Synthesis and NO2 Sensing Properties of In2O3 Micro-Flowers Composed of Nanorods
Abstract
1. Introduction
2. Materials and Methods
2.1. Synthesis of In2O3 Hierarchical Micro-Flowers
2.2. Physical Characterization Methods
2.3. Gas sensors Fabrication and Measurement
3. Results
3.1. Morphological and Structural Characteristics
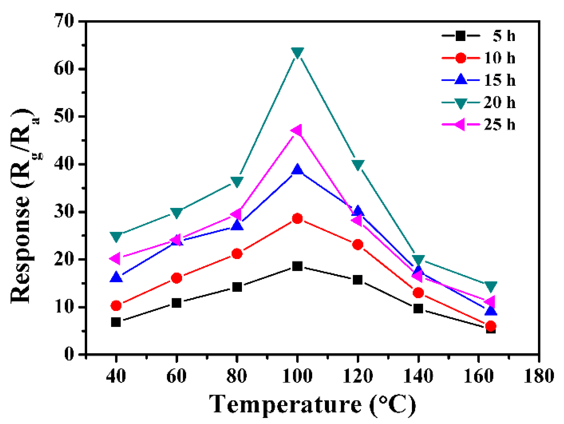
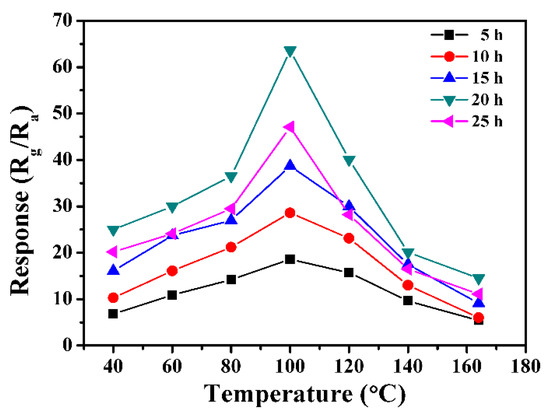
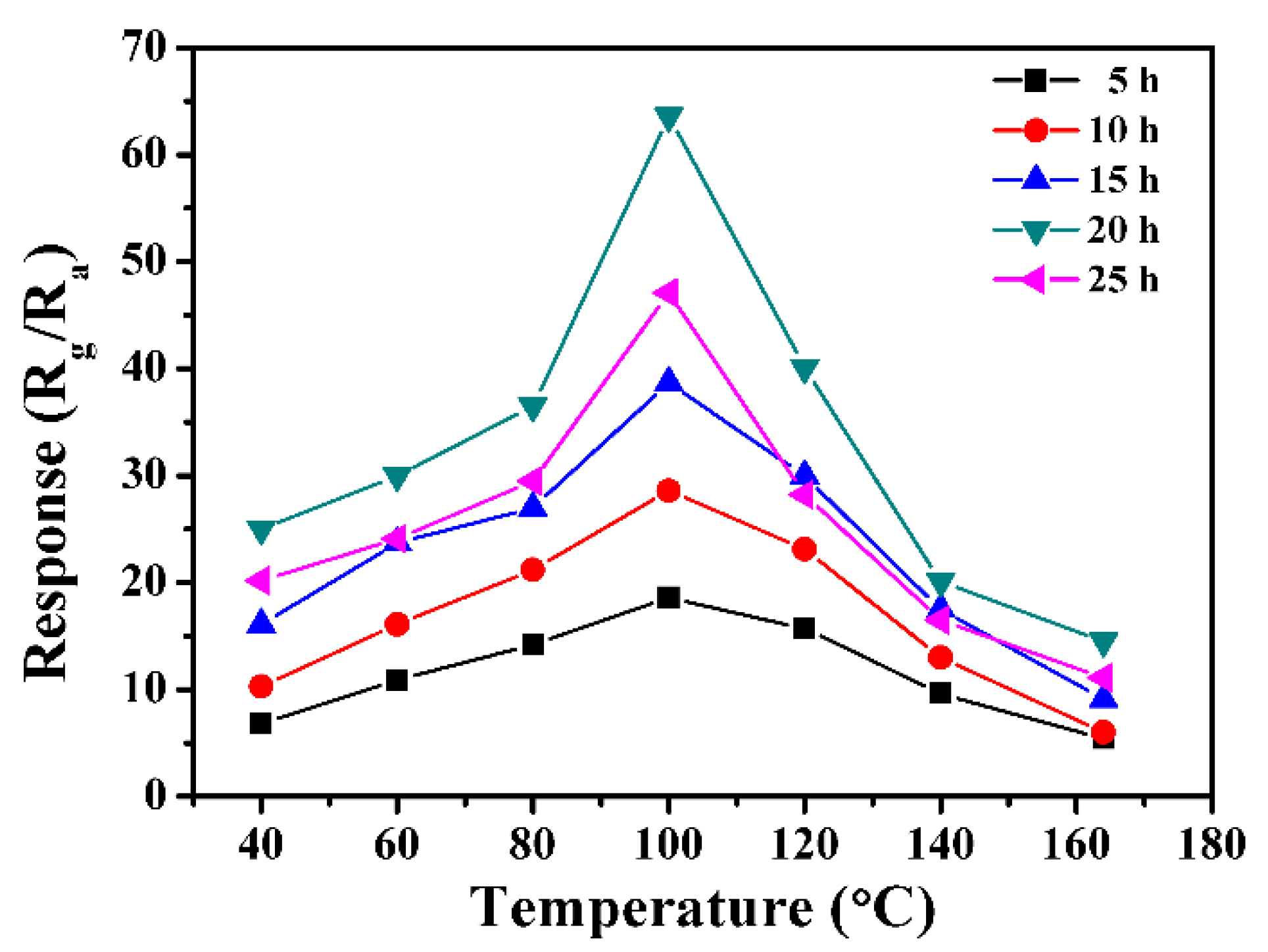
3.2. Gas-Sensing Properties
3.3. Gas Sensing Mechanism
4. Conclusions
Author Contributions
Funding
Data Availability Statement
Conflicts of Interest
References
- Marichy, C.; Russo, P.A.; Latino, M.; Tessonnier, J.-P.; Willinger, M.-G.; Donato, N.; Neri, G.; Pinna, N. Tin Dioxide–Carbon Heterostructures Applied to Gas Sensing: Structure-Dependent Properties and General Sensing Mechanism. J. Phys. Chem. C 2013, 117, 19729–19739. [Google Scholar] [CrossRef]
- Franke, M.E.; Koplin, T.J.; Simon, U. Metal and Metal Oxide Nanoparticles in Chemiresistors: Does the Nanoscale Matter? Small 2006, 2, 36–50. [Google Scholar] [CrossRef] [PubMed]
- Barsan, N.; Koziej, D.; Weimar, U. Metal oxide-based gas sensor research: How to? Sens. Actuators B Chem. 2007, 121, 18–35. [Google Scholar] [CrossRef]
- Korotcenkov, G. Metal oxides for solid-state gas sensors: What determines our choice? Mater. Sci. Eng. B 2007, 139, 1–23. [Google Scholar] [CrossRef]
- Li, X.; Sun, P.; Yang, T.; Zhao, J.; Wang, Z.; Wang, W.; Liu, Y.; Lu, G.; Du, Y. Template-free microwave-assisted synthesis of ZnO hollow microspheres and their application in gas sensing. Crystengcomm 2013, 15, 2949–2955. [Google Scholar] [CrossRef]
- Wang, T.; Kou, X.; Zhao, L.; Sun, P.; Liu, C.; Wang, Y.; Shimanoe, K.; Yarnazoe, N.; Lu, G. Flower-like ZnO hollow microspheres loaded with CdO nanoparticles as high performance sensing material for gas sensors. Sens. Actuators B Chem. 2017, 250, 692–702. [Google Scholar] [CrossRef]
- Sun, P.; Zhao, W.; Cao, Y.; Guan, Y.; Sun, Y.; Lu, G. Porous SnO2 hierarchical nanosheets: Hydrothermal preparation, growth mechanism, and gas sensing properties. Crystengcomm 2011, 13, 3718–3724. [Google Scholar] [CrossRef]
- Zhang, D.; Liu, A.; Chang, H.; Xia, B. Room-temperature high-performance acetone gas sensor based on hydrothermal synthesized SnO2-reduced graphene oxide hybrid composite. RSC Adv. 2015, 5, 3016–3022. [Google Scholar] [CrossRef]
