Instability of Liquid Film with Odd Viscosity over a Non-Uniformly Heated and Corrugated Substrate
Abstract
1. Introduction
2. Mathematical Model
3. Approximate Solution of the Equations
4. Linear Stability Analysis
5. Weakly Non-Linear Analysis
6. Numerical Simulations
7. Specific Case Study
8. Results and Discussion
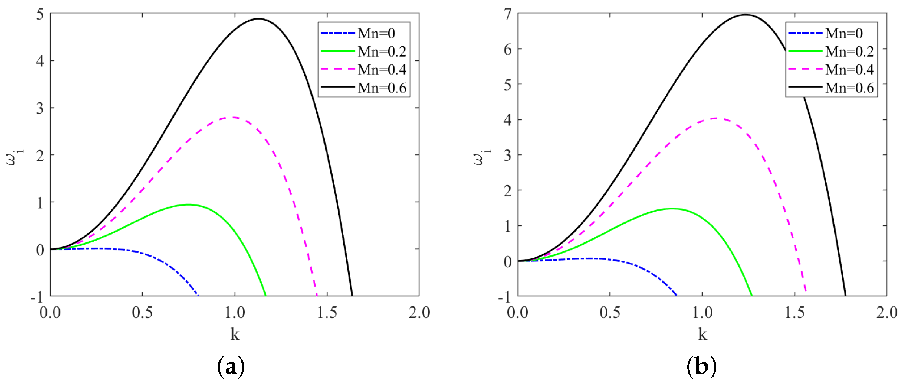
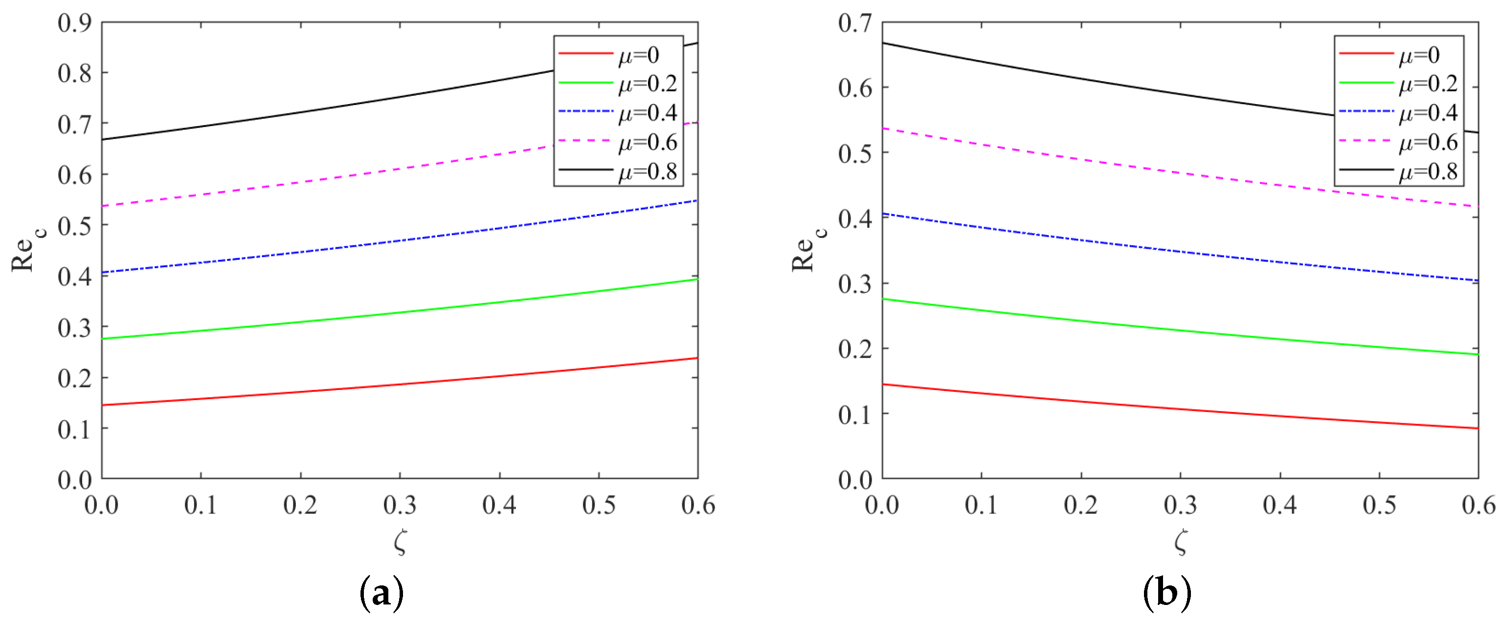
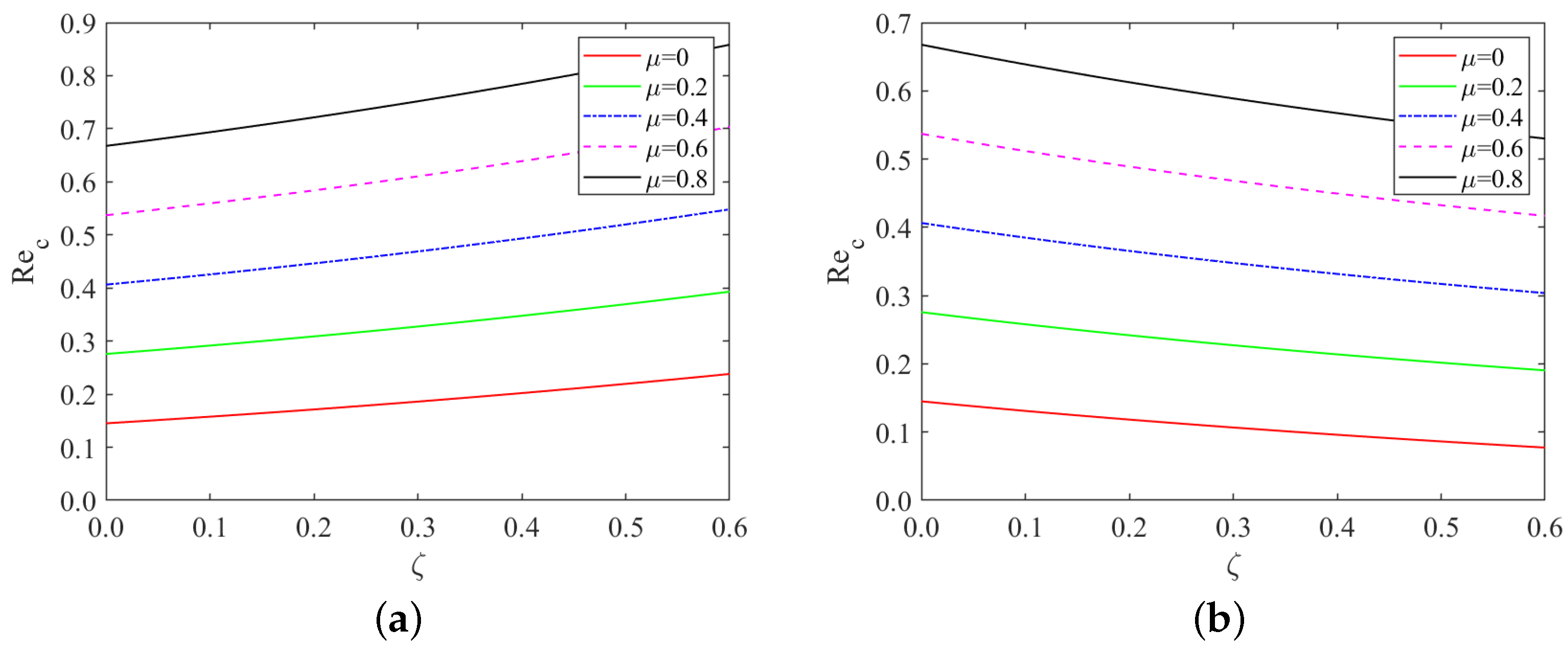
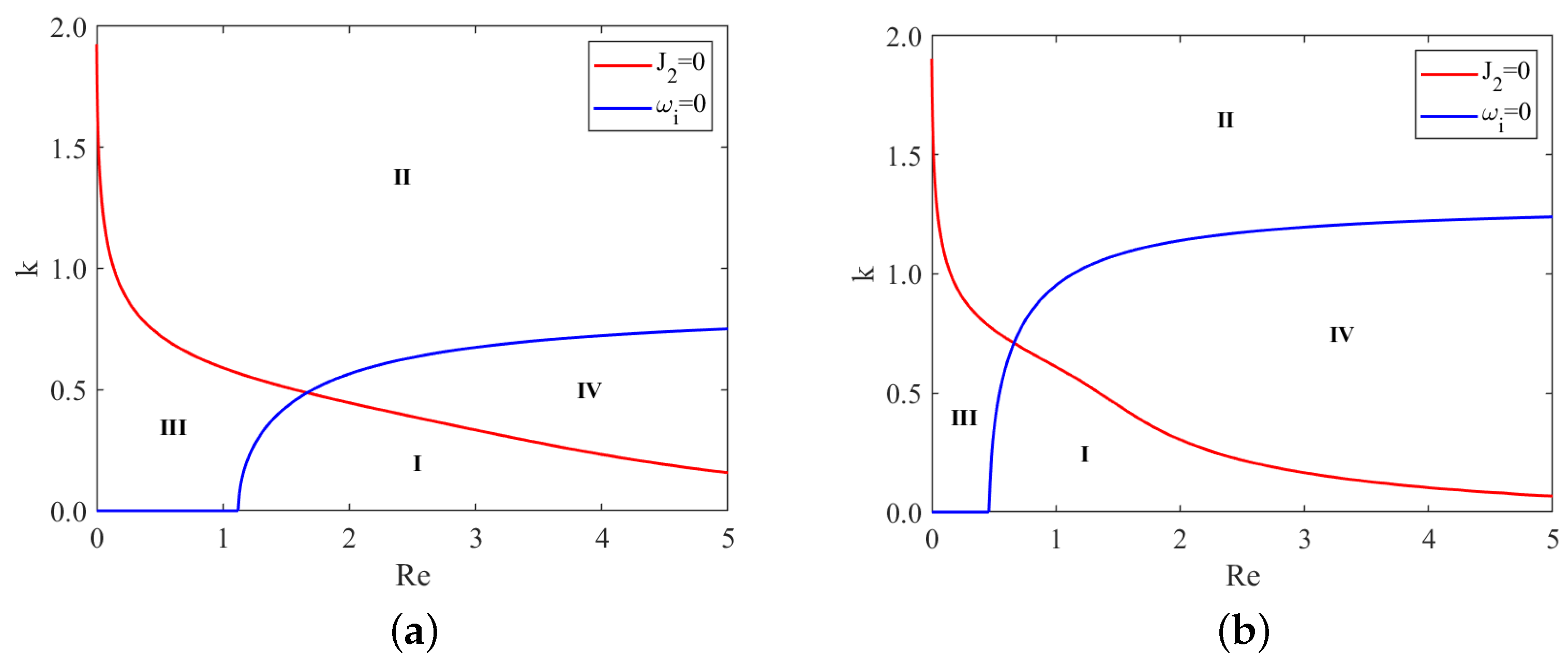
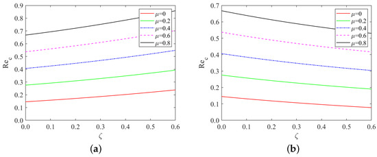
8.1. Linear Stability Analysis
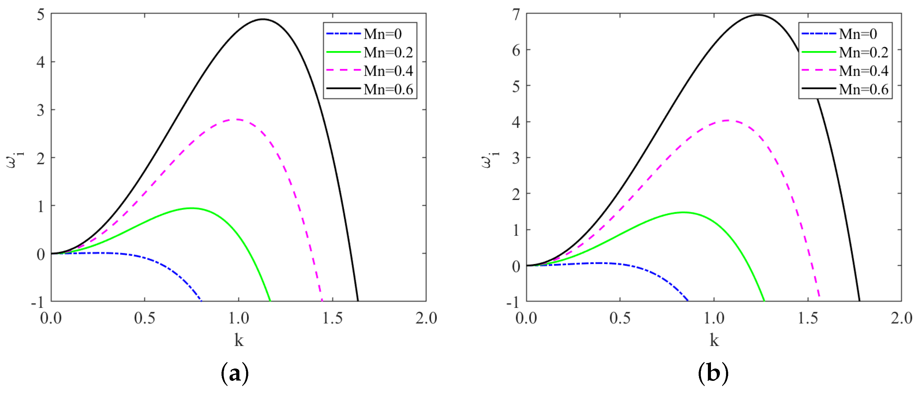
8.2. Weakly Non-Linear Stability Analysis
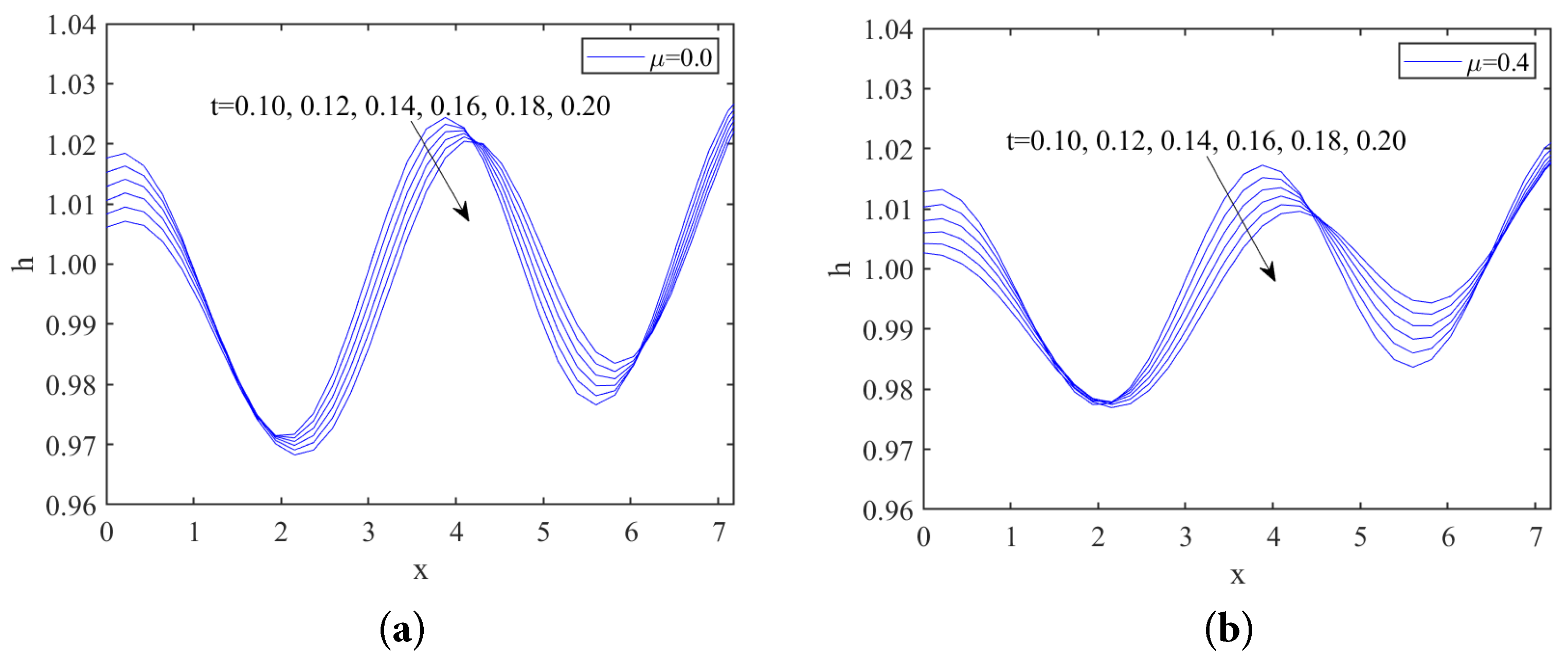
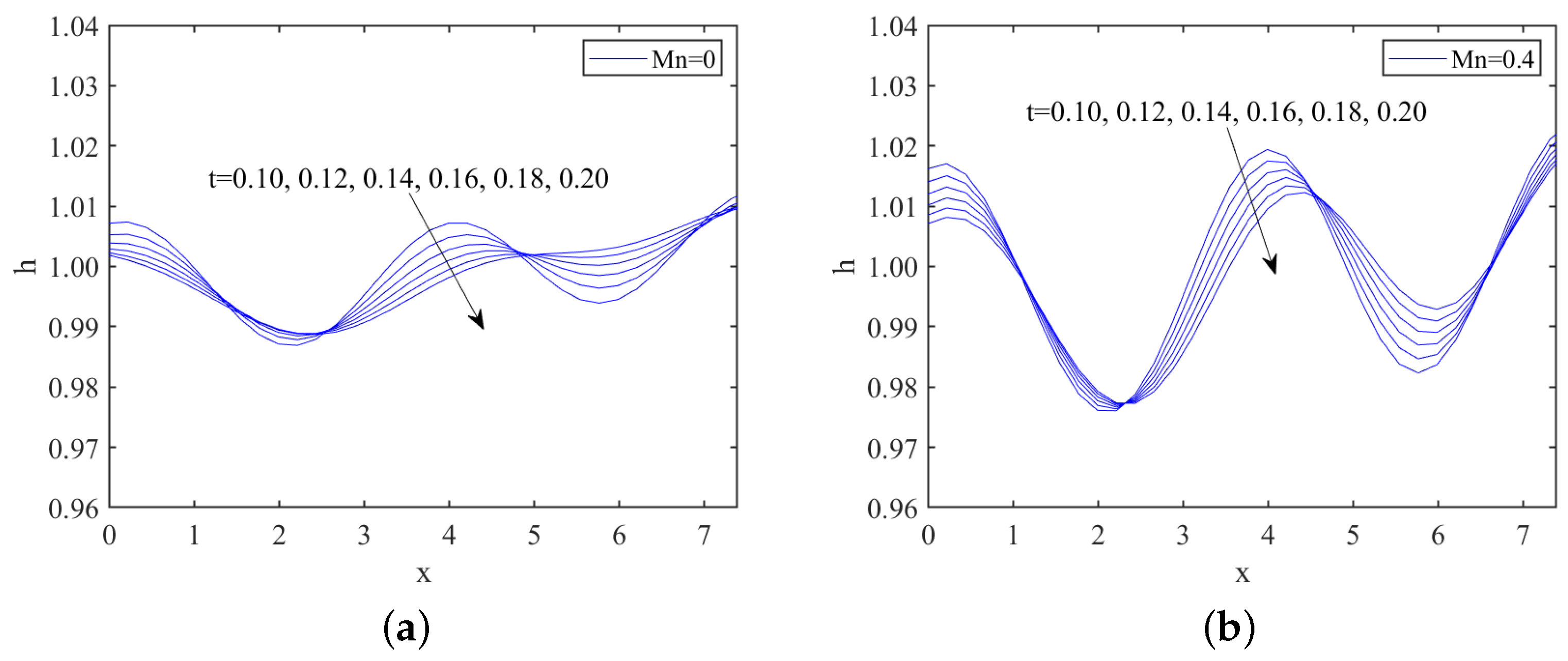
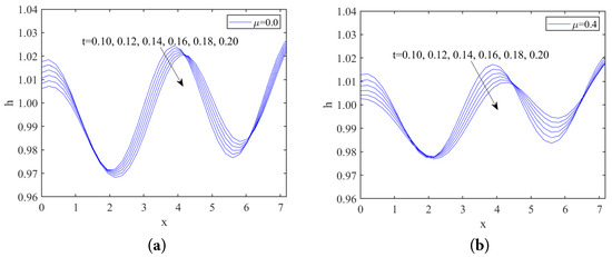
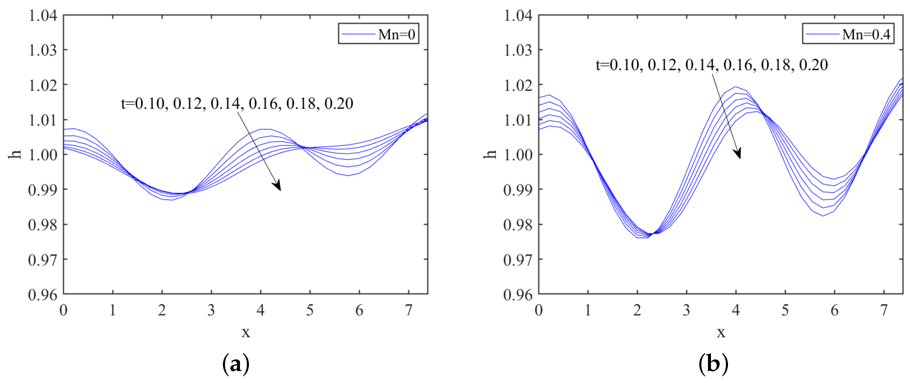
8.3. Numerical Simulations
9. Conclusions
Author Contributions
Funding
Institutional Review Board Statement
Informed Consent Statement
Data Availability Statement
Conflicts of Interest
References
- Oron, A.; Davis, S.H.; Bankoff, S.G. Long-scale evolution of thin liquid films. Rev. Mod. Phys. 1997, 69, 931. [Google Scholar] [CrossRef]
- Tseluiko, D.; Papageorgiou, D.T. Wave evolution on electrified falling films. J. Fluid Mech. 2006, 556, 361–386. [Google Scholar] [CrossRef]
