Independent Dual-Channel Approach to Mesoscopic Graphene Transistors
Abstract
1. Introduction
2. The Model
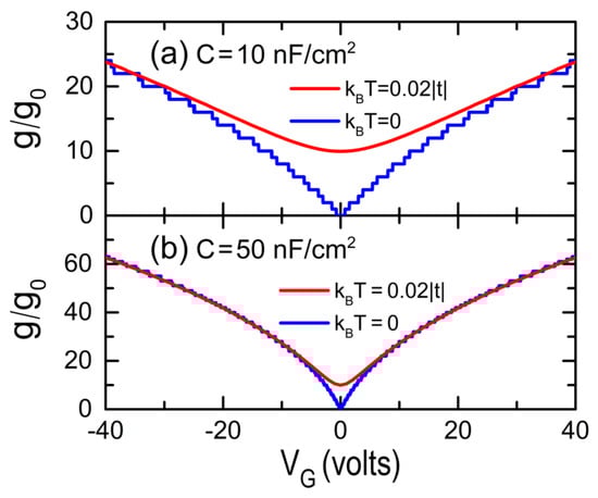
3. Results
4. Conclusions
Author Contributions
Funding
Institutional Review Board Statement
Informed Consent Statement
Data Availability Statement
Acknowledgments
Conflicts of Interest
Appendix A. Independent Dual-Channel Method

Appendix B. Transfer Matrix Method for Dual Channels


| Energy Band | u0 (k) | d0 (k) | u1 (k) | d1 (k) |
|---|---|---|---|---|

Appendix C. Real-Space Renormalization Method for Dilute Rudin–Shapiro Dual Channels
| α-Type | β-Type | γ-Type |
|---|---|---|
| A | A | B |
| B | A | C |
| C | D | B |
| D | D | C |
| Generation | A-Type | B-Type | C-Type | D-Type |
|---|---|---|---|---|
| 1 | ![]() | ![]() | ![]() | ![]() |
| 2 | ![]() | ![]() | ![]() | ![]() |
| 3 | ![]() | ![]() | ![]() | ![]() |
.
References
- Novoselov, K.S.; Geim, A.K.; Morozov, S.V.; Jiang, D.; Zhang, Y.; Dubonos, S.V.; Grigorieva, I.V.; Firsov, A.A. Electric field effect in atomically thin carbon films. Science 2004, 306, 666–669. [Google Scholar] [CrossRef]
- Bolotin, K.I.; Sikes, K.J.; Jiang, Z.; Klima, M.; Fudenberg, G.; Hone, J.; Kim, P.; Stormer, H.L. Ultrahigh electron mobility in suspended graphene. Solid State Commun. 2008, 146, 351–355. [Google Scholar] [CrossRef]
- Balandin, A.A.; Ghosh, S.; Bao, W.; Calizo, I.; Teweldebrhan, D.; Miao, F.; Lau, C.N. Superior thermal conductivity of single-layer graphene. Nano Lett. 2008, 8, 902–907. [Google Scholar] [CrossRef]
- Lee, C.; Wei, X.; Kysar, J.W.; Hone, J. Measurement of the elastic properties and intrinsic strength of monolayer graphene. Science 2008, 321, 385–388. [Google Scholar] [CrossRef]
- Dhinakaran, V.; Lavanya, M.; Vigneswari, K.; Ravichandran, M.; Vijayakumar, M.D. Review on exploration of graphene in diverse applications and its future horizon. Mater. Today Proc. 2020, 27, 824–828. [Google Scholar] [CrossRef]
- Schedin, F.; Geim, A.K.; Morozov, S.V.; Hill, E.W.; Blake, P.; Katsnelson, M.I.; Novoselov, K.S. Detection of individual gas molecules adsorbed on graphene. Nat. Mater. 2007, 6, 652–655. [Google Scholar] [CrossRef] [PubMed]
- Béraud, A.; Sauvage, M.; Bazán, C.M.; Tie, M.; Bencherifa, A.; Bouilly, D. Graphene field-effect transistors as bioanalytical sensors: Design, operation and performance. Analyst 2021, 146, 403–428. [Google Scholar] [CrossRef] [PubMed]
- Wang, S.; Qi, X.; Hao, D.; Moro, R.; Ma, Y.; Ma, L. Recent advances in graphene-based field-effect-transistor biosensors: A review on biosensor designing strategy. J. Electrochem. Soc. 2022, 169, 027509. [Google Scholar] [CrossRef]
- Wang, M.; Yang, E.-H. THz applications of 2D materials: Graphene and beyond. Nano-Struct. Nano-Objects 2018, 15, 107–113. [Google Scholar] [CrossRef]
- Liu, J.; Li, X.; Jiang, R.; Yang, K.; Zhao, J.; Khan, S.A.; He, J.; Liu, P.; Zhu, J.; Zeng, B. Recent progress in the development of graphene detector for terahertz detection. Sensors 2021, 21, 4987. [Google Scholar] [CrossRef]