- Wang, Z.; Sun, P.; Yang, T.; Gao, Y.; Li, X.; Lu, G.; Du, Y. Flower-like WO3 architectures synthesized via a microwave-assisted method and their gas sensing properties. Sens. Actuators B Chem. 2013, 186, 734–740. [Google Scholar] [CrossRef]
- Zeng, W.; Zhang, H.; Wang, Z. Effects of different petal thickness on gas sensing properties of flower-like WO3 center dot H2O hierarchical architectures. Appl. Surf. Sci. 2015, 347, 73–78. [Google Scholar] [CrossRef]
- Zhang, D.; Jiang, C.; Zhou, X. Fabrication of Pd-decorated TiO2/MoS2 ternary nanocomposite for enhanced benzene gas sensing performance at room temperature. Talant 2018, 182, 324–332. [Google Scholar] [CrossRef]
- Zhang, D.; Liu, J.; Jiang, C.; Li, P.; Sun, Y.E. High-performance sulfur dioxide sensing properties of layer-by-layer self-assembled titania-modified graphene hybrid nanocomposite. Sens. Actuators B Chem. 2017, 245, 560–567. [Google Scholar] [CrossRef]
- Sun, P.; Wang, C.; Zhou, X.; Cheng, P.; Shimanoe, K.; Lu, G.; Yamazoe, N. Cu-doped alpha-Fe2O3 hierarchical microcubes: Synthesis and gas sensing properties. Sens. Actuators B Chem. 2014, 193, 616–622. [Google Scholar] [CrossRef]
- Sun, P.; Wang, W.; Liu, Y.; Sun, Y.; Ma, J.; Lu, G. Hydrothermal synthesis of 3D urchin-like alpha-Fe2O3 nanostructure for gas sensor. Sens. Actuators B Chem. 2012, 173, 52–57. [Google Scholar] [CrossRef]
- Cao, J.; Wang, Z.; Wang, R.; Zhang, T. Electrostatic sprayed Cr-loaded NiO core-in-hollow-shell structured micro/nanospheres with ultra-selectivity and sensitivity for xylene. Crystengcomm 2014, 16, 7731–7737. [Google Scholar] [CrossRef]
- Gao, H.; Wei, D.; Lin, P.; Liu, C.; Sun, P.; Shimanoe, K.; Yamazoe, N.; Lu, G. The design of excellent xylene gas sensor using Sn-doped NiO hierarchical nanostructure. Sens. Actuators B Chem. 2017, 253, 1152–1162. [Google Scholar] [CrossRef]
- Su, C.; Zhang, L.; Han, Y.; Chen, X.; Wang, S.; Zeng, M.; Hu, N.; Su, Y.; Zhou, Z.; Wei, H.; et al. Glucose-assisted synthesis of hierarchical flower-like Co3O4 nanostructures assembled by porous nanosheets for enhanced acetone sensing. Sens. Actuators B Chem. 2019, 288, 699–706. [Google Scholar] [CrossRef]