- Kalliadasis, S.; Kiyashko, A.; Demekhin, E.A. Marangoni instability of a thin liquid film heated from below by a local heat source. J. Fluid Mech. 2003, 475, 377–408. [Google Scholar] [CrossRef]
- Chen, C.I.; Chen, C.K.; Yang, Y.T. Weakly nonlinear stability analysis of thin viscoelastic film flowing down on the outer surface of a rotating vertical cylinder. Int. J. Eng. Sci. 2003, 41, 1313–1336. [Google Scholar] [CrossRef]
- Thiele, U.; Goyeau, B.; Velarde, M.G. Stability analysis of thin film flow along a heated porous wall. Phys. Fluids 2009, 21, 014103. [Google Scholar] [CrossRef]
- Closa, F.; Ziebert, F.; Raphael, E. Effects of In-plane Elastic Stress and Normal External Stress on Viscoelastic Thin Film Stability. Math. Model. Nat. Phenom. 2012, 7, 6–19. [Google Scholar] [CrossRef][Green Version]
- Benjamin, T.B. Wave formation in laminar flow down an inclined plane. J. Fluid Mech. 1957, 2, 554–573. [Google Scholar] [CrossRef]
- Yih, C.S. Stability of liquid flow down an inclined plane. Phys. Fluids 1963, 6, 321–334. [Google Scholar] [CrossRef]
- Samanta, A. Stability of liquid film falling down a vertical non-uniformly heated wall. Physica D 2008, 237, 2587–2598. [Google Scholar] [CrossRef]
