hydrolysis at Room Temperature and pH 7. Chem. Catal. 2022, 2, 2049–2065. [Google Scholar] [CrossRef] [PubMed]
- Chen, T.; Xu, Z. Hydrophobic Interaction-Assisted Immobilization of Molecular Catalysts into Organic Colloids: From Organic Synthesis in Water to Mimicking Enzymes. Coord. Chem. Rev. 2026, 547, 217129. [Google Scholar] [CrossRef]
- Lyu, Y.; Scrimin, P. Mimicking Enzymes: The Quest for Powerful Catalysts from Simple Molecules to Nanozymes. ACS Catal. 2021, 11, 11501–11509. [Google Scholar] [CrossRef]










| Type of Aggregate | Typical Critical Aggregate Concentration (cac) | Typical Aggregation Number | Typical Size | Typical Monomer/Aggregate Exchange Rate | Effect of the Addition of Lipophilic Molecules | Effect of the Addition of Ions |
|---|---|---|---|---|---|---|
| Micelle | 10−3–10−2 M (ionic amphiphiles); 10−5–10−4 M (non ionic amphiphiles) | 20–100 monomers per micelle | 5–30 nm | 10−6–10−4 s | Decreases cac and may change aggregate morphology | Decreases cac up to one order of magnitude (ionic amphiphiles); little effect on non ionic ones |
| Vesicle | 10−10–10−8 M | 104–106 monomers per vesicle | 50–500 nm | 103–105 s | Decreases stability and may lead to precipitation | Decreases stability and may lead to vesicle fusion |
Disclaimer/Publisher’s Note: The statements, opinions and data contained in all publications are solely those of the individual author(s) and contributor(s) and not of MDPI and/or the editor(s). MDPI and/or the editor(s) disclaim responsibility for any injury to people or property resulting from any ideas, methods, instructions or products referred to in the content. |
© 2026 by the authors. Licensee MDPI, Basel, Switzerland. This article is an open access article distributed under the terms and conditions of the Creative Commons Attribution (CC BY) license.
Share and Cite
Tecilla, P.; Scrimin, P. Assessing Hydrolytic Activity of Surfactant-Based Nanozymes: Methodological and Kinetic Considerations. Nanomaterials 2026, 16, 106. https://doi.org/10.3390/nano16020106
Tecilla P, Scrimin P. Assessing Hydrolytic Activity of Surfactant-Based Nanozymes: Methodological and Kinetic Considerations. Nanomaterials. 2026; 16(2):106. https://doi.org/10.3390/nano16020106
Chicago/Turabian StyleTecilla, Paolo, and Paolo Scrimin. 2026. "Assessing Hydrolytic Activity of Surfactant-Based Nanozymes: Methodological and Kinetic Considerations" Nanomaterials 16, no. 2: 106. https://doi.org/10.3390/nano16020106
APA StyleTecilla, P., & Scrimin, P. (2026). Assessing Hydrolytic Activity of Surfactant-Based Nanozymes: Methodological and Kinetic Considerations. Nanomaterials, 16(2), 106. https://doi.org/10.3390/nano16020106

