Impact of Gastrointestinal Digestion In Vitro Procedure on the Characterization and Cytotoxicity of Reduced Graphene Oxide
Abstract
1. Introduction
2. Materials and Methods
2.1. Chemicals and Reagents
2.2. In Vitro Digestion Model
2.3. Characterization
2.4. In Vitro Cell Models
2.5. Uptake and Cytotoxicity
2.6. Cytokines Detection
2.7. Statistical Analysis
3. Results and Discussion
3.1. Characterization of rGO after Digestion Process
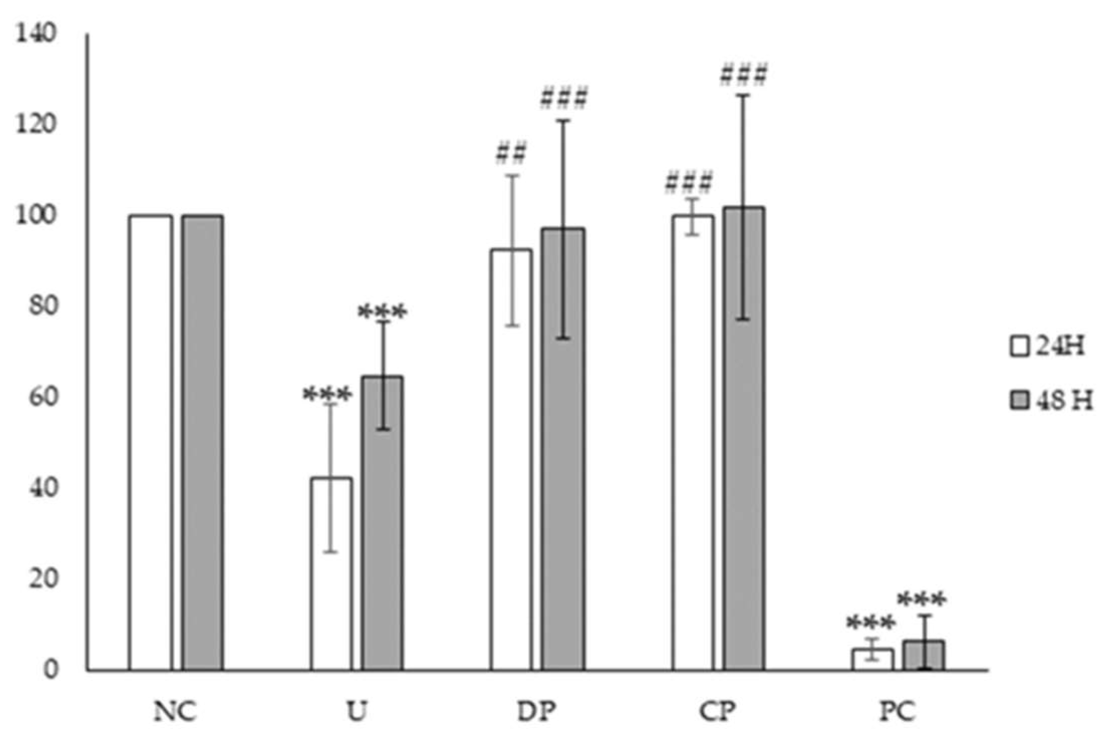
3.2. Internalization and Cytotoxicity of Digested rGO in Different Cell Models
3.3. Cytokines Detection
3.4. General Discussion
4. Conclusions
Supplementary Materials
Author Contributions
Funding
Data Availability Statement
Acknowledgments
Conflicts of Interest
References
- Chen, Z.; Cai, P.; Wen, Q.; Chen, H.; Tang, Y.; Yi, Z.; Wei, K.; Li, G.; Tang, B.; Yi, Y. Graphene Multi-Frequency Broadband and Ultra-Broadband Terahertz Absorber Based on Surface Plasmon Resonance. Electronics 2023, 12, 2655. [Google Scholar] [CrossRef]
- Tang, B.; Guo, Z.; Jin, G. Polarization-controlled and symmetry-dependent multiple plasmon-induced transparency in graphene-based metasurfaces. Opt. Express 2022, 30, 35554–35566. [Google Scholar] [CrossRef] [PubMed]
- Lai, R.; Shi, P.; Yi, Z.; Li, H.; Yi, Y. Triple-Band Surface Plasmon Resonance Metamaterial Absorber Based on Open-Ended Prohibited Sign Type Monolayer Graphene. Micromachines 2023, 14, 953. [Google Scholar] [CrossRef]
- Ye, Z.; Wu, P.; Wang, H.; Jiang, S.; Huang, M.; Lei, D.; Wu, F. Multimode tunable terahertz absorber based on a quarter graphene disk structure. Results Phys. 2023, 48, 106420. [Google Scholar] [CrossRef]
- Dhinakaran, V.; Lavanya, M.; Vigneswari, K.; Ravichandran, M.; Vijayakumar, M.D. Review on exploration of graphene in diverse applications and its future horizon. Mater. Today Proc. 2020, 27, 824–828. [Google Scholar] [CrossRef]
- Patel, T.N.; Vashi, Y.; Bhattacharya, P. Toxic impacts and industrial potential of graphene. J. Environ. Sci. Health Part C 2020, 38, 269–297. [Google Scholar] [CrossRef] [PubMed]
- Novoselov, K.S.; Geim, A.K.; Morozov, S.V.; Jiang, D.; Zhang, Y.; Dubonos, S.V.; Grigorieva, I.V.; Firsov, A.A. Electric field effect in atomically thin carbon films. Science 2004, 306, 666–669. [Google Scholar] [CrossRef]
- Wick, P.; Louw-Gaume, A.E.; Kucki, M.; Krug, H.F.; Kostarelos, K.; Fadeel, B.; Dawson, K.A.; Salvati, A.; Vázquez, E.; Ballerini, L.; et al. Classification Framework for Graphene-Based Materials. Angew. Chem. Int. Ed. 2014, 53, 7714–7718. [Google Scholar] [CrossRef]
- Pelin, M.; Sosa, S.; Prato, M.; Tubaro, A. Occupational exposure to graphene based nanomaterials: Risk assessment. Nanoscale 2018, 10, 15894–15903. [Google Scholar] [CrossRef] [PubMed]
- Lovén, K.; Franzén, S.M.; Isaxon, C.; Messing, M.E.; Martinsson, J.; Gudmundsson, A.; Pagels, J.; Hedmer, M.; Lund, N. Emissions and exposures of graphene nanomaterials, titanium dioxide nanofibers, and nanoparticles during down-stream industrial handling. J. Expo. Sci. Environ. Epidemiol. 2021, 31, 736–752. [Google Scholar] [CrossRef]
