Visible-Light-Driven Semiconductor–Metal Transition in Electron Gas at the (100) Surface of KTaO3
Abstract
1. Introduction
2. Materials and Methods
3. Results and Discussion
3.1. Surface Morphology before and after Bombardment
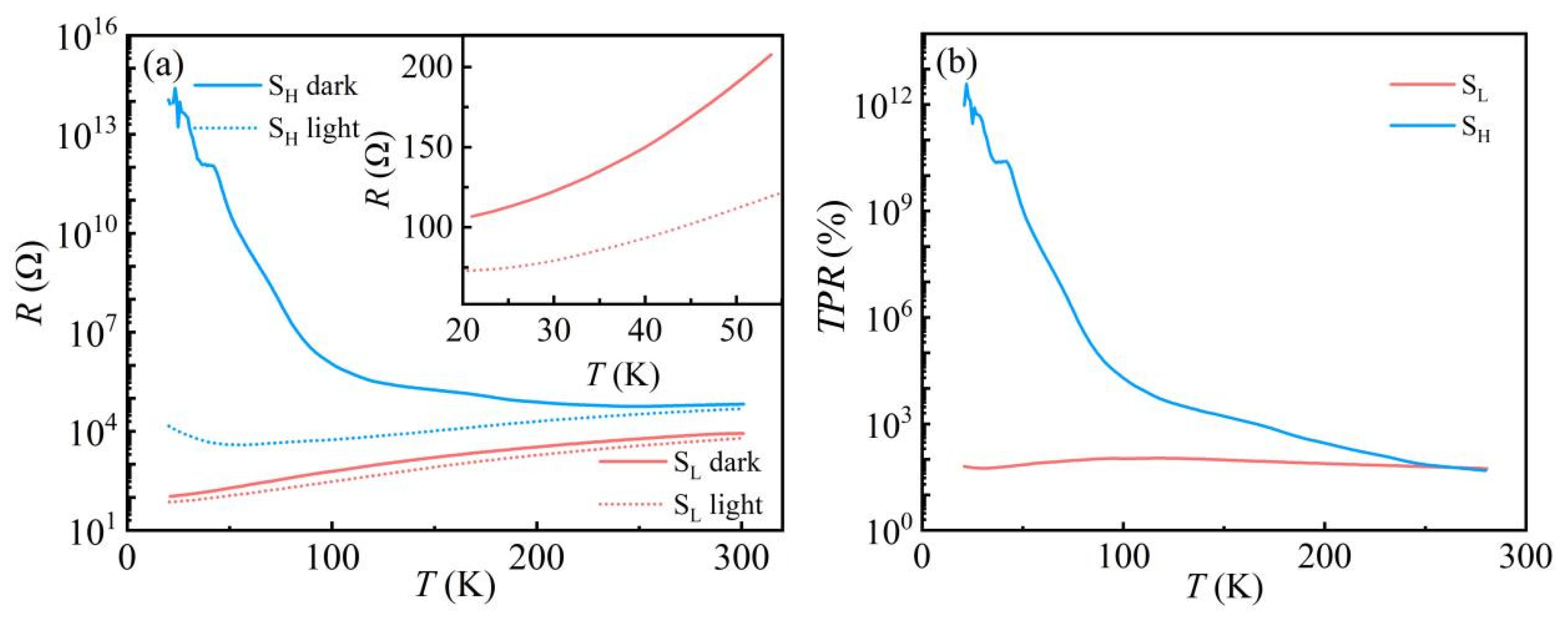
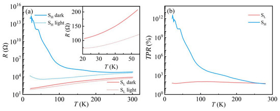
3.2. Temperature-Dependent Resistance with and without Light
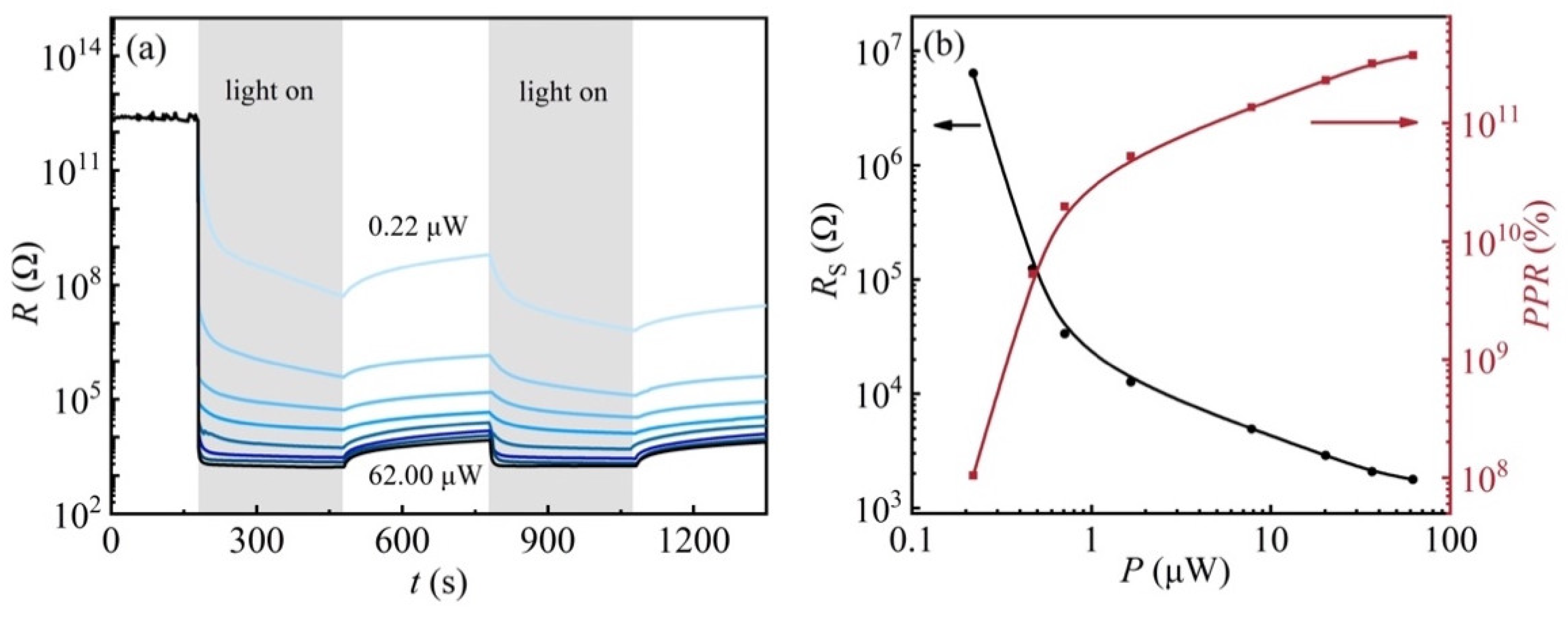
3.3. Temperature-Dependent Optoelectronic Properties with Different Laser Powers
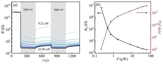
3.4. Laser Power-Dependent Photoresponse at Low Temperatures
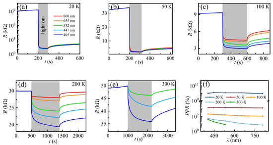
3.5. Wavelength-Dependent Photoresponse at Different Temperatures
4. Conclusions
Author Contributions
Funding
Data Availability Statement
Conflicts of Interest
References
- Ramesh, R.; Schlom, D.G. Whither Oxide Electronics? MRS Bull. 2008, 33, 1006–1014. [Google Scholar] [CrossRef]
- Hwang, H.Y.; Iwasa, Y.; Kawasaki, M.; Keimer, B.; Nagaosa, N.; Tokura, Y. Emergent Phenomena at Oxide Interfaces. Nat. Mater. 2012, 11, 103–113. [Google Scholar] [CrossRef]
- Ahn, C.H.; Triscone, J.M.; Mannhart, J. Electric Field Effect in Correlated Oxide Systems. Nature 2003, 424, 1015–1018. [Google Scholar] [CrossRef] [PubMed]
- Chen, S.; Zhao, J.; Jin, Q.; Lin, S.; Chen, S.; Yao, H.; Wang, J.; Fan, Z.; Guo, E.-J.; Guo, H. Strain-mediated insulator-metal transition in topotactically hydro-reduced SrFeO2. Sci. China Phys. Mech. Astron. 2021, 64, 1713. [Google Scholar] [CrossRef]
- Zhao, J.; Chen, K.; Li, S.E.; Zhang, Q.; Wang, J.O.; Guo, E.J.; Qian, H.; Gu, L.; Qian, T.; Ibrahim, K.; et al. Electronic-Structure Evolution of SrFeO-3-x During Topotactic Phase Transformation. J. Phys. Condens. Matter 2021, 34, 34740209. [Google Scholar]
- Ohtomo, A.; Hwang, H.Y. A High-Mobility Electron Gas at the LaAlO3/SrTiO3 Heterointerface. Nature 2004, 427, 423–426. [Google Scholar] [CrossRef]
- Fillis-Tsirakis, E.; Richter, C.; Mannhart, J.; Boschker, H. Evidence for Superconducting Phase Coherence in The Metallic/Insulating Regime of the LaAlO3-SrTiO3 Interface Electron System. New J. Phys. 2016, 18, 013046. [Google Scholar] [CrossRef]
