Construction of Regular Hexagonal Double-Layer Hollow Nanocages by Defect Orientation and Composite Phase Change Materials with Carbon Nanotubes for Thermal Safety of Power Batteries
Abstract
1. Introduction
2. Materials and Methods
2.1. Materials
2.2. Preparation of PNT and S2
2.3. Preparation of PNT/S2@PEG/TEP and PNT@PEG/TEP
2.4. Characterization Testing Technology and Related Instruments
3. Results
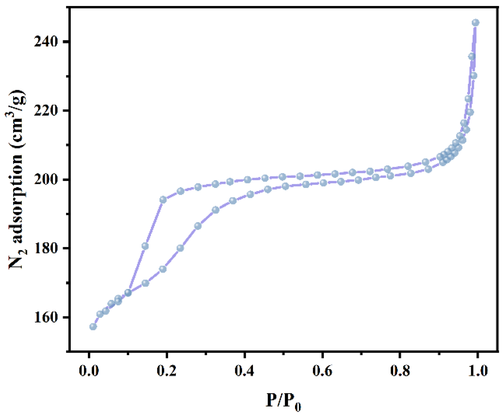
3.1. Microstructure Characterization of PNT/S2@PEG/TEP and PNT@PEG/TEP Composites Films
3.2. Structure Analysis of PNT/S2@PEG/TEP and PNT@PEG/TEP Composites Films
3.3. Thermal Management Performance of Composite Films
4. Conclusions
Supplementary Materials
Author Contributions
Funding
Data Availability Statement
Conflicts of Interest
Abbreviations
| PPy | Polypyrrole |
| PEG-8000 | Polyethylene glycol 8000 |
| TEP | Triethyl phosphate |
| CNF | Microfibrillated cellulose nanofibers |
| PA | Palmitic acid |
| CF | Copper foam |
| PVP | Polyvinylpyrrolidone |
| PEI | Polyethyleneimine |
| CMC | Sodium carboxymethyl cellulose |
| CQS | Chitosan quaternary ammonium salt |
| TPAOH | Tetrapropyl ammonium hydroxide aqueous solution |
| TEM | Transmission Electron Microscope |
| SEM | Scanning electron microscope |
| EDS | Energy dispersive spectroscopy |
| FT-IR | Fourier transform infrared spectroscopy |
| DSC | Differential Scanning Calorimetry |
| SOC | State of Charge |
| MCC | Microcalorimeter |
| HR | Heat release |
| HRR | Heat release rate |
| THR | Total heat release |
| MCC | Micro calorimeter |
References
- Wu, Y.; Huang, Z.; Li, D.; Li, H.; Peng, J.; Guerrero, J.M.; Song, Z. Integrated battery thermal and energy management for electric vehicles with hybrid energy storage system: A hierarchical approach. Energy Convers. Manag. 2024, 317, 118853. [Google Scholar] [CrossRef]
- Huang, Q.; Li, X.; Deng, J.; Yang, W.; Zeng, Y.; Rao, Z.; Kong, F.; Li, Y. The flame retardant mechanism of composite phase change materials for battery thermal safety: A review. Energy Storage Mater. 2025, 80, 104344. [Google Scholar] [CrossRef]
- Qu, J.G.; Liu, Y.; Zhang, J.F.; Jin, Z.G.; Chen, Y.S.; Zhao, X. Experimental study on heat transfer during melting in metal and carbon foam saturated with phase-change materials for temperature control in electronic devices. Appl. Therm. Eng. 2024, 236, 121681. [Google Scholar] [CrossRef]
- Jiang, J.; Zhang, H.; Liu, L.; Bai, Z.; Che, J.; Wang, Y.; Quan, F. One-step preparation of double network phase change composite with GO for enhanced thermal management performance. Compos. Sci. Technol. 2023, 243, 110220. [Google Scholar] [CrossRef]
- Fu, L.; Wu, Z.; Wu, K.; Chen, W.; Zhang, M.; Huang, X.; Ma, C.; Shao, Y.; Ran, J.; Chua, K.J. A thermally induced flexible composite phase change material with boron nitride nanosheets/carbon nanotubes modified skeleton for battery thermal management. Appl. Energy 2024, 373, 123899. [Google Scholar] [CrossRef]
- Huo, Y.-J.; Yan, T.; Wu, S.-F.; Kuai, Z.-H.; Pan, W.-G. Preparation and thermal properties of palmitic acid/copper foam phase change materials. Energy 2024, 293, 130629. [Google Scholar] [CrossRef]
- Lu, Y.; Hu, R.; Chen, X.; Bai, Y. A strategy for constructing 3D ordered boron nitride aerogels-based thermally conductive phase change composites for battery thermal management. J. Mater. Sci. Technol. 2023, 160, 248–257. [Google Scholar] [CrossRef]
