Hydrogenated Boron Phosphide THz-Metamaterial-Based Biosensor for Diagnosing COVID-19: A DFT Coupled FEM Study
Abstract
1. Introduction
2. Theoretical Model and Computational Methodologies
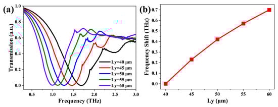
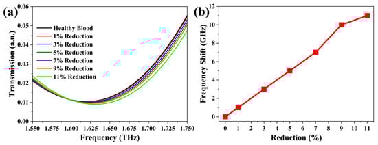
3. Results and Discussion
4. Conclusions
Supplementary Materials
Author Contributions
Funding
Data Availability Statement
Conflicts of Interest
References
- Coronavirus Disease (COVID-19) Situation Dashboard. Available online: https://who.sprinklr.com/ (accessed on 1 October 2022).
- Ma, Q.; Liu, J.; Liu, Q.; Kang, L.; Liu, R.; Jing, W.; Wu, Y.; Liu, M. Global percentage of asymptomatic SARS-CoV-2 infections among the tested population and individuals with confirmed COVID-19 diagnosis: A systematic review and meta-analysis. JAMA Netw. Open 2021, 4, e2137257. [Google Scholar] [CrossRef] [PubMed]
- Sengupta, R.; Khand, H.; Sarusi, G. Terahertz Impedance Spectroscopy of Biological Nanoparticles by a Resonant Metamaterial Chip for Breathalyzer-Based COVID-19 Prompt Tests. ACS Appl. Nano Mater. 2022, 5, 5803–5812. [Google Scholar] [CrossRef]
- Tahamtan, A.; Ardebili, A. Real-time RT-PCR in COVID-19 detection: Issues affecting the results. Expert Rev. Mol. Diagn. 2020, 20, 453–454. [Google Scholar] [CrossRef] [PubMed]
- Shetti, N.P.; Mishra, A.; Bukkitgar, S.D.; Basu, S.; Narang, J.; Raghava Reddy, K.; Aminabhavi, T.M. Conventional and nanotechnology-based sensing methods for SARS coronavirus (2019-nCoV). ACS Appl. Bio Mater. 2021, 4, 1178–1190. [Google Scholar] [CrossRef] [PubMed]
- Oyewole, A.O.; Barrass, L.; Robertson, E.G.; Woltmann, J.; O’Keefe, H.; Sarpal, H.; Dangova, K.; Richmond, C.; Craig, D. COVID-19 impact on diagnostic innovations: Emerging trends and implications. Diagnostics 2021, 11, 182. [Google Scholar] [CrossRef]
- Abumeeiz, M.; Elliott, L.; Olla, P. Use of Breath Analysis for Diagnosing COVID-19: Opportunities, Challenges, and Considerations for Future Pandemic Responses. Disaster Med. Public Health Prep. 2021, 16, 2137–2140. [Google Scholar] [CrossRef]
- Baxter, J.B.; Guglietta, G.W. Terahertz spectroscopy. Anal. Chem. 2011, 83, 4342–4368. [Google Scholar] [CrossRef]
- Cui, N.; Guan, M.; Xu, M.; Zhao, C.; Shao, H.; Zhang, Y.; Zeng, Y. High Electric Field-Enhanced Terahertz Metamaterials with Bowtie Triangle Rings: Modeling, Mechanism, and Carbohydrate Antigen 125 Detection. J. Phys. Chem. C 2021, 125, 19374–19381. [Google Scholar] [CrossRef]
- Akter, N.; Hasan, M.M.; Pala, N. A review of THz technologies for rapid sensing and detection of viruses including SARS-CoV-2. Biosensors 2021, 11, 349. [Google Scholar] [CrossRef]
- Yang, X.; Yang, K.; Luo, Y.; Fu, W. Terahertz spectroscopy for bacterial detection: Opportunities and challenges. Appl. Microbiol. Biotechnol. 2016, 100, 5289–5299. [Google Scholar] [CrossRef]
- Beruete, M.; Jáuregui-López, I. Terahertz sensing based on metasurfaces. Adv. Opt. Mater. 2020, 8, 1900721. [Google Scholar] [CrossRef]
