Rashba Spin Splitting in HgCdTe Quantum Wells with Inverted and Normal Band Structures
Abstract
:1. Introduction
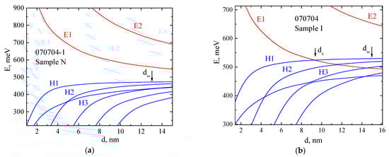
2. Materials and Methods
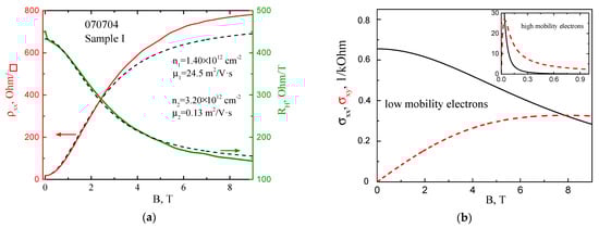
3. Results
4. Discussion
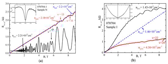
4.1. Fourier Analysis of Oscillations
4.2. Analysis of the Beating Node Positions of SdH Oscillations in Magnetic Field
4.3. Disscusion of Rashba Parameter Values
4.4. Magnetic Field Dependence of the Total Spin Splitting
5. Conclusions
Author Contributions
Funding
Data Availability Statement
Acknowledgments
Conflicts of Interest
Appendix A

References
- Bychkov, Y.A.; Rashba, E.I. Oscillatory effects and the magnetic susceptibility of carriers in inversion layers. J. Phys. C Solid State Phys. 1984, 17, 6039–6045. [Google Scholar] [CrossRef]
- Bychkov, Y.A.; Rashba, E.I. Properties of a 2D electron gas with lifted spectral degeneracy. Pis’ma Zh. Eksp. Teor. Fiz. 1984, 39, 78–81. [Google Scholar]
- Vasko, F.T.; Prima, N.A. Spin splitting of spectrum of 2-dimentional electrons. Fizika Tverdogo Tela 1979, 21, 1734–1738. [Google Scholar]
- Sherman, E.Y. Random spin-orbit coupling and spin relaxation in symmetric quantum wells. Appl. Phys. Lett. 2003, 82, 209–211. [Google Scholar] [CrossRef] [Green Version]
- Dresselhaus, G. Spin-Orbit Coupling Effects in Zinc Blende Structures. Phys. Rev. 1955, 100, 580–586. [Google Scholar] [CrossRef]
- D’yakonov, M.I.; Kachorovskii, V.Y. Spin relaxation of two-dimensional electrons in noncentrosymmetric semiconductors. Sov. Phys. Semicond. USSR 1986, 20, 110–112. [Google Scholar]
- Zawadzki, W.; Pfeffer, P. Spin splitting of subband energies due to inversion asymmetry in semiconductor heterostructures. Semicond. Sci. Technol. 2004, 19, R1–R17. [Google Scholar] [CrossRef]
- Ivchenko, E.L.; Kaminski, A.Y.; Rössler, U. Heavy-light hole mixing at zinc-blende (001) interfaces under normal incidence. Phys. Rev. B 1996, 54, 5852–5859. [Google Scholar] [CrossRef] [PubMed]
- Nestoklon, M.O.; Golub, L.E.; Vchenko, E.L. Spin and valley-orbit splittings in SiGe∕Si heterostructures. Phys. Rev. B 2006, 73, 235334–235340. [Google Scholar] [CrossRef] [Green Version]
- Tarasenko, S.A.; Durnev, M.V.; Nestoklon, M.O.; Ivchenko, E.L.; Luo, J.-W.; Zunger, A. Split Dirac cones in HgTe/CdTe quantum wells due to symmetry-enforced level anticrossing at interfaces. Phys. Rev. B 2015, 91, 81302–81306. [Google Scholar] [CrossRef] [Green Version]
- Zhang, X.C.; Pfeuffer-Jeschke, A.; Ortner, K.; Hock, V.; Buhmann, H.; Becker, C.R.; Landwehr, G. Rashba splitting in n-type modulation-doped HgTe quantum wells with an inverted band structure. Phys. Rev. B 2001, 63, 245305–245308. [Google Scholar] [CrossRef]
