Thermally Stable PVDF-HFP-Based Gel Polymer Electrolytes for High-Performance Lithium-Ion Batteries
Abstract
:1. Introduction
2. Materials and Methods
2.1. Materials Used
2.2. Preparation of PMC Polymer Membrane and Gel Polymer Electrolyte
2.3. Physical and Chemical Characterizations
2.4. Preparation of Electrodes
2.5. Electrochemical Characterization
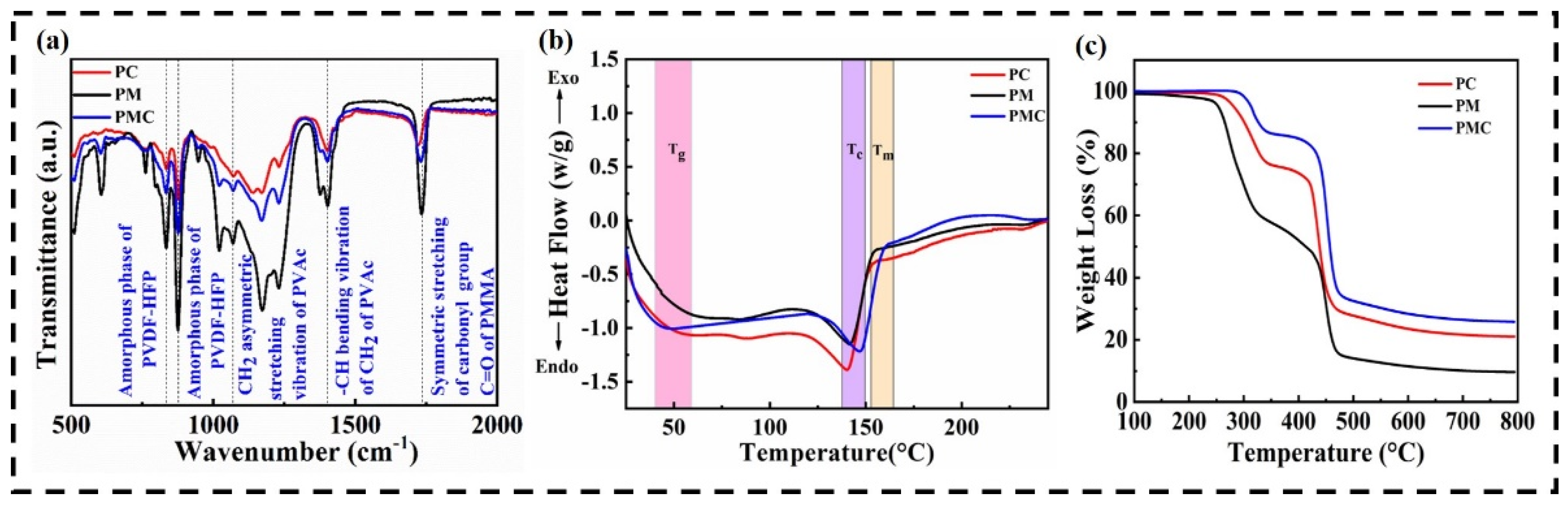
3. Results and Discussion
4. Conclusions
Author Contributions
Funding
Data Availability Statement
Conflicts of Interest
References
- Kang, H.S.; Santhoshkumar, P.; Park, J.W.; Sim, G.S.; Nanthagopal, M.; Lee, C.W. Glass ceramic coating on LiNi0.8Co0.1Mn0.1O2 cathode for Li-ion batteries. Korean J. Chem. Eng. 2020, 37, 1331–1339. [Google Scholar] [CrossRef]
- Nanthagopal, M.; Santhoshkumar, P.; Shaji, N.; Sim, G.S.; Park, J.W.; Senthil, C.; Lee, C.W. An encapsulation of nitrogen and sulphur dual-doped carbon over Li[Ni0.8Co0.1Mn0.1]O2 for lithium-ion battery applications. Appl. Surf. Sci. 2020, 511, 145580. [Google Scholar] [CrossRef]
- Wang, X.; Liu, Z.; Tang, Y.; Chen, J.; Mao, Z.; Wang, D. PVDF-HFP/PMMA/TPU-based gel polymer electrolytes composed of conductive Na3Zr2Si2PO12 filler for application in sodium ions batteries. Solid State Ion. 2021, 359, 115532. [Google Scholar] [CrossRef]
- Rosdi, A.; Zainol, N.H.; Osman, Z. Ionic transport and electrochemical stability of PVDF-HFP based gel polymer electrolytes. AIP Conf. Proc. 2016, 1711, 050003. [Google Scholar] [CrossRef] [Green Version]
- Dharai, C.; Jena, S. Conformational Study of Polyelectrolytes. Master’s Thesis, NIT Rourkela, Rourkela, India, 2012. [Google Scholar]
- Xu, G.; Zhao, M.; Xie, B.; Wang, X.; Jiang, M.; Guan, P.; Han, P.; Cui, G. A rigid-flexible coupling gel polymer electrolyte towards high safety flexible Li-Ion battery. J. Power Sources 2021, 499, 229944. [Google Scholar] [CrossRef]
- Ye, X.; Xiong, W.; Huang, T.; Li, X.; Lei, Y.; Li, Y.; Ren, X.; Liang, J.; Ouyang, X.; Zhang, Q.; et al. A blended gel polymer electrolyte for dendrite-free lithium metal batteries. Appl. Surf. Sci. 2021, 569, 150899. [Google Scholar] [CrossRef]
- Costa, C.M.; Silva, M.M.; Lanceros-Méndez, S. Battery separators based on vinylidene fluoride (VDF) polymers and copolymers for lithium ion battery applications. RSC Adv. 2013, 3, 11404–11417. [Google Scholar] [CrossRef]
- Le Mong, A.; Shi, Q.X.; Jeon, H.; Ye, Y.S.; Xie, X.L.; Kim, D. Tough and Flexible, Super Ion-Conductive Electrolyte Membranes for Lithium-Based Secondary Battery Applications. Adv. Funct. Mater. 2021, 31, 2008586. [Google Scholar] [CrossRef]
- Shaji, N.; Santhoshkumar, P.; Nanthagopal, M.; Senthil, C.; Lee, C.W. Electrochemical performance of porous CaFe2O4 as a promising anode material for lithium-ion batteries. Appl. Surf. Sci. 2019, 491, 757–764. [Google Scholar] [CrossRef]
- Nanthagopal, M.; Santhoshkumar, P.; Shaji, N.; Praveen, S.; Kang, H.S.; Senthil, C.; Lee, C.W. Nitrogen-doped carbon-coated Li[Ni0.8Co0.1Mn0.1]O2 cathode material for enhanced lithium-ion storage. Appl. Surf. Sci. 2019, 492, 871–878. [Google Scholar] [CrossRef]