- Samanta, A. Stability of inertialess liquid film flowing down a heated inclined plane. Phys. Lett. A 2008, 372, 6653–6657. [Google Scholar] [CrossRef]
- Bauer, R.J.; Kerczek, C.V. Stability of liquid film flow down an oscillating wall. J. Appl. Mech. 1991, 58, 278–282. [Google Scholar] [CrossRef]
- Hanratty, T.J. Interfacial instabilities caused by air flow over a thin liquid layer. In Waves on Fluid Interfaces; Meyer, R.E., Ed.; Academic Press: Cambridge, MA, USA, 1983; pp. 221–259. [Google Scholar]
- Craster, R.V.; Matar, O.K. Dynamics and stability of thin liquid films. Rev. Mod. Phys. 2009, 81, 1131. [Google Scholar] [CrossRef]
- Trevelyan, P.M.J.; Kalliadasis, S. Wave dynamics on a thin-liquid film falling down a heated wall. J. Eng. Math. 2004, 50, 177–208. [Google Scholar] [CrossRef]
- Sadiq, I.M.R.; Usha, R.; Joo, S.W. Instabilities in a liquid film flow over an inclined heated porous substrate. Chem. Eng. Sci. 2010, 65, 4443–4459. [Google Scholar] [CrossRef]
- Mukhopadhyay, A. Stability of a thin viscous fluid film flowing down a rotating non-uniformly heated inclined plane. Acta Mech. 2011, 216, 225–242. [Google Scholar] [CrossRef]
- Gjevik, B. Occurrence of Finite-Amplitude Surface Waves on Falling Liquid Films. Phys. Fluids 1970, 13, 1918–1925. [Google Scholar] [CrossRef]