- Gui, Y.S.; Becker, C.R.; Dai, N.; Liu, J.; Qiu, Z.J.; Novik, E.G.; Schäfer, M.; Shu, X.Z.; Chu, J.H.; Buhmann, H.; et al. Giant spin-orbit splitting in a HgTe quantum well. Phys. Rev. B 2004, 70, 115328. [Google Scholar] [CrossRef] [Green Version]
- Hinz, J.; Buhmann, H.; Schäfer, M.; Hock, V.; Becker, C.R.; Molenkamp, L.W. Gate control of the giant Rashba effect in HgTe quantum wells. Semicond. Sci. Technol. 2006, 21, 501–506. [Google Scholar] [CrossRef]
- Spirin, K.E.; Ikonnikov, A.V.; Lastovkin, A.A.; Gavrilenko, V.I.; Dvoretskii, S.A.; Mikhailov, N.N. Spin splitting in HgTe/CdHgTe (013) quantum well heterostructures. JETP Lett. 2010, 92, 63–66. [Google Scholar] [CrossRef]
- Gao, K.H.; Yu, G.; Sun, Y.; Kang, T.; Chen, X.; Dai, N.; Chu, J. Large spin-orbit splitting in inversion layers on HgCdTe with an inverted band structure. EuroPhys. Lett. 2018, 124, 27006. [Google Scholar] [CrossRef]
- Minkov, G.M.; Aleshkin, V.Y.; Rut, O.E.; Sherstobitov, A.A.; Dvoretski, S.A.; Mikhailov, N.N.; Solovèv, V.A.; Chernov, M.Y.; Ivanov, S.V.; Germanenko, A.V. Magneto-intersubband oscillations in two-dimensional systems with an energy spectrum split due to spin-orbit interaction. Phys. Rev. B 2020, 101, 245303–245307. [Google Scholar] [CrossRef]
- Minkov, G.M.; Aleshkin, V.Y.; Rut, O.E.; Sherstobitov, A.A.; Germanenko, A.V.; Dvoretski, S.A.; Mikhailov, N.N. Spin-orbit splitting of the conduction band in HgTe quantum wells: Role of different mechanisms. Phys. E Low Dimens. Syst. Nanostruct. 2019, 110, 95–99. [Google Scholar] [CrossRef] [Green Version]
- Drichko, I.L.; Smirnov, I.Y.; Suslov, A.V.; Baldwin, K.W.; Pfeiffer, L.N.; West, K.W. Dresselhaus spin-orbit interaction in the p -AlGaAs/GaAs/AlGaAs structure with a square quantum well: Surface acoustic wave study. Phys. Rev. B 2021, 104, 155302–155306. [Google Scholar] [CrossRef]
- Igor, Z.; Fabian, J.; Sarma, S.D. Spintronics: Fundamentals and applications. Rev. Mod. Phys. 2004, 76, 323–410. [Google Scholar]
- Tsidilkovski, I.M. Electron Spectrum of Gapless Semiconductors; Springer: Berlin, Germany, 1997. [Google Scholar]
- Tsidilkovski, I.M.; Harus, G.I.; Shelushinina, N.G. Impurity states and electron transport in gapless semiconductors. Adv. Phys. 1985, 34, 43–174. [Google Scholar] [CrossRef]
- König, M.; Wiedmann, S.; Brüne, C.; Roth, A.; Buhmann, H.; Molenkamp, L.W.; Qi, X.-L.; Zhang, S.C. Quantum Spin Hall Insulator State in HgTe Quantum Wells. Science 2007, 318, 766–770. [Google Scholar] [CrossRef] [PubMed] [Green Version]
- Schultzy, M.; Heinrichsy, F.; Merkty, U.; Colinz, T.; Skauliz, T.; Løvold, S. Rashba spin splitting in a gated HgTe quantum well. Semicond. Sci. Technol. 1996, 11, 1168–1172. [Google Scholar] [CrossRef]