- Hosseinioun, A.; Nürnberg, P.; Schönhoff, M.; Diddens, D.; Paillard, E. Improved lithium ion dynamics in crosslinked PMMA gel polymer electrolyte. RSC Adv. 2019, 9, 27574–27582. [Google Scholar] [CrossRef] [Green Version]
- Liang, S.; Yan, W.; Wu, X.; Zhang, Y.; Zhu, Y.; Wang, H.; Wu, Y. Gel polymer electrolytes for lithium ion batteries: Fabrication, characterization and performance. Solid State Ion. 2018, 318, 2–18. [Google Scholar] [CrossRef]
- Choudhury, S.; Stalin, S.; Vu, D.; Warren, A.; Deng, Y.; Biswal, P.; Archer, L.A. Solid-state polymer electrolytes for high-performance lithium metal batteries. Nat. Commun. 2019, 10, 4398. [Google Scholar] [CrossRef] [PubMed] [Green Version]
- Wei, Z.; Ren, Y.; Wang, M.; He, J.; Huo, W.; Tang, H. Improving the Conductivity of Solid Polymer Electrolyte by Grain Reforming. Nanoscale Res. Lett. 2020, 15, 122. [Google Scholar] [CrossRef] [PubMed]
- Ruess, R.; Schweidler, S.; Hemmelmann, H.; Conforto, G.; Bielefeld, A.; Weber, D.A.; Sann, J.; Elm, M.T.; Janek, J. Influence of NCM Particle Cracking on Kinetics of Lithium-Ion Batteries with Liquid or Solid Electrolyte. J. Electrochem. Soc. 2020, 167, 100532. [Google Scholar] [CrossRef]
- Chung, G.J.; Han, J.; Song, S.-W. Fire-Preventing LiPF6 and Ethylene Carbonate-Based Organic Liquid Electrolyte System for Safer and Outperforming Lithium-Ion Batteries. ACS Appl. Mater. Interfaces 2020, 12, 42868–42879. [Google Scholar] [CrossRef]
- Abouimrane, A.; Ding, J.; Davidson, I. Liquid electrolyte based on lithium bis-fluorosulfonyl imide salt: Aluminum corrosion studies and lithium ion battery investigations. J. Power Sources 2009, 189, 693–696. [Google Scholar] [CrossRef] [Green Version]
- Praveen, S.; Santhoshkumar, P.; Joe, Y.C.; Senthil, C.; Lee, C.W. 3D-printed architecture of Li-ion batteries and its applications to smart wearable electronic devices. Appl. Mater. Today 2020, 20, 100688. [Google Scholar] [CrossRef]
- Praveen, S.; Sim, G.S.; Ho, C.W.; Lee, C.W. 3D-printed twisted yarn-type Li-ion battery towards smart fabrics. Energy Storage Mater. 2021, 41, 748–757. [Google Scholar] [CrossRef]
- Zhang, P.; Li, R.; Huang, J.; Liu, B.; Zhou, M.; Wen, B.; Xia, Y.; Okada, S. Flexible poly(vinylidene fluoride-co-hexafluoropropylene)-based gel polymer electrolyte for high-performance lithium-ion batteries. RSC Adv. 2021, 11, 11943–11951. [Google Scholar] [CrossRef]
- Sil, A.; Sharma, R.; Ray, S. Carbon Nanofibers Reinforced P(VdF-HFP) Based Gel Polymer Electrolyte for Lithium-Ion Battery Application. Int. J. Chem. Mol. Eng. 2015, 9, 1124–1127. [Google Scholar]
- Chaturvedi, P.; Kanagaraj, A.B.; Alhammadi, A.; Al Shibli, H.; Choi, D.S. Fabrication of PVDF-HFP-based microporous membranes by the tape casting method as a separator for flexible Li-ion batteries. Bull. Mater. Sci. 2021, 44, 161. [Google Scholar] [CrossRef]