- Zhou, T.; Zhang, T.; Deng, J.; Zhang, R.; Lou, Z.; Wang, L. P-type Co3O4 nanomaterials-based gas sensor: Preparation and acetone sensing performance. Sens. Actuators B Chem. 2017, 242, 369–377. [Google Scholar] [CrossRef]
- Choi, Y.M.; Cho, S.-Y.; Jang, D.; Koh, H.-J.; Choi, J.; Kim, C.-H.; Jung, H.-T. Ultrasensitive Detection of VOCs Using a High-Resolution CuO/Cu2O/Ag Nanopattern Sensor. Adv. Funct. Mater. 2019, 29, 1808319. [Google Scholar] [CrossRef]
- Steinhauer, S.; Brunet, E.; Maier, T.; Mutinati, G.C.; Koeck, A. Suspended CuO nanowires for ppb level H2S sensing in dry and humid atmosphere. Sens. Actuators B Chem. 2013, 186, 550–556. [Google Scholar] [CrossRef]
- Wang, Z.; Xiao, Y.; Cui, X.; Cheng, P.; Wang, B.; Gao, Y.; Li, X.; Yang, T.; Zhang, T.; Lu, G. Humidity-Sensing Properties of Urchinlike CuO Nanostructures Modified by Reduced Graphene Oxide. Appl. Mater. Interfaces 2014, 6, 3888–3895. [Google Scholar] [CrossRef] [PubMed]
- Cheng, Z.X.; Ren, X.H.; Xu, J.Q.; Pan, Q.Y. Mesoporous In2O3: Effect of Material Structure on the Gas Sensing. J. Nanomater. 2011, 2011, 654715. [Google Scholar] [CrossRef]
- Yang, Q.; Wang, Y.; Liu, J.; Liu, J.; Gao, Y.; Sun, P.; Jie, Z.; Zhang, T.; Wang, Y.; Lu, G. Enhanced sensing response towards NO2 based on ordered mesoporous Zr-doped In2O3 with low operating temperature. Sens. Actuators B Chem. 2017, 241, 806–813. [Google Scholar] [CrossRef]
- Lu, B.; Chen, P.; Zou, J.; Yao, B.; Chen, H. Morphology-Controllable Synthesis of Cubic-Structured In2O3 Particles with Enhanced NO2 Gas Sensitivity. Phys. Status Solidi (A) 2018, 215, 1800401. [Google Scholar] [CrossRef]
- Yang, W.; Chen, H.T.; Li, C.L.; Meng, H. Surface porosity-rich In2O3 microcubes as efficient channel for trace NO2 detection. Mater. Lett. 2020, 271, 127782. [Google Scholar] [CrossRef]
- Patil, S.P.; Patil, V.L.; Shendage, S.S.; Harale, N.S.; Vanalakar, S.A.; Kim, J.H.; Patil, P.S. Spray pyrolyzed indium oxide thick films as NO2 gas sensor. Ceram. Int. 2016, 42, 16160–16168. [Google Scholar] [CrossRef]
- An, S.; Park, S.; Ko, H.; Jin, C.; Lee, W.I.; Lee, C. Enhanced ethanol sensing properties of multiple networked Au-doped In2O3 nanotube sensors. J. Phys. Chem. Solids 2013, 74, 979–984. [Google Scholar] [CrossRef]
- Park, S.; Sun, G.-J.; Kheel, H.; Lee, W.I.; Lee, S.; Choi, S.-B.; Lee, C. Synergistic effects of codecoration of oxide nanoparticles on the gas sensing performance of In2O3 nanorods. Sens. Actuators B Chem. 2016, 227, 591–599. [Google Scholar] [CrossRef]