- Liu, X.Z.; Yu, G.; Wei, L.M.; Lin, T.; Xu, Y.G.; Yang, J.R.; Wei, Y.F.; Guo, S.L.; Chu, J.H.; Rowell, N.L.; et al. The nonlinear Rashba effect in Hg0.77Cd0.23Te inversion layers probed by weak antilocalization analysis. J. Appl. Phys. 2013, 113, 013704–013708. [Google Scholar] [CrossRef]
- Bovkun, L.S.; Maremyanin, K.V.; Ikonnikov, A.V.; Spirin, K.E.; Aleshkin, V.Y.; Potemski, M.; Piot, B.A.; Orlita, M.; Mikhailov, N.N.; Dvoretski, S.A.; et al. Magnetooptics of HgTe/CdTe Quantum Wells with Giant Rashba Splitting in Magnetic Fields up to 34 T. Semiconductors 2018, 52, 1386–1391. [Google Scholar] [CrossRef]
- Mikhailov, N.N.; Smirnov, R.N.; Dvoretsky, S.A.; Sidorov, Y.G.; Shvets, V.A.; Spesivtsev, E.V.; Rykhlitski, S.V. Growth of Hg1-xCdxTe nanostructures by molecular beam epitaxy with ellipsometric control. Int. J. Nanotechnol. 2006, 3, 120–130. [Google Scholar] [CrossRef]
- Dvoretsky, S.; Mikhailov, N.; Sidorov, Y.; Shvets, V.; Danilov, S.; Wittman, B.; Ganichev, S. Growth of HgTe Quantum Wells for IR to THz Detectors. J. Electron. Mater. 2010, 39, 918–923. [Google Scholar] [CrossRef]
- Varavin, V.S.; Dvoretsky, S.A.; Liberman, V.I.; Mikhailov, N.N.; Sidorov, Y.G. Molecular beam epitaxy of high quality Hg1-xCdxTe films with control of the composition distribution. J. Growth Cryst. 1996, 159, 1161–1166. [Google Scholar] [CrossRef]
- Kvon, Z.D.; Olshanetsky, E.B.; Mikhailov, N.N.; Kozlov, D.A. Two-dimensional electron systems in HgTe quantum wells. Low Temp. Phys. 2009, 35, 6–16. [Google Scholar] [CrossRef]
- Bernevig, B.A.; Hughes, T.L.; Zhang, S.C. Quantum Spin Hall Effect and Topological Phase Transition in HgTe Quantum Wells. Science 2006, 314, 1757–1761. [Google Scholar] [CrossRef] [Green Version]
- Winkler, R. Rashba spin splitting in two-dimensional electron and hole systems. Phys. Rev. B 2000, 62, 4245–4248. [Google Scholar] [CrossRef] [Green Version]
- Das, B.; Miller, D.C.; Datta, S.; Reifenberger, R.; Hong, W.P.; Bhattacharya, P.K.; Singh, J.; Jaffe, M. Evidence for spin splitting in InxGal-xAs/In0.52Al0.48As heterostructures as B→0. Phys. Rev. B 1989, 39, 1411–1414. [Google Scholar] [CrossRef]
- Teran, F.J.; Potemski, M.; Maude, D.K.; Andrearczyk, T.; Jaroszynski, J.; Karczewski, G. Pauli Paramagnetism and Landau Level Crossing in a Modulation Doped CdMnTe/CdMgTe Quantum Well. Phys. Rev. Lett. 2002, 88, 186803–186804. [Google Scholar] [CrossRef]
- Dorozhkin, S.I.; Olshanetski, E.B. Distinctive features of the Shubnikov-de Haas oscillations in 2D systems with strong spin-orbit coupling and holes at the Si(110) surface. JETP Lett. 1987, 46, 502–506. [Google Scholar]
- Dorozhkin, S.I. Determination of energy spectrum parameters for two-dimensional carriers from the quantum oscillation beating pattern. Phys. Rev. B 1990, 41, 3235–3237. [Google Scholar] [CrossRef] [PubMed]