- Kalisky, B.; Bert, J.A.; Klopfer, B.B.; Bell, C.; Sato, H.K.; Hosoda, M.; Hikita, Y.; Hwang, H.Y.; Moler, K.A. Critical Thickness for Ferromagnetism in LaAlO3/SrTiO3 Heterostructures. Nat. Commun. 2012, 3, 922. [Google Scholar] [CrossRef]
- Brinkman, A.; Huijben, M.; Van Zalk, M.; Huijben, J.; Zeitler, U.; Maan, J.C.; Van der Wiel, W.G.; Rijnders, G.; Blank, D.H.A.; Hilgenkamp, H. Magnetic Effects at the Interface between Non-Magnetic Oxides. Nat. Mater. 2007, 6, 493–496. [Google Scholar] [CrossRef]
- Pallecchi, I.; Codda, M.; d’Agliano, E.G.; Marre, D.; Caviglia, A.D.; Reyren, N.; Gariglio, S.; Triscone, J.M. Seebeck Effect in the Conducting LaAlO3/SrTiO3 Interface. Phys. Rev. B 2010, 81, 085414. [Google Scholar] [CrossRef]
- Allen, S.J.; Jalan, B.; Lee, S.; Ouellette, D.G.; Khalsa, G.; Jaroszynski, J.; Stemmer, S.; MacDonald, A.H. Conduction-Band Edge and Shubnikov-de Haas Effect in Low-Electron-Density SrTiO3. Phys. Rev. B 2013, 88, 045114. [Google Scholar] [CrossRef]
- Fete, A.; Gariglio, S.; Berthod, C.; Li, D.; Stornaiuolo, D.; Gabay, M.; Triscone, J.M. Large Modulation of the Shubnikov-de Haas Oscillations by the Rashba Interaction at the LaAlO3/SrTiO3 Interface. New J. Phys. 2014, 16, 112002. [Google Scholar] [CrossRef][Green Version]
- Jang, H.W.; Felker, D.A.; Bark, C.W.; Wang, Y.; Niranjan, M.K.; Nelson, C.T.; Zhang, Y.; Su, D.; Folkman, C.M.; Baek, S.H.; et al. Metallic and Insulating Oxide Interfaces Controlled by Electronic Correlations. Science 2011, 331, 886–889. [Google Scholar] [CrossRef] [PubMed]
- Santander-Syro, A.F.; Copie, O.; Kondo, T.; Fortuna, F.; Pailhes, S.; Weht, R.; Qiu, X.G.; Bertran, F.; Nicolaou, A.; Taleb-Ibrahimi, A.; et al. Two-Dimensional Electron Gas with Universal Subbands at the Surface of SrTiO3. Nature 2011, 469, 189–193. [Google Scholar] [CrossRef] [PubMed]
- Meevasana, W.; King, P.D.C.; He, R.H.; Mo, S.K.; Hashimoto, M.; Tamai, A.; Songsiriritthigul, P.; Baumberger, F.; Shen, Z.X. Creation and Control of a Two-Dimensional Electron Liquid at the Bare SrTiO3 Surface. Nat. Mater. 2011, 10, 114–118. [Google Scholar] [CrossRef] [PubMed]
- Reagor, D.W.; Butko, V.Y. Highly Conductive Nanolayers on Strontium Titanate Produced by Preferential Ion-Beam Etching. Nat. Mater. 2005, 4, 593–596. [Google Scholar] [CrossRef]