- Geng, Z.; Zhang, X.; Fan, Z.; Lv, X.; Chen, H. A route to terahertz metamaterial biosensor integrated with microfluidics for liver cancer biomarker testing in early stage. Sci. Rep. 2017, 7, 16378. [Google Scholar] [CrossRef] [PubMed]
- Yang, Y.; Xu, D.; Zhang, W. High-sensitivity and label-free identification of a transgenic genome using a terahertz meta-biosensor. Optics Express 2018, 26, 31589–31598. [Google Scholar] [CrossRef] [PubMed]
- Ren, P.; Jia, Y.; Fan, C. Investigation on Tunable and Enhanced Optical Properties with Graphene Metamaterials. J. Phys. Chem. C 2020, 124, 21075–21081. [Google Scholar] [CrossRef]
- Reinhard, B.; Schmitt, K.M.; Wollrab, V.; Neu, J.; Beigang, R.; Rahm, M. Metamaterial near-field sensor for deep-subwavelength thickness measurements and sensitive refractometry in the terahertz frequency range. Appl. Phys. Lett. 2012, 100, 221101. [Google Scholar] [CrossRef]
- Wang, R.; Xu, W.; Chen, D.; Zhou, R.; Wang, Q.; Gao, W.; Kono, J.; Xie, L.; Ying, Y. Ultrahigh-sensitivity molecular sensing with carbon nanotube terahertz metamaterials. ACS Appl. Mater. Interfaces 2020, 12, 40629–40634. [Google Scholar] [CrossRef]
- Duan, Z.; Xu, S.; Chen, H.; Chen, M. Metamaterials design and challenges for THz radiation. Terahertz Sci. Technol. 2013, 6, 113–124. [Google Scholar]
- Zhou, R.; Wang, C.; Xu, W.; Xie, L. Biological applications of terahertz technology based on nanomaterials and nanostructures. Nanoscale 2019, 11, 3445–3457. [Google Scholar] [CrossRef]
- Chen, H.; Xiong, L.; Hu, F.; Xiang, Y.; Dai, X.; Li, G. Ultrasensitive and tunable sensor based on plasmon-induced transparency in a black phosphorus metasurface. Plasmonics 2021, 16, 1071–1077. [Google Scholar] [CrossRef]
- Arezoomandan, S.; Gopalan, P.; Tian, K.; Chanana, A.; Nahata, A.; Tiwari, A.; Sensale-Rodriguez, B. Tunable terahertz metamaterials employing layered 2-D materials beyond graphene. IEEE J. Sel. Top. Quantum Electron. 2016, 23, 188–194. [Google Scholar] [CrossRef]
- Tan, C.; Zhou, Q.; Liu, X.; Zhang, G.; Ye, H.; Wu, Q. Hydrogenated boron phosphide with the excellent tunability of electronic properties and Current-Voltage responses. Appl. Surf. Sci. 2022, 572, 151196. [Google Scholar] [CrossRef]
- Li, M.S.; Mo, D.C.; Lyu, S.S. Thermoelectric transports in pristine and functionalized boron phosphide monolayers. Sci. Rep. 2021, 11, 10030. [Google Scholar] [CrossRef] [PubMed]
- Vu, T.V.; Kartamyshev, A.; Hieu, N.V.; Dang, T.D.; Nguyen, S.N.; Poklonski, N.; Nguyen, C.V.; Phuc, H.V.; Hieu, N.N. Structural, elastic, and electronic properties of chemically functionalized boron phosphide monolayer. RSC Adv. 2021, 11, 8552–8558. [Google Scholar] [CrossRef] [PubMed]
- Cadelano, E.; Palla, P.L.; Giordano, S.; Colombo, L. Elastic properties of hydrogenated graphene. Phys. Rev. B 2010, 82, 235414. [Google Scholar] [CrossRef]
- Huang, L.F.; Gong, P.L.; Zeng, Z. Phonon properties, thermal expansion, and thermomechanics of silicene and germanene. Phys. Rev. B 2015, 91, 205433. [Google Scholar] [CrossRef]