- Engels, G.; Lange, J.; Schapers, T.; Luth, H. Experimental and theoretical approach to spin splitting in modulation-doped InxGa12xAs/InP quantum wells for B→0. Phys. Rev. B 1997, 55, R1958–R1961. [Google Scholar] [CrossRef]
- de Andrada e Silva, E.A.; la Rocca, G.C.; Bassani, F. Spin-orbit splitting of electronic states in semiconductor asymmetric quantum wells. Phys. Rev. B 1997, 55, 16293–16297. [Google Scholar] [CrossRef]
- Das, B.; Datta, S.; Reifenberger, R. Zero-field spin splitting in a two-dimensional electron gas. Phys.Rev. B 1990, 41, 8278–8287. [Google Scholar] [CrossRef] [PubMed]
- Gudina, S.V.; Bogolyubskii, A.S.; Neverov, V.N.; Shelushinina, N.G.; Yakunin, M.V. Electron effective mass and g-factor in wide HgTe quantum wells. Semiconductors 2018, 52, 1403–1409. [Google Scholar] [CrossRef]
- Neverov, V.N.; Bogolubskii, A.S.; Gudina, S.V.; Podgornykh, S.M.; Turutkin, K.V.; Popov, M.R.; Shelushinina, N.G.; Yakunin, M.V.; Mikhailov, N.N.; Dvoretsky, S.A. Effective Mass and g-Factor of Two-Dimentional HgTe Γ8-Band Electrons: Shubnikov-de Haas Oscillations. Semiconductors 2020, 54, 982–990. [Google Scholar] [CrossRef]
- Bogolubskii, A.S.; Gudina, S.V.; Neverov, V.N.; Turutkin, K.V.; Podgornykh, S.M.; Shelushinina, N.G.; Yakunin, M.V.; Mikhailov, N.N.; Dvoretsky, S.A. Quantum oscillations of magnetoresistance in HgCdTe/HgTe/HgCdTe heterostructures with inverted band spectrum. Phys. Solid States 2021, 63, 1983–1993. [Google Scholar]
- Minkov, G.M.; Aleshkin, V.Y.; Rut, O.E.; Sherstobitov, A.A.; Germanenko, A.V.; Dvoretski, S.A.; Mikhailov, N.N. Electron mass in a HgTe quantum well: Experiment versus theory. Phys. E 2020, 116, 113742–113748. [Google Scholar] [CrossRef]
- Pfeuffer-Jeschke, A.; Goschenhofer, F.; Cheng, S.J.; Latussek, V.; Gerschütz, J.; Becker, C.R.; Gerhardts, R.R.; Landwehr, G. Cyclotron masses of asymmetrically doped HgTe quantum wells. Phys. B 1998, 256–258, 486–489. [Google Scholar] [CrossRef]
- Bovkun, L.S.; Krishtopenko, S.S.; Zholudev, M.S.; Ikonnikov, A.V.; Spirin, K.E.; Dvoretsky, S.A.; Mikhailov, N.N.; Teppe, F.; Knap, W.; Gavrilenko, V.I. Exchange Enhancement of the Electron g-Factor in a Two-Dimensional Semimetal in HgTe Quantum Wells. Semiconductors 2015, 49, 1627–1633. [Google Scholar] [CrossRef]
- Minkov, G.M.; Aleshkin, V.Y.; Rut, O.E.; Sherstobitov, A.A.; Dvoretski, S.A.; Mikhailov, N.N.; Germanenko, A.V. Anisotropy of the in-plane g -factor of electrons in HgTe quantum wells. Phys. Rev. B 2020, 101, 85305–85309. [Google Scholar] [CrossRef] [Green Version]
- Kvon, Z.-D.; Danilov, S.N.; Mikhailov, N.N.; Dvoretsky, S.A.; Prettl, W.; Ganichev, S.D. Cyclotron resonance photoconductivity of a two-dimensional electron gas in HgTe quantum wells. Phys. E 2008, 40, 1885–1887. [Google Scholar] [CrossRef] [Green Version]





| Layer Order | 070704-1 (Sample N) | 070704 (Sample I) | ||