- Santander-Syro, A.F.; Bareille, C.; Fortuna, F.; Copie, O.; Gabay, M.; Bertran, F.; Taleb-Ibrahimi, A.; Le Fevre, P.; Herranz, G.; Reyren, N.; et al. Orbital Symmetry Reconstruction and Strong Mass Renormalization in The Two-Dimensional Electron Gas at the Surface of KTaO3. Phys. Rev. B 2012, 86, 121107. [Google Scholar] [CrossRef]
- Gupta, A.; Silotia, H.; Kumari, A.; Dumen, M.; Goyal, S.; Tomar, R.; Wadehra, N.; Ayyub, P.; Chakraverty, S. KTaO3-The New Kid on the Spintronics Block. Adv. Mater. 2022, 34, 2106481. [Google Scholar] [CrossRef]
- Wadehra, N.; Tomar, R.; Halder, S.; Sharma, M.; Singh, I.; Jena, N.; Prakash, B.; De Sarkar, A.; Bera, C.; Venkatesan, A.; et al. Electronic Structure Modification of the KTaO3 Single-Crystal Surface by Ar+ Bombardment. Phys. Rev. B 2017, 96, 115423. [Google Scholar] [CrossRef]
- Nakamura, H.; Kimura, T. Electric Field Tuning of Spin-Orbit Coupling in KTaO3 Field-Effect Transistors. Phys. Rev. B 2009, 80, 121308. [Google Scholar] [CrossRef]
- Aravazhi, S.; Tapponnier, A.; Gunther, D.; Gunter, P. Growth and Characterization of Barium-Doped Potassium Tantalate Crystals. J. Cryst. Growth 2005, 282, 66–71. [Google Scholar] [CrossRef]
- Liu, C.J.; Yan, X.; Jin, D.F.; Ma, Y.; Hsiao, H.W.; Lin, Y.L.; Bretz-Sullivan, T.M.; Zhou, X.J.; Pearson, J.; Fisher, B.; et al. Two-Dimensional Superconductivity and Anisotropic Transport at KTaO3 (111) Interfaces. Science 2021, 371, 716. [Google Scholar] [CrossRef] [PubMed]
- Zhang, H.R.; Ma, Y.; Zhang, H.; Chen, X.B.; Wang, S.H.; Li, G.; Yun, Y.; Yan, X.; Chen, Y.S.; Hu, F.X.; et al. Thermal Spin Injection and Inverse Edelstein Effect of the Two-Dimensional Electron Gas at EuO-KTaO3 Interfaces. Nano Lett. 2019, 19, 1605–1612. [Google Scholar] [CrossRef]
- Hosoda, M.; Hikita, Y.; Hwang, H.Y.; Bell, C. Transistor Operation and Mobility Enhancement in Top-Gated LaAlO3/SrTiO3 heterostructures. Appl. Phys. Lett. 2013, 103, 103507. [Google Scholar] [CrossRef]
- Zhang, H.; Yan, L.; Habermeier, H.U. Unusual Ultraviolet Photoconductivity in Single Crystalline SrTiO3. J. Phys. Condens. Matter 2013, 25, 035802. [Google Scholar] [CrossRef] [PubMed]