- Nakaya, C. Long waves on a thin fluid layer flowing down an inclined planes. Phys. Fluids 1975, 18, 1407–1412. [Google Scholar] [CrossRef]
- Pozrikidis, C. The flow of a liquid film along a periodic wall. J. Fluid Mech. 1988, 188, 275–300. [Google Scholar] [CrossRef]
- Bielarz, C.; Kalliadasis, S. Time-dependent free-surface thin film flows over Topography. Phys. Fluids 2003, 15, 2512–2524. [Google Scholar] [CrossRef]
- Wierschem, A.; Aksel, N. Instability of a liquid film flowing down an inclined wavy plane. Physica D 2003, 186, 221–237. [Google Scholar] [CrossRef]
- Trifonov, Y.Y. Viscous liquid film flow down an inclined corrugated surface. Calculation of the flow stability to arbitrary perturbations using an integral method. J. Appl. Mech. Tech. Phys. 2016, 57, 195–201. [Google Scholar] [CrossRef]
- Heining, C.; Aksel, N. Bottom reconstruction in thin-film flow over topog-raphy: Steady solution and linear stability. Phys. Fluids 2009, 21, 083605. [Google Scholar] [CrossRef]
- Tougou, H. Long waves on a film flow of a viscous fluid down an inclined uneven wall. J. Phys. Soc. Jpn. 1978, 44, 1014–1019. [Google Scholar] [CrossRef]