- Chen, W.; Jiang, L.; Hu, X. A shape-stabilized and thermally enhanced composite phase change material based on Ag@rGO-CMF three-dimensional porous skeleton. J. Energy Storage 2025, 114, 115751. [Google Scholar] [CrossRef]
- Hu, J.; Yao, Z.; Chen, A.; Xiao, C.; Zhang, G.; Yang, X. High thermal-conductive phase change material by carbon fiber orientation for thermal management and energy conversion application. Appl. Therm. Eng. 2025, 265, 125566. [Google Scholar] [CrossRef]
- Kong, X.; Nie, R.; Yuan, J. Shape stabilized three-dimensional porous SiC-based phase change materials for thermal management of electronic components. Chem. Eng. J. 2023, 462, 142168. [Google Scholar] [CrossRef]
- Li, R.; Sun, X.; Zhang, R.; Wang, S.; Liu, Q.; Bai, P.; Yuan, Y.; Li, Y. Enhancement of thermal conductivity of graphene-based phase change composites by alternating positive and negative pressures during perfusion. Chem. Eng. J. 2025, 504, 158964. [Google Scholar] [CrossRef]
- Li, Z.; Ge, C.; Feng, D.; Wang, Y.; Sheng, Y.; Zhou, L.; Zhang, X. Biomass/PW phase change composites based on cotton-derived carbon network for thermal energy storage and management. J. Energy Storage 2025, 129, 117293. [Google Scholar] [CrossRef]
- Yang, X.; Chi, H.; Cao, Y.; Cui, J.; Ji, C.; Xie, J. Cotton cloth-derived porous carbon skeleton with graphite layer for enhancing the thermal conductivity of energy storage phase change materials. J. Energy Storage 2025, 121, 116561. [Google Scholar] [CrossRef]
- Zhao, Z.; Liu, W.; Du, R.; Wang, S.; Han, H.; Jing, Y.; Wu, S.; Wang, R.; Li, T. Carbon-based phase change composites with directional high thermal conductivity for interface thermal management. Chem. Eng. J. 2024, 496, 154305. [Google Scholar] [CrossRef]
- Yang, J.; Wang, S.; Zhao, J.; Wang, S.; Wang, S.; Peng, Y.; Huang, Q.; Liu, C. Preparation of MXene-based aerogel-derived phase change materials for mitigating thermal runaway risk in batteries. Chem. Eng. J. 2025, 511, 162039. [Google Scholar] [CrossRef]
- Hu, J.; Huang, W.; Ge, X.; Wang, C.; Zhang, G.; Chen, Y.; Tu, C. Preparation of flexible composite phase change material with high thermal conductivity for battery thermal management. J. Energy Storage 2024, 100, 113485. [Google Scholar] [CrossRef]
- Sun, Q.; Zhang, H.; Xue, J.; Yu, X.; Yuan, Y.; Cao, X. Flexible phase change materials for thermal storage and temperature control. Chem. Eng. J. 2018, 353, 920–929. [Google Scholar] [CrossRef]
- Mombeki Pea, H.J.; An, Z.; Du, X.; Hou, W.; Zhang, D.; Liu, X. Experimental and analytical studies on latent heat of hydrated salt/modified EG-based form-stable composite PCMs for energy storage application. Renew. Energy 2024, 222, 119978. [Google Scholar] [CrossRef]
- Jiang, W.-j.; Wang, R.-q.; Zhu, T.-y.; Feng, M.; Sun, D.-x.; Yang, J.-h.; Qi, X.-d.; Wang, Y. Tree-ring structured phase change materials with high through-plane thermal conductivity and flexibility for advanced thermal management. Chem. Eng. J. 2024, 479, 147622. [Google Scholar] [CrossRef]
- Dai, X.; Ping, P.; Kong, D.; Gao, X.; Zhang, Y.; Wang, G.; Peng, R. Heat transfer enhanced inorganic phase change material compositing carbon nanotubes for battery thermal management and thermal runaway propagation mitigation. J. Energy Chem. 2024, 89, 226–238. [Google Scholar] [CrossRef]