- Hafner, J. Ab-initio simulations of materials using VASP: Density-functional theory and beyond. J. Comput. Chem. 2008, 29, 2044–2078. [Google Scholar] [CrossRef]
- Michel, K.; Verberck, B. Theory of elastic and piezoelectric effects in two-dimensional hexagonal boron nitride. Phys. Rev. B 2009, 80, 224301. [Google Scholar] [CrossRef]
- Mostofi, A.A.; Yates, J.R.; Lee, Y.S.; Souza, I.; Vanderbilt, D.; Marzari, N. wannier90: A tool for obtaining maximally-localised Wannier functions. Comput. Phys. Commun. 2008, 178, 685–699. [Google Scholar] [CrossRef]
- Grosjean, B.; Pean, C.; Siria, A.; Bocquet, L.; Vuilleumier, R.; Bocquet, M.L. Chemisorption of hydroxide on 2D materials from DFT calculations: Graphene versus hexagonal boron nitride. J. Phys. Chem. Lett. 2016, 7, 4695–4700. [Google Scholar] [CrossRef]
- Kim, Y.; Cho, D.H.; Ryu, S.; Lee, C. Tuning doping and strain in graphene by microwave-induced annealing. Carbon 2014, 67, 673–679. [Google Scholar] [CrossRef]
- Yi, Z.; Huang, J.; Cen, C.; Chen, X.; Zhou, Z.; Tang, Y.; Wang, B.; Yi, Y.; Wang, J.; Wu, P. Nanoribbon-ring cross perfect metamaterial graphene multi-band absorber in THz range and the sensing application. Results Phys. 2019, 14, 102367. [Google Scholar] [CrossRef]
- Reshetnyak, V.Y.; Zadorozhnii, V.; Pinkevych, I.; Bunning, T.; Evans, D. Surface plasmon absorption in MoS2 and graphene-MoS2 micro-gratings and the impact of a liquid crystal substrate. AIP Adv. 2018, 8, 045024. [Google Scholar] [CrossRef]
- Zhong, Y.; Huang, Y.; Zhong, S.; Lin, T.; Luo, M.; Shen, Y.; Ding, J. Tunable terahertz broadband absorber based on MoS2 ring-cross array structure. Opt. Mater. 2021, 114, 110996. [Google Scholar] [CrossRef]
- Qiao, J.; Kong, X.; Hu, Z.X.; Yang, F.; Ji, W. High-mobility transport anisotropy and linear dichroism in few-layer black phosphorus. Nat. Commun. 2014, 5, 4475. [Google Scholar] [CrossRef] [PubMed]
- Zeng, B.; Li, M.; Zhang, X.; Yi, Y.; Fu, L.; Long, M. First-principles prediction of the electronic structure and carrier mobility in hexagonal boron phosphide sheet and nanoribbons. J. Phys. Chem. C 2016, 120, 25037–25042. [Google Scholar] [CrossRef]
- Udugama, B.; Kadhiresan, P.; Kozlowski, H.N.; Malekjahani, A.; Osborne, M.; Li, V.Y.; Chen, H.; Mubareka, S.; Gubbay, J.B.; Chan, W.C. Diagnosing COVID-19: The disease and tools for detection. ACS Nano 2020, 14, 3822–3835. [Google Scholar] [CrossRef]
- Abdulkarim, Y.I.; Awl, H.N.; Muhammadsharif, F.F.; Sidiq, K.R.; Saeed, S.R.; Karaaslan, M.; Huang, S.; Luo, H.; Deng, L. Design and study of a coronavirus-shaped metamaterial sensor stimulated by electromagnetic waves for rapid diagnosis of covid-19. arXiv 2020, arXiv:2009.08862. [Google Scholar]
- Chen, N.; Zhou, M.; Dong, X.; Qu, J.; Gong, F.; Han, Y.; Qiu, Y.; Wang, J.; Liu, Y.; Wei, Y.; et al. Epidemiological and clinical characteristics of 99 cases of 2019 novel coronavirus pneumonia in Wuhan, China: A descriptive study. Lancet 2020, 395, 507–513. [Google Scholar] [CrossRef]