- Fruchart, M.; Scheibner, C.; Vitelli, V. Odd Viscosity and Odd Elasticity. Annu. Rev. Condens. Matter Phys. 2023, 14, 471–510. [Google Scholar] [CrossRef]
- Granero-Belinchón, R.; Ortega, A. On the Motion of Gravity–Capillary Waves with Odd Viscosity. J. Nonlinear Sci. 2022, 32, 28. [Google Scholar] [CrossRef]
- Avron, J.E. Odd viscosity. J. Stat. Phys. 1998, 92, 543–557. [Google Scholar] [CrossRef]
- Avron, J.E.; Elgart, A. Adiabatic theorem without a gap condition: Two-level system coupled to quantized radiation field. Phys. Rev. A 1998, 58, 4300. [Google Scholar] [CrossRef]
- Sumino, Y.; Nagai, K.H.; Shitaka, Y.; Tanaka, D.; Yoshikawa, K.; Chate, H.; Oiwa, K. Large-scale vortex lattice emerging from collectively moving micro-tubules. Nature 2012, 483, 448–452. [Google Scholar] [CrossRef]
- Tsai, J.C.; Ye, F.; Rodriguez, J.; Gollub, J.P.; Lubensky, T.C. A chiral granular gas. Phys. Rev. Lett. 2005, 94, 214301. [Google Scholar] [CrossRef]
- Maggi, C.; Saglimbeni, F.; Dipalo, M.; Angelis, F.D.; Leonardo, R.D. Micromotors with asymmetric shape that efficiently convert light into work by thermocapillary effects. Nat. Commun. 2015, 6, 7855. [Google Scholar] [CrossRef]
- Kirkinis, E.; Andreev, A.V. Odd-viscosity-induced stabilization of viscous thin liquid films. J. Fluid Mech. 2019, 878, 169–189. [Google Scholar] [CrossRef]