- He, Z.; Cao, Q.; Jing, B.; Wang, X.; Deng, Y. Gel electrolytes based on poly(vinylidenefluoride-co-hexafluoropropylene)/thermoplastic polyurethane/poly(methyl methacrylate) with in situ SiO2 for polymer lithium batteries. RSC Adv. 2017, 7, 3240–3248. [Google Scholar] [CrossRef] [Green Version]
- Jayanthi, S.; Sundaresan, B. Effect of ultrasonic irradiation and TiO2 on the determination of electrical and dielectric properties of PEO–P(VdF-HFP)–LiClO4-based nanocomposite polymer blend electrolytes. Ionics 2015, 21, 705–717. [Google Scholar] [CrossRef]
- Aravindan, V.; Vickraman, P.; Kumar, T.P. Polyvinylidene fluoride-hexafluoropropylene (PVdF-HFP)-based composite polymer electrolyte containing LiPF3(CF3CF2)3. J. Non-Cryst. Solids 2008, 354, 3451–3457. [Google Scholar] [CrossRef]
- Gohel, K.; Kanchan, D. Ionic conductivity and relaxation studies in PVDF-HFP:PMMA-based gel polymer blend electrolyte with LiClO4 salt. J. Adv. Dielectr. 2018, 8, 1850005. [Google Scholar] [CrossRef] [Green Version]
- Sundaram, N.K.; Musthafa, O.M.; Lokesh, K.; Subramania, A. Effect of porosity on PVdF-co-HFP–PMMA-based electrolyte. Mater. Chem. Phys. 2008, 110, 11–16. [Google Scholar] [CrossRef]
- Xiao, Q.; Li, Z.; Gao, D.; Zhang, H. A novel sandwiched membrane as polymer electrolyte for application in lithium-ion battery. J. Membr. Sci. 2009, 326, 260–264. [Google Scholar] [CrossRef]
- Gebreyesus, M.A.; Purushotham, Y.; Kumar, J. Preparation and characterization of lithium ion conducting polymer electrolytes based on a blend of poly(vinylidene fluoride-co-hexafluoropropylene) and poly(methyl methacrylate). Heliyon 2016, 2, e00134. [Google Scholar] [CrossRef] [Green Version]
- Stephan, A.M. Review on gel polymer electrolytes for lithium batteries. Eur. Polym. J. 2006, 42, 21–42. [Google Scholar] [CrossRef]
- Gohel, K.; Kanchan, D.; Machhi, H.K.; Soni, S.S.; Maheshwaran, C. Gel polymer electrolyte based on PVDF-HFP:PMMA incorporated with propylene carbonate (PC) and diethyl carbonate (DEC) plasticizers : Electrical, morphology, structural and electrochemical properties. Mater. Res. Express 2020, 7, 025301. [Google Scholar] [CrossRef]
- Rajendran, S.; Bama, V.S.; Prabhu, M.R. Preparation and characterization of PVAc–PMMA-based solid polymer blend electrolytes. Ionics 2010, 16, 283–287. [Google Scholar] [CrossRef]
- Baskaran, R.; Selvasekarapandian, S.; Kuwata, N.; Kawamura, J.; Hattori, T. Conductivity and thermal studies of blend polymer electrolytes based on PVAc–PMMA. Solid State Ion. 2006, 177, 2679–2682. [Google Scholar] [CrossRef]
- Song, D.; Xu, C.; Chen, Y.; He, J.; Zhao, Y.; Li, P.; Lin, W.; Fu, F. Enhanced thermal and electrochemical properties of PVDF-HFP/PMMA polymer electrolyte by TiO2 nanoparticles. Solid State Ion. 2015, 282, 31–36. [Google Scholar] [CrossRef]
- Sasikumar, M.; Jagadeesan, A.; Raja, M.; Krishna, R.H.; Sivakumar, P. The effects of PVAc on surface morphological and electrochemical performance of P(VdF-HFP)-based blend solid polymer electrolytes for lithium ion-battery applications. Ionics 2018, 25, 2171–2181. [Google Scholar] [CrossRef]