- Wang, S.; Cao, J.; Cui, W.; Li, X.; Li, D. Facile synthesis and excellent formaldehyde gas sensing properties of novel spindle-like In2O3 porous polyhedra. Sens. Actuators B Chem. 2016, 237, 944–952. [Google Scholar] [CrossRef]
- Samal, R.; Dash, B.; Sarangi, C.K.; Sanjay, K.; Subbaiah, T.; Senanayake, G.; Minakshi, M. Influence of Synthesis Temperature on the Growth and Surface Morphology of Co3O4 Nanocubes for Supercapacitor Applications. Nanomaterials 2017, 7, 356. [Google Scholar] [CrossRef]
- Choi, M.S.; Mirzaei, A.; Na, H.G.; Kim, S.; Kim, D.E.; Lee, K.H.; Jin, C.; Choi, S.-W. Facile and fast decoration of SnO2 nanowires with Pd embedded SnO2-x nanoparticles for selective NO2 gas sensing. Sens. Actuators B Chem. 2021, 340, 129984. [Google Scholar] [CrossRef]
- Gao, L.P.; Cheng, Z.X.; Xiang, Q.; Zhang, Y.; Xu, J.Q. Porous corundum-type In2O3 nanosheets: Synthesis and NO2 sensing properties. Sens. Actuators B Chem. 2015, 208, 436–443. [Google Scholar] [CrossRef]
- Kumar, M.; Bhatt, V.; Kim, J.; Yun, J.H. Solvent and catalyst-free synthesis of In2O3 octahedron using single-step thermal decomposition technique for NO2 detection. J. Alloy. Compd. 2021, 877, 160161. [Google Scholar] [CrossRef]
- Zhou, P.F.; Shen, Y.B.; Lu, W.; Zhao, S.K.; Li, T.T.; Zhong, X.X.; Cui, B.Y.; Wei, D.Z.; Zhang, Y.H. Highly selective NO2 chemiresistive gas sensor based on hierarchical In2O3 microflowers grown on clinoptilolite substrates. J. Alloy. Compd. 2020, 828, 154395. [Google Scholar] [CrossRef]
- Na, C.W.; Kim, J.H.; Kim, H.J.; Woo, H.S.; Gupta, A.; Kim, H.K.; Lee, J.H. Highly selective and sensitive detection of NO2 using rGO-In2O3 structure on flexible substrate at low temperature. Sens. Actuators B Chem. 2018, 255, 1671–1679. [Google Scholar] [CrossRef]
- Selvakumar, D.; Rajeshkumar, P.; Dharmaraj, N.; Kumar, N.S. NO2 Gas sensing properties of hydrothermally prepared platinum doped indium oxide nanoparticles. Mater. Today Proc. 2016, 3, 1725–1729. [Google Scholar] [CrossRef]
- Zhang, D.Z.; Wu, D.; Cao, Y.H.; Zong, X.Q.; Yang, Z.M. Construction of Co3O4 nanorods/In2O3 nanocubes heterojunctions for efficient sensing of NO2 gas at low temperature. J. Mater. Sci. Mater. Electron. 2018, 29, 19558–19566. [Google Scholar] [CrossRef]