- Feng, Z.; Shi, T.; Geng, G.; Li, J.; Deng, Z.L.; Kivshar, Y.; Li, X. Dual-Band Polarized Upconversion Photoluminescence Enhanced by Resonant Dielectric Metasurfaces. eLight 2023, 3, 00021. [Google Scholar] [CrossRef]
- Chen, Z.; Segev, M. Highlighting Photonics: Looking into the next Decade. eLight 2021, 1, 00002. [Google Scholar] [CrossRef]
- Singh, J.; Soni, R.K. Controlled Synthesis of CuO Decorated Defect Enriched ZnO Nanoflakes for Improved Sunlight-Induced Photocatalytic Degradation of Organic Pollutants. Appl. Surf. Sci. 2020, 521, 146420. [Google Scholar] [CrossRef]
- Singh, J.; Manna, A.K.; Soni, R.K. Sunlight Driven Photocatalysis and Non-enzymatic Glucose Sensing Performance of Cubic Structured CuO Thin Films. Appl. Surf. Sci. 2020, 530, 147258. [Google Scholar] [CrossRef]
- Singh, J.; Kumar, S.; Rishikesh; Manna, A.K.; Soni, R.K. Fabrication of ZnO-TiO2 Nanohybrids for Rapid Sunlight Driven Photodegradation of Textile Dyes and Antibiotic Residue Molecules. Opt. Mater. 2020, 107, 110138. [Google Scholar] [CrossRef]
- Zhu, R.; Wang, J.; Qiu, T.; Han, Y.; Fu, X.; Shi, Y.; Liu, X.; Liu, T.; Zhang, Z.; Chu, Z.; et al. Remotely Mind-Controlled Metasur face Via Brainwaves. eLight 2022, 2, 00016. [Google Scholar] [CrossRef]
- Fröch, J.E.; Huang, L.; Tanguy, Q.A.A.; Colburn, S.; Zhan, A.; Ravagli, A.; Seibel, E.J.; Böhringer, K.F.; Majumdar, A. Real Time Full-Color Imaging in a Meta-Optical Fiber Endoscope. eLight 2023, 3, 00044. [Google Scholar] [CrossRef]
- Osawa, N.; Takahashi, R.; Lippmaa, M. Hole Trap State Analysis in SrTiO3. Appl. Phys. Lett. 2017, 110, 263902. [Google Scholar] [CrossRef]
- Rossella, F.; Galinetto, P.; Samoggia, G.; Trepakov, V.; Jastrabik, L. Photoconductivity and the Structural Phase Transition in SrTiO3. Solid State Commun. 2007, 141, 95–98. [Google Scholar] [CrossRef]
- Rastogi, A.; Kushwaha, A.K.; Shiyani, T.; Gangawar, A.; Budhani, R.C. Electrically Tunable Optical Switching of a Mott Insulator-Band Insulator Interface. Adv. Mater. 2010, 22, 4448–4451. [Google Scholar] [CrossRef] [PubMed]