- Liu, Q.; Pu, Z.; Tang, C.; Asiri, A.M.; Qusti, A.H.; Al-Youbi, A.O.; Sun, X. N-doped carbon nanotubes from functional tubular polypyrrole: A highly efficient electrocatalyst for oxygen reduction reaction. Electrochem. Commun. 2013, 36, 57–61. [Google Scholar] [CrossRef]
- Ren, F.; Hou, J.; Shi, C.; Li, Z.; Sun, B.; Zhang, K.; Feng, Y.; Tian, W. Hydrophilicity regulation of carbon nanotubes as phase-change materials for thermal energy storage. J. Mater. Res. Technol. 2024, 30, 1482–1489. [Google Scholar] [CrossRef]
- Peng, X.; Chen, L.; Li, B.; Tang, Z.; Jia, Y.; Zhang, Z.J.; Yu, Q.; Wang, L. Flexible Phase Change Materials with High Energy Storage Density Based on Porous Carbon Fibers. Polymers 2024, 16, 3547. [Google Scholar] [CrossRef]
- Wang, X.G.; Qi, P.; Zhang, S.J.; Jiang, S.L.; Li, Y.C.; Sun, J.; Fei, B.; Gu, X.Y.; Zhang, S. A novel flame-retardant modification strategy for UiO66-NH2 by encapsulating triethyl phosphate: Preparation, characterization, and multifunctional application in poly(lactic acid). Mater. Today Chem. 2023, 30, 101550. [Google Scholar] [CrossRef]
- Wang, S.; Sun, Z.; Wang, Y.; Liang, T.; Wang, B.; Fan, C.; Chen, Y.; Liu, C.; Huang, Q. Design of CuS composite carbon-based Ni Al-LDH multifunctional phase change composite with electromagnetic shielding performance and heat storage capacity. Chem. Eng. J. 2024, 491, 151960. [Google Scholar] [CrossRef]
- Wang, H.; Wang, H.; Sun, R.; Yao, L.; Zuo, H.; Ruan, F.; Feng, Q.; Wang, J. Preparation of hierarchical micro-meso porous carbon and carbon nanofiber from polyacrylonitrile/polysulfone polymer via one-step carbonization for supercapacitor electrodes. Electrochim. Acta 2023, 441, 141827. [Google Scholar] [CrossRef]
- Liu, H.; Li, D.; Liu, H.; Wang, X.; Lu, Y.; Wang, C.; Guo, L. CoSe2 nanoparticles anchored on porous carbon network structure for efficient Na-ion storage. J. Colloid Interface Sci. 2023, 634, 864–873. [Google Scholar] [CrossRef] [PubMed]
- Wang, S.; Huang, Q.; Sun, Z.; Wang, Y.; Liang, T.; Wang, B.; Fan, C.; Liu, C. Porous carbon network-based composite phase change materials with heat storage capacity and thermal management functions. Carbon 2024, 226, 119174. [Google Scholar] [CrossRef]
- Yang, H.; Hou, H.; Yang, M.; Zhu, Z.; Fu, H.; Zhang, D.; Luo, Y.; Yang, W. Engineering the S-scheme heterojunction between NiO microrods and MgAl-LDH nanoplates for efficient and selective photoreduction of CO2 to CH4. Chem. Eng. J. 2023, 474, 145813. [Google Scholar] [CrossRef]
- Li, L.; Li, M.; Qin, Y.; Chen, Y.; Dai, W.; Zhang, Z.; Kong, X.; Gong, P.; Wang, Y.; Yang, R.; et al. Eicosane-based thermo-conductive phase change composite for efficient capture solar energy and using in real-environment as power source. Chem. Eng. J. 2023, 462, 142273. [Google Scholar] [CrossRef]
- Fikri, M.A.; Pandey, A.K.; Samykano, M.; Kadirgama, K.; George, M.; Saidur, R.; Selvaraj, J.; Rahim, N.A.; Sharma, K.; Tyagi, V.V. Thermal conductivity, reliability, and stability assessment of phase change material(PCM) doped with functionalized multi-wall carbon nanotubes (FMWCNTs). J. Energy Storage 2022, 50, 104676. [Google Scholar] [CrossRef]