- Horprathum, M.; Srichaiyaperk, T.; Samransuksamer, B.; Wisitsoraat, A.; Eiamchai, P.; Limwichean, S.; Chananonnawathorn, C.; Aiempanakit, K.; Nuntawong, N.; Patthanasettakul, V.; et al. Ultrasensitive hydrogen sensor based on Pt-decorated WO3 nanorods prepared by glancing-angle dc magnetron sputtering. ACS Appl. Mater. Interfaces 2014, 6, 22051–22060. [Google Scholar] [CrossRef]
- Moon, J.; Park, J.-A.; Lee, S.-J.; Zyung, T.; Kim, I.-D. Pd-doped TiO2 nanofiber networks for gas sensor applications. Sens. Actuators B Chem. 2010, 149, 301–305. [Google Scholar] [CrossRef]
- Hsueh, T.-J.; Wu, S.-S. Highly sensitive Co3O4 nanoparticles/MEMS NO2 gas sensor with the adsorption of the Au nanoparticles. Sens. Actuators B Chem. 2021, 329, 129201. [Google Scholar] [CrossRef]
- Wang, Y.; Liu, C.; Wang, Z.; Song, Z.; Zhou, X.; Han, N.; Chen, Y. Sputtered SnO2:NiO thin films on self-assembled Au nanoparticle arrays for MEMS compatible NO2 gas sensors. Sens. Actuators B Chem. 2019, 278, 28–38. [Google Scholar] [CrossRef]
- Das, M.; Shringi, A.K.; Kumar, M. MoS2 Decorated α-Fe2O3 Nanostructures for Efficient NO2 Gas Sensor. IEEE Sens. J. 2022, 22, 19183–19190. [Google Scholar] [CrossRef]
- Shinde, P.V.; Xia, Q.X.; Ghule, B.G.; Shinde, N.M.; Seonghee, J.; Kim, K.H.; Mane, R.S. Hydrothermally grown α-MnO2 interlocked mesoporous micro-cubes of several nanocrystals as selective and sensitive nitrogen dioxide chemoresistive gas sensors. Appl. Surf. Sci. 2018, 442, 178–184. [Google Scholar] [CrossRef]
- Eranna, G.; Joshi, B.C.; Runthala, D.P.; Gupta, R.P. Oxide Materials for Development of Integrated Gas Sensors—A Comprehensive Review. Crit. Rev. Solid State Mater. Sci. 2004, 29, 111–188. [Google Scholar] [CrossRef]
- Zhao, S.; Shen, Y.; Zhou, P.; Hao, F.; Xu, X.; Gao, S.; Wei, D.; Ao, Y.; Shen, Y. Enhanced NO2 sensing performance of ZnO nanowires functionalized with ultra-fine In2O3 nanoparticles. Sens. Actuators B Chem. 2020, 308, 127729. [Google Scholar] [CrossRef]











| Sensing Materials | Method | T (°C) | Resp. (Rg/Ra) | Con. (ppm) | Ref. |
|---|---|---|---|---|---|
| In2O3 Microcubes | Hydrothermal | 100 | 17.3 | 1 | [25] |
| Porous In2O3 Nanosheets | Solvothermal | 250 | 164 | 50 | [32] |
| In2O3 Octahedron | Thermal decomposition | 200 | 43.52 | 30 | [33] |