|---|---|---|---|---|
| Width, nm | Cd Content | Width, nm | Cd Content | |
| CdTe cap | 37 | 1 | 40 | 1 |
| barrier | 32 | 0.85 | 31.5 | 0.53 |
| QW | 13 | 0.15 | 15 | 0.05 |
| spacer | 9.5 | 0.89 | 11.5 | 0.6 |
| In doped layer nimp = 1.8 × 1018 cm−3 | 10 | 0.89 | 13.5 | 0.6 |
| barrier | 5 | 0.89 | 5.5 | 0.6 |
| CdTe buffer | 6000 | 1 | 6000 | 1 |
| ZnTe buffer | 30 | 30 | ||
| GaAs (013) substrate | 4 × 105 | 4 × 105 | ||
| Parameter (Definition Method) | 070704-1 Sample N | 070704 Sample I | |
|---|---|---|---|
| nQHE (QHE) | 2.18 × 1016 m−2 | 4.30 × 1016 m−2 | |
| nHall (nHall = 1/(RH·e)) | 2.20 × 1016 m−2 | 1.46 × 1016 m−2 | |
| nFFT (FFT) | 2.21 × 1016 m−2 | 1.43 × 1016 m−2 | |
| n (two types of electrons) | n1 | — | 1.40 × 1016 m−2 |
| n2 | 3.20 × 1016 m−2 | ||
| n = n1 + n2 | 4.60 × 1016 m−2 | ||
| μ | s) | ||
| μ (two types of electrons) | μ1 | — | s) |
| μ2 | s) | ||
| ΔR (FFT) | |||
| ΔR (N(1/BN) plot) | |||
| ) | |||
| ΔRcalc [25] | |||
| α (FFT) | — | ||
| β (FFT) | — | ||
| (Equation (10)) | 0.024 | 0.039 | |
| [25] | 0.048 | 0.039 | |
| (Equation (10)) | 30 | 35 | |
Publisher’s Note: MDPI stays neutral with regard to jurisdictional claims in published maps and institutional affiliations. |
© 2022 by the authors. Licensee MDPI, Basel, Switzerland. This article is an open access article distributed under the terms and conditions of the Creative Commons Attribution (CC BY) license (https://creativecommons.org/licenses/by/4.0/).
Share and Cite
Gudina, S.V.; Neverov, V.N.; Popov, M.R.; Turutkin, K.V.; Podgornykh, S.M.; Shelushinina, N.G.; Yakunin, M.V.; Mikhailov, N.N.; Dvoretsky, S.A. Rashba Spin Splitting in HgCdTe Quantum Wells with Inverted and Normal Band Structures. Nanomaterials 2022, 12, 1238. https://doi.org/10.3390/nano12071238
Gudina SV, Neverov VN, Popov MR, Turutkin KV, Podgornykh SM, Shelushinina NG, Yakunin MV, Mikhailov NN, Dvoretsky SA. Rashba Spin Splitting in HgCdTe Quantum Wells with Inverted and Normal Band Structures. Nanomaterials. 2022; 12(7):1238. https://doi.org/10.3390/nano12071238
Chicago/Turabian StyleGudina, Svetlana V., Vladimir N. Neverov, Mikhail R. Popov, Konstantin V. Turutkin, Sergey M. Podgornykh, Nina G. Shelushinina, Mikhail V. Yakunin, Nikolay N. Mikhailov, and Sergey A. Dvoretsky. 2022. "Rashba Spin Splitting in HgCdTe Quantum Wells with Inverted and Normal Band Structures" Nanomaterials 12, no. 7: 1238. https://doi.org/10.3390/nano12071238
APA StyleGudina, S. V., Neverov, V. N., Popov, M. R., Turutkin, K. V., Podgornykh, S. M., Shelushinina, N. G., Yakunin, M. V., Mikhailov, N. N., & Dvoretsky, S. A. (2022). Rashba Spin Splitting in HgCdTe Quantum Wells with Inverted and Normal Band Structures. Nanomaterials, 12(7), 1238. https://doi.org/10.3390/nano12071238