- Smith, A.T.; LaChance, A.M.; Zeng, S.; Liu, B.; Sun, L. Synthesis, properties, and applications of graphene oxide/reduced graphene oxide and their nanocomposites. Nano Mater. Sci. 2019, 1, 31–47. [Google Scholar] [CrossRef]
- Sanchez, V.C.; Jachak, A.; Hurt, R.H.; Kane, A.B. Biological Interactions of Graphene-Family Nanomaterials: An Interdisciplinary Review. Chem. Res. Toxicol. 2013, 25, 15–34. [Google Scholar] [CrossRef]
- Ghulam, A.N.; dos Santos, O.A.L.; Hazeem, L.; Backx, B.P.; Bououdina, M.; Bellucci, S. Graphene Oxide (GO) Materials—Applications and Toxicity on Living Organisms and Environment. J. Funct. Biomater. 2022, 13, 77. [Google Scholar] [CrossRef] [PubMed]
- Goh, K.; Heising, J.K.; Yuan, Y.; Karahan, H.E.; Wei, L.; Zhai, S.; Koh, J.-X.; Htin, N.M.; Zhang, F.; Wang, R.; et al. Sandwich-Architectured Poly(lactic acid)–Graphene Composite Food Packaging Films. ACS Appl. Mater. Interfaces 2016, 8, 9994–10004. [Google Scholar] [CrossRef] [PubMed]
- Barra, A.; Santos, J.D.C.; Silva, M.R.F.; Nunes, C.; Ruiz-Hitzky, E.; Gonçalves, I.; Yildirim, S.; Ferreira, P.; Marques, P.A.A.P. Graphene Derivatives in Biopolymer-Based Composites for Food Packaging Applications. Nanomaterials 2020, 10, 2077. [Google Scholar] [CrossRef]
- Kucki, M.; Rupper, P.; Sarrieu, C.; Melucci, M.; Treossi, E.; Schwarz, A.; León, V.; Kraegeloh, A.; Flahaut, E.; Vázquez, E.; et al. Interaction of graphene-related materials with human intestinal cells: An in vitro approach. Nanoscale 2016, 8, 8749–8760. [Google Scholar] [CrossRef]
- Guarnieri, D.; Moreno, P.S.; Castillo, A.E.D.R.; Bonaccorso, F.; Gatto, F.; Bardi, G.; Martín, C.; Vázquez, E.; Catelani, T.; Sabella, S.; et al. Biotransformation and Biological Interaction of Graphene and Graphene Oxide during Simulated Oral Ingestion. Small 2018, 14, 1800227. [Google Scholar] [CrossRef] [PubMed]
- Bitounis, D.; Parviz, D.; Cao, X.; Amadei, C.A.; Vecitis, C.D.; Sunderland, E.M.; Thrall, B.D.; Fang, M.; Strano, M.S.; Demokritou, P. Synthesis and Physicochemical Transformations of Size-Sorted Graphene Oxide during Simulated Digestion and Its Toxicological Assessment against an In Vitro Model of the Human Intestinal Epithelium. Small 2020, 16, e1907640. [Google Scholar] [CrossRef]
- Bazina, L.; Bitounis, D.; Cao, X.; DeLoid, G.M.; Parviz, D.; Strano, M.S.; Lin, H.-Y.G.; Bell, D.C.; Thrall, B.D.; Demokritou, P. Biotransformations and cytotoxicity of graphene and inorganic two-dimensional nanomaterials using simulated digestions coupled with a triculture in vitro model of the human gastrointestinal epithelium. Environ. Sci. Nano 2021, 8, 3233–3249. [Google Scholar] [CrossRef]
- Jiménez, L.D.Q.; Guzmán-Guillén, R.; Lira, A.C.; Jos, Á.; Cameán, A.M. In vitro assessment of cyanotoxins bioaccessibility in raw and cooked mussels. Food Chem. Toxicol. 2020, 140, 111391. [Google Scholar] [CrossRef]