- Lapa, M.F.; Hughes, T.L. Swimming at low reynolds number in fluids with odd, or hall, viscosity. Phys. Rev. E 2014, 89, 043019. [Google Scholar] [CrossRef] [PubMed]
- Zhao, J.; Jian, Y. Effect of odd viscosity on the stability of a falling thin film in presence of electromagnetic field. Fluid Dyn. Res. 2021, 53, 015510. [Google Scholar] [CrossRef]
- Mukhopadhyay, S.; Mukhopadhyay, A. Hydrodynamics and instabilities of falling liquid film over a non-uniformly heated inclined wavy bottom. Phys. Fluids 2020, 32, 074103. [Google Scholar] [CrossRef]
- Wierschem, A.; Lepski, C.; Aksel, N. Effect of long undulated bottoms on thin gravity-driven films. Acta Mech. 2005, 179, 41–66. [Google Scholar] [CrossRef]
- Miladinova, S.; Slavtchev, S.; Lebon, G.; Legros, J.C. Long-wave instabilities of non-uniformly heated falling films. J. Fluid Mech. 2002, 453, 153–175. [Google Scholar] [CrossRef]
- Dandapat, B.S.; Mukhopadhyay, A. Finite amplitude long wave instability of a film of conducting fluid flowing down an inclined plane in presence of electromagnetic field. Int. J. Appl. Mech. Eng. 2003, 8, 379–393. [Google Scholar]