- Yang, S.; Li, X.; Li, H.; Yao, P. Electrochemical performance and stability of a PPy/MMT-PVDF/PMMA composite film at high temperature. Synth. Met. 2018, 242, 83–91. [Google Scholar] [CrossRef]
- Dhatarwal, P.; Choudhary, S.; Sengwa, R. Electrochemical performance of Li+-ion conducting solid polymer electrolytes based on PEO–PMMA blend matrix incorporated with various inorganic nanoparticles for the lithium ion batteries. Compos. Commun. 2018, 10, 11–17. [Google Scholar] [CrossRef]
- Li, Y.; Wong, K.-W.; Dou, Q.; Zhang, W.; Ng, K.M. Improvement of Lithium-Ion Battery Performance at Low Temperature by Adopting Ionic Liquid-Decorated PMMA Nanoparticles as Electrolyte Component. ACS Appl. Energy Mater. 2018, 1, 2664–2670. [Google Scholar] [CrossRef]
- Wu, Y.-S.; Yang, C.-C.; Luo, S.-P.; Chen, Y.-L.; Wei, C.-N.; Lue, S.J. PVDF-HFP/PET/PVDF-HFP composite membrane for lithium-ion power batteries. Int. J. Hydrogen Energy 2017, 42, 6862–6875. [Google Scholar] [CrossRef]
- Badr, I.; Lahmar, H.; Kaewsaneha, C.; Saïdi-Besbes, S.; Elaïssari, A. Preparation and Characterization of Poly(methyl methacrylate) Particles by Combined Dispersion and Emulsion Polymerization. Macromol. Res. 2018, 26, 819–824. [Google Scholar] [CrossRef]
- Zhang, N.; Liu, P.; Yi, Y.; Gibril, M.; Wang, S.; Kong, F. Application of Polyvinyl Acetate/Lignin Copolymer as Bio-Based Coating Material and Its Effects on Paper Properties. Coatings 2021, 11, 192. [Google Scholar] [CrossRef]
- Geisari, N.; Kalnins, M. Poly(vinyl alcohol)—poly(vinyl acetate) composite films from water systems: Formation, strength-deformation characteristics, fracture. IOP Conf. Ser. Mater. Sci. Eng. 2016, 111, 012009. [Google Scholar] [CrossRef] [Green Version]
- Karatzaferi, C.; Chinn, M.K.; Cooke, R. Erratum: The force exerted by a muscle cross-bridge depends directly on the strength of the actomyosin bond (Biophysical Journal (2004) 87 (2532–2544)). Biophys. J. 2005, 88, 757. [Google Scholar] [CrossRef] [Green Version]
- Peng, G.; Zhao, X.; Zhan, Z.; Ci, S.; Wang, Q.; Liang, Y.; Zhao, M. New crystal structure and discharge efficiency of poly(vinylidene fluoride-hexafluoropropylene)/poly(methyl methacrylate) blend films. RSC Adv. 2014, 4, 16849–16854. [Google Scholar] [CrossRef]
- Li, W.; Li, H.; Zhang, Y.-M. Preparation and investigation of PVDF/PMMA/TiO2 composite film. J. Mater. Sci. 2009, 44, 2977–2984. [Google Scholar] [CrossRef]
- Wang, N.; Wu, X.; Liu, C.S. Abnormal segmental dynamics of poly(methyl methacrylate)/poly(vinylidene fluoride) blends by mechanical spectroscopy. AIP Adv. 2019, 9, 015326. [Google Scholar] [CrossRef] [Green Version]
- Masturi, M.; Abdullah, M.; Khairurrijal, K. High compressive strength of home waste and polyvinyl acetate composites containing silica nanoparticle filler. J. Mater. Cycles Waste Manag. 2011, 13, 225–231. [Google Scholar] [CrossRef]
- Clark, J.E. Studies in the Thermal Stability of Poly (Methyl Methacrylate); University of Windsor: Windsor, ON, Canada, 1963. [Google Scholar]