- Rastogi, A.; Pulikkotil, J.J.; Auluck, S.; Hossain, Z.; Budhani, R.C. Photoconducting State and its Perturbation by Electrostatic Fields in Oxide-Based Two-Dimensional Electron Gas. Phys. Rev. B 2012, 86, 075127. [Google Scholar] [CrossRef]
- Rastogi, A.; Budhani, R.C. Solar Blind Photoconductivity in Three-Terminal Devices of LaAlO3/SrTiO3 Heterostructures. Opt. Lett. 2012, 37, 317–319. [Google Scholar] [CrossRef]
- Rastogi, A.; Pulikkotil, J.J.; Budhani, R.C. Enhanced Persistent Photoconductivity in Delta-Doped LaAlO3/SrTiO3 Heterostructures. Phys. Rev. B 2014, 89, 125127. [Google Scholar] [CrossRef]
- di Gennaro, E.; Coscia, U.; Ambrosone, G.; Khare, A.; Granozio, F.M.; di Uccio, U.S. Photoresponse Dynamics in Amorphous-LaAlO3/SrTiO3 Interfaces. Sci. Rep. 2015, 5, 8393. [Google Scholar] [CrossRef]
- Goyal, S.; Wadehra, N.; Chakraverty, S. Tuning the Electrical State of 2DEG at LaVO3-KTaO3 Interface: Effect of Light and Electrostatic Gate. Adv. Mater. Interfaces 2020, 7, 2000646. [Google Scholar] [CrossRef]
- Tomar, R.; Wadehra, N.; Kumar, S.; Venkatesan, A.; Sarma, D.D.; Maryenko, D.; Chakraverty, S. Defects, Conductivity and Photoconductivity in Ar+ Bombarded KTaO3. J. Appl. Phys. 2019, 126, 035303. [Google Scholar] [CrossRef]
- Goyal, S.; Tomar, R.; Chakraverty, S. Photodynamics Study of KTaO3-Based Conducting Interfaces. ACS Appl. Electron. Mater. 2021, 3, 905–911. [Google Scholar] [CrossRef]
- Zeeshan, H.M.; Rafiq, M.; Butt, M.K.; Yang, R.S.; Wang, S.H.; Jin, K.X. A Unique Photo Charge Behaviour of Bare-KTaO3. Phys. B 2021, 619, 413220. [Google Scholar] [CrossRef]
- He, A.P.; Jiang, Y.C.; Chen, J.Q.; Zhao, R.; Liu, G.Z.; Gao, J. Magnetoresistance and Photoelectrical Properties of Electron Gases at SrTiO3 (100) Surface. J. Phys. D Appl. Phys. 2019, 52, 375303. [Google Scholar] [CrossRef]
- Liu, G.Z.; Lei, Q.Y.; Xi, X.X. Stoichiometry of SrTiO3 Films Grown by Pulsed Laser Deposition. Appl. Phys. Lett. 2012, 100, 202902. [Google Scholar] [CrossRef]
- Modak, P.; Modak, B. Energetic, Electronic, and Optical Properties of Intrinsic Charge Carrier-Trapping Defects in KTaO3: Insights from a Hybrid DFT Study. J. Phys. Chem. C 2021, 125, 24067–24078. [Google Scholar] [CrossRef]