- Minekus, M.; Alminger, M.; Alvito, P.; Ballance, S.; Bohn, T.; Bourlieu, C.; Carrière, F.; Boutrou, R.; Corredig, M.; Dupont, D.; et al. A standardised static in vitro digestion method suitable for food—An international consensus. Food Funct. 2014, 5, 1113–1124. [Google Scholar] [CrossRef] [PubMed]
- EFSA Scientific Committee; More, S.; Bampidis, V.; Benford, D.; Bragard, C.; Halldorsson, T.; Hernández-Jerez, A.; Bennekou, S.H.; Koutsoumanis, K.; Lambré, C.; et al. Guidance on risk assessment of nanomaterials to be applied in the food and feed chain: Human and animal health. EFSA J. 2021, 19, e06768. [Google Scholar] [CrossRef]
- Cebadero-Domínguez, Ó.; Jos, A.; Cameán, A.M.; Cătunescu, G.M. Hazard characterization of graphene nanomaterials in the frame of their food risk assessment: A review. Food Chem. Toxicol. 2022, 164, 113014. [Google Scholar] [CrossRef]
- Bove, P.; Malvindi, M.A.; Kote, S.S.; Bertorelli, R.; Summa, M.; Sabella, S. Dissolution test for risk assessment of nanoparticles: A pilot study. Nanoscale 2017, 9, 6315–6326. [Google Scholar] [CrossRef] [PubMed]
- Sambuy, Y.; De Angelis, I.; Ranaldi, G.; Scarino, M.L.; Stammati, A.; Zucco, F. The Caco-2 cell line as a model of the intestinal barrier: Influence of cell and culture-related factors on Caco-2 cell functional characteristics. Cell Biol. Toxicol. 2005, 21, 1–26. [Google Scholar] [CrossRef] [PubMed]
- Houtman, J.; Maisanaba, S.; Puerto, M.; Gutiérrez-Praena, D.; Jordá, M.; Aucejo, S.; Jos, A. Toxicity assessment of organomodified clays used in food contact materials on human target cell lines. Appl. Clay Sci. 2014, 90, 150–158. [Google Scholar] [CrossRef]
- Cebadero-Domínguez, O.; Ferrández-Gómez, B.; Sánchez-Ballester, S.; Moreno, J.; Jos, A.; Cameán, A. In vitro toxicity evaluation of graphene oxide and reduced graphene oxide on Caco-2 cells. Toxicol. Rep. 2022, 9, 1130–1138. [Google Scholar] [CrossRef]
- Krishnamoorthy, K.; Veerapandian, M.; Yun, K.; Kim, S.-J. The chemical and structural analysis of graphene oxide with different degrees of oxidation. Carbon 2013, 53, 38–49. [Google Scholar] [CrossRef]
- Konkena, B.; Vasudevan, S. Understanding Aqueous Dispersibility of Graphene Oxide and Reduced Graphene Oxide through pKa Measurements. J. Phys. Chem. Lett. 2012, 3, 867–872. [Google Scholar] [CrossRef]
- Chatterjee, N.; Eom, H.-J.; Choi, J. A systems toxicology approach to the surface functionality control of graphene–cell interactions. Biomaterials 2014, 35, 1109–1127. [Google Scholar] [CrossRef]
- Lammel, T.; Boisseaux, P.; Fernández-Cruz, M.-L.; Navas, J.M. Internalization and cytotoxicity of graphene oxide and carboxyl graphene nanoplatelets in the human hepatocellular carcinoma cell line HepG2. Part. Fibre Toxicol. 2013, 10, 27. [Google Scholar] [CrossRef] [PubMed]
- Niu, X.; de Graaf, I.A.; van der Bij, H.A.; Groothuis, G.M. Precision cut intestinal slices are an appropriate ex vivo model to study NSAID-induced intestinal toxicity in rats. Toxicol. Vitr. 2014, 28, 1296–1305. [Google Scholar] [CrossRef] [PubMed]