- Kandare, E.; Deng, H.; Wang, D.; Hossenlopp, J.M. Thermal stability and degradation kinetics of poly(methyl methacrylate)/layered copper hydroxy methacrylate composites. Polym. Adv. Technol. 2006, 17, 312–319. [Google Scholar] [CrossRef] [Green Version]
- Ding, Y.-H.; Zhang, P.; Long, Z.; Jiang, Y.; Xu, F.; Di, W. The ionic conductivity and mechanical property of electrospun P(VdF-HFP)/PMMA membranes for lithium ion batteries. J. Membr. Sci. 2009, 329, 56–59. [Google Scholar] [CrossRef]
- Xiao, Q.; Deng, C.; Wang, Q.; Zhang, Q.; Yue, Y.; Ren, S. In Situ Cross-Linked Gel Polymer Electrolyte Membranes with Excellent Thermal Stability for Lithium Ion Batteries. ACS Omega 2019, 4, 95–103. [Google Scholar] [CrossRef] [Green Version]
- Mahant, Y.P.; Kondawar, S.B.; Nandanwar, D.V.; Koinkar, P. Poly(methyl methacrylate) reinforced poly(vinylidene fluoride) composites electrospun nanofibrous polymer electrolytes as potential separator for lithium ion batteries. Mater. Renew. Sustain. Energy 2018, 7, 5. [Google Scholar] [CrossRef] [Green Version]









| Sample Code | Used Polymers (wt.%) | ||
|---|---|---|---|
| PVDF-HFP | PMMA | PVAc | |
| PM | 60 | 40 | 0 |
| PC | 60 | 0 | 40 |
| PMC | 60 | 20 | 20 |
| Sample Code | Electrolyte Uptake (%) | Electrolyte Retention (%) | Porosity (%) |
|---|---|---|---|
| Celgard 2340 | 200 | 86 | 38 |
| PM | 210 | 66.67 | 25.8 |
| PC | 340 | 77.27 | 39.4 |
| PMC | 679 | 87.16 | 47 |
Publisher’s Note: MDPI stays neutral with regard to jurisdictional claims in published maps and institutional affiliations. |
© 2022 by the authors. Licensee MDPI, Basel, Switzerland. This article is an open access article distributed under the terms and conditions of the Creative Commons Attribution (CC BY) license (https://creativecommons.org/licenses/by/4.0/).
Share and Cite
Mouraliraman, D.; Shaji, N.; Praveen, S.; Nanthagopal, M.; Ho, C.W.; Varun Karthik, M.; Kim, T.; Lee, C.W. Thermally Stable PVDF-HFP-Based Gel Polymer Electrolytes for High-Performance Lithium-Ion Batteries. Nanomaterials 2022, 12, 1056. https://doi.org/10.3390/nano12071056
Mouraliraman D, Shaji N, Praveen S, Nanthagopal M, Ho CW, Varun Karthik M, Kim T, Lee CW. Thermally Stable PVDF-HFP-Based Gel Polymer Electrolytes for High-Performance Lithium-Ion Batteries. Nanomaterials. 2022; 12(7):1056. https://doi.org/10.3390/nano12071056
Chicago/Turabian StyleMouraliraman, Devanadane, Nitheesha Shaji, Sekar Praveen, Murugan Nanthagopal, Chang Won Ho, Murugesan Varun Karthik, Taehyung Kim, and Chang Woo Lee. 2022. "Thermally Stable PVDF-HFP-Based Gel Polymer Electrolytes for High-Performance Lithium-Ion Batteries" Nanomaterials 12, no. 7: 1056. https://doi.org/10.3390/nano12071056
APA StyleMouraliraman, D., Shaji, N., Praveen, S., Nanthagopal, M., Ho, C. W., Varun Karthik, M., Kim, T., & Lee, C. W. (2022). Thermally Stable PVDF-HFP-Based Gel Polymer Electrolytes for High-Performance Lithium-Ion Batteries. Nanomaterials, 12(7), 1056. https://doi.org/10.3390/nano12071056