- Henry, B.M.; De Oliveira, M.H.S.; Benoit, S.; Plebani, M.; Lippi, G. Hematologic, biochemical and immune biomarker abnormalities associated with severe illness and mortality in coronavirus disease 2019 (COVID-19): A meta-analysis. Clin. Chem. Lab. Med. (CCLM) 2020, 58, 1021–1028. [Google Scholar] [CrossRef]
- Li, Y.; Wu, W.; Yang, T.; Zhou, W.; Fu, Y.; Feng, Q.; Ye, J. Characteristics of peripheral blood leukocyte differential counts in patients with COVID-19. Zhonghua Nei Ke Za Zhi 2020, 59, 372–374. [Google Scholar]
- Liu, M.; He, P.; Liu, H.; Wang, X.; Li, F.; Chen, S.; Lin, J.; Chen, P.; Liu, J.; Li, C. Clinical characteristics of 30 medical workers infected with new coronavirus pneumonia. Zhonghua Jie He He Hu Xi Za Zhi/Zhonghua Jiehe He Huxi Zazhi/Chin. J. Tuberc. Respir. Dis. 2020, 43, E016. [Google Scholar]
- Fan, B.E. Hematologic parameters in patients with COVID-19 infection: A reply. Am. J. Hematol. 2020, 95, E215. [Google Scholar] [CrossRef] [PubMed]
- Dawsmith, W.; Ohtani, N.; Donnan, R.; Naftaly, M.; Dudley, R.A.; Chowdhury, T.T. Microwave frequency dependent dielectric properties of blood as a potential technique to measure hydration. IEEE Access 2020. [Google Scholar] [CrossRef]
- Ermolina, I.; Polevaya, Y.; Feldman, Y.; Ginzburg, B.Z.; Schlesinger, M. Study of normal and malignant white blood cells by time domain dielectric spectroscopy. IEEE Trans. Dielectr. Electr. Insul. 2001, 8, 253–261. [Google Scholar] [CrossRef]
- Tan, L.; Wang, Q.; Zhang, D.; Ding, J.; Huang, Q.; Tang, Y.Q.; Wang, Q.; Miao, H. Lymphopenia predicts disease severity of COVID-19: A descriptive and predictive study. Signal Transduct. Target. Ther. 2020, 5, 33. [Google Scholar] [CrossRef] [PubMed]
- Garyfallou, G.Z.; Ketebu, O.; Şahin, S.; Mukaetova-Ladinska, E.B.; Catt, M.; Yu, E.H. Electrochemical detection of plasma immunoglobulin as a biomarker for Alzheimer’s disease. Sensors 2017, 17, 2464. [Google Scholar] [CrossRef]
- Salem, A.; Azim, M.M.A. The effect of RBCs concentration in blood on the wireless communication in Nano-networks in the THz band. Nano Commun. Netw. 2018, 18, 34–43. [Google Scholar] [CrossRef]
- Reid, C.B.; Reese, G.; Gibson, A.P.; Wallace, V.P. Terahertz time-domain spectroscopy of human blood. IEEE Trans. Terahertz Sci. Technol. 2013, 3, 363–367. [Google Scholar] [CrossRef]
- Topsakal, E.; Karacolak, T.; Moreland, E.C. Glucose-dependent dielectric properties of blood plasma. In Proceedings of the 2011 XXXth URSI General Assembly and Scientific Symposium, Istanbul, Turkey, 13–20 August 2011. [Google Scholar] [CrossRef]
- Li, X.; Zheng, G.; Zhang, G.; Yang, J.; Hu, M.; Li, J.; Li, Y.; Lu, H.; Yin, Z. Highly Sensitive Terahertz Dielectric Sensor for Liquid Crystal. Symmetry 2022, 14, 1820. [Google Scholar] [CrossRef]
- Lin, S.; Xu, X.; Hu, F.; Chen, Z.; Wang, Y.; Zhang, L.; Peng, Z.; Li, D.; Zeng, L.; Chen, Y.; et al. Using antibody modified terahertz metamaterial biosensor to detect concentration of carcinoembryonic antigen. IEEE J. Sel. Top. Quantum Electron. 2020, 27, 1–7. [Google Scholar] [CrossRef]