- Roberts, M.S.; Magnusson, B.M.; Burczynski, F.J.; Weiss, M. Enterohepatic Circulation: Physiological, pharmacokinetic and clinical implications. Clin. Pharmacokinet. 2002, 41, 751–790. [Google Scholar] [CrossRef]
- Li, J.; Chen, C.; Xia, T. Understanding Nanomaterial–Liver Interactions to Facilitate the Development of Safer Nanoapplications. Adv. Mater. 2022, 34, e2106456. [Google Scholar] [CrossRef]
- Lingaraju, K.; Naika, H.R.; Nagaraju, G.; Nagabhushana, H. Biocompatible synthesis of reduced graphene oxide from Euphorbia heterophylla (L.) and their in-vitro cytotoxicity against human cancer cell lines. Biotechnol. Rep. 2019, 24, e00376. [Google Scholar] [CrossRef]
- Ahamed, M.; Akhtar, M.J.; Khan, M.M.; Alhadlaq, H.A. Reduced graphene oxide mitigates cadmium-induced cytotoxicity and oxidative stress in HepG2 cells. Food Chem. Toxicol. 2020, 143, 111515. [Google Scholar] [CrossRef] [PubMed]
- Zuchowska, A.; Dabrowski, B.; Jastrzebska, E.; Mazurkiewicz-Pawlicka, M.; Malolepszy, A.; Stobinski, L.; Trzaskowski, M.; Brzozka, Z. Cytotoxic properties of graphene derivatives depending on origin and type of cell line. J. Mater. Res. 2020, 35, 2385–2395. [Google Scholar] [CrossRef]
- Cebadero-Dominguez, Ó.; Medrano-Padial, C.; Puerto, M.; Sánchez-Ballester, S.; Cameán, A.M.; Jos, Á. Genotoxicity evaluation of graphene derivatives by a battery of in vitro assays. Chem. Interact. 2023, 372, 110367. [Google Scholar] [CrossRef] [PubMed]
- Cebadero-Dominguez, Ó.; Jos, Á.; Cameán, A.M. Toxicidad in vitro del óxido de grafeno reducido en el sistema hepatogastroin-testinal: Revisión bibliográfica. Rev. Toxicol. 2022, 39, 16–18. [Google Scholar]
- Gurunathan, S.; Kim, J.-H. Synthesis, toxicity, biocompatibility, and biomedical applications of graphene and graphene-related materials. Int. J. Nanomed. 2016, 11, 1927–1945. [Google Scholar] [CrossRef]
- Kejlová, K.; Dvorakova, M.; Vavrouš, A.; Ševčík, V.; Kanďárová, H.; Letašiová, S.; Sosnovcová, J.; Jírová, D. Toxicity of food contact paper evaluated by combined biological and chemical methods. Toxicol. Vitr. 2019, 59, 26–34. [Google Scholar] [CrossRef] [PubMed]
- Henson, T.E.; Navratilova, J.; Tennant, A.H.; Bradham, K.D.; Rogers, K.R.; Hughes, M.F. In vitro intestinal toxicity of copper oxide nanoparticles in rat and human cell models. Nanotoxicology 2019, 13, 795–811. [Google Scholar] [CrossRef] [PubMed]
- Kucki, M.; Diener, L.; Bohmer, N.; Hirsch, C.; Krug, H.F.; Palermo, V.; Wick, P. Uptake of label-free graphene oxide by Caco-2 cells is dependent on the cell differentiation status. J. Nanobiotechnol. 2017, 15, 46. [Google Scholar] [CrossRef]
- Bruinink, A.; Wang, J.; Wick, P. Effect of particle agglomeration in nanotoxicology. Arch. Toxicol. 2015, 89, 659–675. [Google Scholar] [CrossRef] [PubMed]
- Gutierrez-Ruiz, M.C.; Gómez-Quiroz, L.E.; Hernandez, E.; Bucio, L.; Souza, V.; Llorente, L.; Kershenobich, D. Cytokine response and oxidative stress produced by ethanol, acetaldehyde and endotoxin treatment in HepG2 cells. Isr. Med Assoc. J. 2001, 3, 131–136. [Google Scholar]