- Lone, S.; Bhardwaj, A.; Pandit, A.K.; Gupta, S.; Mahajan, S. A review of graphene nanoribbon field-effect transistor structures. J. Electron. Mater. 2021, 50, 3169–3186. [Google Scholar] [CrossRef]
- Freitag, M.; Steiner, M.; Martin, Y.; Perebeinos, V.; Chen, Z.; Tsang, J.C.; Avouris, P. Energy dissipation in graphene field-effect transistors. Nano Lett. 2009, 9, 1883–1888. [Google Scholar] [CrossRef]
- Yu, G.L.; Jalil, R.; Belle, B.; Mayorov, A.S.; Blake, P.; Schedin, F.; Morozov, S.V.; Ponomarenko, L.A.; Chiappini, F.; Wiedmann, S.; et al. Interaction phenomena in graphene seen through quantum capacitance. Proc. Natl. Acad. Sci. USA 2013, 110, 3282–3286. [Google Scholar] [CrossRef] [PubMed]
- Wen, R.; Jiang, Z.; Miao, R.; Wang, L.; Liang, Y.; Deng, J.; Shao, Q.; Zhang, J. Electronic transport properties of B/N/P co-doped armchair graphene nanoribbon field effect transistor. Diam. Relat. Mater. 2022, 124, 108893. [Google Scholar] [CrossRef]
- Radsar, T.; Khalesi, H.; Ghods, V.; Izadbakhsh, A. Effects of channel dimension and doping concentration of source and drain contacts on GNRFET performance. Silicon 2021, 13, 3337–3350. [Google Scholar] [CrossRef]
- Saltzgaber, G.; Wojcik, P.; Sharf, T.; Leyden, M.R.; Wardini, J.L.; Heist, C.A.; Adenuga, A.A.; Remcho, V.T.; Minot, E.D. Scalable graphene field-effect sensors for specific protein detection. Nanotechnology 2013, 24, 355502. [Google Scholar] [CrossRef]
- Sánchez, V.; Wang, C. Real space theory for electron and phonon transport in aperiodic lattices via renormalization. Symmetry 2020, 12, 430. [Google Scholar] [CrossRef]
- Shylau, A.A.; Kłos, J.W.; Zozoulenko, I.V. Capacitance of graphene nanoribbons. Phys. Rev. B 2009, 80, 205402. [Google Scholar] [CrossRef]
- Griffiths, D.J. Introduction to Electrodynamics, 4th ed.; Cambridge University Press: Cambridge, UK, 2017; pp. 106–190. [Google Scholar]
- Son, Y.-W.; Cohen, M.L.; Louie, S.G. Energy gaps in graphene nanoribbons. Phys. Rev. Lett. 2006, 97, 216803. [Google Scholar] [CrossRef]
- Fernández-Rossier, J.; Palacios, J.J.; Brey, L. Electronic structure of gated graphene and graphene ribbons. Phys. Rev. B 2007, 75, 205441. [Google Scholar] [CrossRef]
- Economou, E.N. Green’s Functions in Quantum Physics, 3rd ed.; Springer: Berlin/Heidelberg, Germany, 2006; pp. 14–16, 184. [Google Scholar]
- Datta, S. Lessons from Nanoelectronics. A New Perspective on Transport—Part A: Basic Concepts, 2nd ed.; World Scientific: Singapore, 2017; pp. 32, 123. [Google Scholar]
- Landauer, R. Electrical resistance of disordered one-dimensional lattices. Philos. Mag. 1970, 21, 863–867. [Google Scholar] [CrossRef]
- Cao, Q.; Geng, X.; Wang, H.; Wang, P.; Liu, A.; Lan, Y.; Peng, Q. A review of current development of graphene mechanics. Crystals 2018, 8, 357. [Google Scholar] [CrossRef]
- Yang, G.; Li, L.; Lee, W.B.; Ng, M.C. Structure of graphene and its disorders: A review. Sci. Technol. Adv. Mater. 2018, 19, 613–648. [Google Scholar] [CrossRef] [PubMed]
- Pires, M.A.; Duarte-Queirós, S.M. Quantum walks with sequential aperiodic jumps. Phys. Rev. E 2020, 102, 012104. [Google Scholar] [CrossRef]