- Mukhopadhyay, A.; Dandapat, B.S. Nonlinear stability of conducting viscous film flowing down an inclined plane at moderate Reynolds number in the presence of a uniform normal electric field. J. Phys. D Appl. Phys. 2004, 38, 138–143. [Google Scholar] [CrossRef]
- Mukhopadhyay, A.; Dandapat, B.S.; Mukhopadhyay, A. Stability of conducting liquid flowing down an inclined plane at moderate Reynolds number in the presence of constant electromagnetic field. Int. J. Non-Linear Mech. 2008, 43, 632–642. [Google Scholar] [CrossRef]
- Chattopadhyay, S.; Subedar, G.Y.; Gaonkar, A.K.; Barua, A.K.; Mukhopadhyay, A. Effect of odd-viscosity on the dynamics and stability of a thin liquid film flowing down on a vertical moving plate. Int. J. Non-Linear Mech. 2022, 140, 103905. [Google Scholar] [CrossRef]
- Mukhopadhyay, A.; Haldar, S. Long-wave instabilities of viscoelastic fluid film flowing down an inclined plane with linear temperature variation. Z. Naturforsch. A 2010, 65, 618–632. [Google Scholar] [CrossRef]












Disclaimer/Publisher’s Note: The statements, opinions and data contained in all publications are solely those of the individual author(s) and contributor(s) and not of MDPI and/or the editor(s). MDPI and/or the editor(s) disclaim responsibility for any injury to people or property resulting from any ideas, methods, instructions or products referred to in the content. |