- Fu, C.; Liu, T.; Li, L.; Liu, H.; Liang, Q.; Meng, X. Effects of graphene oxide on the development of offspring mice in lactation period. Biomaterials 2015, 40, 23–31. [Google Scholar] [CrossRef]
- Patlolla, A.K.; Randolph, J.; Kumari, S.A.; Tchounwou, P.B. Toxicity Evaluation of Graphene Oxide in Kidneys of Sprague-Dawley Rats. Int. J. Environ. Res. Public Health 2016, 13, 380. [Google Scholar] [CrossRef]
- Li, H.; Wu, B.; Zhang, J.; Yu, Y.; Chen, L.; Liu, S. Ameliorative effect of graphene nanosheets against arsenic-induced toxicity in mice by oral exposure. Environ. Sci. Pollut. Res. 2021, 28, 21577–21588. [Google Scholar] [CrossRef]
- Lahiani, M.H.; Gokulan, K.; Williams, K.; Khare, S. Impact of Pristine Graphene on Intestinal Microbiota Assessed Using a Bioreactor-Rotary Cell Culture System. ACS Appl. Mater. Interfaces 2019, 11, 25708–25719. [Google Scholar] [CrossRef]
- Liu, X.; Zhang, F.; Wang, Z.; Zhang, T.; Teng, C.; Wang, Z. Altered gut microbiome accompanying with placenta barrier dysfunction programs pregnant complications in mice caused by graphene oxide. Ecotoxicol. Environ. Saf. 2021, 207, 111143. [Google Scholar] [CrossRef]









Disclaimer/Publisher’s Note: The statements, opinions and data contained in all publications are solely those of the individual author(s) and contributor(s) and not of MDPI and/or the editor(s). MDPI and/or the editor(s) disclaim responsibility for any injury to people or property resulting from any ideas, methods, instructions or products referred to in the content. |
© 2023 by the authors. Licensee MDPI, Basel, Switzerland. This article is an open access article distributed under the terms and conditions of the Creative Commons Attribution (CC BY) license (https://creativecommons.org/licenses/by/4.0/).
Share and Cite
Cebadero-Domínguez, Ó.; Diez-Quijada, L.; López, S.; Sánchez-Ballester, S.; Puerto, M.; Cameán, A.M.; Jos, A. Impact of Gastrointestinal Digestion In Vitro Procedure on the Characterization and Cytotoxicity of Reduced Graphene Oxide. Nanomaterials 2023, 13, 2285. https://doi.org/10.3390/nano13162285
Cebadero-Domínguez Ó, Diez-Quijada L, López S, Sánchez-Ballester S, Puerto M, Cameán AM, Jos A. Impact of Gastrointestinal Digestion In Vitro Procedure on the Characterization and Cytotoxicity of Reduced Graphene Oxide. Nanomaterials. 2023; 13(16):2285. https://doi.org/10.3390/nano13162285
Chicago/Turabian StyleCebadero-Domínguez, Óscar, Leticia Diez-Quijada, Sergio López, Soraya Sánchez-Ballester, María Puerto, Ana M. Cameán, and Angeles Jos. 2023. "Impact of Gastrointestinal Digestion In Vitro Procedure on the Characterization and Cytotoxicity of Reduced Graphene Oxide" Nanomaterials 13, no. 16: 2285. https://doi.org/10.3390/nano13162285
APA StyleCebadero-Domínguez, Ó., Diez-Quijada, L., López, S., Sánchez-Ballester, S., Puerto, M., Cameán, A. M., & Jos, A. (2023). Impact of Gastrointestinal Digestion In Vitro Procedure on the Characterization and Cytotoxicity of Reduced Graphene Oxide. Nanomaterials, 13(16), 2285. https://doi.org/10.3390/nano13162285