- Maciá, E. Aperiodic Structures in Condensed Matter: Fundamentals and Applications; CRC Press: Boca Raton, FL, USA, 2009; p. 130. [Google Scholar]
- Zhong, H.; Zhang, Z.; Xu, H.; Qiu, C.; Peng, L.-M. Comparison of mobility extraction methods based on field-effect measurements for graphene. AIP Adv. 2015, 5, 057136. [Google Scholar] [CrossRef]
- Xia, F.; Perebeinos, V.; Lin, Y.; Wu, Y.; Avouris, P. The origins and limits of metal-graphene junction resistance. Nat. Nanotechnol. 2011, 6, 179–184, see also supplementary information. [Google Scholar] [CrossRef]
- Schroder, D.K. Semiconductor and Material and Device Characterization, 3rd ed.; John Wiley & Sons: Hoboken, NJ, USA, 2005; p. 146. [Google Scholar]
- Sutton, A.P. Electronic Structure of Materials; Clarendon Press: Oxford, UK, 1993; p. 58. [Google Scholar]
- Abhilash, T.S.; De Alba, R.; Zhelev, N.; Craighead, H.G.; Parpia, J.M. Transfer printing of CVD graphene FETs on patterned substrates. Nanoscale 2015, 7, 14109–14113. [Google Scholar] [CrossRef]
- Sánchez, V.; Sánchez, F.; Wang, C. Independent channel method for nanoribbons with dislocation and Fano defects. Phys. Status Solidi B 2021, 258, 2100095. [Google Scholar] [CrossRef]
- Nadri, F.; Mardaani, M.; Rabani, H. Semi-analytic study on the conductance of a lengthy armchair honeycomb nanoribbon including vacancies, defects, or impurities. Chin. Phys. B 2019, 28, 017202. [Google Scholar] [CrossRef]
- Sánchez, V.; Wang, C. Kubo conductivity in two-dimensional Fibonacci lattices. J. Non-Cryst. Solids 2003, 329, 151–154. [Google Scholar] [CrossRef]
- Sánchez, V.; Wang, C. Application of renormalization and convolution methods to the Kubo-Greenwood formula in multidimensional Fibonacci systems. Phys. Rev. B 2004, 70, 144207. [Google Scholar] [CrossRef]
- Sánchez, F.; Sánchez, V.; Wang, C. Renormalization approach to the electronic localization and transport in macroscopic generalized Fibonacci lattices. J. Non-Cryst. Solids 2016, 450, 194–208. [Google Scholar] [CrossRef]







Publisher’s Note: MDPI stays neutral with regard to jurisdictional claims in published maps and institutional affiliations. |
© 2022 by the authors. Licensee MDPI, Basel, Switzerland. This article is an open access article distributed under the terms and conditions of the Creative Commons Attribution (CC BY) license (https://creativecommons.org/licenses/by/4.0/).
Share and Cite
Sánchez, F.; Sánchez, V.; Wang, C. Independent Dual-Channel Approach to Mesoscopic Graphene Transistors. Nanomaterials 2022, 12, 3223. https://doi.org/10.3390/nano12183223
Sánchez F, Sánchez V, Wang C. Independent Dual-Channel Approach to Mesoscopic Graphene Transistors. Nanomaterials. 2022; 12(18):3223. https://doi.org/10.3390/nano12183223
Chicago/Turabian StyleSánchez, Fernando, Vicenta Sánchez, and Chumin Wang. 2022. "Independent Dual-Channel Approach to Mesoscopic Graphene Transistors" Nanomaterials 12, no. 18: 3223. https://doi.org/10.3390/nano12183223
APA StyleSánchez, F., Sánchez, V., & Wang, C. (2022). Independent Dual-Channel Approach to Mesoscopic Graphene Transistors. Nanomaterials, 12(18), 3223. https://doi.org/10.3390/nano12183223