- Fromm, D.P.; Sundaramurthy, A.; Kinkhabwala, A.; Schuck, P.J.; Kino, G.S.; Moerner, W. Exploring the chemical enhancement for surface-enhanced Raman scattering with Au bowtie nanoantennas. J. Chem. Phys. 2006, 124, 061101. [Google Scholar] [CrossRef] [PubMed]
- Xu, D.; Liu, L.; Teng, F.; Wu, F.; Lu, N. Trapping analyte molecules in hotspots with modified free-standing silver bowtie nanostructures for SERS detection. RSC Adv. 2016, 6, 84480–84484. [Google Scholar] [CrossRef]
- Zhang, S.; Zhu, X.; Shi, H.; Wang, Y.; Chen, Z.; Duan, H. Notched terahertz Bowtie metamaterials with strongly enhanced near-field and narrowed resonance linewidth. Appl. Opt. 2019, 58, 6295–6299. [Google Scholar] [CrossRef] [PubMed]




| Treatment | Carrier Type | Direction | ||||
|---|---|---|---|---|---|---|
| Without hydrogenation [36] | electron | zigzag | 2.288 | 147.3746 | 0.198 | 1.017 × 104 |
| armchair | 2.223 | 147.3595 | 0.192 | 1.361 × 104 | ||
| hole | zigzag | 3.762 | 147.3746 | 0.180 | 4.493 × 103 | |
| armchair | 3.856 | 147.3595 | 0.186 | 5.045 × 103 | ||
| With hydrogenation | electron | zigzag | 8.42 | 103.96 | 0.163 | 94.4 |
| armchair | 9.14 | 103.85 | 25.355 | 0.51 | ||
| hole | zigzag | 5.92 | 103.96 | 0.555 | 175.15 | |
| armchair | 5.71 | 103.85 | 0.763 | 136.80 |
| Component | (ps) | (ps) | |||
|---|---|---|---|---|---|
| Whole blood | 2.1 | 130 | 3.8 | 14.4 | 0.1 |
| Thrombus | 2.2 | 130 | 3.7 | 16.1 | 0.1 |
| Blood cells | 3.4 | 2.5 | 23.8 | 410.8 | 1.8 |
| Blood plasma | 1.7 | 78.8 | 3.6 | 8.0 | 0.1 |
| Water | 3.3 | 78.8 | 4.5 | 8.4 | 0.1 |
Publisher’s Note: MDPI stays neutral with regard to jurisdictional claims in published maps and institutional affiliations. |
© 2022 by the authors. Licensee MDPI, Basel, Switzerland. This article is an open access article distributed under the terms and conditions of the Creative Commons Attribution (CC BY) license (https://creativecommons.org/licenses/by/4.0/).
Share and Cite
Tan, C.; Wang, S.; Yang, H.; Huang, Q.; Li, S.; Liu, X.; Ye, H.; Zhang, G. Hydrogenated Boron Phosphide THz-Metamaterial-Based Biosensor for Diagnosing COVID-19: A DFT Coupled FEM Study. Nanomaterials 2022, 12, 4024. https://doi.org/10.3390/nano12224024
Tan C, Wang S, Yang H, Huang Q, Li S, Liu X, Ye H, Zhang G. Hydrogenated Boron Phosphide THz-Metamaterial-Based Biosensor for Diagnosing COVID-19: A DFT Coupled FEM Study. Nanomaterials. 2022; 12(22):4024. https://doi.org/10.3390/nano12224024
Chicago/Turabian StyleTan, Chunjian, Shaogang Wang, Huiru Yang, Qianming Huang, Shizhen Li, Xu Liu, Huaiyu Ye, and Guoqi Zhang. 2022. "Hydrogenated Boron Phosphide THz-Metamaterial-Based Biosensor for Diagnosing COVID-19: A DFT Coupled FEM Study" Nanomaterials 12, no. 22: 4024. https://doi.org/10.3390/nano12224024
APA StyleTan, C., Wang, S., Yang, H., Huang, Q., Li, S., Liu, X., Ye, H., & Zhang, G. (2022). Hydrogenated Boron Phosphide THz-Metamaterial-Based Biosensor for Diagnosing COVID-19: A DFT Coupled FEM Study. Nanomaterials, 12(22), 4024. https://doi.org/10.3390/nano12224024