| In2O3 Thick Films | Spray pyrolysis | 150 | 33.45 | 100 | [26] |
| Micro Flower | Hydrothermal | 125 | 19.6 | 5 | [34] |
| rGO-In2O3 Hybrid | Solvothermal | 150 | 22.3 | 0.5 | [35] |
| Pt-In2O3 | Hydrothermal | 165 | 7.5 | 5 | [36] |
| Co3O4/In2O3 | Hydrothermal | 150 | 27.9 | 10 | [37] |
| In2O3 Nanocubes | Solvothermal | 300 | 55.6 | 100 | [24] |
| Pt-WO3 Films | Glancing angle deposition | 150 | 11.24 | 1 | [38] |
| Pd-SnO2 Nanowires | Vapor–Liquid–Solid | 200 | 21.87 | 10 | [31] |
| Pd-TiO2 Nanofiber mats | Electrospinning | 180 | 38 | 2.1 | [39] |
| Au-Co3O4 Nanoparticles | Reduction | 136 | 136 | 0.1 | [40] |
| Au-SnO2/NiO Thin films | Sputtering | 200 | 180 | 5 | [41] |
| Fe2O3 Nanoparticles | RF magnetron sputtering | 150 | 1.69 | 100 | [42] |
| α-MnO2 cube | Hydrothermal | 150 | 1.33 | 100 | [43] |
| In2O3 Micro-flower | Solvothermal | 100 | 63.6 | 1 | This work |
Disclaimer/Publisher’s Note: The statements, opinions and data contained in all publications are solely those of the individual author(s) and contributor(s) and not of MDPI and/or the editor(s). MDPI and/or the editor(s) disclaim responsibility for any injury to people or property resulting from any ideas, methods, instructions or products referred to in the content. |
© 2023 by the authors. Licensee MDPI, Basel, Switzerland. This article is an open access article distributed under the terms and conditions of the Creative Commons Attribution (CC BY) license (https://creativecommons.org/licenses/by/4.0/).
Share and Cite
Wang, Z.; Ding, H.; Liu, X.; Zhao, J. Synthesis and NO2 Sensing Properties of In2O3 Micro-Flowers Composed of Nanorods. Nanomaterials 2023, 13, 2289. https://doi.org/10.3390/nano13162289
Wang Z, Ding H, Liu X, Zhao J. Synthesis and NO2 Sensing Properties of In2O3 Micro-Flowers Composed of Nanorods. Nanomaterials. 2023; 13(16):2289. https://doi.org/10.3390/nano13162289
Chicago/Turabian StyleWang, Zhenyu, Haizhen Ding, Xuefeng Liu, and Jing Zhao. 2023. "Synthesis and NO2 Sensing Properties of In2O3 Micro-Flowers Composed of Nanorods" Nanomaterials 13, no. 16: 2289. https://doi.org/10.3390/nano13162289
APA StyleWang, Z., Ding, H., Liu, X., & Zhao, J. (2023). Synthesis and NO2 Sensing Properties of In2O3 Micro-Flowers Composed of Nanorods. Nanomaterials, 13(16), 2289. https://doi.org/10.3390/nano13162289