© 2023 by the authors. Licensee MDPI, Basel, Switzerland. This article is an open access article distributed under the terms and conditions of the Creative Commons Attribution (CC BY) license (https://creativecommons.org/licenses/by/4.0/).
Share and Cite
Xue, D.; Zhang, R.; Liu, Q.; Ding, Z. Instability of Liquid Film with Odd Viscosity over a Non-Uniformly Heated and Corrugated Substrate. Nanomaterials 2023, 13, 2660. https://doi.org/10.3390/nano13192660
Xue D, Zhang R, Liu Q, Ding Z. Instability of Liquid Film with Odd Viscosity over a Non-Uniformly Heated and Corrugated Substrate. Nanomaterials. 2023; 13(19):2660. https://doi.org/10.3390/nano13192660
Chicago/Turabian StyleXue, Danting, Ruigang Zhang, Quansheng Liu, and Zhaodong Ding. 2023. "Instability of Liquid Film with Odd Viscosity over a Non-Uniformly Heated and Corrugated Substrate" Nanomaterials 13, no. 19: 2660. https://doi.org/10.3390/nano13192660
APA StyleXue, D., Zhang, R., Liu, Q., & Ding, Z. (2023). Instability of Liquid Film with Odd Viscosity over a Non-Uniformly Heated and Corrugated Substrate. Nanomaterials, 13(19), 2660. https://doi.org/10.3390/nano13192660

