Next Article in Journal
Graphene-Skinned Materials: Direct Integration Strategies, Structural Insights, and Multifunctional Applications
Previous Article in Journal
Application of Amino Acid-Based Carbon Dots for the Treatment of Oral Bacteria and Oral Cancer Cells In Vitro Using a Dental Light-Curing Unit via ROS-Mediated Therapy
 
 
Font Type:
Arial Georgia Verdana
Font Size:
Aa Aa Aa
Line Spacing:
Column Width:
Background:
Correction

Correction: Shahbazi et al. Effective Low-Energy Hamiltonians and Unconventional Landau-Level Spectrum of Monolayer C3N. Nanomaterials 2022, 12, 4375

1
Department of Physics, Faculty of Science, University of Zanjan, Zanjan P.O. Box 45195-313, Iran
2
Department of Physics, Kermanshah Branch, Islamic Azad University, Kermanshah P.O. Box 671791-7855, Iran
3
Quantum Technological Research Center (QTRC), Science and Research Branch, Islamic Azad University, Tehran P.O.Box 14515-755, Iran
4
Department of Physics, University of Tehran, Tehran P.O. Box 14395-547, Iran
5
Department of Physics of Complex Systems, Eötvös Loránd University, 1117 Budapest, Hungary
*
Authors to whom correspondence should be addressed.
Nanomaterials 2025, 15(21), 1678; https://doi.org/10.3390/nano15211678
Submission received: 31 May 2025 / Accepted: 17 October 2025 / Published: 5 November 2025
(This article belongs to the Section 2D and Carbon Nanomaterials)
In our published paper [1], we have identified misprints and errors in the values of the k · p model parameters, which were obtained by fitting the results of the density function theory (DFT) band structure calculations.

1. Effective Mass Values in Table 1

The corrected effective masses in Table 1 are as follows:

2. Corrected k · p Model Parameters

The effective mass errors propagated to the derived k · p model parameters. The corrected parameters, which appear in H k · p Γ and H k · p M in Equation (3) and Equation (6), respectively, are as follows:
α 1 = 51.18 , α 2 = 17.68 , α 3 = 13.89 β 1 = 111.7 , β 2 = 0.71 , β 3 = 125.3 γ 21 = 5.61 .
The parameters α1, α2, α3, β1, β2, and β3 are in units of eVÅ2, and γ21 is in units of eVÅ.

3. Corrections to Landau-Level Plots (Figures 4 and 5)

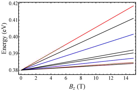
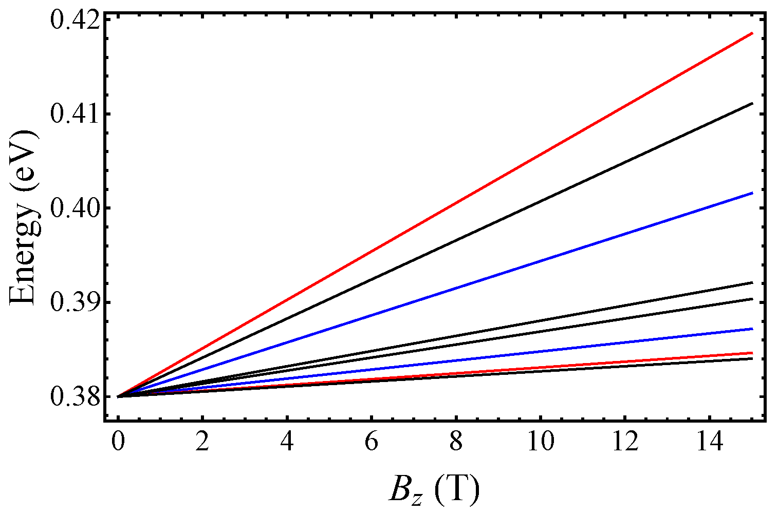
As a result of the correction to the values of α 2 and α 3 , the Landau-level plots shown in Figure 4 and Figure 5 have slightly changed compared to those originally published (see Figure 4 and Figure 5). The conclusions with regards to the properties of the Landau-level spectrum are not affected.

4. Corrections to Wigner–Seitz Radius Mentioned in Section 5.1

The change in the effective masses affects the dimensionless Wigner–Seitz radius r s . This is important because we used r s to assess the possible relevance of the electron–electron interactions on the Landau level spectrum. The effective mass values for the conduction bands CB and CB+1 given in the original manuscript were significantly heavier than the corrected values shown in Table 1. Therefore, one may expect that the electron–electron interactions are less important than originally anticipated because of the larger kinetic energy (smaller effective mass) of the charge carriers.
The Wigner–Seitz radius is given by r s = 1 / ( π n e a B * ) , where n e is the electron density, a B * = a B ( κ m e / m * ) is the effective Bohr radius, m * is the effective mass, κ is the dielectric constant, and a B is the Bohr radius. Taking κ = 5 and an electron density of n = 4 · 10 12 cm 2 , one finds r s = 2.35 for the heavier conduction band, where m * / m e = 0.22 .