- Golovina, I.S.; Kolesnik, S.P.; Bryksa, V.P.; Strelchuk, V.V.; Yanchuk, I.B.; Geifman, I.N.; Khainakov, S.A.; Svechnikov, S.V.; Morozovska, A.N. Defect Driven Ferroelectricity and Magnetism in Nanocrystalline KTaO3. Phys. B 2012, 407, 614–623. [Google Scholar] [CrossRef]
- Cook, S.; Dylla, M.T.; Rosenberg, R.A.; Mansley, Z.R.; Snyder, G.J.; Marks, L.D.; Fong, D.D. The Vacancy-Induced Electronic Structure of the SrTiO3-δ Surface. Adv. Electron. Mater. 2018, 5, 1800460. [Google Scholar] [CrossRef]






Disclaimer/Publisher’s Note: The statements, opinions and data contained in all publications are solely those of the individual author(s) and contributor(s) and not of MDPI and/or the editor(s). MDPI and/or the editor(s) disclaim responsibility for any injury to people or property resulting from any ideas, methods, instructions or products referred to in the content. |
© 2023 by the authors. Licensee MDPI, Basel, Switzerland. This article is an open access article distributed under the terms and conditions of the Creative Commons Attribution (CC BY) license (https://creativecommons.org/licenses/by/4.0/).
Share and Cite
Tian, X.; Li, B.; Sun, H.; Jiang, Y.; Zhao, R.; Zhao, M.; Gao, J.; Xing, J.; Qiu, J.; Liu, G. Visible-Light-Driven Semiconductor–Metal Transition in Electron Gas at the (100) Surface of KTaO3. Nanomaterials 2023, 13, 3055. https://doi.org/10.3390/nano13233055
Tian X, Li B, Sun H, Jiang Y, Zhao R, Zhao M, Gao J, Xing J, Qiu J, Liu G. Visible-Light-Driven Semiconductor–Metal Transition in Electron Gas at the (100) Surface of KTaO3. Nanomaterials. 2023; 13(23):3055. https://doi.org/10.3390/nano13233055
Chicago/Turabian StyleTian, Xiaochen, Bocheng Li, Hu Sun, Yucheng Jiang, Run Zhao, Meng Zhao, Ju Gao, Jie Xing, Jie Qiu, and Guozhen Liu. 2023. "Visible-Light-Driven Semiconductor–Metal Transition in Electron Gas at the (100) Surface of KTaO3" Nanomaterials 13, no. 23: 3055. https://doi.org/10.3390/nano13233055
APA StyleTian, X., Li, B., Sun, H., Jiang, Y., Zhao, R., Zhao, M., Gao, J., Xing, J., Qiu, J., & Liu, G. (2023). Visible-Light-Driven Semiconductor–Metal Transition in Electron Gas at the (100) Surface of KTaO3. Nanomaterials, 13(23), 3055. https://doi.org/10.3390/nano13233055