- Zhang, W.; Liang, Z.; Ling, G.; Huang, L. Influence of phase change material dosage on the heat dissipation performance of the battery thermal management system. J. Energy Storage 2021, 41, 102849. [Google Scholar] [CrossRef]
- Yu, Y.; Yin, Y.; Li, Y.; Li, M.; Song, J. Thermal Analysis on Active Heat Dissipation Design with Embedded Flow Channels for Flexible Electronic Devices. Micromachines 2021, 12, 1165. [Google Scholar] [CrossRef] [PubMed]
- Wang, J.; Yue, H.; Du, Z.; Cheng, X.; Wang, H.; Du, X. Highly flexible phase-change film with solar thermal storage and sensitive motion detection for wearable thermal management. Chem. Eng. J. 2023, 466, 143334. [Google Scholar] [CrossRef]
- Tao, Z.; Zou, H.; Li, M.; Ren, S.; Xu, J.; Lin, J.; Yang, M.; Feng, Y.; Wang, G. Polypyrrole-coated carbon nanotube aerogel composite phase change materials with enhanced thermal conductivity, high solar-/electro- thermal energy conversion and storage. J. Colloid Interface Sci. 2023, 629, 632–643. [Google Scholar] [CrossRef]







| Sample | Heating Process | Cooling Process | ||
|---|---|---|---|---|
| Hm (J/g) | Tm (°C) | Hc (J/g) | Tc (°C) | |
| PEG | 180.4 | 61.2 | 166.5 | 46.3 |
| PNT@PEG/TEP | 139.9 | 56.2 | 141.3 | 45.8 |
| PNT/S2@PEG/TEP | 146.1 | 55.5 | 149.7 | 45.7 |
| Sample | HR (J/g·K) | HRR (W/g) | THR (kJ/g) | Temperature (°C) |
|---|---|---|---|---|
| PEG | 745.7 | 753.2 | 26.1 | 436.6 |
| PEG/TEP | 572.0 | 577.8 | 24.2 | 428.1 |
| PNT@PEG/TEP | 565.9 | 571.5 | 22.8 | 412.2 |
| PNT/S2@PEG/TEP | 522.8 | 528.0 | 23.0 | 408.3 |
Disclaimer/Publisher’s Note: The statements, opinions and data contained in all publications are solely those of the individual author(s) and contributor(s) and not of MDPI and/or the editor(s). MDPI and/or the editor(s) disclaim responsibility for any injury to people or property resulting from any ideas, methods, instructions or products referred to in the content. |
© 2025 by the authors. Licensee MDPI, Basel, Switzerland. This article is an open access article distributed under the terms and conditions of the Creative Commons Attribution (CC BY) license.
Share and Cite
Wang, S.; Yan, W.; Sun, P.; Yuan, J. Construction of Regular Hexagonal Double-Layer Hollow Nanocages by Defect Orientation and Composite Phase Change Materials with Carbon Nanotubes for Thermal Safety of Power Batteries. Nanomaterials 2026, 16, 26. https://doi.org/10.3390/nano16010026
Wang S, Yan W, Sun P, Yuan J. Construction of Regular Hexagonal Double-Layer Hollow Nanocages by Defect Orientation and Composite Phase Change Materials with Carbon Nanotubes for Thermal Safety of Power Batteries. Nanomaterials. 2026; 16(1):26. https://doi.org/10.3390/nano16010026
Chicago/Turabian StyleWang, Silong, Wei Yan, Pan Sun, and Jun Yuan. 2026. "Construction of Regular Hexagonal Double-Layer Hollow Nanocages by Defect Orientation and Composite Phase Change Materials with Carbon Nanotubes for Thermal Safety of Power Batteries" Nanomaterials 16, no. 1: 26. https://doi.org/10.3390/nano16010026
APA StyleWang, S., Yan, W., Sun, P., & Yuan, J. (2026). Construction of Regular Hexagonal Double-Layer Hollow Nanocages by Defect Orientation and Composite Phase Change Materials with Carbon Nanotubes for Thermal Safety of Power Batteries. Nanomaterials, 16(1), 26. https://doi.org/10.3390/nano16010026