5. Corrections to Appendix A

There was a typo in Equation (A2), which shows one of the partners of the wave function that transform according to the E 1 g irreducible representation of the point group D 6 h . The correct form of wave function ϕ 4 reads as follows:
ϕ 4 = 1 6 p Z 1 , C + Ω 5 p z 2 , C + Ω 4 p z 3 , C p z 4 , C + Ω 2 p z 5 , C + Ω p z 6 , C .

Reference

  1. Shahbazi, M.; Davoodi, J.; Boochani, A.; Khanjani, H.; Kormányos, A. Effective Low-Energy Hamiltonians and Unconventional Landau-Level Spectrum of Monolayer C3N. Nanomaterials 2022, 12, 4375. [Google Scholar] [CrossRef] [PubMed]
Figure 4. Landau levels in the CB at the Γ point of the BZ as a function of the out-of-plane magnetic field B z . Blue lines show E 0 Γ and E 1 Γ , given below in Equation (15), and red lines indicate the first two LLs that can be obtained from the Ansatz in Equation (16). Black lines show the “conventional” LLs. See the manuscript.
Figure 4. Landau levels in the CB at the Γ point of the BZ as a function of the out-of-plane magnetic field B z . Blue lines show E 0 Γ and E 1 Γ , given below in Equation (15), and red lines indicate the first two LLs that can be obtained from the Ansatz in Equation (16). Black lines show the “conventional” LLs. See the manuscript.
Nanomaterials 15 01678 g004
Figure 5. Landau levels in the CB at the Γ point of the BZ as a function of the LL index n for B z = 10 T. Magenta dots indicate LLs that can be obtained from the Ansatz in Equation (16) of the manuscript, and black dots show the “conventional” LLs. See the manuscript.
Figure 5. Landau levels in the CB at the Γ point of the BZ as a function of the LL index n for B z = 10 T. Magenta dots indicate LLs that can be obtained from the Ansatz in Equation (16) of the manuscript, and black dots show the “conventional” LLs. See the manuscript.
Nanomaterials 15 01678 g005
Table 1. Effective masses at the Γ and M points.
Table 1. Effective masses at the Γ and M points.
All DirectionsM Γ LineM–K Line
m v b Γ / m e 0.07--
m c b Γ / m e 0.22--
m c b + 1 Γ / m e 0.08--
m v b M / m e -−0.25−0.03
m c b M / m e -−0.190.03
Disclaimer/Publisher’s Note: The statements, opinions and data contained in all publications are solely those of the individual author(s) and contributor(s) and not of MDPI and/or the editor(s). MDPI and/or the editor(s) disclaim responsibility for any injury to people or property resulting from any ideas, methods, instructions or products referred to in the content.

Share and Cite

MDPI and ACS Style

Shahbazi, M.; Davoodi, J.; Boochani, A.; Khanjani, H.; Kormányos, A. Correction: Shahbazi et al. Effective Low-Energy Hamiltonians and Unconventional Landau-Level Spectrum of Monolayer C3N. Nanomaterials 2022, 12, 4375. Nanomaterials 2025, 15, 1678. https://doi.org/10.3390/nano15211678

AMA Style

Shahbazi M, Davoodi J, Boochani A, Khanjani H, Kormányos A. Correction: Shahbazi et al. Effective Low-Energy Hamiltonians and Unconventional Landau-Level Spectrum of Monolayer C3N. Nanomaterials 2022, 12, 4375. Nanomaterials. 2025; 15(21):1678. https://doi.org/10.3390/nano15211678

Chicago/Turabian Style

Shahbazi, Mohsen, Jamal Davoodi, Arash Boochani, Hadi Khanjani, and Andor Kormányos. 2025. "Correction: Shahbazi et al. Effective Low-Energy Hamiltonians and Unconventional Landau-Level Spectrum of Monolayer C3N. Nanomaterials 2022, 12, 4375" Nanomaterials 15, no. 21: 1678. https://doi.org/10.3390/nano15211678

APA Style

Shahbazi, M., Davoodi, J., Boochani, A., Khanjani, H., & Kormányos, A. (2025). Correction: Shahbazi et al. Effective Low-Energy Hamiltonians and Unconventional Landau-Level Spectrum of Monolayer C3N. Nanomaterials 2022, 12, 4375. Nanomaterials, 15(21), 1678. https://doi.org/10.3390/nano15211678

Note that from the first issue of 2016, this journal uses article numbers instead of page numbers. See further details here.

Article Metrics

Back to TopTop